A Method for Increasing the Robustness of Stable Feature Selection for Biomarker Discovery in Molecular Medicine Developed Using Serum Small Extracellular Vesicle Associated miRNAs and the Barrett’s Oesophagus Disease Spectrum
Abstract
1. Introduction
2. Results
2.1. Development of a Conservative Estimator of the Variance of Cross Validation Prediction Error
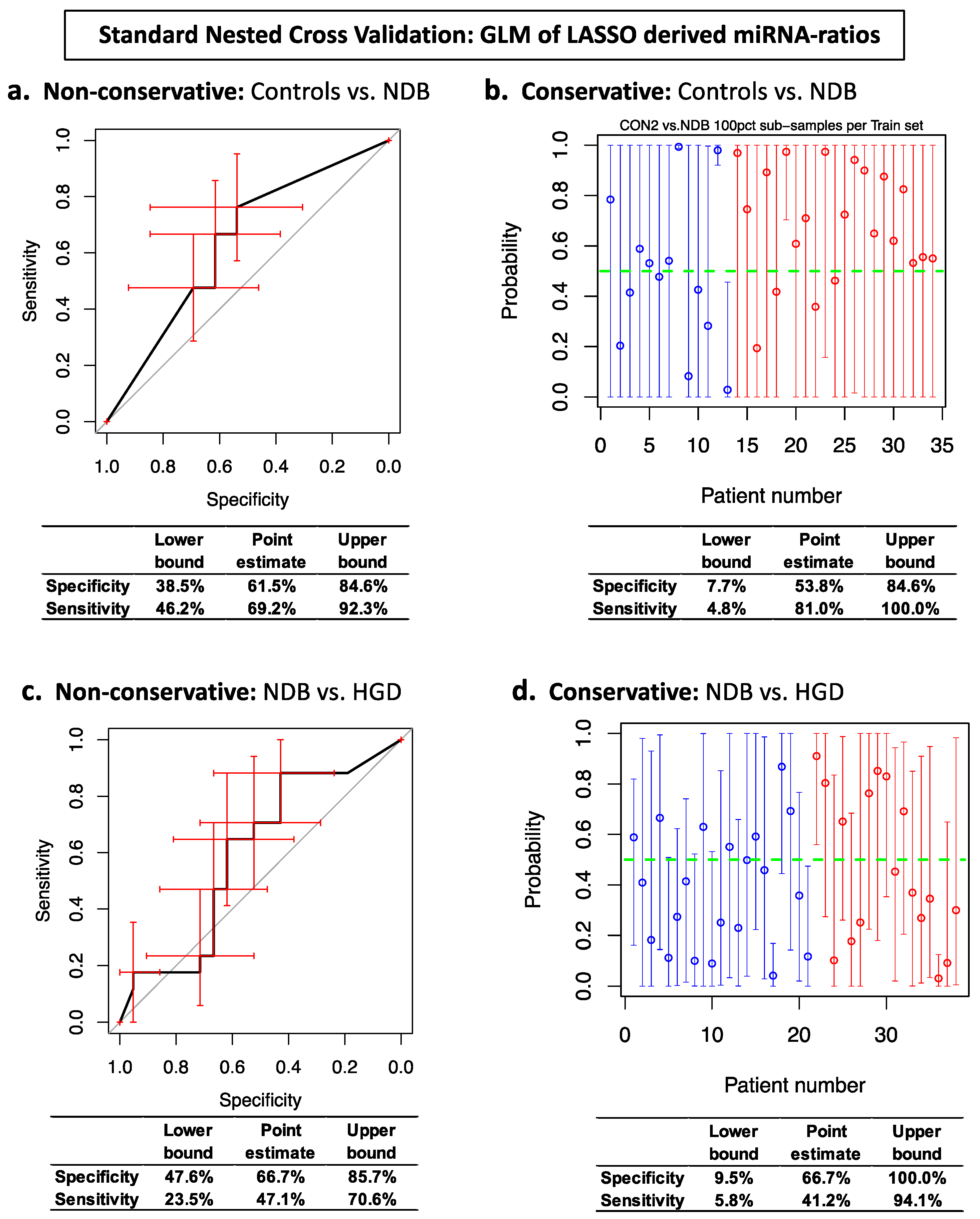
2.2. Comparison of Stabilised (StaVarSel) vs. Standard Nested Cross Validation
2.3. The Conservative Prediction Error Variance Estimator Identified Less Complex Models
3. Discussion
4. Materials and Methods
4.1. Patient Recruitment and Sample Selection
4.2. Extracellular Vesicle Isolation
4.3. RNA Extraction from Serum Small Extracellular Vesicles
4.4. Qiagen Next Generation Sequencing of miRNA
4.5. Prefiltering of miRNAs and Samples
4.6. Molecular Detection of Haemolysis
4.7. miRNA Biomarkers Selection
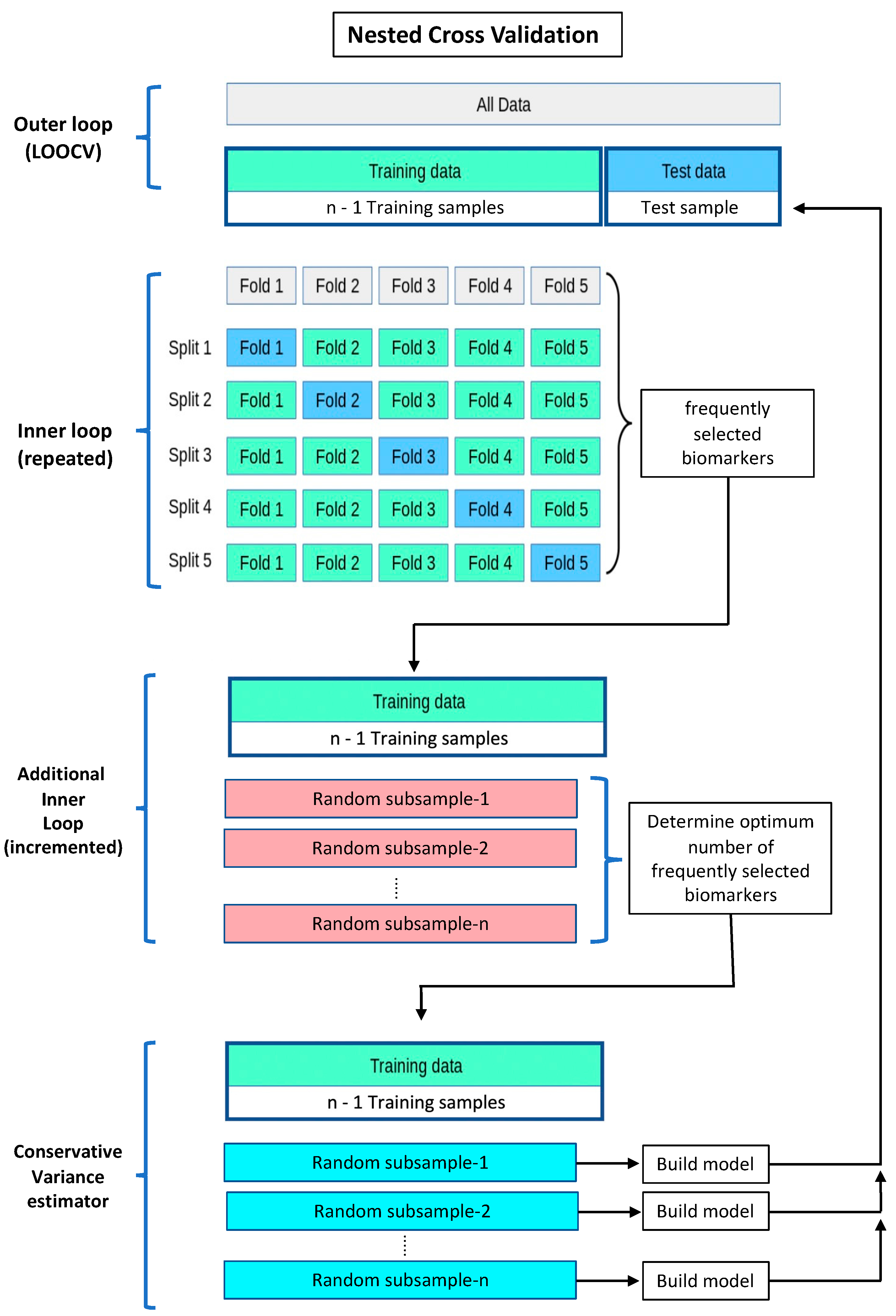
4.8. Standard Nested Cross Validation (2-Stage)
4.9. Stabilised Nested Cross Validation (StaVarSel, 3-Stage)
4.10. Conservative Subsampling Based Estimation of Confidence Intervals Based on a Hold out Test
Supplementary Materials
Author Contributions
Funding
Institutional Review Board Statement
Informed Consent Statement
Data Availability Statement
Acknowledgments
Conflicts of Interest
Abbreviations
| CPM | counts per million |
| GLM | Generalised Linear Model |
| HGD | High Grade Dysplasia |
| LASSO | Least Absolute Shrinkage and Selection Operator |
| LOOCV | Leave One Out Cross Validation |
| miRNA, miR | MicroRNA |
| NDB | Non Dysplastic Barrett’s oesophagus |
| PBS | phosphate buffered saline |
| ROC curve | Receiver Operating Characteristic curve |
| sEV | small Extracellular Vesicles |
| StaVarSel | Stable Variable Selection method |
| TMM | trimmed mean of M-values |
| UMI | Unique Molecular Identifier |
References
- Phillips, W.A.; Lord, R.V.; Nancarrow, D.J.; Watson, D.I.; Whiteman, D.C. Barrett’s esophagus. J. Gastroenterol. Hepatol. 2011, 26, 639–648. [Google Scholar] [CrossRef] [PubMed]
- Hvid-Jensen, F.; Pedersen, L.; Drewes, A.M.; Sørensen, H.T.; Funch-Jensen, P. Incidence of adenocarcinoma among patients with Barrett’s esophagus. N. Engl. J. Med. 2011, 365, 1375–1383. [Google Scholar] [CrossRef] [PubMed]
- Phoa, K.N.; van Vilsteren, F.G.; Weusten, B.L.; Bisschops, R.; Schoon, E.J.; Ragunath, K.; Fullarton, G.; Di Pietro, M.; Ravi, N.; Visser, M.; et al. Radiofrequency ablation vs endoscopic surveillance for patients with Barrett esophagus and low-grade dysplasia: A randomized clinical trial. JAMA 2014, 311, 1209–1217. [Google Scholar] [CrossRef] [PubMed]
- Wang, V.S.; Hornick, J.L.; Sepulveda, J.A.; Mauer, R.; Poneros, J.M. Low prevalence of submucosal invasive carcinoma at esophagectomy for high-grade dysplasia or intramucosal adenocarcinoma in Barrett’s esophagus: A 20-year experience. Gastrointest. Endosc. 2009, 69, 777–783. [Google Scholar] [CrossRef]
- Siegel, R.L.; Miller, K.D.; Jemal, A. Cancer statistics, 2020. CA Cancer J. Clin. 2020, 70, 7–30. [Google Scholar] [CrossRef]
- Chiam, K.; Wang, T.; Watson, D.I.; Mayne, G.C.; Irvine, T.S.; Bright, T.; Smith, L.; White, I.A.; Bowen, J.M.; Keefe, D.; et al. Circulating Serum Exosomal miRNAs As Potential Biomarkers for Esophageal Adenocarcinoma. J. Gastrointest. Surg. 2015, 19, 1208–1215. [Google Scholar] [CrossRef]
- Michiels, S.; Koscielny, S.; Hill, C. Prediction of cancer outcome with microarrays: A multiple random validation strategy. Lancet 2005, 365, 488–492. [Google Scholar] [CrossRef]
- Meinshausen, N.; Bühlmann, P. Stability Selection. J. R. Stat. Soc. Ser. B (Stat. Methodol.) 2010, 72, 417–473. [Google Scholar] [CrossRef]
- Bach, F.R. Bolasso: Model consistent Lasso estimation through the bootstrap. In Proceedings of the 25th International Conference on Machine Learning, Helsinki, Finland, 5–9 July 2008; pp. 33–40. [Google Scholar]
- He, Z.; Yu, W. Stable feature selection for biomarker discovery. Comput. Biol. Chem. 2010, 34, 215–225. [Google Scholar] [CrossRef]
- Moon, M.; Nakai, K. Stable feature selection based on the ensemble L (1) -norm support vector machine for biomarker discovery. BMC Genom. 2016, 17, 1026. [Google Scholar] [CrossRef]
- Mayne, G.C.; Woods, C.M.; Dharmawardana, N.; Wang, T.; Krishnan, S.; Hodge, J.C.; Foreman, A.; Boase, S.; Carney, A.S.; Sigston, E.A.W.; et al. Cross validated serum small extracellular vesicle microRNAs for the detection of oropharyngeal squamous cell carcinoma. J. Transl. Med. 2020, 18, 280. [Google Scholar] [CrossRef] [PubMed]
- Bengio, Y.; Grandvalet, Y. No Unbiased Estimator of the Variance of K-Fold Cross-Validation. J. Mach. Learn. Res. 2003, 5, 1089–1105. [Google Scholar]
- Wickenberg-Bolin, U.; Göransson, H.; Fryknäs, M.; Gustafsson, M.G.; Isaksson, A. Improved variance estimation of classification performance via reduction of bias caused by small sample size. BMC Bioinform. 2006, 7, 127. [Google Scholar] [CrossRef]
- Langford, J. Tutorial on Practical Prediction Theory for Classification. J. Mach. Learn. Res. 2005, 6, 273–306. [Google Scholar]
- Isaksson, A.; Wallman, M.; Göransson, H.; Gustafsson, M.G. Cross-validation and bootstrapping are unreliable in small sample classification. Pattern Recognit. Lett. 2008, 29, 1960–1965. [Google Scholar] [CrossRef]
- Nadeau, C.; Bengio, Y. Inference for the Generalization Error. Mach. Learn. 2003, 52, 239–281. [Google Scholar] [CrossRef]
- Hinkley, D.V. Jackknifing in Unbalanced Situations. Technometrics 1977, 19, 285–292. [Google Scholar] [CrossRef]
- Benjamini, Y.; Yekutieli, D. False Discovery Rate–Adjusted Multiple Confidence Intervals for Selected Parameters. J. Am. Stat. Assoc. 2005, 100, 71–81. [Google Scholar] [CrossRef]
- Choi, I.; Wells, B.J.; Yu, C.; Kattan, M.W. An empirical approach to model selection through validation for censored survival data. J. Biomed. Inf. 2011, 44, 595–606. [Google Scholar] [CrossRef]
- Choi, I.; Kattan, M.W.; Wells, B.J.; Yu, C. A hybrid approach to survival model building using integration of clinical and molecular information in censored data. IEEE/ACM Trans. Comput. Biol. Bioinform. 2012, 9, 1091–1105. [Google Scholar] [CrossRef]
- Webb, A.; Copsey, K. Statistical Pattern Recognition, 3rd ed.; John Wiley & Sons, Ltd.: Hoboken, NJ, USA, 2011. [Google Scholar]
- Hastie, T.; Tibshirani, R.; Friedman, J. The Elements of Statistical Learning: Prediction, Inference and Data Mining, 2nd ed.; Springer: New York, NY, USA, 2009. [Google Scholar]
- Zhang, C.; Yang, J.; Chen, Y.; Jiang, F.; Liao, H.; Liu, X.; Wang, Y.; Kong, G.; Zhang, X.; Li, J.; et al. miRNAs derived from plasma small extracellular vesicles predict organo-tropic metastasis of gastric cancer. Gastric Cancer 2022, 25, 360–374. [Google Scholar] [CrossRef] [PubMed]
- Wang, N.; Wang, L.; Yang, Y.; Gong, L.; Xiao, B.; Liu, X. A serum exosomal microRNA panel as a potential biomarker test for gastric cancer. Biochem. Biophys. Res. Commun. 2017, 493, 1322–1328. [Google Scholar] [CrossRef] [PubMed]
- Chiam, K.; Mayne, G.C.; Wang, T.; Watson, D.I.; Irvine, T.S.; Bright, T.; Smith, L.T.; Ball, I.A.; Bowen, J.M.; Keefe, D.M.; et al. Serum outperforms plasma in small extracellular vesicle microRNA biomarker studies of adenocarcinoma of the esophagus. World J. Gastroenterol. 2020, 26, 2570–2583. [Google Scholar] [CrossRef] [PubMed]
- Butz, F.; Eichelmann, A.K.; Mayne, G.C.; Wang, T.; Bastian, I.; Chiam, K.; Marri, S.; Sykes, P.J.; Wijnhoven, B.P.; Toxopeus, E.; et al. MicroRNA Profiling in Oesophageal Adenocarcinoma Cell Lines and Patient Serum Samples Reveals a Role for miR-451a in Radiation Resistance. Int. J. Mol. Sci. 2020, 21, 8898. [Google Scholar] [CrossRef] [PubMed]
- Théry, C.; Witwer, K.W.; Aikawa, E.; Alcaraz, M.J.; Anderson, J.D.; Andriantsitohaina, R.; Antoniou, A.; Arab, T.; Archer, F.; Atkin-Smith, G.K.; et al. Minimal information for studies of extracellular vesicles 2018 (MISEV2018): A position statement of the International Society for Extracellular Vesicles and update of the MISEV2014 guidelines. J. Extracell. Vesicles 2018, 7, 1535750. [Google Scholar] [CrossRef]
- Robinson, M.D.; Oshlack, A. A scaling normalization method for differential expression analysis of RNA-seq data. Genome Biol. 2010, 11, R25. [Google Scholar] [CrossRef]
- Kirschner, M.B.; Kao, S.C.; Edelman, J.J.; Armstrong, N.J.; Vallely, M.P.; van Zandwijk, N.; Reid, G. Haemolysis during sample preparation alters microRNA content of plasma. PLoS ONE 2011, 6, e24145. [Google Scholar] [CrossRef]
- Pizzamiglio, S.; Zanutto, S.; Ciniselli, C.M.; Belfiore, A.; Bottelli, S.; Gariboldi, M.; Verderio, P. A methodological procedure for evaluating the impact of hemolysis on circulating microRNAs. Oncol. Lett. 2017, 13, 315–320. [Google Scholar] [CrossRef]
- Bourgon, R.; Gentleman, R.; Huber, W. Independent filtering increases detection power for high-throughput experiments. Proc. Natl. Acad. Sci. USA 2010, 107, 9546–9551. [Google Scholar] [CrossRef]
- Rosenberg, L.H.; Franzen, B.; Auer, G.; Lehtio, J.; Forshed, J. Multivariate meta-analysis of proteomics data from human prostate and colon tumours. BMC Bioinform. 2010, 11, 468. [Google Scholar] [CrossRef]
- Meinshausen, N. Relaxed Lasso. Comput. Stat. Data Anal. 2007, 52, 374–393. [Google Scholar] [CrossRef]
- Jiang, D.; Huang, J.; Zhang, Y. The cross-validated AUC for MCP-logistic regression with high-dimensional data. Stat. Methods Med. Res. 2013, 22, 505–518. [Google Scholar] [CrossRef] [PubMed]
- Horn, R.; Johnson, C. Matrix Analysis, 2nd ed.; Cambridge University Press: Cambridge, UK, 2013. [Google Scholar]




| Non Conservative 95% Confidence Interval | Conservative 95% Confidence Interval | |
|---|---|---|
| Controls vs. NDB | ||
| Specificity—2-miR-ratios | 38.5% | 5.9% |
| Specificity—6-miR-ratios | N/A * | 23.1% |
| Sensitivity—2-miR-ratios | 14.3% | 4.7% |
| Sensitivity—6-miR-ratios | 14.3% | 28.6% |
| NDB vs. HGD | ||
| Specificity—4-miR-ratios | 23.8% | 19.0% |
| Specificity—7-miR-ratios | 14.3% | 23.8% |
| Sensitivity—4-miR-ratios | 29.4% | 17.6% |
| Sensitivity—7-miR-ratios | N/A * | 17.6% |
Disclaimer/Publisher’s Note: The statements, opinions and data contained in all publications are solely those of the individual author(s) and contributor(s) and not of MDPI and/or the editor(s). MDPI and/or the editor(s) disclaim responsibility for any injury to people or property resulting from any ideas, methods, instructions or products referred to in the content. |
© 2023 by the authors. Licensee MDPI, Basel, Switzerland. This article is an open access article distributed under the terms and conditions of the Creative Commons Attribution (CC BY) license (https://creativecommons.org/licenses/by/4.0/).
Share and Cite
Mayne, G.C.; Woodman, R.J.; Watson, D.I.; Bright, T.; Gan, S.; Lord, R.V.; Bourke, M.J.; Levert-Mignon, A.; Bastian, I.; Irvine, T.; et al. A Method for Increasing the Robustness of Stable Feature Selection for Biomarker Discovery in Molecular Medicine Developed Using Serum Small Extracellular Vesicle Associated miRNAs and the Barrett’s Oesophagus Disease Spectrum. Int. J. Mol. Sci. 2023, 24, 7068. https://doi.org/10.3390/ijms24087068
Mayne GC, Woodman RJ, Watson DI, Bright T, Gan S, Lord RV, Bourke MJ, Levert-Mignon A, Bastian I, Irvine T, et al. A Method for Increasing the Robustness of Stable Feature Selection for Biomarker Discovery in Molecular Medicine Developed Using Serum Small Extracellular Vesicle Associated miRNAs and the Barrett’s Oesophagus Disease Spectrum. International Journal of Molecular Sciences. 2023; 24(8):7068. https://doi.org/10.3390/ijms24087068
Chicago/Turabian StyleMayne, George C., Richard J. Woodman, David I. Watson, Tim Bright, Susan Gan, Reginald V. Lord, Michael J. Bourke, Angelique Levert-Mignon, Isabell Bastian, Tanya Irvine, and et al. 2023. "A Method for Increasing the Robustness of Stable Feature Selection for Biomarker Discovery in Molecular Medicine Developed Using Serum Small Extracellular Vesicle Associated miRNAs and the Barrett’s Oesophagus Disease Spectrum" International Journal of Molecular Sciences 24, no. 8: 7068. https://doi.org/10.3390/ijms24087068
APA StyleMayne, G. C., Woodman, R. J., Watson, D. I., Bright, T., Gan, S., Lord, R. V., Bourke, M. J., Levert-Mignon, A., Bastian, I., Irvine, T., Schloithe, A., Martin, M., Sheehan-Hennessy, L., & Hussey, D. J. (2023). A Method for Increasing the Robustness of Stable Feature Selection for Biomarker Discovery in Molecular Medicine Developed Using Serum Small Extracellular Vesicle Associated miRNAs and the Barrett’s Oesophagus Disease Spectrum. International Journal of Molecular Sciences, 24(8), 7068. https://doi.org/10.3390/ijms24087068

