Epstein–Barr Virus Reactivation as a New Predictor of Achieving Remission or Lupus Low Disease Activity State in Patients with Systemic Lupus Erythematosus with Cutaneous Involvement
Abstract
1. Introduction
2. Results
2.1. Characteristics of the Study Cohort
2.2. Clinical, Laboratory, and Therapeutic Characteristics of Patients during the Follow Up
2.3. EBV Infection Status during Follow Up
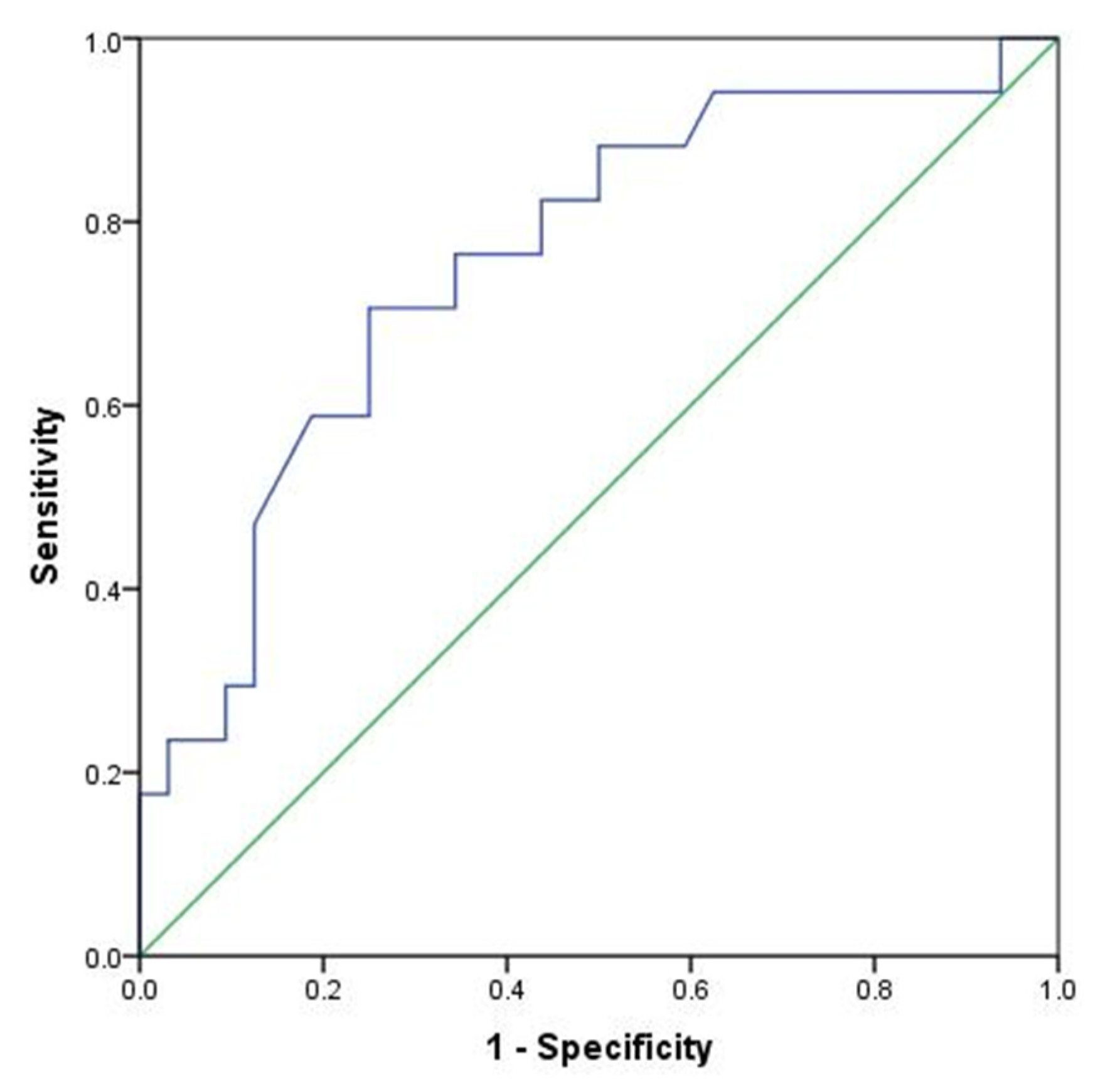
2.4. Presence of Anti-EA (D) IgM Antibodies in Patients with Active Rash Is Associated with Increased Chance of Achieving Remission and LLDAS
2.5. SLE-Related Features as Predictors of Transition from Active to Latent EBV Infection
3. Discussion
4. Materials and Methods
4.1. Study Design, Patients, and Samples
4.2. Evaluation of Serological Markers of EBV Infection and EBV DNA Detection
4.3. Autoantibodies and Immunoserological Testing
4.4. Data Analysis
5. Conclusions
Author Contributions
Funding
Institutional Review Board Statement
Informed Consent Statement
Data Availability Statement
Conflicts of Interest
References
- Tsokos, G.C.; Lo, M.S.; Reis, P.C.; Sullivan, K.E. New Insights into the Immunopathogenesis of Systemic Lupus Erythematosus. Nat. Rev. Rheumatol. 2016, 12, 716–730. [Google Scholar] [CrossRef] [PubMed]
- Rönnblom, L.; Leonard, D. Interferon Pathway in SLE: One Key to Unlocking the Mystery of the Disease. Lupus Sci. Med. 2019, 6, e000270. [Google Scholar] [CrossRef]
- Pan, Q.; Liu, Z.; Liao, S.; Ye, L.; Lu, X.; Chen, X.; Li, Z.; Li, X.; Xu, Y.Z.; Liu, H. Current Mechanistic Insights into the Role of Infection in Systemic Lupus Erythematosus. Biomed. Pharmacother. 2019, 117, 109122. [Google Scholar] [CrossRef] [PubMed]
- Babcock, G.J.; Hochberg, D.; Thorley-Lawson, D.A. The Expression Pattern of Epstein-Barr Virus Latent Genes in Vivo Is Dependent upon the Differentiation Stage of the Infected B Cell. Immunity 2000, 13, 497–506. [Google Scholar] [CrossRef] [PubMed]
- Draborg, A.H.; Duus, K.; Houen, G. Epstein-Barr Virus in Systemic Autoimmune Diseases. Clin. Dev. Immunol. 2013, 2013, 535738. [Google Scholar] [CrossRef]
- Draborg, A.; Izarzugaza, J.M.G.; Houen, G. How Compelling Are the Data for Epstein-Barr Virus Being a Trigger for Systemic Lupus and Other Autoimmune Diseases? Curr. Opin. Rheumatol. 2016, 28, 398–404. [Google Scholar] [CrossRef]
- Yadav, P.; Tran, H.; Ebegbe, R.; Gottlieb, P.; Wei, H.; Lewis, R.H.; Mumbey-Wafula, A.; Kaplan, A.; Kholdarova, E.; Spatz, L. Antibodies Elicited in Response to EBNA-1 May Cross-React with DsDNA. PLoS ONE 2011, 6, e14488. [Google Scholar] [CrossRef]
- James, J.A.; Harley, J.B.; Scofield, R.H. Epstein-Barr Virus and Systemic Lupus Erythematosus. Curr. Opin. Rheumatol. 2006, 18, 462–467. [Google Scholar] [CrossRef]
- Jog, N.R.; James, J.A. Epstein Barr Virus and Autoimmune Responses in Systemic Lupus Erythematosus. Front. Immunol. 2021, 11, 623944. [Google Scholar] [CrossRef] [PubMed]
- Quaglia, M.; Merlotti, G.; De Andrea, M.; Borgogna, C.; Cantaluppi, V. Viral Infections and Systemic Lupus Erythematosus: New Players in an Old Story. Viruses 2021, 13I, 277. [Google Scholar] [CrossRef]
- Draborg, A.H.; Jacobsen, S.; Westergaard, M.; Mortensen, S.; Larsen, J.L.; Houen, G.; Duus, K. Reduced Response to Epstein-Barr Virus Antigens by T-Cells in Systemic Lupus Erythematosus Patients. Lupus Sci. Med. 2014, 1, e000015. [Google Scholar] [CrossRef] [PubMed]
- Quan, T.E.; Roman, R.M.; Rudenga, B.J.; Holers, V.M.; Craft, J.E. Epstein-Barr Virus Promotes Interferon-Alpha Production by Plasmacytoid Dendritic Cells. Arthritis Rheum. 2010, 62, 1693–1701. [Google Scholar] [CrossRef] [PubMed]
- Chougule, D.; Nadkar, M.; Rajadhyaksha, A.; Pandit-Shende, P.; Surve, P.; Dawkar, N.; Khadilkar, P.; Patwardhan, M.; Kaveri, S.; Ghosh, K.; et al. Association of Clinical and Serological Parameters of Systemic Lupus Erythematosus Patients with Epstein-Barr Virus Antibody Profile. J. Med. Virol. 2018, 90, 559–563. [Google Scholar] [CrossRef]
- França, S.A.D.S.; Viana, J.B.G.d.O.; Góes, H.C.A.; Fonseca, R.R.D.S.; Laurentino, R.V.; Costa, I.B.; Oliveira-Filho, A.B.; Machado, L.F.A. Epidemiology of the Epstein-Barr Virus in Autoimmune Inflammatory Rheumatic Diseases in Northern Brazil. Viruses 2022, 14, 694. [Google Scholar] [CrossRef]
- Wood, R.A.; Guthridge, L.; Thurmond, E.; Guthridge, C.J.; Kheir, J.M.; Bourn, R.L.; Wagner, C.A.; Chen, H.; DeJager, W.; Macwana, S.R.; et al. Serologic Markers of Epstein-Barr Virus Reactivation Are Associated with Increased Disease Activity, Inflammation, and Interferon Pathway Activation in Patients with Systemic Lupus Erythematosus. J. Transl. Autoimmun. 2021, 4, 100117. [Google Scholar] [CrossRef] [PubMed]
- Vista, E.S.; Weisman, M.H.; Ishimori, M.L.; Chen, H.; Bourn, R.L.; Bruner, B.F.; Hamijoyo, L.; Tanangunan, R.D.; Gal, N.J.; Robertson, J.M.; et al. Strong Viral Associations with SLE among Filipinos. Lupus Sci. Med. 2017, 4, e000214. [Google Scholar] [CrossRef]
- Rasmussen, N.; Draborg, A.; Nielsen, C.; Jacobsen, S.; Houen, G. Antibodies to Early EBV, CMV, and HHV6 Antigens in Systemic Lupus Erythematosus Patients. Scand. J. Rheumatol. 2015, 44, 143–149. [Google Scholar] [CrossRef]
- Hanlon, P.; Avenell, A.; Aucott, L.; Vickers, M.A. Systematic Review and Meta-Analysis of the Sero-Epidemiological Association between Epstein-Barr Virus and Systemic Lupus Erythematosus. Arthritis Res. Ther. 2014, 16, R3. [Google Scholar] [CrossRef]
- Li, Z.X.; Zeng, S.; Wu, H.X.; Zhou, Y. The Risk of Systemic Lupus Erythematosus Associated with Epstein–Barr Virus Infection: A Systematic Review and Meta-Analysis. Clin. Exp. Med. 2019, 19, 23–36. [Google Scholar] [CrossRef]
- Han, L.; Zhang, Y.; Wang, Q.; Xin, M.; Yang, K.; Lei, K.; Sun, M. Epstein–Barr Virus Infection and Type I Interferon Signature in Patients with Systemic Lupus Erythematosus. Lupus 2018, 27, 947–954. [Google Scholar] [CrossRef]
- Huggins, M.L.; Todd, I.; Powell, R.J. Reactivation of Epstein-Barr Virus in Patients with Systemic Lupus Erythematosus. Rheumatol. Int. 2005, 25, 183–187. [Google Scholar] [CrossRef] [PubMed]
- Das, P.; Minz, R.W.; Saikia, B.; Sharma, A.; Anand, S.; Singh, H.; Singh, S. Association of Human Leucocyte Antigen Class II, with Viral Load and Immune Response to Epstein-Barr Virus in Adult and Pediatric Systemic Lupus Erythematosus Patients. Lupus 2022, 31, 1054–1066. [Google Scholar] [CrossRef]
- Sternbæk, L.; Draborg, A.H.; Østerlund, M.T.; Iversen, L.V.; Troelsen, L.; Theander, E.; Nielsen, C.T.; Jacobsen, S.; Houen, G. Increased Antibody Levels to Stage-Specific Epstein–Barr Virus Antigens in Systemic Autoimmune Diseases Reveal a Common Pathology. Scand. J. Clin. Lab. Investig. 2019, 79, 7–16. [Google Scholar] [CrossRef]
- Truszewska, A.; Wirkowska, A.; Gala, K.; Truszewski, P.; Krzemień-Ojak, Ł.; Mucha, K.; Pączek, L.; Foroncewicz, B. EBV Load Is Associated with CfDNA Fragmentation and Renal Damage in SLE Patients. Lupus 2021, 30, 1214–1225. [Google Scholar] [CrossRef] [PubMed]
- Aygun, D.; Kuskucu, M.A.; Sahin, S.; Adrovic, A.; Barut, K.; Yildiz, M.; Sharifova, S.; Midilli, K.; Cokugras, H.; Camcıoglu, Y.; et al. Epstein-Barr Virus, Cytomegalovirus and BK Polyomavirus Burden in Juvenile Systemic Lupus Erythematosus: Correlation with Clinical and Laboratory Indices of Disease Activity. Lupus 2020, 29, 1263–1269. [Google Scholar] [CrossRef] [PubMed]
- Rasmussen, N.S.; Nielsen, C.T.; Houen, G.; Jacobsen, S. Humoral Markers of Active Epstein-Barr Virus Infection Associate with Anti-Extractable Nuclear Antigen Autoantibodies and Plasma Galectin-3 Binding Protein in Systemic Lupus Erythematosus. Lupus 2016, 25, 1567–1576. [Google Scholar] [CrossRef]
- Moon, U.Y.; Park, S.J.; Oh, S.T.; Kim, W.U.; Park, S.H.; Lee, S.H.; Cho, C.S.; Kim, H.Y.; Lee, W.K.; Lee, S.K. Patients with Systemic Lupus Erythematosus Have Abnormally Elevated Epstein-Barr Virus Load in Blood. Arthritis Res. Ther. 2004, 6, R295–R302. [Google Scholar] [CrossRef]
- Draborg, A.H.; Jørgensen, J.M.; Müller, H.; Nielsen, C.T.; Jacobsen, S.; Iversen, L.V.; Theander, E.; Nielsen, L.P.; Houen, G.; Duus, K. Epstein-Barr Virus Early Antigen Diffuse (EBV-EA/D)-Directed Immunoglobulin A Antibodies in Systemic Lupus Erythematosus Patients. Scand. J. Rheumatol. 2012, 41, 280–289. [Google Scholar] [CrossRef]
- Esen, B.A.; YIlmaz, G.; Uzun, S.; Özdamar, M.; Aksözek, A.; KamalI, S.; Türkoǧlu, S.; Gül, A.; Öcal, L.; Aral, O.; et al. Serologic Response to Epstein-Barr Virus Antigens in Patients with Systemic Lupus Erythematosus: A Controlled Study. Rheumatol. Int. 2012, 32, 79–83. [Google Scholar] [CrossRef]
- Zandman-Goddard, G.; Berkun, Y.; Barzilai, O.; Boaz, M.; Blank, M.; Ram, M.; Sherer, Y.; Anaya, J.M.; Shoenfeld, Y. Exposure to Epstein-Barr Virus Infection Is Associated with Mild Systemic Lupus Erythematosus Disease. Ann. N. Y. Acad. Sci. 2009, 1173, 658–663. [Google Scholar] [CrossRef]
- Tu, J.; Wang, X.; Geng, G.; Xue, X.; Lin, X.; Zhu, X.; Sun, L. The Possible Effect of B-Cell Epitopes of Epstein-Barr Virus Early Antigen, Membrane Antigen, Latent Membrane Protein-1, and -2A on Systemic Lupus Erythematosus. Front. Immunol. 2018, 9, 187. [Google Scholar] [CrossRef] [PubMed]
- Mold, C.; Bradt, B.M.; Nemerow, G.R.; Cooper, N.R. Epstein-Barr Virus Regulates Activation and Processing of the Third Component of Complement. J. Exp. Med. 1988, 168, 949. [Google Scholar] [CrossRef] [PubMed]
- Jondal, M.; Klein, G.; Oldstone, M.B.A.; Bokish, V.; Yefenof, E. Surface Markers on Human B and T Lymphocytes. VIII. Association between Complement and Epstein-Barr Virus Receptors on Human Lymphoid Cells. Scand. J. Immunol. 1976, 5, 401–410. [Google Scholar] [CrossRef] [PubMed]
- Nemerow, G.R.; Mold, C.; Schwend, V.K.; Tollefson, V.; Cooper, N.R. Identification of Gp350 as the Viral Glycoprotein Mediating Attachment of Epstein-Barr Virus (EBV) to the EBV/C3d Receptor of B Cells: Sequence Homology of Gp350 and C3 Complement Fragment C3d. J. Virol. 1987, 61, 1416–1420. [Google Scholar] [CrossRef]
- McConnell, I.; Klein, G.; Lint, T.F.; Lachmann, P.J. Activation of the Alternative Complement Pathway by Human B Cell Lymphoma Lines Is Associated with Epstein-Barr Virus Transformation of the Cells. Eur. J. Immunol. 1978, 8, 453–458. [Google Scholar] [CrossRef]
- Mold, C.; Bradt, B.M.; Nemerow, G.R.; Cooper, N.R. Activation of the Alternative Complement Pathway by EBV and the Viral Envelope Glycoprotein, Gp350. J. Immunol. 1988, 140, 3867–3874. [Google Scholar] [CrossRef]
- Xuan, J.; Ji, Z.; Wang, B.; Zeng, X.; Chen, R.; He, Y.; Rao, P.; Wu, P.; Shi, G. Serological Evidence for the Association Between Epstein-Barr Virus Infection and Sjögren’s Syndrome. Front. Immunol. 2020, 11, 2826. [Google Scholar] [CrossRef]
- Hochberg, M.C. Updating the American College of Rheumatology Revised Criteria for the Classification of Systemic Lupus Erythematosus. Arthritis Rheum. 1997, 40, 1725. [Google Scholar] [CrossRef]
- Aringer, M.; Costenbader, K.; Daikh, D.; Brinks, R.; Mosca, M.; Ramsey-Goldman, R.; Smolen, J.S.; Wofsy, D.; Boumpas, D.T.; Kamen, D.L.; et al. 2019 European League Against Rheumatism/American College of Rheumatology Classification Criteria for Systemic Lupus Erythematosus. Ann. Rheum. Dis. 2019, 78, 1151–1159. [Google Scholar] [CrossRef]
- Gladman, D.D.; Ibañez, D.; Urowltz, M.B. Systemic Lupus Erythematosus Disease Activity Index 2000. J. Rheumatol. 2002, 29, 288–291. [Google Scholar] [CrossRef]
- Piga, M.; Chessa, E.; Morand, E.F.; Ugarte-Gil, M.F.; Tektonidou, M.; van Vollenhoven, R.; Petri, M.; Arnaud, L.; Appenzeller, S.; Aranow, C.; et al. Physician Global Assessment International Standardisation COnsensus in Systemic Lupus Erythematosus: The PISCOS Study. Lancet Rheumatol. 2022, 4, e441–e449. [Google Scholar] [CrossRef]
- Tselios, K.; Gladman, D.D.; Urowitz, M.B. How Can We Define Low Disease Activity in Systemic Lupus Erythematosus? Semin. Arthritis Rheum. 2019, 48, 1035–1040. [Google Scholar] [CrossRef]
- Zen, M.; Iaccarino, L.; Gatto, M.; Saccon, F.; Larosa, M.; Ghirardello, A.; Punzi, L.; Doria, A. Lupus Low Disease Activity State Is Associated with a Decrease in Damage Progression in Caucasian Patients with SLE, but Overlaps with Remission. Ann. Rheum. Dis. 2018, 77, 104–110. [Google Scholar] [CrossRef] [PubMed]
- Tsang-A-Sjoe, M.W.P.; Bultink, I.E.M.; Heslinga, M.; Voskuyl, A.E. Both Prolonged Remission and Lupus Low Disease Activity State Are Associated with Reduced Damage Accrual in Systemic Lupus Erythematosus. Rheumatology 2017, 56, 121–128. [Google Scholar] [CrossRef]
- Lorenzetti, M.A.; Altcheh, J.; Moroni, S.; Moscatelli, G.; Chabay, P.A.; Preciado, M.V. EBNA1 Sequences in Argentinean Pediatric Acute and Latent Epstein-Barr Virus Infection Reflect Circulation of Novel South American Variants. J. Med. Virol. 2010, 82, 1730–1738. [Google Scholar] [CrossRef] [PubMed]
- Banko, A.; Lazarevic, I.; Stevanovic, G.; Cirkovic, A.; Karalic, D.; Cupic, M.; Banko, B.; Milovanovic, J.; Jovanovic, T. Analysis of the Variability of Epstein-Barr Virus Genes in Infectious Mononucleosis: Investigation of the Potential Correlation with Biochemical Parameters of Hepatic Involvement. J. Med. Biochem. 2016, 35, 337. [Google Scholar] [CrossRef]


| Characteristic | Baseline | Follow-Up | p Value |
|---|---|---|---|
| Clinical manifestations | |||
| Rash, n (%) | 29 (56.9) | 15 (30.6) | 0.001 |
| Arthritis, n (%) | 34 (66.7) | 13 (27.1) | <0.001 |
| No. of tender and swollen joints, med (IQR) | 4 (0–6) | 0 (0–1) | <0.001 |
| Mucosal ulcerations, n (%) | 11 (21.6) | 2 (4.2) | 0.021 |
| Alopecia, n (%) | 29 (56.9) | 16 (32.7) | <0.001 |
| Serositis, n (%) | 11 (21.6) | 1 (16.7) | 1.000 |
| Active lupus nephritis °, n (%) | 15 (29.4) | 6 (12.5) | 0.004 |
| Active NPSLE, n (%) | 3 (5.9) | 0 (0.0) | 1.000 |
| Leucopenia, n (%) | 11 (21.6) | 5 (10.2) | 0.180 |
| Neutropenia, n (%) | 9 (18.8) | 6 (12.5) | 0.727 |
| Lymphopenia, n (%) | 33 (67.3) | 27 (56.3) | 0.180 |
| Thrombocytopenia, n (%) | 8 (15.7) | 4 (8.2) | 0.125 |
| Immunological parameters | |||
| ANA titer, med (min-max) | 640 (80–640) | 640 (80–640) | 0.185 |
| anti-ds DNA positivity, n (%) | 19 (37.3) | 17 (35.4) | 1.000 |
| anti-SSA positivity •, n (%) | 27 (54.0) | NA | |
| anti-Sm positivity •, n (%) | 19 (37.3) | NA | |
| aCL IgM positivity •, n (%) | 7 (14.0) | NA | |
| aCL IgG positivity •, (%) | 8 (16.0) | NA | |
| low C3 and/or C4, n (%) | 41 (80.4) | 21 (42.9) | <0.001 |
| C3 (g/L), med (min-max) | 0.71 (0.10–1.4) | 0.90 (0.30–1.43) | 0.002 |
| C4 (g/L), med (min-max) | 0.08 (0.02–0.87) | 0.15 (0.02–2.40) | <0.001 |
| RF positivity, n (%) | 14 (28.6) | 9 (18.4) | 0.227 |
| IgG (g/L), med (min-max) | 13.50 (4.4–31.6) | 12.80 (4.50–22.30) | 0.054 |
| Inflammatory markers | |||
| ESR (mm/h), med (min-max) | 30.00 (4.00–125.00) | 20.00 (2.00–90.00) | 0.01 |
| CRP (mg/L), med (min-max) | 4.04 (0.20–87.5) | 2.20 (0.01–41.60) | 0.039 |
| Disease activity | |||
| SLEDAI 2K, med (IQR) | 10.00 (6–29) | 4.00 (0–16) | <0.001 |
| clinical SLEDAI 2K, med (IQR) | 8.00 (6–10) | 3.00 (0–5) | <0.001 |
| PGA, med (IQR) | 1.38 (0.75–2.34) | 0.66 (0–1.86) | <0.001 |
| SLE therapy | |||
| Prednisone (daily dose mg), med (min-max) | 20.00 (5–80) | 10.00 (2–30) | 0.001 |
| Immunosuppressive therapy (AZA, MTX, MMF, CYC) *, n (%) | 16 (31.7) | 30 (63.8) | <0.001 |
| SLICC/ACR Damage Index, med (min-max) | 0.00 (0–6) | 1.00 (0–4) | 0.003 |
| EBV Infection Status, n (%) | Active at Baseline (n = 22) | Latent as Baseline (n = 27) |
|---|---|---|
| Active at follow up (n = 8) | 5 (22.7) | 3 (11.1) |
| Latent at follow up (n = 41) | 17 (77.3) | 24 (88.9) |
| anti-EBV Abs, n (%) | Baseline, n (%) | Follow-Up, n (%) | p Value |
|---|---|---|---|
| anti-EBNA-1 IgG | 50 (98) | 42 (85.7) | p = 0.031 |
| anti-VCA IgG | 51 (100) | 49 (100) | NA |
| anti-VCA IgM | 16 (31.4) | 2 (4.1) | p < 0.001 |
| anti-EA(D) IgG | 21 (41.2) | 24 (49.0) | p = 0.227 |
| anti-EA(D) IgM | 10 (19.6) | 6 (12.2) | p = 0.388 |
| Factors Associated with Remission/LLDAS in: | Univariate Logistic Regression | Multivariate Logistic Regression | ||||
|---|---|---|---|---|---|---|
| RR | 95%CI RR | p | RR | 95%CI RR | p | |
| Mucocutaneous manifestations (n = 40) | ||||||
| Titer level of Anti-EA(D) IgM b | 2.875 | 1.12–7.38 | 0.028 | 2.694 | 1.04–7.01 | 0.042 |
| Presence of anti-EA(D) IgM b | 6.650 | 1.16–38.19 | 0.034 | |||
| RF b | 1.026 | 0.99–1.05 | 0.049 | 1.027 | 0.99–1.06 | 0.110 |
| Rash b (n = 29) | ||||||
| Leucopenia b | 10.714 | 1.05–109.78 | 0.046 | 26.313 | 1.65–419.27 | 0.021 |
| Presence of anti-EA(D) IgM b | 10.714 | 1.05–109.78 | 0.046 | 40.097 | 1.65–973.87 | 0.023 |
| Alopecia b (n = 29) | ||||||
| Smoking status b | 0.143 | 0.02–0.83 | 0.031 | 0.242 | 0.03–1.96 | 0.184 |
| Positive RF b | 11.375 | 1.65–78.38 | 0.014 | 12.081 | 1.48–98.28 | 0.020 |
| RF concentration b | 1.057 | 1.01–1.11 | 0.019 | |||
| Variable | Univariate Logistic Regression | Multivariate Logistic Regression Backward Wald Method 4th Step | ||||
|---|---|---|---|---|---|---|
| RR | 95% CI RR | p | RR | 95% CI RR | p | |
| Lymphopenia b | 0.227 | 0.06–0.83 | 0.025 | |||
| Hashimoto thyroiditis b | 6.042 | 1.03–35.55 | 0.047 | |||
| Number of lymphocytes b | 2.315 | 1.12–4.80 | 0.024 | |||
| ANA titer b | 0.996 | 0.99–0.99 | 0.019 | 0.996 | 0.99–0.99 | 0.036 |
| Anti-dsDNA Abs presence b | 0.214 | 0.05–0.89 | 0.034 | |||
| C3 level b | 36.441 | 2.48–536.32 | 0.009 | 26.954 | 1.45–500.34 | 0.027 |
Disclaimer/Publisher’s Note: The statements, opinions and data contained in all publications are solely those of the individual author(s) and contributor(s) and not of MDPI and/or the editor(s). MDPI and/or the editor(s) disclaim responsibility for any injury to people or property resulting from any ideas, methods, instructions or products referred to in the content. |
© 2023 by the authors. Licensee MDPI, Basel, Switzerland. This article is an open access article distributed under the terms and conditions of the Creative Commons Attribution (CC BY) license (https://creativecommons.org/licenses/by/4.0/).
Share and Cite
Miskovic, R.; Cirkovic, A.; Miljanovic, D.; Jeremic, I.; Grk, M.; Basaric, M.; Lazarevic, I.; Stojanovic, M.; Plavsic, A.; Raskovic, S.; et al. Epstein–Barr Virus Reactivation as a New Predictor of Achieving Remission or Lupus Low Disease Activity State in Patients with Systemic Lupus Erythematosus with Cutaneous Involvement. Int. J. Mol. Sci. 2023, 24, 6156. https://doi.org/10.3390/ijms24076156
Miskovic R, Cirkovic A, Miljanovic D, Jeremic I, Grk M, Basaric M, Lazarevic I, Stojanovic M, Plavsic A, Raskovic S, et al. Epstein–Barr Virus Reactivation as a New Predictor of Achieving Remission or Lupus Low Disease Activity State in Patients with Systemic Lupus Erythematosus with Cutaneous Involvement. International Journal of Molecular Sciences. 2023; 24(7):6156. https://doi.org/10.3390/ijms24076156
Chicago/Turabian StyleMiskovic, Rada, Andja Cirkovic, Danijela Miljanovic, Ivica Jeremic, Milka Grk, Milica Basaric, Ivana Lazarevic, Maja Stojanovic, Aleksandra Plavsic, Sanvila Raskovic, and et al. 2023. "Epstein–Barr Virus Reactivation as a New Predictor of Achieving Remission or Lupus Low Disease Activity State in Patients with Systemic Lupus Erythematosus with Cutaneous Involvement" International Journal of Molecular Sciences 24, no. 7: 6156. https://doi.org/10.3390/ijms24076156
APA StyleMiskovic, R., Cirkovic, A., Miljanovic, D., Jeremic, I., Grk, M., Basaric, M., Lazarevic, I., Stojanovic, M., Plavsic, A., Raskovic, S., & Banko, A. (2023). Epstein–Barr Virus Reactivation as a New Predictor of Achieving Remission or Lupus Low Disease Activity State in Patients with Systemic Lupus Erythematosus with Cutaneous Involvement. International Journal of Molecular Sciences, 24(7), 6156. https://doi.org/10.3390/ijms24076156

