Molecular Dynamics of Lysine Dendrigrafts in Methanol–Water Mixtures
Abstract
1. Introduction
2. Results and Discussion
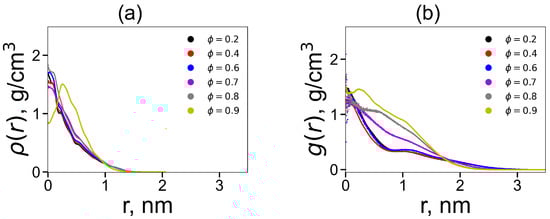
2.1. The Local Density
2.2. Electrostatic Properties
2.3. Hydrogen Bonds
2.4. Secondary Structure
3. Materials and Methods
4. Conclusions
Supplementary Materials
Author Contributions
Funding
Institutional Review Board Statement
Informed Consent Statement
Data Availability Statement
Acknowledgments
Conflicts of Interest
References
- Buhleier, E.; Wehner, W.; Vogtle, F. Cascade and Nonskid-Chain-Like Syntheses of Molecular Cavity Topologies. Synthesis 1978, 2, 155–158. [Google Scholar] [CrossRef]
- Tomalia, D.A.; Baker, H.; Dewald, J.; Hall, M.; Kallos, G.; Martin, S.; Roeck, J.; Ryder, J.; Smith, P. A New Class of Polymers: Starburst-Dendritic Macromolecules. Polym. J. 1985, 17, 117–132. [Google Scholar] [CrossRef]
- Hawker, C.J.; Frechet, J.M.J. Control of surface functionality in the synthesis of dendritic macromolecules using the convergent-growth approach. Macromolecules 1990, 23, 4726–4729. [Google Scholar] [CrossRef]
- Yemul, O.; Imae, T. Synthesis and characterization of poly(ethyleneimine) dendrimers. Colloid Polym. Sci. 2008, 286, 747–752. [Google Scholar] [CrossRef]
- Schlenk, C.; Frey, H. Carbosilane Dendrimers—Synthesis, Functionalization, Application. Silicon Chem. 1999, 3–14. [Google Scholar] [CrossRef]
- Abbasi, E.; Aval, S.; Akbarzadeh, A.; Milani, M.; Nasrabadi, H.; Joo, S.; Hanifehpour, Y.; Nejati-Koshki, K.; Pashaei-Asl, R. Dendrimers: Synthesis, applications, and properties. Nanoscale Res. Lett. 2014, 9, 247. [Google Scholar] [CrossRef] [PubMed]
- Yamamoto, K.; Imaoka, T.; Tanabe, M.; Kambe, T. New Horizon of Nanoparticle and Cluster Catalysis with Dendrimers. Chem. Rev. 2020, 120, 1397–1437. [Google Scholar] [CrossRef]
- Sherje, A.; Jadhav, M.; Dravyakar, B.; Kadam, D. Dendrimers: A versatile nanocarrier for drug delivery and targeting. Int. J. Pharm. 2018, 548, 707–720. [Google Scholar] [CrossRef]
- Madaan, K.; Kumar, S.; Poonia, N.; Lather, V.; Pandita, D. Dendrimers in drug delivery and targeting: Drug-dendrimer interactions and toxicity issues. J. Pharm. Bioallied Sci. 2014, 6, 139–150. [Google Scholar] [CrossRef]
- Dutta, T.; Jain, N.; McMillan, N.; Parekh, H. Dendrimer nanocarriers as versatile vectors in gene delivery. Nanomedicine 2010, 6, 815. [Google Scholar] [CrossRef]
- Ionov, M.; Lazniewska, J.; Dzmitruk, V.; Halets, I.; Loznikova, S.; Novopashina, D.; Apartsin, E.; Krasheninina, O.; Venyaminova, A.; Milowska, K.; et al. Anticancer siRNA cocktails as a novel tool to treat cancer cells. Part (A). Mechanisms of interaction. Int. J. Pharm. 2015, 485, 261–269. [Google Scholar] [CrossRef] [PubMed]
- Rabiee, N.; Ahmadvand, S.; Ahmadi, S.; Fatahi, Y.; Dinarvand, R.; Bagherzadeh, M.; Hamblin, M.R. Carbosilane Dendrimers: Drug and Gene Delivery Applications. J. Drug Deliv. Sci. Technol. 2020, 59, 101879. [Google Scholar] [CrossRef]
- Yin, H.; Kanasty, R.L.; Eltoukhy, A.A.; Vegas, A.J.; Dorkin, J.R.; Anderson, D.G. Non-viral vectors for gene-based therapy. Nat. Rev. Genet. 2014, 15, 541–555. [Google Scholar] [CrossRef]
- Jiang, D.; Wang, M.; Wang, T.; Zhang, B.; Liu, C.; Zhang, N. Multifunctionalized polyethyleneimine-based nanocarriers for gene and chemotherapeutic drug combination therapy through one-step assembly strategy. Int. J. Nanomed. 2017, 12, 8681–8698. [Google Scholar] [CrossRef] [PubMed]
- Biswas, S.; Torchilin, V. Dendrimers for siRNA delivery. Pharmaceuticals 2013, 6, 161–183. [Google Scholar] [CrossRef]
- Denkewalter, R.G.; Kolc, J.; Lukasavage, W.J. Macromolecular Highly Branched Homogeneous Compound Based on Lysine Units. U.S. Patent 4289872A, 15 September 1981. [Google Scholar]
- Aharoni, S.M.; Crosby, C.R., III; Walsh, E.K. Size and solution properties of globular tert-butyloxycarbonyl-poly(a,e-L-lysine). Macromolecules 1982, 15, 1093–1098. [Google Scholar] [CrossRef]
- Aharoni, S.; Murthy, M. Spherical non-draining BOC-poly-(a,e-L-lysine) macromolecules SAX and viscous study. Polym. Commun. 1983, 24, 132. [Google Scholar]
- Vlasov, G.; Pavlov, G.; Bayanova, N.; Korneeva, E.; Ebel, C.; Khodorkovskii, M.; Artamonova, T. Dendrimers Based on a-Amino Acids: Synthesis and Hydrodynamic Characteristics. Dokl. Phys. Chem. 2004, 399, 366–368. [Google Scholar] [CrossRef]
- Roberts, B.P.; Scanlon, M.J.; Krippner, G.Y.; Chalmers, D.K. Molecular Dynamics of Poly(l-lysine) Dendrimers with Naphthalene Disulfonate Caps. Macromolecules 2009, 42, 2775–2783. [Google Scholar] [CrossRef]
- Neelov, I.; Falkovich, S.; Markelov, D.; Paci, E.; Darinskii, A.; Tenhu, H. Molecular Dynamics of Lysine Dendrimers. Computer Simulation and NMR. In Dendrimers in Biomedical Applications; Royal Society of Chemistry: Cambridge, UK, 2013; pp. 99–114. [Google Scholar] [CrossRef]
- Neelov, I.; Markelov, D.; Falkovich, S.; Ilyash, M.; Okrugin, B.; Darinskii, A. Mathematical simulation of lysine dendrimers. Temperature dependencies. Polym. Sci. Ser. C 2013, 55, 154–161. [Google Scholar] [CrossRef]
- Falkovich, S.; Markelov, D.; Neelov, I.; Darinskii, A. Are structural properties of dendrimers sensitive to the symmetry of branching? Computer simulation of lysine dendrimers. J. Chem. Phys. 2013, 139, 064903. [Google Scholar] [CrossRef]
- Markelov, D.A.; Falkovich, S.G.; Neelov, I.M.; Ilyash, M.Y.; Matveev, V.V.; Lahderanta, E.; Ingman, P.; Darinskii, A.A. Molecular dynamics simulation of spin lattice NMR relaxation in poly-l-lysine dendrimers: Manifestation of the semiflexibility effect. Phys. Chem. Chem. Phys. 2015, 17, 3214–3226. [Google Scholar] [CrossRef]
- Rao, C.; Tam, J. Synthesis of peptide dendrimer. J. Am. Chem. Soc. 1994, 116, 6975–6976. [Google Scholar] [CrossRef]
- Tam, J. Synthetic peptide vaccine design: Synthesis and properties of a high-density multiple antigenic peptide system. Proc. Natl. Acad. Sci. USA 1988, 85, 5409–5413. [Google Scholar] [CrossRef] [PubMed]
- Vlasov, G.; Korolkov, V.; Pankova, G.; Tarasenko, I.; Baranov, A.; Glazkov, P.; Kiselev, A.; Ostapenko, O.; Lesin, E.; Baranov, V. Lysine Dendrimers and Their Starburst Polymer Derivatives: Possible Application for DNA Compaction and in vitro Delivery of Genetic Constructs. Russ. J. Bioorg. Chem. 2004, 30, 15–24. [Google Scholar] [CrossRef] [PubMed]
- Maillard, N.; Clouet, A.; Darbre, T.; Reymond, J.L. Combinatorial libraries of peptide dendrimers: Design, synthesis, on-bead high-throughput screening, bead decoding and characterization. Nat. Protoc. 2009, 4, 132–142. [Google Scholar] [CrossRef] [PubMed]
- Luo, K.; Li, C.; Wang, G.; Nie, Y.; He, B.; Wu, Y.; Gu, Z. Peptide dendrimers as efficient and biocompatible gene delivery vectors: Synthesis and in vitro characterization. J. Control. Release 2011, 155, 77–87. [Google Scholar] [CrossRef]
- Kwok, A.; Eggimann, G.A.; Reymond, J.L.; Darbre, T.; Hollfelder, F. Peptide dendrimer/lipid hybrid systems are efficient DNA transfection reagents: Structure—Activity relationships highlight the role of charge distribution across dendrimer generations. ACS Nano 2013, 7, 4668–4682. [Google Scholar] [CrossRef]
- Filipe, L.C.S.; Machuqueiro, M.; Darbre, T.; Baptista, A.M. Exploring the Structural Properties of Positively Charged Peptide Dendrimers. J. Phys. Chem. B 2016, 120, 11323–11330. [Google Scholar] [CrossRef] [PubMed]
- Rewatkar, P.V.; Sester, D.P.; Parekh, H.S.; Parat, M.O. Express in Vitro Plasmid Transfection Achieved with 16+ Asymmetric Peptide Dendrimers. ACS Biomater. Sci. Eng. 2016, 2, 438–445. [Google Scholar] [CrossRef]
- Heitz, M.; Kwok, A.; Eggimann, G.A.; Hollfelder, F.; Darbre, T.; Reymond, J.L. Peptide Dendrimer-Lipid Conjugates as DNA and siRNA Transfection Reagents: Role of Charge Distribution Across Generations. Chimia 2017, 71, 220–225. [Google Scholar] [CrossRef]
- Santos, S.; Gonzaga, R.; Silva, J.; Savino, D.; Prieto, D.; Shikay, J.; Silva, R.; Paulo, L.; Ferreira, E.; Giarolla, J. Peptide dendrimers: Drug/gene delivery and other approaches. Can. J. Chem. 2017, 95, 907–916. [Google Scholar] [CrossRef]
- Sheveleva, N.N.; Markelov, D.A.; Vovk, M.A.; Mikhailova, M.E.; Tarasenko, I.I.; Neelov, I.M.; Lahderanta, E. NMR studies of excluded volume interactions in peptide dendrimers. Sci. Rep. 2018, 8, 8916. [Google Scholar] [CrossRef] [PubMed]
- Sheveleva, N.N.; Markelov, D.A.; Vovk, M.A.; Mikhailova, M.E.; Tarasenko, I.I.; Tolstoy, P.M.; Neelov, I.M.; Lähderanta, E. Lysine-based dendrimer with double arginine residues. RSC Adv. 2019, 9, 18018–18026. [Google Scholar] [CrossRef] [PubMed]
- Sheveleva, N.N.; Markelov, D.A.; Vovk, M.A.; Tarasenko, I.I.; Mikhailova, M.E.; Ilyash, M.Y.; Neelov, I.M.; Lahderanta, E. Stable Deuterium Labeling of Histidine-Rich Lysine-Based Dendrimers. Molecules 2019, 24, 2481. [Google Scholar] [CrossRef]
- Gorzkiewicz, M.; Konopka, M.; Janaszewska, A.; Tarasenko, I.I.; Sheveleva, N.N.; Gajek, A.; Neelov, I.M.; Klajnert-Maculewicz, B. Application of new lysine-based peptide dendrimers D3K2 and D3G2 for gene delivery: Specific cytotoxicity to cancer cells and transfection in vitro. Bioorg. Chem. 2020, 95, 103504. [Google Scholar] [CrossRef] [PubMed]
- Gorzkiewicz, M.; Kopec, O.; Janaszewska, A.; Konopka, M.; Pedziwiatr-Werbicka, E.; Tarasenko, I.I.; Bezrodnyi, V.V.; Neelov, I.M.; Klajnert-Maculewicz, B. Poly(lysine) Dendrimers Form Complexes with siRNA and Provide Its Efficient Uptake by Myeloid Cells: Model Studies for Therapeutic Nucleic Acid Delivery. Int. J. Mol. Sci. 2020, 21, 3138. [Google Scholar] [CrossRef] [PubMed]
- Mikhtaniuk, S.E.; Bezrodnyi, V.V.; Shavykin, O.V.; Neelov, I.M.; Sheveleva, N.N.; Penkova, A.V.; Markelov, D.A. Comparison of Structure and Local Dynamics of Two Peptide Dendrimers with the Same Backbone but with Different Side Groups in Their Spacers. Polymers 2020, 12, 1657. [Google Scholar] [CrossRef]
- Bezrodnyi, V.V.; Shavykin, O.V.; Mikhtaniuk, S.E.; Neelov, I.M.; Sheveleva, N.N.; Markelov, D.A. Why the orientational mobility in arginine and lysine spacers of peptide dendrimers designed for gene delivery is different? Int. J. Mol. Sci. 2020, 21, 9749. [Google Scholar] [CrossRef]
- Bezrodnyi, V.; Mikhtaniuk, S.; Shavykin, O.; Neelov, I.; Sheveleva, N.; Markelov, D. Size and Structure of Empty and Filled Nanocontainer Based on Peptide Dendrimer with Histidine Spacers at Different pH. Molecules 2021, 26, 6552. [Google Scholar] [CrossRef]
- Shavykin, O.; Neelov, I.; Darinskii, A. Is the Manifestation of the Local Dynamics in the Spin-Lattice NMR Relaxation in Dendrimers Sensitive to Excluded Volume Interactions. Phys. Chem. Chem. Phys. 2016, 18, 24307–24317. [Google Scholar] [CrossRef] [PubMed]
- Shavykin, O.; Mikhailov, I.; Darinskii, A.; Neelov, I.; Leermakers, F. Effect of an asymmetry of branching on structural characteristics of dendrimers revealed by Brownian dynamics simulations. Polymer 2018, 146, 256–266. [Google Scholar] [CrossRef]
- Okrugin, B.; Neelov, I.; Leermakers, F.M.; Borisov, O. Structure of asymmetrical peptide dendrimers: Insights given by self-consistent field theory. Polymer 2017, 125, 292–302. [Google Scholar] [CrossRef]
- Shavykin, O.V.; Leermakers, F.A.; Neelov, I.M.; Darinskii, A.A. Self-Assembly of Lysine-Based Dendritic Surfactants Modeled by the Self-Consistent Field Approach. Langmuir 2018, 34, 1613–1626. [Google Scholar] [CrossRef]
- Shavykin, O.; Neelov, I.; Borisov, O.; Darinskii, A.; Leermakers, F. SCF Theory of Uniformly Charged Dendrimers: Impact of Asymmetry of Branching, Generation Number, and Salt Concentration. Macromolecules 2020, 53, 7298–7311. [Google Scholar] [CrossRef]
- Okuda, T.; Sugiyama, A.; Niidome, T.; Aoyagi, H. Characters of dendritic poly(L-lysine) analogues with the terminal lysines replaced with arginines and histidines as gene carriers in vitro. Biomaterials 2004, 25, 537–544. [Google Scholar] [CrossRef]
- Lee, H.; Choi, J.S. Larson R.G. Molecular Dynamics Studies of the Size and Internal Structure of the PAMAM Dendrimer Grafted with Arginine and Histidine. Macromolecules 2011, 44, 8681–8686. [Google Scholar] [CrossRef]
- Rodrıguez-Hernandez, J.; Gatti, M.; Klok, H.A. Highly Branched Poly(L-lysine). Biomacromolecules 2003, 4, 249–258. [Google Scholar] [CrossRef]
- Collet, H.; Souaid, E.; Cottet, H.; Deratani, A.; Boiteau, L.; Dessalces, G.; Rossi, J.C.; Commeyras, A.; Pascal, R. Expeditious, multigram scale synthesis of lysine dendrigraft (DGL) polymers by aqueous N-carboxyanhydride polycondensation. Chem. Eur. J. 2010, 16, 2309. [Google Scholar] [CrossRef]
- Rossi, J.C.; Boiteau, L.; Collet, H.; Tsamba, B.M.; Larcher, N.; Pascal, R. Functionalisation of free amino groups of lysine dendrigraft (DGL) polymers. Tetrahedron Lett. 2012, 53, 2976–2979. [Google Scholar] [CrossRef]
- Cottet, H.; Martin, M.; Papillaud, A.; Souaid, E.; Collet, H.; Commeyras, A. Determination of dendrigraft poly-L-lysine diffusion coefficients by Taylor dispersion analysis. Biomacromolecules 2007, 8, 3235. [Google Scholar] [CrossRef] [PubMed]
- Tsogas, I.; Theodossiou, T.; Sideratou, Z.; Paleos, C.; Collet, H.; Rossi, J.; Romestand, B.; Commeyras, A. Interaction and Transport of Poly(L-lysine) Dendrigrafts through Liposomal and Cellular Membranes: The Role of Generation and Surface Functionalization. Biomacromolecules 2007, 8, 3263–3270. [Google Scholar] [CrossRef] [PubMed]
- Johannessen, C.; Kapitan, J.; Collet, H.; Commeyras, A.; Hecht, L.; Barron, L.D. Poly(L-proline) II Helix Propensities in Poly(L-lysine) Dendrigraft Generations from Vibrational Raman Optical Activity. Biomacromolecules 2009, 10, 1662–1664. [Google Scholar] [CrossRef] [PubMed]
- Zou, T.; Oukacine, F.; Saux, T.L.; Cottet, H. Neutral Coatings for the Study of Polycation/ Multicharged Anion Interactions by Capillary Electrophoresis: Application to Dendrigraft Poly-L-lysines with Negatively Multicharged Molecules. Anal. Chem. 2010, 82, 7362–7368. [Google Scholar] [CrossRef]
- Yevlampieva, N.; Dobrodumov, A.; Nazarova, O.; Okatova, O.; Cottet, H. Hydrodynamic Behavior of Dendrigraft Polylysines in Water and Dimethylformamide. Polymers 2012, 4, 20–31. [Google Scholar] [CrossRef]
- Herzog, G.; Flynn, S.; Johnson, C.; Arrigan, D.W. Electroanalytical Behavior of Poly-L-Lysine Dendrigrafts at the Interface between Two Immiscible Electrolyte Solutions. Anal. Chem. 2012, 84, 5693–5699. [Google Scholar] [CrossRef] [PubMed]
- Sisavath, N.; Leclercq, L.; Saux, T.L.; Oukacine, F.; Cottet, H. Study of interactions between oppositely charged dendrigraft poly-l-lysine and human serum albumin by continuous frontal analysis capillary electrophoresis and fluorescence spectroscopy. J. Chromatogr. A 2013, 1289, 127–132. [Google Scholar] [CrossRef]
- Ibrahim, A.; Koval, D.; Kasicka, V.; Faye, C.; Cottet, H. Effective Charge Determination of Dendrigraft Poly-l-lysine by Capillary Isotachophoresis. Macromolecules 2012, 46, 533–540. [Google Scholar] [CrossRef]
- Liu, T.; Oukacine, F.; Collet, H.; Commeyras, A.; Vial, L.; Cottet, H. Monitoring surface functionalization of dendrigraft poly-l-lysines via click chemistry by capillary electrophoresis and Taylor dispersion analysis. J. Chromatogr. A 2013, 1273, 111–116. [Google Scholar] [CrossRef]
- Maret, B.; Crepet, A.; Faye, C.; Garrelly, L.; Ladaviere, C. Molar-Mass Analysis of Dendrigraft Poly(L-lysine) (DGL) Polyelectrolytes by SEC-MALLS: The “Cornerstone” Refractive Index Increment. Macromol. Chem. Phys 2015, 216, 95–105. [Google Scholar] [CrossRef]
- Lounis, F.M.; Chamieh, J.; Leclercq, L.; Gonzalez, P.; Rossi, J.C.; Cottet, H. Effect of Dendrigraft Generation on the Interaction between Anionic Polyelectrolytes and Dendrigraft Poly(L-Lysine). Polymers 2018, 10, 45. [Google Scholar] [CrossRef]
- Carranca, M.; Griveau, L.; Remoue, N.; Lorion, C.; Weiss, P.; Orea, V.; Sigaudo-Roussel, D.; Faye, C.; Ferri-Angulo, D.; Debret, R.; et al. Versatile lysine dendrigrafts and polyethylene glycol hydrogels with inherent biological properties: In vitro cell behavior modulation and in vivo biocompatibility. J. Biomed. Mater. Res. 2021, 109, 926–937. [Google Scholar] [CrossRef]
- Francoia, J.P.; Rossi, J.C.; Monard, G.; Vial, L. Digitizing Poly-L-lysine Dendrigrafts: From Experimental Data to Molecular Dynamics Simulations. J. Chem. Inf. Model. 2017, 57, 2173–2180. [Google Scholar] [CrossRef]
- Okrugin, B.; Ilyash, M.; Markelov, D.; Neelov, I. Lysine Dendrigraft Nanocontainers. Influence of Topology on Their Size and Internal Structure. Pharmaceutics 2018, 10, 129. [Google Scholar] [CrossRef]
- Sideratou, Z.; Sterioti, N.; Tsiourvas, D.; Tziveleka, L.A.; Thanassoulas, A.; Nounesis, G.; Paleos, C.M. Arginine end-functionalized poly(L-lysine) dendrigrafts for the stabilization and controlled release of insulin. J. Colloid Interface Sci. 2010, 351, 433–441. [Google Scholar] [CrossRef]
- Romestand, B.; Rolland, J.L.; Commeyras, A.; Coussot, G.; Desvignes, I.; Pascal, R.; Vandenabeele-Trambouze, O. Dendrigraft poly-L-lysine: A non-immunogenic synthetic carrier for antibody production. Biomacromolecules 2010, 11, 1169–1173. [Google Scholar] [CrossRef]
- Hofman, J.; Buncek, M.; Haluza, R.; Streinz, L.; Ledvina, M.; Cigler, P. In Vitro Transfection Mediated by Dendrigraft Poly(L-lysines): The Effect of Structure and Molecule Size. Macromol. Biosci. 2012, 13, 167–176. [Google Scholar] [CrossRef]
- Sisavath, N.; Saux, T.L.; Leclercq, L.; Cottet, H. Effect of Dendrimer Generation on the Interactions between Human Serum Albumin and Dendrigraft Polylysines. Langmuir 2014, 30, 4450–4457. [Google Scholar] [CrossRef]
- Hu, G.; Wang, Y.; He, Q.; Gao, H. Multistage drug delivery system based on microenvironment-responsive dendrimer-gelatin nanoparticles for deep tumor penetration. RSC Adv. 2015, 5, 85933. [Google Scholar] [CrossRef]
- Chen, H.; Tian, J.; Liu, D.; Hea, W.; Guo, Z. Dual Aptamer Modified Dendrigraft Poly-L-lysines Nanoparticle for Overcoming Multi-drug Resistance through Mitochondrial Targeting. J. Mater. Chem. B 2017, 5, 972–979. [Google Scholar] [CrossRef]
- Agazzi, M.L.; Herrera, S.E.; Cortez, M.L.; Marmisolle, W.A.; Azzaroni, O. Self-assembled peptide dendrigraft supraparticles with potential application in pH/enzyme-triggered multistage drug release. Colloids Surf. Biointerfaces 2020, 190, 110895. [Google Scholar] [CrossRef] [PubMed]
- Huang, R.; Liu, S.; Shao, K.; Han, L.; Ke, W.; Liu, Y.; Li, J.; Huang, S.; Jiang, C. Evaluation and mechanism studies of PEGylated dendrigraft poly-L-lysines as novel gene delivery vectors. Nanotechnology 2010, 21, 265101. [Google Scholar] [CrossRef]
- Liu, Y.; Li, J.; Shao, K.; Huang, R.; Ye, L.; Lou, J.; Jiang, C. A leptin derived 30-amino-acid peptide modified pegylated poly-L-lysine dendrigraft for brain targeted gene delivery. Biomaterials 2010, 31, 5246–5257. [Google Scholar] [CrossRef] [PubMed]
- Huang, R.; Ma, H.; Guo, Y.; Liu, S.; Kuang, Y.; Shao, K.; Li, J.; Liu, Y.; Han, L.; Huang, S.; et al. Angiopep-Conjugated Nanoparticles for Targeted Long-Term Gene Therapy of Parkinson’s Disease. Pharm. Res. 2013, 30, 2549–2559. [Google Scholar] [CrossRef]
- Liu, Y.; He, X.; Kuang, Y.; An, S.; Wang, C.; Guo, Y.; Ma, H.; Lou, J.; Jiang, C. A Bacteria Deriving Peptide Modified Dendrigraft Poly L lysines (DGL) Self-Assembling Nanoplatform for Targeted Gene Delivery. Mol. Pharm. 2014, 11, 3330–3341. [Google Scholar] [CrossRef]
- Kodama, Y.; Nakamura, T.; Kurosaki, T.; Egashira, K.; Mine, T.; Nakagawa, H.; Muro, T.; Kitahara, T.; Higuchi, N.; Sasaki, H. Biodegradable nanoparticles composed of dendrigraft poly-L-lysine for gene delivery. Eur. J. Pharm. Biopharm. 2014, 87, 472–479. [Google Scholar] [CrossRef]
- Tang, M.; Dong, H.; Lib, Y.; Ren, T. Harnessing the PEG-cleavable strategy to balance cytotoxicity, intracellular release and the therapeutic effect of dendrigraft poly-L-lysine for cancer gene therapy. J. Mater. Chem. B 2016, 4, 1284–1295. [Google Scholar] [CrossRef]
- Kodama, Y.; Kuramoto, H.; Mieda, Y.; Muro, T.; Nakagawa, H.; Kurosaki, T.; Sakaguchi, M.; Nakamura, T.; Kitahara, T.; Sasaki, H. Application of biodegradable dendrigraft poly-L-lysine to a small interfering RNA delivery system. J. Drug Target. 2016, 25, 49–57. [Google Scholar] [CrossRef] [PubMed]
- Xue, X.; Shi, X.; Dong, H.; You, S.; Cao, H.; Wang, K.; Wen, Y.; Shi, D.; He, B.; Li, Y. Delivery of microRNA-1 inhibitor by dendrimer-based nanovector: An early targeting therapy for myocardial infarction in mice. Nanomed. Nanotechnol. Biol. Med. 2018, 14, 619–631. [Google Scholar] [CrossRef]
- Shen, J.; Chen, J.; Ma, J.; Fan, L.; Zhang, X.; Yue, T.; Yan, Y.; Zhang, Y. Enhanced lysosome escape mediated by 1,2-dicarboxylic-cyclohexene anhydride-modified poly-L-lysine dendrimer as a gene delivery system. Asian J. Pharm. Sci. 2020, 16, 759–776. [Google Scholar] [CrossRef] [PubMed]
- Zhao, K.; Rong, G.; Teng, Q.; Li, X.; Lan, H.; Yu, L.; Yu, S.; Jin, Z. Dendrigraft poly-L-lysines delivery of DNA vaccine effectively enhances the immunogenic responses against H9N2 avian influenza virus infection in chickens. Nanomed. Nanotechnol. Biol. Med. 2020, 27, 102209. [Google Scholar] [CrossRef]
- Kodama, Y.; Tokunaga, A.; Hashizume, J.; Nakagawa, H.; Harasawa, H.; Kurosaki, T.; Nakamura, T.; Nishida, K.; Nakashima, M.; Hashida, M.; et al. Evaluation of transgene expression characteristics and DNA vaccination against melanoma metastasis of an intravenously injected ternary complex with biodegradable dendrigraft poly-L-lysine in mic. Drug Deliv. 2021, 28, 542–549. [Google Scholar] [CrossRef]
- Ye, L.; Liu, H.; Fei, X.; Ma, D.; He, X.; Tang, Q.; Zhao, X.; Zou, H.; Chen, X.; Kong, X.; et al. Enhanced endosomal escape of dendrigraft poly-L-lysine polymers for the efficient gene therapy of breast cancer. Nano Res. 2022, 15, 1135–1144. [Google Scholar] [CrossRef]
- Couturaud, B.; Bondia, A.M.; Faye, C.; Garrelly, L.; Mas, A.; Robin, J.J. Grafting of poly-L-lysine dendrigrafts onto polypropylene surface using plasma activation for ATP immobilization - Nanomaterial for potential applications in biotechnology. J. Colloid Interface Sci. 2013, 408, 242–251. [Google Scholar] [CrossRef]
- Ogawa, M.; Regino, C.A.S.; Marcelino, B.; Williams, M.; Kosaka, N.; Bryant, L.H., Jr.; Choyke, P.L.; Kobayashi, H. New Nanosized Biocompatible MR Contrast Agents Based on Lysine Dendrigraft Macromolecules. Bioconjug. Chem. 2010, 21, 955–960. [Google Scholar] [CrossRef]
- Fioretti, F.; Mendoza-Palomares, C.; Helms, M.; Alam, D.A.; Richert, L.; Arntz, Y.; Rinckenbach, S.; Garnier, F.; Haïkel, Y.; Gangloff, S.C.; et al. Nanostructured Assemblies for Dental Application. ACS Nano 2010, 4, 3277–3287. [Google Scholar] [CrossRef]
- Kojima, C.; Turkbey, B.; Ogawa, M.; Bernardo, M.; Regino, C.A.S.; Bryant, L.H., Jr.; Choyke, P.L.; Kono, K.; Kobayashi, H. Dendrimer-based MRI contrast agents: The effects of PEGylation on relaxivity and pharmacokinetics. Nanomedicine 2011, 7, 1001–1008. [Google Scholar] [CrossRef]
- Cadiere, A.; Couturaud, B.; Boismard, J.; Cann, P.L.; Gerard, A.; Mas, A.; Faye, C.; Garrelly, L.; Roig, B. Assessment of poly-L-lysine dendrigrafts for virus concentration in water: Use of MS2 bacteriophage as proof of concept. J. Appl. Microbiol. 2013, 115, 290–297. [Google Scholar] [CrossRef]
- Rossi, J.C.; Maret, B.; Vidot, K.; Francoia, J.P.; Cangiotti, M.; Lucchi, S.; Coppola, C.; Ottaviani, M.F. Multi-Technique Characterization of Poly-L-Lysine Dendrigrafts-Cu(II) Complexes for Biocatalysis. Macromol. Biosci. 2015, 15, 275–290. [Google Scholar] [CrossRef]
- Francoia, J.P.; Pascal, R.; Vial, L. Monitoring Clinical Levels of Heparin in Human Blood Samples with an Indicator-Displacement Assay. Chem. Commun. 2015, 51, 1953–1956. [Google Scholar] [CrossRef]
- Ourri, B.; Francoia, J.P.; Monard, G.; Gris, J.C.; Leclaire, J.; Vial, L. Dendrigraft of Poly-L-lysine as a Promising Candidate to Reverse Heparin-based Anticoagulants in Clinical Setting. ACS Med. Chem. Lett. 2019, 10, 917–922. [Google Scholar] [CrossRef]
- Kojima, C.; Fusaoka-Nishioka, E.; Imai, T.; Nakahira, A.; Onodera, H. Dendrigraft polylysine coated-poly(glycolic acid) fibrous scaffolds for hippocampal neurons. J. Biomed. Mater. Res. A 2016, 104, 2744–2750. [Google Scholar] [CrossRef]
- Cieslik-Boczula, K. Alpha-helix to beta-sheet transition in long-chain poly-L-lysine: Formation of alpha-helical fibrils by poly-L-lysine. Biochimie 2017, 137, 106–114. [Google Scholar] [CrossRef]
- Cieslik-Boczula, K. The PPII-to-a-helix transition of poly-l-lysine in methanol/water solvent mixtures accompanied by fibrillar self-aggregation: An influence of fluphenazine molecules. Biophys. Chem. 2017, 227, 14–20. [Google Scholar] [CrossRef]
- Dzwolak, W.; Muraki, T.; Kato, M.; Taniguchi, Y. Chain-Length Dependence of a-Helix to b-Sheet Transition in Polylysine: Model of Protein Aggregation Studied by Temperature-Tuned FTIR Spectroscopy. Biopolymers 2004, 73, 463–469. [Google Scholar] [CrossRef]
- Shavykin, O.; Mikhtaniuk, S.; Fatullaev, E.; Neelov, I.; Leermakers, F.; Brito, M.; Holm, C.; Borisov, O.; Darinskii, A. Hybrid Molecules Consisting of Lysine Dendrons with Several Hydrophobic Tails: A SCF Study of Self-Assembling. Int. J. Mol. Sci. 2023, 24, 2078. [Google Scholar] [CrossRef]
- Rudnick, G.; Gaspari, G. The aspherity of random walks. J. Phys. A 1986, 4, L191. [Google Scholar] [CrossRef]
- Klos, J.; Sommer, J. Properties of Dendrimers with Flexible Spacer-Chains: A Monte Carlo Study. Macromolecules 2009, 42, 4878–4886. [Google Scholar] [CrossRef]
- Theodorou, D.N.; Suter, U.W. Shape of unperturbed linear polymers: Polypropylene. Macromolecules 1985, 18, 1206–1214. [Google Scholar] [CrossRef]
- Nygaard, M.; Kragelund, B.B.; Papaleo, E.; Lindorff-Larsen, K. An Efficient Method for Estimating the Hydrodynamic Radius of Disordered Protein Conformations. Biophys. J. 2017, 113, 550–557. [Google Scholar] [CrossRef]
- Kirkwood, J.G. The general theory of irreversible processes in solutions of macromolecules. J. Polym. Sci. Polym. Phys. Ed. 1954, 12, 1–14. [Google Scholar] [CrossRef]
- Burchard, W. Solution Properties of Branched Macromolecules. In Advances in Polymer Science; Springer: New York, NY, USA, 1999; Volume 143, pp. 113–194. [Google Scholar] [CrossRef]
- Kollman, P.A.; Allen, L.C. Theory of the hydrogen bond. Chem. Rev. 1972, 72, 283–303. [Google Scholar] [CrossRef]
- Jeffrey, G.A.; Saenger, W. (Eds.) Hydrogen Bonding in Biological Structures, 1st ed.; Springer: Berlin/Heidelberg, Germany, 1991; p. 569. [Google Scholar] [CrossRef]
- Arunan, E.; Desiraju, G.R.; Klein, R.A.; Sadlej, J.; Scheiner, S.; Alkorta, I.; Clary, D.C.; Crabtree, R.H.; Dannenberg, J.J.; Hobza, P.; et al. Definition of the hydrogen bond (IUPAC Recommendations 2011). Pure Appl. Chem. 2011, 83, 1637–1641. [Google Scholar] [CrossRef]
- Martinho, N.; Silva, L.; Florindo, H.; Brocchini, S.; Zloh, M.; Barata, T. Rational design of novel, fluorescent, tagged glutamic acid dendrimers with different terminal groups and in silico analysis of their properties. Int. J. Nanomed. 2017, 112, 7053–7073. [Google Scholar] [CrossRef] [PubMed]
- Baker, E.N. Hydrogen bonding in biological macromolecules. In International Tables for Crystallography Volume F: Crystallography Ofbiological Macromolecules; Rossmann, M.G., Arnold, E., Eds.; Springer: Dordrecht, The Netherlands, 2006; pp. 546–552. [Google Scholar] [CrossRef]
- Ramachandran, G.; Sasisekharan, V. Conformation of Polypeptides and Proteins. In Advances in Protein Chemistry; Academic Press: Cambridge, MA, USA, 1968; Volume 23, pp. 283–437. [Google Scholar] [CrossRef]
- Finkelstein, A.; Ptitsyn, O. (Eds.) Protein Physics, 2nd ed.; Elsevier: Amsterdam, The Netherlands, 2016; p. 528. [Google Scholar] [CrossRef]
- Bekker, H.; Berendsen, H.J.C.; Van Gunsteren, W.F. Force and Virial of Torsional-Angle-Dependent Potentials. J. Comput. Chem. 1995, 16, 527–533. [Google Scholar] [CrossRef]
- Adzhubei, A.A.; Sternberg, M.J.E.; Makarov, A.A. Polyproline-II Helix in Proteins: Structure and Function. J. Mol. Biol. 2013, 425, 2100–2132. [Google Scholar] [CrossRef]
- Kell, G. Isothermal Compressibility of liquid Water at 1 Atm. J. Chem. Eng. Data 1970, 15, 119–122. [Google Scholar] [CrossRef]
- Billen, J.; Broeckhoven, K.; Liekens, A.; Choikhet, K.; Rozing, G.; Desmet, G. Influence of pressure and temperature on the physico-chemical properties of mobile phase mixtures commonly used in high-performance liquid chromatography. J. Chromatogr. A 2008, 1210, 30–44. [Google Scholar] [CrossRef]
- Hruby, J.; Klomfar, J.; Sifner, O. (T, p, ρ) relation of liquid methanol at temperatures from 205 K to 321 K and pressures up to 50 MPa. J. Chem. Thermodyn. 1993, 25, 1229. [Google Scholar] [CrossRef]
- Caleman, C.; van Maaren, P.J.; Hong, M.; Hub, J.S.; Costa, L.T.; van der Spoel, D. Force Field Benchmark of Organic Liquids: Density, Enthalpy of Vaporization, Heat Capacities, Surface Tension, Isothermal Compressibility, Volumetric Expansion Coefficient, and Dielectric Constant. J. Chem. Theory Comput. 2012, 8, 61–74. [Google Scholar] [CrossRef]
- Sanchez, M.C.; Dominguez, H.; Pizio, O. Molecular dynamics simulations of the properties of water–methanol mixtures. Effects of force fields. Condens. Matter Phys. 2019, 22, 13602. [Google Scholar] [CrossRef]
- Lindorff-Larsen, K.; Piana, S.; Palmo, K.; Maragakis, P.; Klepeis, J.L.; Dror, R.O.; Shaw, D.E. Improved side-chain torsion potentials for the Amber ff99SB protein force field. Proteins 2010, 78, 1950–1958. [Google Scholar] [CrossRef] [PubMed]
- Abraham, M.J.; Murtola, T.; Schulz, R.; Pall, S.; Smith, J.C.; Hess, B.; Lindahl, E. GROMACS: High performance molecular simulations through multi-level parallelism from laptops to supercomputers. Softw. X 2015, 1–2, 19–25. [Google Scholar] [CrossRef]
- Darinskii, A.; Gotlib, Y.; Lyulin, A.; Neyelov, L. Computer simulation of local dynamics of a polymer chain in the orienting field of the LC type. Vysokomol. Soedin. Ser. A 1991, 33, 1211–1220. [Google Scholar] [CrossRef]
- Ennari, J.; Elomaa, M.; Neelov, I.; Sundholm, F. Modeling of water-free and water containing solid polyelectrolytes. Polymer 2000, 41, 985–990. [Google Scholar] [CrossRef]
- Ennari, J.; Neelov, I.; Sundholm, F. Molecular dynamics simulation of the PEO sulfonic acid anion in water. Comput. Theor. Polym. Sci. 2000, 10, 403–410. [Google Scholar] [CrossRef]
- Ennari, J.; Neelov, I.; Sundholm, F. Simulation of a PEO based solid polyelectrolyte, comparison of the CMM and the Ewald summation method. Polymer 2000, 41, 2149–2155. [Google Scholar] [CrossRef]
- Darinskii, A.; Gotlib, Y.; Lukyanov, M.; Lyulin, A.; Neelov, I. Computer simulation of the molecular motion in LC and oriented polymers. Prog. Colloid Polym. Sci. 1993, 91, 13–15. [Google Scholar] [CrossRef]
- Gowdy, J.; Batchelor, M.; Neelov, I.; Paci, E. Nonexponential kinetics of loop formation in proteins and peptides: A signature of rugged free energy landscapes? J. Phys. Chem. B 2017, 121, 9518–9525. [Google Scholar] [CrossRef]
- Neelov, I.; Adolf, D.; McLeish, T.; Paci, E. Molecular dynamics simulation of dextran extension by constant force in single molecule AFM. Biophys. J. 2006, 91, 3579–3588. [Google Scholar] [CrossRef]
- Neelov, I.M.; Binder, K. Brownian dynamics of grafted polymer chains: Time-dependent properties. Macromol. Theory Simul. 1995, 4, 1063–1084. [Google Scholar] [CrossRef]
- Neelov, I.; Adolf, D. Brownian dynamics simulations of dendrimers under elongational flow: Bead-rod model with hydrodynamic interactions. Macromolecules 2003, 36, 6914–6924. [Google Scholar] [CrossRef]
- Neelov, I.; Adolf, D. Brownian dynamics simulation of hyperbranched polymers under elongational flow. Phys. Chem. B 2004, 108, 7627–7636. [Google Scholar] [CrossRef]
- Sheveleva, N.; Bezrodnyi, V.; Mikhtaniuk, S.; Shavykin, O.; Neelov, I.; Tarasenko, I.; Vovk, M.; Mikhailova, M.; Penkova, A.; Markelov, D. Local Orientational Mobility of Collapsed Dendrimers. Macromolecules 2021, 54, 11083–11092. [Google Scholar] [CrossRef]
- Brito, M.; Mikhtaniuk, S.; Neelov, I.; Borisov, O.; Holm, C. Implicit-solvent coarse-grained simulations of linear-dendritic block copolymer micelles. Int. J. Mol. Sci. 2023, 24, 2763. [Google Scholar] [CrossRef] [PubMed]
- Sheveleva, N.; Tarasenko, I.; Vovk, M.; Mikhailova, M.; Neelov, I.; Markelov, D. NMR Studies of Two Lysine Based Dendrimers with Insertion of Similar Histidine-Arginine and Arginine-Histidine Spacers Having Different Properties for Application in Drug Delivery. Int. J. Mol. Sci. 2023, 24, 949. [Google Scholar] [CrossRef]
- Sadovnichy, V.; Tikhonravov, A.; Voevodin, V.; Opanasenko, V. Contemporary High Performance Computing: From Petascale toward Exascale; Oak Ridge National Lab. (ORNL): Boca Raton, FL, USA, 2013; pp. 283–307. [Google Scholar]












| DGL1 | DGL2 | |||||||
|---|---|---|---|---|---|---|---|---|
| 0.2 | 0.83 | 0.84 | 1.39 | 0.041 | 1.73 | 0.92 | 2.86 | 0.005 |
| 0.4 | 0.82 | 0.84 | 1.38 | 0.041 | 1.73 | 0.93 | 2.83 | 0.005 |
| 0.6 | 0.81 | 0.85 | 1.33 | 0.038 | 1.70 | 0.94 | 2.79 | 0.004 |
| 0.7 | 0.76 | 0.86 | 1.31 | 0.034 | 1.47 | 0.95 | 2.51 | 0.005 |
| 0.8 | 0.74 | 0.87 | 1.24 | 0.026 | 1.31 | 0.98 | 2.23 | 0.005 |
| 0.9 | 0.69 | 0.93 | 1.23 | 0.021 | 1.28 | 0.99 | 2.20 | 0.006 |
| DGL1 | DGL2 | Water | MeOH | |
|---|---|---|---|---|
| M (g/mol) | 1051.5 | 6218.8 | 18 | 32 |
| (e) | +8 | +48 | 0 | 0 |
| [1 × 10 bar] | [nm] | |
|---|---|---|
| 0.2 | 6.2 | 0.91 |
| 0.4 | 8.1 | 1.12 |
| 0.6 | 9.9 | 1.33 |
| 0.7 | 10.8 | 1.435 |
| 0.8 | 11.8 | 1.54 |
| 0.9 | 12.7 | 1.645 |
Disclaimer/Publisher’s Note: The statements, opinions and data contained in all publications are solely those of the individual author(s) and contributor(s) and not of MDPI and/or the editor(s). MDPI and/or the editor(s) disclaim responsibility for any injury to people or property resulting from any ideas, methods, instructions or products referred to in the content. |
© 2023 by the authors. Licensee MDPI, Basel, Switzerland. This article is an open access article distributed under the terms and conditions of the Creative Commons Attribution (CC BY) license (https://creativecommons.org/licenses/by/4.0/).
Share and Cite
Fatullaev, E.I.; Shavykin, O.V.; Neelov, I.M. Molecular Dynamics of Lysine Dendrigrafts in Methanol–Water Mixtures. Int. J. Mol. Sci. 2023, 24, 3063. https://doi.org/10.3390/ijms24043063
Fatullaev EI, Shavykin OV, Neelov IM. Molecular Dynamics of Lysine Dendrigrafts in Methanol–Water Mixtures. International Journal of Molecular Sciences. 2023; 24(4):3063. https://doi.org/10.3390/ijms24043063
Chicago/Turabian StyleFatullaev, Emil I., Oleg V. Shavykin, and Igor M. Neelov. 2023. "Molecular Dynamics of Lysine Dendrigrafts in Methanol–Water Mixtures" International Journal of Molecular Sciences 24, no. 4: 3063. https://doi.org/10.3390/ijms24043063
APA StyleFatullaev, E. I., Shavykin, O. V., & Neelov, I. M. (2023). Molecular Dynamics of Lysine Dendrigrafts in Methanol–Water Mixtures. International Journal of Molecular Sciences, 24(4), 3063. https://doi.org/10.3390/ijms24043063

