Inhibition of Soluble Epoxide Hydrolase Activity by Components of Glycyrrhiza uralensis
Abstract
1. Introduction
2. Results
2.1. Extract and Isolation of Materials
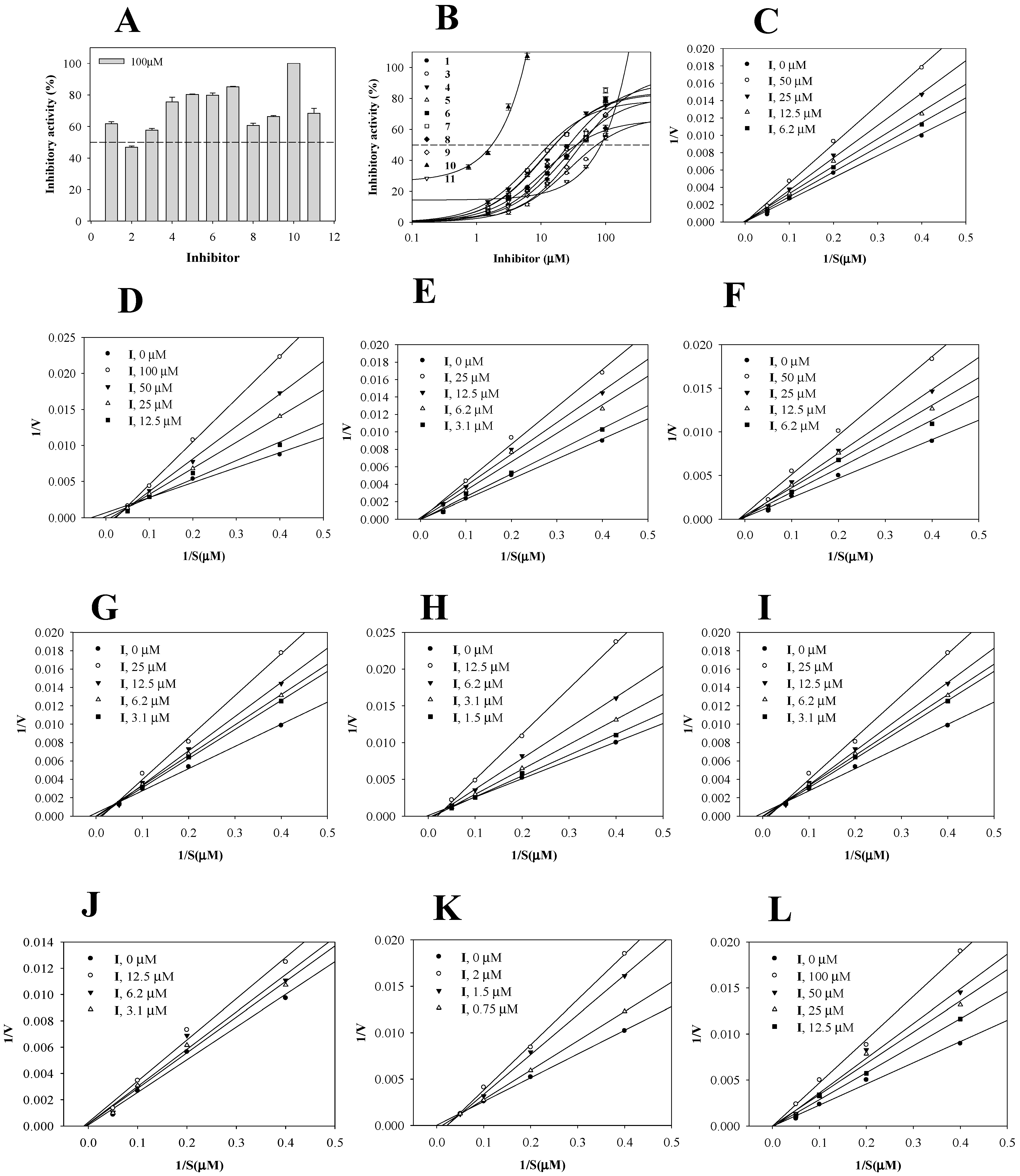
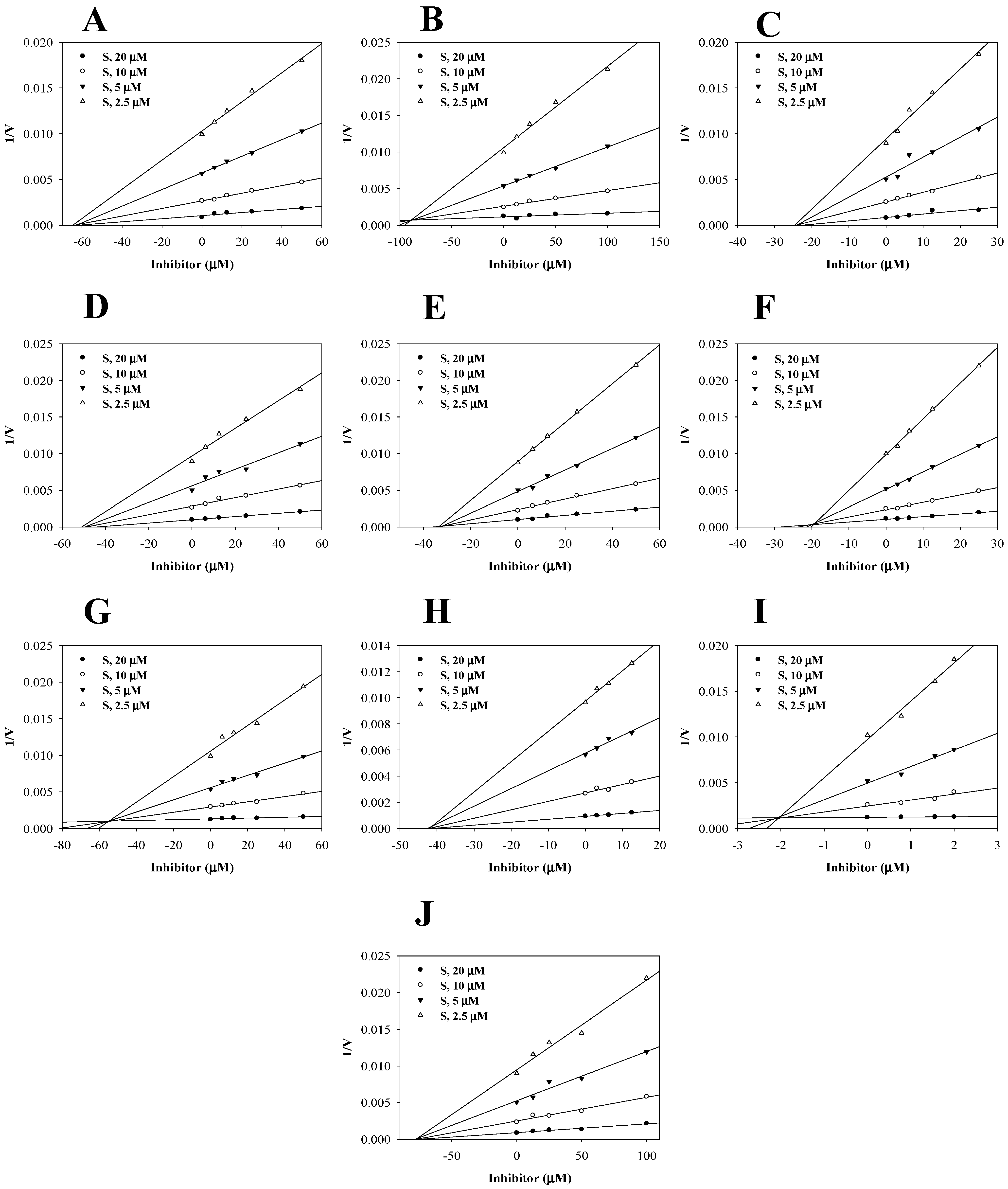
2.2. Inhibition of sEH by the Isolated Compounds
2.3. Molecular Docking
2.4. Molecular Dynamics
3. Discussion
4. Materials and Methods
4.1. General Experimental Procedures
4.2. Extract Treatment
4.3. sEH Assay
4.4. Molecular Docking
4.5. Molecular Dynamics
4.6. Statistical Analysis
5. Conclusions
Supplementary Materials
Author Contributions
Funding
Informed Consent Statement
Data Availability Statement
Conflicts of Interest
References
- Rosolowsky, M.; Campbell, W.B. Synthesis of hydroxyeicosatetraenoic (HETEs) and epoxyeicosatrienoic acids (EETs) by cultured bovine coronary artery endothelial cells. Biochim. Biophys. Acta 1996, 1299, 267–277. [Google Scholar] [CrossRef] [PubMed]
- Zeldin, D.C. Epoxygenase pathways of arachidonic acid metabolism. J. Biol. Chem. 2001, 276, 36059–36062. [Google Scholar] [CrossRef] [PubMed]
- Morisseau, C.; Hammock, B.D. Impact of soluble epoxide hydrolase and epoxyeicosanoids on human health. Annu. Rev. Pharmacol. Toxicol. 2013, 53, 37–58. [Google Scholar] [CrossRef] [PubMed]
- Shahabi, P.; Siest, G.; Visvikis-Siest, S. Influence of inflammation on cardiovascular protective effects of cytochrome P450 epoxygenase-derived epoxyeicosatrienoic acids. Drug Metab. Rev. 2014, 46, 33–56. [Google Scholar] [CrossRef] [PubMed]
- Node, K.; Huo, Y.; Ruan, X.; Yang, B.; Spiecker, M.; Ley, K.; Zeldin, D.C.; Liao, J.K. Anti-inflammatory properties of cytochrome P450 epoxygenase-derived eicosanoids. Science 1999, 285, 1276–1279. [Google Scholar] [CrossRef] [PubMed]
- Chiamvimonvat, N.; Ho, C.M.; Tsai, H.J.; Hammock, B.D. The soluble epoxide hydrolase as a pharmaceutical target for hypertension. J. Cardiovasc. Pharmacol. 2007, 50, 225–237. [Google Scholar] [CrossRef]
- Spector, A.A. Arachidonic acid cytochrome P450 epoxygenase pathway. J. Lipid Res. 2009, 50, S52–S56. [Google Scholar] [CrossRef]
- Schmelzer, K.R.; Kubala, L.; Newman, J.W.; Kim, I.H.; Eiserich, J.P.; Hammock, B.D. Soluble epoxide hydrolase is a therapeutic target for acute inflammation. Proc. Natl. Acad. Sci. USA 2005, 102, 9772–9777. [Google Scholar] [CrossRef]
- Smith, K.R.; Pinkerton, K.E.; Watanabe, T.; Pedersen, T.L.; Ma, S.J.; Hammock, B.D. Attenuation of tobacco smoke-induced lung inflammation by treatment with a soluble epoxide hydrolase inhibitor. Proc. Natl. Acad. Sci. USA 2005, 102, 2186–2191. [Google Scholar] [CrossRef]
- Mello, A.; Hsu, M.-F.; Koike, S.; Chu, B.; Cheng, J.; Yang, J.; Morisseau, C.; Torok, N.J.; Hammock, B.D.; Haj, F.G. Soluble Epoxide Hydrolase Hepatic Deficiency Ameliorates Alcohol-Associated Liver Disease. Cell Mol. Gastroenterol. Hepatol. 2021, 11, 815–830. [Google Scholar] [CrossRef]
- Sun, C.-C.; Zhang, C.-Y.; Duan, J.-X.; Guan, X.-X.; Yang, H.-H.; Jiang, H.-L.; Hammock, B.D.; Hwang, S.H.; Zhou, Y.; Guan, C.-X.; et al. PTUPB ameliorates high-fat diet-induced non-alcoholic fatty liver disease via inhibiting NLRP3 inflammasome activation in mice. Biochem. Biophys. Res. Commun. 2020, 523, 1020–1026. [Google Scholar] [CrossRef]
- Asl, M.N.; Hosseinzadeh, H. Review of pharmacological effects of Glycyrrhiza sp. and its bioactive compounds. Phytother. Res. 2008, 22, 709–724. [Google Scholar] [CrossRef]
- Sharifi-Rad, J.; Quispe, C.; Herrera-Bravo, J.; Belén, L.H.; Kaur, R.; Kregiel, D.; Uprety, Y.; Beyatli, A.; Yeskaliyeva, B.; Kırkın, C.; et al. Glycyrrhiza Genus: Enlightening Phytochemical Components for Pharmacological and Health-Promoting Abilities. Oxidative Med. Cell. Longev. 2021, 2021, 7571132. [Google Scholar] [CrossRef]
- Zhang, J.; Gao, W.; Yan, S.; Zhao, Y. Effects of Space Flight on the Chemical Constituents and Anti-Inflammatory Activity of Licorice (Glycyrrhiza uralensis Fisch). Iran. J. Pharm. Res. 2012, 11, 601–609. [Google Scholar]
- Lee, E.J.; Shaikh, S.; Ahmad, K.; Ahmad, S.S.; Lim, J.H.; Park, S.; Yang, H.J.; Cho, W.-K.; Park, S.-J.; Lee, Y.-H.; et al. Isolation and characterization of compounds from Glycyrrhiza uralensis as therapeutic agents for the muscle disorders. Int. J. Mol. Sci. 2021, 22, 876. [Google Scholar] [CrossRef]
- Qiao, X.; Ji, S.; Yu, S.-W.; Lin, X.-H.; Jin, H.-W.; Duan, Y.-K.; Zhang, L.-R.; Guo, D.-A.; Ye, M. Identification of key licorice constituents which interact with cytochrome P450: Evaluation by LC/MS/MS cocktail assay and metabolic profiling. AAPS J. 2013, 16, 101–113. [Google Scholar] [CrossRef]
- Larsen, B.T.; Gutterman, D.D.; Hatoum, O.A. Emerging role of epoxyeicosatrienoic acids in coronary vascular function. Eur. J. Clin. Investig. 2006, 36, 293–300. [Google Scholar] [CrossRef]
- Shen, H.C.; Hammock, B.D. Discovery of inhibitors of soluble epoxide hydrolase: A target with multiple potential therapeutic indications. J. Med. Chem. 2012, 55, 1789–1808. [Google Scholar] [CrossRef]
- Zhao, W.-Y.; Yan, J.-J.; Zhang, M.; Wang, C.; Feng, L.; Lv, X.; Huo, X.-K.; Sun, C.-P.; Chen, L.-X.; Ma, X.-C. Natural soluble epoxide hydrolase inhibitors from Inula britanica and their potential interactions with soluble epoxide hydrolase: Insight from inhibition kinetics and molecular dynamics. Chem. Biol. Interact. 2021, 345, 109571. [Google Scholar] [CrossRef]
- Zhao, W.Y.; Zhang, X.-Y.; Zhou, M.-R.; Tian, X.-G.; Lv, X.; Zhang, H.-L.; Deng, S.; Zhang, B.-J.; Sun, C.-P.; Ma, X.C. Natural soluble epoxide hydrolase inhibitors from Alisma orientale and their potential mechanism with soluble epoxide hydrolase. Inter. J. Biol. Macromol. 2021, 183, 811–817. [Google Scholar] [CrossRef]
- Singh, N.; Barnych, B.; Morisseau, C.; Wagner, K.M.; Wan, D.; Takeshita, A.; Pham, H.; Xu, T.; Dandekar, A.; Liu, J.-Y.; et al. N-Benzyl-linoleamide, a Constituent of Lepidium meyenii (Maca), is an orally bioavailable soluble Eepoxide hydrolase inhibitor that alleviates inflammatory pain. J. Nat. Prod. 2020, 83, 3689–3697. [Google Scholar] [CrossRef]
- Ahn, J.Y.; Kim, S.; Jung, S.E.; Ha, T.Y. Effect of licorice (Glycyrrhiza uralensis fisch) on amyloid-β-induced neurotoxicity in PC12 cells. Food Sci. Biotechnol. 2010, 19, 1391–1395. [Google Scholar] [CrossRef]
- Gou, S.-H.; He, M.; Li, B.-B.; Zhu, N.-Y.; Ni, J.-M. Hepatoprotective effect of total flavonoids from Glycyrrhiza uralensis Fisch in liver injury mice. Nat. Prod. Res. 2021, 35, 6083–6087. [Google Scholar] [CrossRef]
- Isbrucker, R.A.; Burdock, G.A. Risk and safety assessment on the consumption of Licorice root (Glycyrrhiza sp.), its extract and powder as a food ingredient, with emphasis on the pharmacology and toxicology of glycyrrhizin. Regul. Toxicol. Pharmacol. 2006, 46, 167–192. [Google Scholar] [CrossRef]
- Wang, C.; Chen, L.; Xu, C.; Shi, J.; Chen, S.; Tan, M.; Chen, J.; Zou, L.; Chen, C.; Liu, Z.; et al. A Comprehensive Review for Phytochemical, Pharmacological, and Biosynthesis Studies on Glycyrrhiza spp. Am. J. Chin. Med. 2020, 48, 17–45. [Google Scholar] [CrossRef]





| Inhibitory Activity at 100 μM (%) a | IC50 (μM) | Binding Mode (ki, μM) | |
|---|---|---|---|
| 1 | 61.5 ± 1.2 | 40.1 ± 1.2 | Noncompetitive (63.1) |
| 2 | 46.8 ± 0.8 | N.T. b | - |
| 3 | 57.6 ± 1.1 | 72.3 ± 0.5 | Competitive (89.1) |
| 4 | 75.6 ± 2.9 | 17.6 ± 0.6 | Noncompetitive (24.2) |
| 5 | 80.2 ± 0.3 | 25.8 ± 0.2 | Noncompetitive (48.8) |
| 6 | 79.3 ± 1.4 | 22.2 ± 0.1 | Noncompetitive (32.7) |
| 7 | 85.1 ± 0.3 | 16.2 ± 0.3 | Competitive (19.8) |
| 8 | 60.7 ± 1.3 | 35.7 ± 0.7 | Competitive (54.4) |
| 9 | 69.5 ± 0.5 | 42.5 ± 1.5 | Noncompetitive (41.1) |
| 10 | >100 | 1.9 ± 0.2 | Competitive (2.0) |
| 11 | 68.4 ± 3.1 | 85.7 ± 1.2 | Noncompetitive (75.6) |
| Autodock Score (kcal/mol) | Hydrogen Bonds | |
|---|---|---|
| 1 | −8.25 | Arg410 (2.61), Val416 (3.01), Tyr466 (2.97) |
| 3 | −9.38 | Lys495 (3.16), Phe497 (2.69), Trp525 (3.02). Tyr466 (2.61) |
| 4 | −8.51 | Val416 (2.84), Arg410 (2.62), Trp525 (2.93) Tyr466 (2.81), Phe267 (2.72) |
| 5 | −10.06 | Asp335 (2.82), Ser407 (2.70), Ala411 (3.09), His524 (3.17) Arg410 (2.35, 3.35) |
| 6 | −9.15 | His524 (2.74), Phe267 (2.57), Asn472 (2.99) Tyr343 (2.71, 2.69), Pro371 (2.40, 3.23) |
| 7 | −7.94 | Asp335 (3.10), Tyr383 (2.64) |
| 8 | −9.22 | Pro371 (2.78, 2.98), Gln384 (2.98), Trp336 (2.91) |
| 9 | −9.4 | Asp335 (2.75) |
| 10 | −8.57 | Gln384 (2.95), Tyr383 (3.34), Asp335 (2.90) |
| 11 | −10.38 | Asp335 (2.50) |
Disclaimer/Publisher’s Note: The statements, opinions and data contained in all publications are solely those of the individual author(s) and contributor(s) and not of MDPI and/or the editor(s). MDPI and/or the editor(s) disclaim responsibility for any injury to people or property resulting from any ideas, methods, instructions or products referred to in the content. |
© 2023 by the authors. Licensee MDPI, Basel, Switzerland. This article is an open access article distributed under the terms and conditions of the Creative Commons Attribution (CC BY) license (https://creativecommons.org/licenses/by/4.0/).
Share and Cite
Kim, J.H.; Huh, Y.-C.; Hur, M.; Park, W.T.; Moon, Y.-H.; Kim, T.I.; Kim, Y.I.; Kim, S.M.; Lee, J.; Lee, I.S. Inhibition of Soluble Epoxide Hydrolase Activity by Components of Glycyrrhiza uralensis. Int. J. Mol. Sci. 2023, 24, 6485. https://doi.org/10.3390/ijms24076485
Kim JH, Huh Y-C, Hur M, Park WT, Moon Y-H, Kim TI, Kim YI, Kim SM, Lee J, Lee IS. Inhibition of Soluble Epoxide Hydrolase Activity by Components of Glycyrrhiza uralensis. International Journal of Molecular Sciences. 2023; 24(7):6485. https://doi.org/10.3390/ijms24076485
Chicago/Turabian StyleKim, Jang Hoon, Yun-Chan Huh, Mok Hur, Woo Tae Park, Youn-Ho Moon, Tae Il Kim, Yong Il Kim, Seon Mi Kim, Jeonghoon Lee, and Ik Soo Lee. 2023. "Inhibition of Soluble Epoxide Hydrolase Activity by Components of Glycyrrhiza uralensis" International Journal of Molecular Sciences 24, no. 7: 6485. https://doi.org/10.3390/ijms24076485
APA StyleKim, J. H., Huh, Y.-C., Hur, M., Park, W. T., Moon, Y.-H., Kim, T. I., Kim, Y. I., Kim, S. M., Lee, J., & Lee, I. S. (2023). Inhibition of Soluble Epoxide Hydrolase Activity by Components of Glycyrrhiza uralensis. International Journal of Molecular Sciences, 24(7), 6485. https://doi.org/10.3390/ijms24076485
