Experimental Studies on the Thermal Properties and Decomposition Course of a Novel Class of Heterocyclic Anticancer Drug Candidates
Abstract
1. Introduction
2. Results and Discussion
2.1. Melting Temperatures of Compounds 1–5 Evaluated Based on the DSC Method
2.2. Thermal Stability of Compounds 1–5 in Inert Conditions
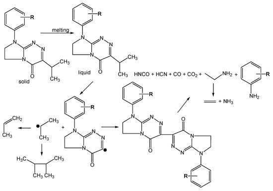
2.3. Decomposition Mechanism of Compounds 1–5 in Inert Conditions
2.4. Thermal Stability of Compounds 1–5 in Oxidizing Conditions
2.5. Decomposition Mechanism of Compounds 1–5 in Oxidizing Conditions
3. Materials and Methods
3.1. A Set of the Investigated Molecules (1–5)
3.2. Differential Scanning Calorimetry (DSC)
3.3. Simultaneous Thermogravimetric Analysis Coupled with FTIR and QMS (TG/DTG/FTIR/QMS)
4. Conclusions
- (1)
- It was found that all the tested compounds melted within one narrow temperature range, and the melting point value depended on their structure. The solid–liquid phase transition of each compound was documented as one sharp peak. Their melting points were ordered as follows: the 3-Cl derivative < the 4-CH3 derivative < the unsubstituted compound < the 4-Cl derivative < the 3,4-Cl2 derivative. However, it was proven that the melting point value did not depend on the atmosphere in which the research was carried out.
- (2)
- The TG/DTG analyses proved that the decomposition process of the studied compounds occurred in one stage in an inert atmosphere. The thermal stability of all the molecules was higher than 250 °C in inert conditions and depended on their structure. The heating of the tested compounds to 450 °C led to their complete or almost complete decomposition.
- (3)
- The decomposition enthalpies (ΔHdec) evaluated in an inert atmosphere were dependent on the type of the substituent at the phenyl moiety. The compounds containing at least one chlorine substituent at the phenyl moiety were characterized by lower ΔHdec values than the remaining molecules without chlorine atoms in their structure. This proved that the presence of the electron-withdrawing substituent/substituents in the structure reduces the heat energy needed for the decomposition of the tested compounds.
- (4)
- On the basis of the FTIR and QMS analyses, it was found that the main decomposition products of the tested compounds were NH3, HCN, HNCO and its derivatives, CO2, CO, H2O, aromatic amine derivatives, alkenes (for compounds 1–5), and HCl (for the compound 5). The type of volatiles indicated the random breaking of the C–N and the C–C bonds in the structures of the studied compounds and the formation of intermediates.
- (5)
- In turn, the conducted research confirmed that the decomposition process of the tested molecules occurred in at least two stages in an atmosphere of synthetic air. The thermal stability was higher than 260 °C in an oxidizing atmosphere and, as a rule, higher than that evaluated in an inert atmosphere. Hence, it is probable that oxygen may delay the decomposition process of these polynitrogenated heterocycles by enhancing the decomposition activation energy of newly formed radical species. Their thermal stability in the presence of a synthetic air atmosphere was ordered as follows: the 4-CH3 derivative (264 °C) < the unsubstituted compound (275 °C) < the 4-Cl derivative (286 °C) < the 3-Cl derivative (290 °C) < the 3,4-Cl2 derivative (300 °C), taking into account the values of their initial decomposition. All the tested compounds completely decomposed after their heating to 650 °C.
- (6)
- The decomposition enthalpies in the first decomposition stage (ΔHdec1) and in the second decomposition stage (ΔHdec2) evaluated in a synthetic air atmosphere showed significantly different values. The lower ΔHdec1 values, as compared to ΔHdec2 values, indicated a different nature of the decomposition process in both stages. Mainly, the chemical reactions between the intermediate decomposition products and/or oxygen were expected in the first decomposition stage. In turn, during the second decomposition stage, the combustion processes were the main processes.
- (7)
- The emission of the following gases: NH3, CO2, CO, HCN, HNCO, H2O, N2, NO2, NH2OH, and some aromatics in the first decomposition stage were observed. While during the second decomposition stage, the emission of CO2, CO, H2O, HCN, N2, NO2, NH2OH, (CN)2 (for compounds 1–5) and HCl (for compounds 3–5) was confirmed. The emission of the additional volatiles such as N2, NO2, NH2OH, and (CN)2 indicated that the decomposition process of these compounds was more complicated in an oxidizing atmosphere. It included the simultaneous random breaking of the C–N and the C–C bonds combined with formed volatiles-oxygen reactions and combustion processes of the volatiles and residues.
- (8)
- It was proven that the investigated compounds are materials with high thermal stability and purity, which makes them attractive for pharmaceutical applications. The research results are important from a practical point of view and, therefore, will be helpful in selecting the most promising compounds for further clinical trials and in evaluating the conditions of their storage and processing, as well as their influence on the environment under the heating. From a scientific point of view, the information on the decomposition pathways of thermally stable heterocyclic drug-like molecules, especially those of small molecular mass, is an important contribution to the current state of knowledge.
Author Contributions
Funding
Institutional Review Board Statement
Informed Consent Statement
Data Availability Statement
Conflicts of Interest
Sample Availability
References
- Sztanke, M.; Rzymowska, J.; Janicka, M.; Sztanke, K. Two novel classes of fused azaisocytosine-containing congeners as promising drug candidates: Design, synthesis as well as in vitro, ex vivo and in silico studies. Bioorganic Chem. 2020, 95, 103480. [Google Scholar] [CrossRef] [PubMed]
- Janicka, M.; Mycka, A.; Sztanke, M.; Sztanke, K. Predicting Pharmacokinetic Properties of Potential Anticancer Agents via Their Chromatographic Behavior on Different Reversed Phase Materials. Int. J. Mol. Sci. 2021, 22, 4257. [Google Scholar] [CrossRef] [PubMed]
- Mazur, L.; Łyszczek, R.; Sztanke, M.; Sztanke, K. Crystal structure of 8-(4-methylphenyl)-3-(propan-2-yl)-7,8-dihydroimidazo[2,1-c][1,2,4]triazin-4(6H)-one: A potential antitumor agent. Acta Pol. Pharm. 2022, 79, 283–288. [Google Scholar] [CrossRef]
- Sztanke, M.; Sztanke, K.; Medical University of Lublin. 8-Substituted-3-(propan-2-yl)-7,8-dihydroimidazo[2,1-c][1,2,4]triazin-4(6H)-ones, Method for Obtaining Them and Medical Application. Polish Patent PL 236364, 11 January 2021. [Google Scholar]
- Sztanke, M.; Rzymowska, J.; Sztanke, K. Anti-Tumor Active Isopropylated Fused Azaisocytosine-Containing Congeners Are Safe for Developing Danio rerio as well as Red Blood Cells and Activate Apoptotic Caspases in Human Breast Carcinoma Cells. Molecules 2022, 27, 1211. [Google Scholar] [CrossRef] [PubMed]
- Kumar, R.; Sirohi, T.; Singh, H.; Yadav, R.; Roy, R.; Chaudhary, A.; Pandeya, S. 1,2,4-Triazine Analogs as Novel Class of Therapeutic Agents. Mini-Rev. Med. Chem. 2014, 14, 168–207. [Google Scholar] [CrossRef]
- Zálešák, F.; Slouka, J.; Stýskala, J. General Synthesis of 1-Aryl-6-azaisocytosines and Their Utilization for the Preparation of Related Condensed 1,2,4-Triazines. Molecules 2019, 24, 3558. [Google Scholar] [CrossRef]
- Moura Ramos, J.J.; Diogo, H.P. Calorimetric (DSC) and dielectric (TSDC) investigation on the thermal behavior and molecular mobility in the supercooled liquid and glassy states of bifonazole and lamotrigine. J. Therm. Anal. Calorim. 2021, 145, 3077–3085. [Google Scholar] [CrossRef]
- Fasihi, Z.; Zakeri-Milani, P.; Nokhodchi, A.; Akbari, J.; Barzegar-Jalali, M.; Loebenberg, R.; Valizadeh, H. Thermodynamic approaches for the prediction of oral drug absorption. J. Therm. Anal. Calorim. 2017, 130, 1371–1382. [Google Scholar] [CrossRef]
- Chadha, R.; Kashid, N.; Jain, D.V.S. Characterization and quantification of amorphous content in some selected parenteral cephalosporins by calorimetric method. J. Therm. Anal. Calorim. 2005, 81, 277–284. [Google Scholar] [CrossRef]
- Attia, A.K.; Souaya, E.R.; Soliman, E.A. Thermal Analysis Investigation of Dapoxetine and Vardenafil Hydrochlorides using Molecular Orbital Calculations. Adv. Pharm. Bull. 2015, 5, 523–529. [Google Scholar] [CrossRef]
- Masłowska, J.; Jaroszyńska, J. Studies on the thermal decompositions of As-triazine derivatives and their compounds with metal ions. J. Therm. Anal. 1987, 32, 1667–1674. [Google Scholar] [CrossRef]
- Sikorska-Iwan, M.; Modzelewska-Banachiewicz, B. Thermal behaviour of 1,2,4-triazole and 1,2,4-triazine derivatives. J. Therm. Anal. Calorim. 2005, 81, 119–123. [Google Scholar] [CrossRef]
- Dong, Z.; An, D.; Yang, R.; Ye, Z. Nitrogen-rich salts based on 3-dinitromethyl-[1,2,4]triazine: Synthesis, characterization, and performance. Z. Anorg. Allg. Chem. 2019, 645, 1031–1036. [Google Scholar] [CrossRef]
- Schulze, M.C.; Scott, B.L.; Chavez, D.E. A high density pyrazolo-triazine explosive (PTX). J. Mater. Chem. A 2015, 3, 17963–17965. [Google Scholar] [CrossRef]
- Han, Z.; Yao, Q.; Du, Z.; Tang, Z.; Cong, X.; Zhao, L. Single Crystal, Molecular Accumulation and Thermal Analysis of Tetrazolo[l,5-b][1,2,4]triazine. J. Heterocycl. Chem. 2016, 53, 280–283. [Google Scholar] [CrossRef]
- Zhao, X.; Zhang, S.; Li, S.; Lu, J.; Zhang, J.; Pang, S. Searching for long intra-annular nitrogen chains: Synthesis, characterization, and decomposition mechanism of tetrazolo[1,5-b][1,2,4]triazines. Mater. Des. 2016, 90, 1050–1058. [Google Scholar] [CrossRef]
- Bartyzel, A.; Sztanke, M.; Sztanke, K. An insight into the thermal behaviour of biologically active 8-aryl-4-oxo-4,6,7,8-tetrahydroimidazo[2,1-c][1,2,4]triazine-3-carbohydrazides. J. Anal. Appl. Pyrolysis 2016, 121, 138–145. [Google Scholar] [CrossRef]
- Worzakowska, M.; Sztanke, M.; Sztanke, K. Decomposition mechanism of annelated triazinones bearing the para-nitrophenyl group. J. Anal. Appl. Pyrolysis 2020, 149, 104856. [Google Scholar] [CrossRef]
- Worzakowska, M.; Sztanke, M.; Sztanke, K. Pyrolysis and oxidative decomposition mechanism of trifluoromethylated fused triazinones. J. Anal. Appl. Pyrolysis 2021, 157, 105226. [Google Scholar] [CrossRef]
- Łyszczek, R.; Bartyzel, A.; Głuchowska, H.; Mazur, L.; Sztanke, M.; Sztanke, K. Thermal investigations of biologically important fused azaisocytosine-containing congeners and the crystal structure of one representative. J. Anal. Appl. Pyrolysis 2018, 135, 141–151. [Google Scholar] [CrossRef]
- Bartyzel, A.; Sztanke, M.; Sztanke, K. Thermal behaviour of antiproliferative active 3-(2-furanyl)-8-aryl-7,8-dihydroimidazo[2,1-c][1,2,4]triazin-4(6H)-ones. J. Therm. Anal. Calorim. 2017, 130, 1541–1551. [Google Scholar] [CrossRef]
- Battig, A.; Markwart, J.C.; Wurm, F.R.; Schartel, B. Hyperbranched phosphorus flame retardants: Multifunctional additives for epoxy resins. Polym. Chem. 2019, 10, 4346–4358. [Google Scholar] [CrossRef]
- NIST Chemistry Webbook. NIST Standard Reference Data. 2011. Available online: http://webbook.nist.gov (accessed on 7 February 2023).
- Rytlewski, P.; Jagodziński, B.; Wojciechowska, A.; Moraczewski, K.; Malinowski, R. TG-FTIR coupled analysis to predetermine effective precursors for laser-activated and electroless metallized materials. J. Therm. Anal. Calorim. 2020, 141, 697–705. [Google Scholar] [CrossRef]
- Cai, H.; Liu, J.; Xie, W.; Kuo, J.; Buyukada, M.; Evrendilek, F. Pyrolytic kinetics, reaction mechanisms and products of waste tea via TG-FTIR and Py-GC/MS. Energy Convers. Manag. 2019, 184, 436–447. [Google Scholar] [CrossRef]
- Materazzi, S.; Vecchio, S. Recent Applications of Evolved Gas Analysis by Infrared Spectroscopy (IR-EGA). Appl. Spectrosc. Rev. 2013, 48, 654–689. [Google Scholar] [CrossRef]
- Li, J.; Wang, Z.; Yang, X.; Hu, L.; Liu, Y.; Wang, C. Evaluate the pyrolysis pathway of glycine and glycylglycine by TG–FTIR. J. Anal. Appl. Pyrolysis 2007, 80, 247–253. [Google Scholar] [CrossRef]
- Tang, G.; Zhou, L.; Zhang, P.; Han, Z.; Chen, D.; Liu, X.; Zhou, Z. Effect of aluminum diethylphosphinate on flame retardant and thermal properties of rigid polyurethane foam composites. J. Therm. Anal. Calorim. 2020, 140, 625–636. [Google Scholar] [CrossRef]
- Cai, G.M.; Yu, W.D. Study on the thermal degradation of high performance fibers by TG/FTIR and Py-GC/MS. J. Therm. Anal. Calorim. 2011, 104, 757–763. [Google Scholar] [CrossRef]
- Gée, C.; Douin, S.; Crépin, C.; Bréchignac, P. Infrared spectroscopy of aniline (C6H5NH2) and its cation in a cryogenic argon matrix. Chem. Phys. Lett. 2001, 338, 130–136. [Google Scholar] [CrossRef]
- Cervellati, R.; Corbelli, G.; Degli Esposti, A.; Lister, D.G.; Todesco, P.E. Identification of the pyrolysis products of some aromatic amines using microwave spectroscopy. J. Chem. Soc. Perkin Trans. 2 1987, 585–589. [Google Scholar] [CrossRef]
- Groner, P.; Winnewisser, M.; Medvedev, I.R.; De Lucia, F.C.; Herbst, E.; Sastry, K.V.L.N. The Millimeter- and Submillimeter-Wave Spectrum of Methyl Carbamate [CH3OC(:O)NH2]. Astrophys. J. Suppl. Ser. 2007, 169, 28–36. [Google Scholar] [CrossRef]
- Lehmann, W.D.; Bohne, A.; von der Lieth, C.-W. The information encrypted in accurate peptide masses—Improved protein identification and assistance in glycopeptide identification and characterization. J. Mass Spectrom. 2000, 35, 1335–1341. [Google Scholar] [CrossRef]
- Shamsipur, M.; Pourmortazavi, S.M.; Beigi, A.A.M.; Heydari, R.; Khatibi, M. Thermal Stability and Decomposition Kinetic Studies of Acyclovir and Zidovudine Drug Compounds. AAPS PharmSciTech 2013, 14, 287–293. [Google Scholar] [CrossRef] [PubMed]
- Yoshida, M.I.; Gomes, E.C.L.; Soares, C.D.V.; Oliveira, M.A. Thermal behavior study and decomposition kinetics of amiodarone hydrochloride under isothermal conditions. Drug Dev. Ind. Pharm. 2011, 37, 638–647. [Google Scholar] [CrossRef] [PubMed]
- Back, R.A.; Ketcheson, R. Photolysis of HNCO vapor in the presence of NO and O2. Can. J. Chem. 1968, 46, 531–534. [Google Scholar] [CrossRef]
- Dagaut, P.; LeComte, F.; Chevailler, S.; Cathonnet, M. The Oxidation of HCN and Reactions with Nitric Oxide: Experimental and Detailed Kinetic Modeling. Combust. Sci. Technol. 2000, 155, 105–127. [Google Scholar] [CrossRef]
- Glarborg, P.; Kristensen, P.G.; Jensen, S.H.; Dam-Johansen, K. A flow reactor study of HNCO oxidation chemistry. Combust. Flame 1994, 98, 241–258. [Google Scholar] [CrossRef]
- Leslie, M.D.; Ridoli, M.; Murphy, J.G.; Borduas-Dedekind, N. Isocyanic acid (HNCO) and its fate in the atmosphere: A review. Environ. Sci. Process. Impacts 2019, 21, 793–808. [Google Scholar] [CrossRef]
- Lifshitz, A.; Frenklach, M. Oxidation of cyanogen. II. The mechanism of the oxidation. Int. J. Chem. Kinet. 1980, 12, 159–168. [Google Scholar] [CrossRef]
- Houser, T.J.; Lee, P.K. Oxidation of Cyanogen. Combust. Sci. Technol. 1980, 23, 177–179. [Google Scholar] [CrossRef]
- Dagaut, P.; Glarborg, P.; Alzueta, M.U. The oxidation of hydrogen cyanide and related chemistry. Prog. Energy Combust. Sci. 2008, 34, 1–46. [Google Scholar] [CrossRef]
- Santoro, R.J.; Glassman, I. A Review of Oxidation of Aromatic Compounds. Combust. Sci. Technol. 1979, 19, 161–164. [Google Scholar] [CrossRef]
- Brezinsky, K. The high-temperature oxidation of aromatic hydrocarbons. Prog. Energy Combust. Sci. 1986, 12, 1–24. [Google Scholar] [CrossRef]











| Sample | R | Melting Process | |||||
|---|---|---|---|---|---|---|---|
| Helium | Synthetic Air | ||||||
| Tonset/°C | Tpeak/°C | ΔH/J/g | Tonset/°C | Tpeak/°C | ΔH/J/g | ||
| 1 | H | 198.9 | 202.8 | 81.8 | 197.2 | 201.8 | 154.6 |
| 2 | 4-CH3 | 194.8 | 197.7 | 74.7 | 193.1 | 197.1 | 151.3 |
| 3 | 3-Cl | 148.7 | 152.7 | 46.5 | 148.7 | 152.9 | 122.3 |
| 4 | 4-Cl | 200.0 | 203.5 | 57.6 | 198.3 | 202.4 | 125.5 |
| 5 | 3,4-Cl2 | 200.8 | 204.3 | 61.2 | 199.8 | 203.8 | 128.9 |
| Sample | R | Degradation Process | ||||
|---|---|---|---|---|---|---|
| First Decomposition Stage | ||||||
| T5%/°C | Tmax1/°C | Δm1/% | ΔHdec/J/g | rm/% | ||
| 1 | H | 253 | 326 | 98.6 | 275.9 | 1.4 |
| 2 | 4-CH3 | 266 | 340 | 99.0 | 263.8 | 1.0 |
| 3 | 3-Cl | 259 | 337 | 100.0 | 234.4 | 0.0 |
| 4 | 4-Cl | 266 | 340 | 97.5 | 239.7 | 2.5 |
| 5 | 3,4-Cl2 | 269 | 350 | 100.0 | 208.4 | 0.0 |
| Sample | R | Degradation Process | ||||||
|---|---|---|---|---|---|---|---|---|
| First Decomposition Stage | Second Decomposition Stage | |||||||
| T5%/°C | Tmax1/°C | Δm1/% | ΔHdec1/J/g | Tmax2/°C | Δm2/% | ΔHdec2/J/g | ||
| 1 | H | 275 | 343 | 87.6 | 376.2 | 589 | 12.4 | 2010 |
| 2 | 4-CH3 | 264 | 349 | 90.2 | 341.6 | 584 | 9.8 | 3053 |
| 3 | 3-Cl | 290 | 356 | 78.9 | 462.8 | 562 | 21.1 | 3267 |
| 4 | 4-Cl | 286 | 355 | 76.5 | 445.6 | 576 | 23.5 | 3095 |
| 5 | 3,4-Cl2 | 300 | 358 | 64.9 | 438.3 | 555 | 35.1 | 3280 |
Disclaimer/Publisher’s Note: The statements, opinions and data contained in all publications are solely those of the individual author(s) and contributor(s) and not of MDPI and/or the editor(s). MDPI and/or the editor(s) disclaim responsibility for any injury to people or property resulting from any ideas, methods, instructions or products referred to in the content. |
© 2023 by the authors. Licensee MDPI, Basel, Switzerland. This article is an open access article distributed under the terms and conditions of the Creative Commons Attribution (CC BY) license (https://creativecommons.org/licenses/by/4.0/).
Share and Cite
Worzakowska, M.; Sztanke, M.; Sztanke, K. Experimental Studies on the Thermal Properties and Decomposition Course of a Novel Class of Heterocyclic Anticancer Drug Candidates. Int. J. Mol. Sci. 2023, 24, 6190. https://doi.org/10.3390/ijms24076190
Worzakowska M, Sztanke M, Sztanke K. Experimental Studies on the Thermal Properties and Decomposition Course of a Novel Class of Heterocyclic Anticancer Drug Candidates. International Journal of Molecular Sciences. 2023; 24(7):6190. https://doi.org/10.3390/ijms24076190
Chicago/Turabian StyleWorzakowska, Marta, Małgorzata Sztanke, and Krzysztof Sztanke. 2023. "Experimental Studies on the Thermal Properties and Decomposition Course of a Novel Class of Heterocyclic Anticancer Drug Candidates" International Journal of Molecular Sciences 24, no. 7: 6190. https://doi.org/10.3390/ijms24076190
APA StyleWorzakowska, M., Sztanke, M., & Sztanke, K. (2023). Experimental Studies on the Thermal Properties and Decomposition Course of a Novel Class of Heterocyclic Anticancer Drug Candidates. International Journal of Molecular Sciences, 24(7), 6190. https://doi.org/10.3390/ijms24076190

