PCSK9 Inhibitors Have Apolipoprotein C-III-Related Anti-Inflammatory Activity, Assessed by 1H-NMR Glycoprotein Profile in Subjects at High or very High Cardiovascular Risk
Abstract
Highlights
- PCSK9 inhibition significantly reduces 1H-NMR glycoprotein signals and does not affect hsCRP levels.
- Apolipoprotein C-III and triglycerides are also decreased by iPCSK9.
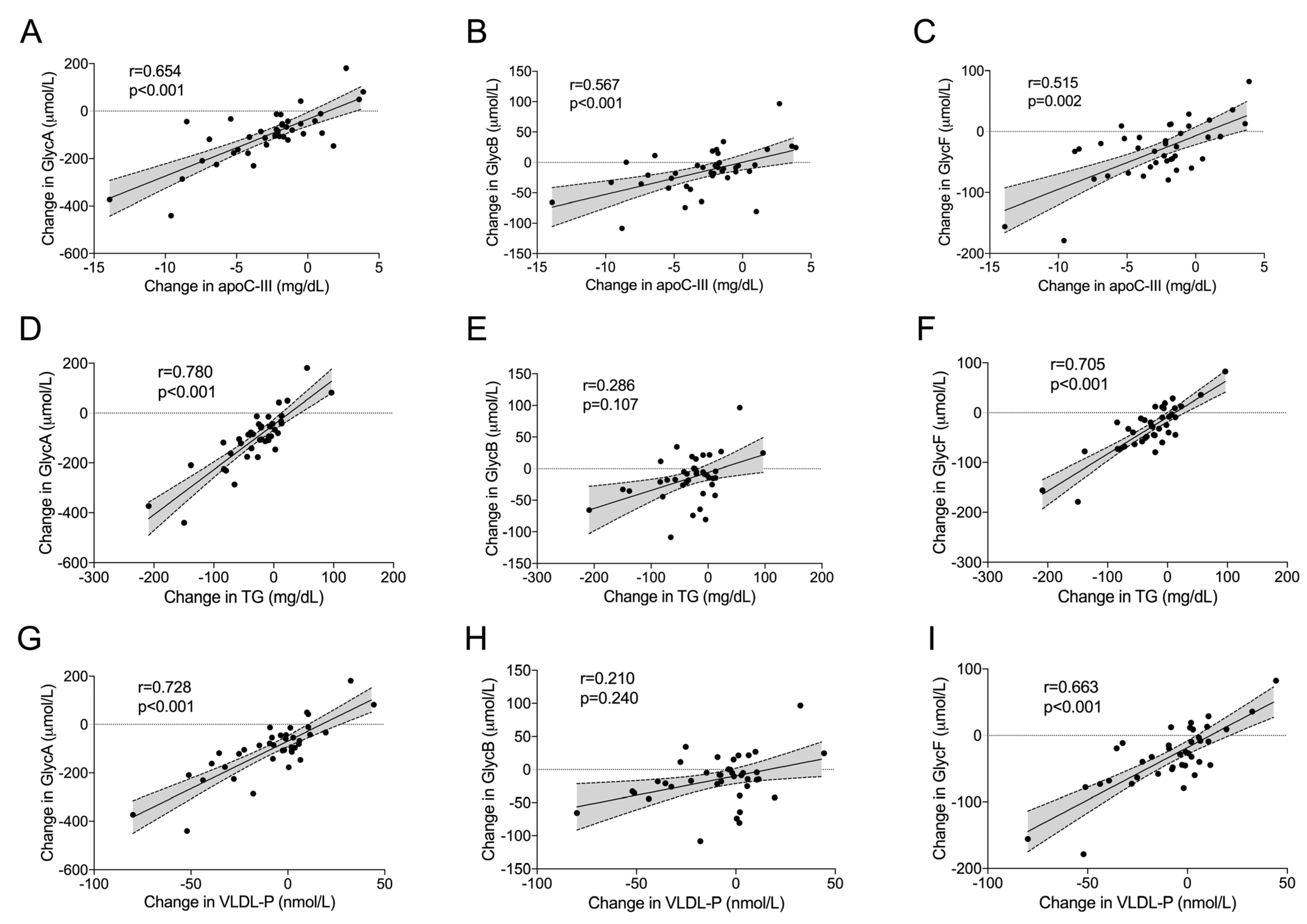
- The decrease in glycoproteins correlates with the decrease in apoC-III and TG.
- PCSK9 inhibition significantly reduces inflammation
Abstract
1. Introduction
2. Results
2.1. Changes in Inflammation: Glycoproteins
2.2. Changes in Lipids, Lipoproteins and Apolipoproteins
2.3. Changes in Lipoprotein Size and Number
2.4. Changes in Circulating PCSK9
2.5. ApoC-III Concentrations in Lipoprotein Fractions
3. Discussion
3.1. Changes in Inflammatory Markers
3.2. Changes in Lipids, Lipoproteins and Apolipoproteins
3.3. PCSK9 Plasma Concentration
4. Material and Methods
4.1. Design and Study Subjects
4.2. Clinical and Standard Biochemical Analysis
4.3. Lipoprotein Particle Analysis by 1H-NMR
4.4. Glycoprotein Analysis by 1H-NMR
4.5. Lipoprotein Isolation by Ultracentrifugation and Apolipoprotein Analysis
4.6. Statistical Analysis
Supplementary Materials
Author Contributions
Funding
Institutional Review Board Statement
Informed Consent Statement
Data Availability Statement
Conflicts of Interest
Abbreviations
| iPCSK9 | proprotein convertase subtilisin/kexin type 9 inhibitors |
| VLDL | very low-density lipoprotein |
| LDL | low-density lipoprotein |
| HDL | high-density lipoprotein |
| Lp(a) | lipoprotein (a) |
| Apo | apolipoprotein |
| Glyc | glycoprotein |
| 1H-NMR | 1H nuclear magnetic resonance |
| hsCRP | high-sensitivity C-reactive protein |
| IL | interleukin |
References
- Gisterå, A.; Hansson, G.K. The immunology of atherosclerosis. Nat. Rev. Nephrol. 2017, 13, 368–380. [Google Scholar] [CrossRef] [PubMed]
- Hansson, G.K.; Hermansson, A. The immune system in atherosclerosis. Nat. Immunol. 2011, 12, 204–212. [Google Scholar] [CrossRef] [PubMed]
- Nurmohamed, N.S.; Navar, A.M.; Kastelein, J.J.P. New and Emerging Therapies for Reduction of LDL-Cholesterol and Apolipoprotein B: JACC Focus Seminar 1/4. J. Am. Coll. Cardiol. 2021, 77, 1564–1575. [Google Scholar] [CrossRef] [PubMed]
- Gencer, B.; Marston, N.A.; Im, K.A.; Cannon, C.P.; Sever, P.; Keech, A.; Braunwald, E.; Giugliano, R.P.; Sabatine, M.S. Efficacy and safety of lowering LDL cholesterol in older patients: A systematic review and meta-analysis of randomised controlled trials. Lancet 2020, 396, 1637–1643. [Google Scholar] [CrossRef]
- Ridker, P.M.; Everett, B.M.; Thuren, T.; MacFadyen, J.G.; Chang, W.H.; Ballantyne, C.; Fonseca, F.; Nicolau, J.; Koenig, W.; Anker, S.D.; et al. Antiinflammatory Therapy with Canakinumab for Atherosclerotic Disease. N. Engl. J. Med. 2017, 377, 1119–1131. [Google Scholar] [CrossRef]
- Abbate, A.; Toldo, S.; Marchetti, C.; Kron, J.; Van Tassell, B.W.; Dinarello, C.A. Interleukin-1 and the Inflammasome as Therapeutic Targets in Cardiovascular Disease. Circ. Res. 2020, 1260–1280. [Google Scholar] [CrossRef]
- Golia, E.; Limongelli, G.; Natale, F.; Fimiani, F.; Maddaloni, V.; Pariggiano, I.; Bianchi, R.; Crisci, M.; D’Acierno, L.; Giordano, R.; et al. Inflammation and cardiovascular disease: From pathogenesis to therapeutic target. Curr. Atheroscler. Rep. 2014, 16. [Google Scholar] [CrossRef]
- Liu, P.Y.; Liu, Y.W.; Lin, L.J.; Chen, J.H.; Liao, J.K. Evidence for statin pleiotropy in humans: Differential effects of statins and ezetimibe on Rho-associated coiled-coil containing protein kinase activity, endothelial function, and inflammation. Circulation 2009, 119, 131–138. [Google Scholar] [CrossRef]
- Oesterle, A.; Laufs, U.; Liao, J.K. Pleiotropic Effects of Statins on the Cardiovascular System. Circ. Res. 2017, 120, 229–243. [Google Scholar] [CrossRef]
- Robinson, J.G.; Farnier, M.; Krempf, M.; Bergeron, J.; Luc, G.; Averna, M.; Stroes, E.S.; Langslet, G.; Raal, F.J.; El Shahawy, M.; et al. Efficacy and Safety of Alirocumab in Reducing Lipids and Cardiovascular Events. N. Engl. J. Med. 2015, 372, 1489–1499. [Google Scholar] [CrossRef]
- Raal, F.J.; Stein, E.A.; Dufour, R.; Turner, T.; Civeira, F.; Burgess, L.; Langslet, G.; Scott, R.; Olsson, A.G.; Sullivan, D.; et al. PCSK9 inhibition with evolocumab (AMG 145) in heterozygous familial hypercholesterolaemia (RUTHERFORD-2): A randomised, double-blind, placebo-controlled trial. Lancet 2015, 385, 331–340. [Google Scholar] [CrossRef] [PubMed]
- Cao, Y.X.; Li, S.; Liu, H.H.; Li, J.J. Impact of PCSK9 monoclonal antibodies on circulating hs-CRP levels: A systematic review and meta-analysis of randomised controlled trials. BMJ Open 2018, 8, e022348. [Google Scholar] [CrossRef] [PubMed]
- Pradhan, A.D.; Aday, A.W.; Rose, L.M.; Ridker, P.M. Residual inflammatory risk on treatment with PCSK9 inhibition and statin therapy. Circulation 2018, 138, 141–149. [Google Scholar] [CrossRef] [PubMed]
- Ridker, P.M.; Buring, J.E.; Rifai, N.; Cook, N.R. Development and Validation of Improved Algorithms for the Assessment of Global Cardiovascular Risk in Women—The Reynolds Risk Score. J. Am. Med. Assoc. 2007, 297, 611–619. [Google Scholar] [CrossRef] [PubMed]
- Ridker, P.M.; Paynter, N.P.; Rifai, N.; Gaziano, J.M.; Cook, N.R. C-reactive protein and parental history improve global cardiovascular risk prediction: The Reynolds risk score for men. Circulation 2008, 118, 2243–2251. [Google Scholar] [CrossRef]
- Tang, Z.; Jiang, L.; Peng, J.; Ren, Z.; Wei, D.; Wu, C.; Pan, L.; Jiang, Z.; Liu, L. PCSK9 siRNA suppresses the inflammatory response induced by oxLDL through inhibition of NF-κB activation in THP-1-derived macrophages. Int. J. Mol. Med. 2012, 30, 931–938. [Google Scholar] [CrossRef]
- Ricci, C.; Ruscica, M.; Camera, M.; Rossetti, L.; MacChi, C.; Colciago, A.; Zanotti, I.; Lupo, M.G.; Adorni, M.P.; Cicero, A.F.G.; et al. PCSK9 induces a pro-inflammatory response in macrophages. Sci. Rep. 2018, 8, 2267. [Google Scholar] [CrossRef]
- Kühnast, S.; Van Der Hoorn, J.W.A.; Pieterman, E.J.; Van Den Hoek, A.M.; Sasiela, W.J.; Gusarova, V.; Peyman, A.; Schäfer, H.L.; Schwahn, U.; Jukema, J.W.; et al. Alirocumab inhibits atherosclerosis, improves the plaque morphology, and enhances the effects of a statin. J. Lipid Res. 2014, 55, 2103–2112. [Google Scholar] [CrossRef]
- Momtazi-Borojeni, A.A.; Jaafari, M.R.; Afshar, M.; Banach, M.; Sahebkar, A. PCSK9 immunization using nanoliposomes: Preventive efficacy against hypercholesterolemia and atherosclerosis. Arch. Med. Sci. 2021, 17, 1365–1377. [Google Scholar] [CrossRef]
- Punch, E.; Klein, J.; Diaba-Nuhoho, P.; Morawietz, H.; Garelnabi, M. Effects of PCSK9 Targeting: Alleviating Oxidation, Inflammation, and Atherosclerosis. J. Am. Heart Assoc. 2022, 11, e023328. [Google Scholar] [CrossRef]
- Leung, A.K.K.; Xue, Y.C.; de Guzman, A.; Grzelkovski, G.; Kong, H.J.; Genga, K.R.; Russell, J.A.; Boyd, J.H.; Francis, G.A.; Walley, K.R. Modulation of vascular endothelial inflammatory response by proprotein convertase subtilisin-kexin type 9. Atherosclerosis 2022, 362, 29–37. [Google Scholar] [CrossRef]
- Balogh, E.; Pusztai, A.; Hamar, A.; Végh, E.; Szamosi, S.; Kerekes, G.; McCormick, J.; Biniecka, M.; Szántó, S.; Szűcs, G.; et al. Autoimmune and angiogenic biomarkers in autoimmune atherosclerosis. Clin. Immunol. 2019, 199, 47–51. [Google Scholar] [CrossRef]
- Joung, K.H.; Kim, J.M.; Choung, S.; Lee, J.H.; Kim, H.J.; Ku, B.J. Association between IL-1beta and cardiovascular disease risk in patients with newly diagnosed, drug-naïve type 2 diabetes mellitus: A cross-sectional study. Ann. Transl. Med. 2020, 8, 225. [Google Scholar] [CrossRef] [PubMed]
- Kawakami, A.; Aikawa, M.; Libby, P.; Alcaide, P.; Luscinskas, F.W.; Sacks, F.M. Apolipoprotein CIII in apolipoprotein B lipoproteins enhances the adhesion of human monocytic cells to endothelial cells. Circulation 2006, 113, 691–700. [Google Scholar] [CrossRef] [PubMed]
- Ballout, R.A.; Remaley, A.T. GlycA: A new biomarker for systemic inflammation and cardiovascular disease (CVD) risk assessment. J. Lab. Precis. Med. 2020, 5, 17. [Google Scholar] [CrossRef]
- Otvos, J.D.; Shalaurova, I.; Wolak-Dinsmore, J.; Connelly, M.A.; Mackey, R.H.; Stein, J.H.; Tracy, R.P. GlycA: A composite nuclear magnetic resonance biomarker of systemic inflammation. Clin. Chem. 2015, 61, 714–723. [Google Scholar] [CrossRef] [PubMed]
- Fuertes-Martín, R.; Correig, X.; Vallvé, J.; Amigó, N. Human Serum / Plasma Glycoprotein Analysis by 1 H-NMR, an Emerging Method of Inflammatory Assessment. J. Clin. Med. 2020, 9, 354. [Google Scholar] [CrossRef]
- Lorenzo, C.; Festa, A.; Hanley, A.J.; Rewers, M.J.; Escalante, A.; Haffner, S.M. Novel protein glycan-derived markers of systemic inf lammation and c-reactive protein in relation to glycemia, insulin resistance, and insulin secretion. Diabetes Care 2017, 40, 375–382. [Google Scholar] [CrossRef]
- Fuertes-Martín, R.; Taverner, D.; Vallvé, J.C.; Paredes, S.; Masana, L.; Correig Blanchar, X.; Amigó Grau, N. Characterization of 1H NMR Plasma Glycoproteins as a New Strategy to Identify Inflammatory Patterns in Rheumatoid Arthritis. J. Proteome Res. 2018, 17, 3730–3739. [Google Scholar] [CrossRef]
- Akinkuolie, A.O.; Buring, J.E.; Ridker, P.M.; Mora, S. A novel protein glycan biomarker and future cardiovascular disease events. J. Am. Heart Assoc. 2014, 3, e001221. [Google Scholar] [CrossRef]
- Akinkuolie, A.O.; Glynn, R.J.; Padmanabhan, L.; Ridker, P.M.; Mora, S. Circulating N-Linked Glycoprotein Side-Chain Biomarker, Rosuvastatin Therapy, and Incident Cardiovascular Disease: An Analysis From the JUPITER Trial. J. Am. Heart Assoc. 2016, 5, e003822. [Google Scholar] [CrossRef] [PubMed]
- Momtazi-Borojeni, A.A.; Sabouri-Rad, S.; Gotto, A.M.; Pirro, M.; Banach, M.; Awan, Z.; Barreto, G.E.; Sahebkar, A. PCSK9 and inflammation: A review of experimental and clinical evidence. Eur. Heart J. Cardiovasc. Pharmacother. 2019, 5, 237–245. [Google Scholar] [CrossRef] [PubMed]
- Fuertes-Martín, R.; Moncayo, S.; Insenser, M.; Martínez-García, M.Á.; Luque-Ramírez, M.; Grau, N.A.; Blanchar, X.C.; Escobar-Morreale, H.F. Glycoprotein A and B Height-to-Width Ratios as Obesity-Independent Novel Biomarkers of Low-Grade Chronic Inflammation in Women with Polycystic Ovary Syndrome (PCOS). J. Proteome Res. 2019, 18, 4038–4045. [Google Scholar] [CrossRef] [PubMed]
- Malo, A.I.; Girona, J.; Ibarretxe, D.; Rodríguez-Borjabad, C.; Amigó, N.; Plana, N.; Masana, L. Serum glycoproteins A and B assessed by 1H-NMR in familial hypercholesterolemia. Atherosclerosis 2021, 330, 1–7. [Google Scholar] [CrossRef]
- Amigó, N.; Fuertes-Martín, R.; Malo, A.I.; Plana, N.; Ibarretxe, D.; Girona, J.; Correig, X.; Masana, L. Glycoprotein Profile Measured by a1 H-Nuclear Magnetic Resonance Based on Approach in Patients with Diabetes: A New Robust Method to Assess Inflammation. Life 2021, 11, 1407. [Google Scholar] [CrossRef]
- Rodríguez-Carrio, J.; Alperi-López, M.; López, P.; Pérez-Álvarez, Á.I.; Gil-Serret, M.; Amigó, N.; Ulloa, C.; Benavente, L.; Ballina-García, F.J.; Suárez, A. Glyca levels during the earliest stages of rheumatoid arthritis: Potential use as a biomarker of subclinical cardiovascular disease. J. Clin. Med. 2020, 9, 2472. [Google Scholar] [CrossRef]
- Keser, T.; Gornik, I.; Vučković, F.; Selak, N.; Pavić, T.; Lukić, E.; Gudelj, I.; Gašparović, H.; Biočina, B.; Tilin, T.; et al. Increased plasma N-glycome complexity is associated with higher risk of type 2 diabetes. Diabetologia 2017, 60, 2352–2360. [Google Scholar] [CrossRef]
- Muhlestein, J.B.; May, H.; Winegar, D.; Rollo, J.; Connelly, M.; Otvos, J.; Anderson, J. GlycA and GlycB, Novel NMR Biomarkers of Inflammation, Strongly Predict Future Cardiovascular Events, But Not the Presence of Coronary Artery Disease (CAD), Among Patients Undergoing Coronary Angiography: The Intermountain Heart Collaborative Study. J. Am. Coll. Cardiol. 2014, 63, A1389. [Google Scholar] [CrossRef]
- Otvos, J.D.; Guyton, J.R.; Connelly, M.A.; Akapame, S.; Bittner, V.; Kopecky, S.; Lacy, M.; Marcovina, S.M.; Muhlestein, J.B.; Boden, W.E. Relations of GlycA and lipoprotein particle subspecies with cardiovascular events and mortality: A post hoc analysis of the AIM-HIGH trial. J. Clin. Lipidol. 2018, 12, 348–355.e2. [Google Scholar] [CrossRef]
- Joshi, A.A.; Lerman, J.B.; Aberra, T.M.; Afshar, M.; Teague, H.L.; Rodante, J.A.; Krishnamoorthy, P.; Ng, Q.; Aridi, T.Z.; Salahuddin, T.; et al. GlycA Is a Novel Biomarker of Inflammation and Subclinical Cardiovascular Disease in Psoriasis. Circ. Res. 2016, 119, 1242–1253. [Google Scholar] [CrossRef]
- Kelesidis, T.; Tran, T.T.T.; Stein, J.H.; Brown, T.T.; Moser, C.; Ribaudo, H.J.; Dube, M.P.; Murphy, R.; Yang, O.O.; Currier, J.S.; et al. Changes in Inflammation and Immune Activation with Atazanavir-, Raltegravir-, Darunavir-Based Initial Antiviral Therapy: ACTG 5260s. Clin. Infect. Dis. 2015, 61, 651–660. [Google Scholar] [CrossRef] [PubMed]
- Huo, T.; Cai, S.; Lu, X.; Sha, Y.; Yu, M.; Li, F. Metabonomic study of biochemical changes in the serum of type 2 diabetes mellitus patients after the treatment of metformin hydrochloride. J. Pharm. Biomed. Anal. 2009, 49, 976–982. [Google Scholar] [CrossRef]
- Roÿtiö, H.; Mokkala, K.; Vahlberg, T.; Laitinen, K. Dietary intake of fat and fibre according to reference values relates to higher gut microbiota richness in overweight pregnant women. Br. J. Nutr. 2017, 118, 343–352. [Google Scholar] [CrossRef] [PubMed]
- Sliz, E.; Kettunen, J.; Holmes, M.V.; Williams, C.O.; Boachie, C.; Wang, Q.; Männikkö, M.; Sebert, S.; Walters, R.; Lin, K.; et al. Metabolomic Consequences of Genetic Inhibition of PCSK9 Compared with Statin Treatment. Circulation 2018, 138, 2499–2512. [Google Scholar] [CrossRef] [PubMed]
- Connelly, M.A.; Otvos, J.D.; Shalaurova, I.; Playford, M.P.; Mehta, N.N. GlycA, a novel biomarker of systemic inflammation and cardiovascular disease risk. J. Transl. Med. 2017, 15, 219. [Google Scholar] [CrossRef]
- Riggs, K.A.; Joshi, P.H.; Khera, A.; Otvos, J.D.; Greenland, P.; Ayers, C.R.; Rohatgi, A. GlycA, hsCRP differentially associated with MI, ischemic stroke: In the Dallas Heart Study and Multi-Ethnic Study of Atherosclerosis. Am. J. Prev. Cardiol. 2022, 12, 100373. [Google Scholar] [CrossRef]
- Castañer, O.; Pintó, X.; Subirana, I.; Amor, A.J.; Ros, E.; Hernáez, Á.; Martínez-González, M.Á.; Corella, D.; Salas-Salvadó, J.; Estruch, R.; et al. Remnant Cholesterol, Not LDL Cholesterol, Is Associated With Incident Cardiovascular Disease. J. Am. Coll. Cardiol. 2020, 76, 2712–2724. [Google Scholar] [CrossRef]
- Balling, M.; Afzal, S.; Varbo, A.; Langsted, A.; Davey Smith, G.; Nordestgaard, B.G. VLDL Cholesterol Accounts for One-Half of the Risk of Myocardial Infarction Associated With apoB-Containing Lipoproteins. J. Am. Coll. Cardiol. 2020, 76, 2725–2735. [Google Scholar] [CrossRef]
- Jørgensen, A.B.; Frikke-Schmidt, R.; Nordestgaard, B.G.; Tybjærg-Hansen, A. Loss-of-Function Mutations in APOC3 and Risk of Ischemic Vascular Disease. N. Engl. J. Med. 2014, 371, 32–41. [Google Scholar] [CrossRef]
- Crosby, J.; Peloso, G.M.; Auer, P.L.; Crosslin, D.R.; Stitziel, N.O.; Lange, L.A.; Lu, Y.; Tang, Z.; Zhang, H.; Hindy, G.; et al. Loss-of-Function Mutations in APOC3, Triglycerides, and Coronary Disease. N. Engl. J. Med. 2014, 371, 22–31. [Google Scholar] [CrossRef]
- Hiukka, A.; Ståhlman, M.; Pettersson, C.; Levin, M.; Adiels, M.; Teneberg, S.; Leinonen, E.S.; Hultén, L.M.; Wiklund, O.; Orešič, M.; et al. ApoCIII-enriched LDL in type 2 diabetes displays altered lipid composition, increased susceptibility for sphingomyelinase, and increased binding to biglycan. Diabetes 2009, 58, 2018–2026. [Google Scholar] [CrossRef]
- Henry, R.R.; Müller-Wieland, D.; Taub, P.R.; Bujas-Bobanovic, M.; Louie, M.J.; Letierce, A.; Ginsberg, H.N. Effect of alirocumab on lipids and lipoproteins in individuals with metabolic syndrome without diabetes: Pooled data from 10 phase 3 trials. Diabetes Obes. Metab. 2018, 20, 1632–1641. [Google Scholar] [CrossRef] [PubMed]
- Juntti-Berggren, L.; Berggren, P.O. Apolipoprotein CIII is a new player in diabetes. Curr. Opin. Lipidol. 2017, 28, 27–31. [Google Scholar] [CrossRef] [PubMed]
- Maierean, S.; Webb, R.; Banach, M.; Mazidi, M. The role of inflammation and the possibilities of inflammation reduction to prevent cardiovascular events. Eur. Heart J. Open 2022, 2, oeac039. [Google Scholar] [CrossRef] [PubMed]
- Padro, T.; Muñoz-Garcia, N.; Badimon, L. The role of triglycerides in the origin and progression of atherosclerosis. Clin. Investig. Arterioscler. 2021, 33, 20–28. [Google Scholar] [CrossRef]
- Toth, P.P.; Sattar, N.; Blom, D.J.; Martin, S.S.; Jones, S.R.; Monsalvo, M.L.; Elliott, M.; Davis, M.; Somaratne, R.; Preiss, D. Effect of Evolocumab on Lipoprotein Particles. Am. J. Cardiol. 2018, 121, 308–314. [Google Scholar] [CrossRef] [PubMed]
- Koren, M.J.; Kereiakes, D.; Pourfarzib, R.; Winegar, D.; Banerjee, P.; Hamon, S.; Hanotin, C.; McKenney, J.M. Effect of PCSK9 inhibition by alirocumab on lipoprotein particle concentrations determined by nuclear magnetic resonance spectroscopy. J. Am. Heart Assoc. 2015, 4, e002224. [Google Scholar] [CrossRef]
- März, W.; Kleber, M.E.; Scharnagl, H.; Speer, T.; Zewinger, S.; Ritsch, A.; Parhofer, K.G.; von Eckardstein, A.; Landmesser, U.; Laufs, U. HDL cholesterol: Reappraisal of its clinical relevance. Clin. Res. Cardiol. 2017, 106, 663–675. [Google Scholar] [CrossRef]
- Kwakernaak, A.J.; Lambert, G.; Dullaart, R.P.F. Plasma proprotein convertase subtilisin-kexin type 9 is predominantly related to intermediate density lipoproteins. Clin. Biochem. 2014, 47, 679–682. [Google Scholar] [CrossRef]
- Shapiro, M.D.; Tavori, H.; Fazio, S. PCSK9 from basic science discoveries to clinical trials. Circ. Res. 2018, 122, 1420–1438. [Google Scholar] [CrossRef]
- Mach, F.; Baigent, C.; Catapano, A.L.; Koskinas, K.C.; Casula, M.; Badimon, L.; Chapman, M.J.; De Backer, G.G.; Delgado, V.; Ference, B.A.; et al. 2019 ESC/EAS Guidelines for the management of dyslipidaemias: Lipid modification to reduce cardiovascular risk. Eur. Heart J. 2020, 41, 111–188. [Google Scholar] [CrossRef]
- Friedewald, W.T.; Levy, R.I.; Fredrickson, D.S. A Estimationofthe Concentrationof Low-Density LipoproteinCholesterolin Plasma, without Useof the PreparativeUltracentrifug. J. Chem. Inf. Model. 1972, 18, 499–502. [Google Scholar]
- Mallol, R.; Amigó, N.; Rodríguez, M.A.; Heras, M.; Vinaixa, M.; Plana, N.; Rock, E.; Ribalta, J.; Yanes, O.; Masana, L.; et al. Liposcale: A novel advanced lipoprotein test based on 2D diffusion-ordered 1H NMR spectroscopy. J. Lipid Res. 2015, 56, 737–746. [Google Scholar] [CrossRef] [PubMed]
- Havel, R.J.; Eder, H.A.; Bragdon, J.H. The distribution and chemical composition of ultracentrifugally separated lipoproteins in human serum. J. Clin. Investig. 1955, 34, 1345–1350. [Google Scholar] [CrossRef] [PubMed]



| Patients | 39 |
| Women | 14 (35.9) |
| Smoker | |
| No | 16 (41.0) |
| Yes | 10 (25.6) |
| Ex-smoker | 13 (33.3) |
| Arterial hypertension | 25 (64.1) |
| Type 2 diabetes | 12 (30.8) |
| Dyslipidemia | 38 (97.4) |
| Type of dyslipidemia | |
| HFH | 19 (48.7) |
| Polygenic FH | 3 (7.7) |
| FCH | 2 (5.13) |
| Other | 14 (35.9) |
| CAD | 21 (53.8) |
| Stroke | 4 (10.3) |
| PAD | 2 (5.1) |
| Statins | 34 (87.2) |
| Statin type and dose (in mg) | |
| Pr40, F80, S20, A10, P1 | 3 (7.7) |
| S40, A20, R5, P2 | 1 (2.6) |
| A40, R10, P4 | 11 (28.2) |
| A80, R20 | 18 (46.2) |
| R40 | 1 (2.6) |
| Ezetimibe | 26 (66.7) |
| Fibrates | 2 (5.1) |
| Antiaggregants | 24 (61.5) |
| Anticoagulants | 1 (2.6) |
| Age, years | 56.15 ± 10.50 |
| Weight, kg | 78.32 ± 15.41 |
| Height, cm | 166.62 ± 9.43 |
| BMI, kg/m2 | 28.08 ± 4.26 |
| Systolic BP, mm Hg | 130.00 (120.00–143.75) |
| Diastolic BP, mm Hg | 78.18 ± 9.54 |
| hsCRP, mg/L | 0.54 (0.18–1.20) |
| Pre-Treatment | Post-Treatment | Percent Change | p-Value | |
|---|---|---|---|---|
| Lipids and apolipoproteins | ||||
| Total cholesterol, mg/dL | 188.42 (171.52–248.65) | 120.08 (106.85–153.76) | −36.27 | <0.001 |
| Triglycerides, mg/dL | 115.94 (97.13–171.91) | 104.43 (90.49–134.96) | −9.92 | <0.001 |
| LDL cholesterol, mg/dL | 118.23 (104.89–174.87) | 53.14 (35.93–84.72) | −55.05 | <0.001 |
| HDL cholesterol, mg/dL | 40.35 (33.23–48.31) | 45.02 (38.65–51.81) | 11.58 | <0.001 |
| Remnant cholesterol, mg/dL | 23.19 (19.43–34.38) | 20.89 (18.10–26.99) | −9.92 | <0.001 |
| non-HDL cholesterol, mg/dL | 144.21 (128.66–204.51) | 79.15 (64.29–109.56) | −45.11 | <0.001 |
| Lp(a), mg/dL | 27.30 (9.95–78.53) | 21.30 (7.52–62.75) | −21.98 | <0.001 |
| ApoB, mg/dL | 104.00 (92.00–122.75) | 59.00 (45.50–77.00) | −43.27 | <0.001 |
| ApoA-I, mg/dL | 146.00 (124.50–174.75) | 149.00 (131.50–189.75) | 2.05 | 0.043 |
| ApoC-III, mg/dL | 9.00 (6.58–14.28) | 8.10 (5.20–10.35) | −10 | <0.001 |
| HDL triglycerides, mg/dL | 16.93 ± 5.46 | 16.09 ± 4.82 | −4.99 | 0.254 |
| HDL apoC-III, mg/dL | 5.61 (3.91–10.26) | 5.28 (2.50–8.25) | −5.88 | 0.087 |
| Inflammatory markers | ||||
| hsCRP, mg/L | 0.54 (0.18–1.20) | 0.44 (0.23–1.54) | −18.52 | 0.492 |
| GlycA, μmol/L | 843.71 ± 154.98 | 742.68 ± 106.97 | −11.97 | <0.001 |
| GlycB, μmol/L | 376.82 ± 48.34 | 362.38 ± 48.12 | −3.83 | 0.017 |
| GlycF, μmol/L | 229.95 (211.70–271.77) | 213.26 (190.26–231.71) | −7.26 | <0.001 |
| PCSK9 | ||||
| pcsk9, ng/mL | 380.58 ± 148.70 | 2764.11 ± 1131.26 | 626.28 | <0.001 |
| Pre-Treatment | Post-Treatment | Percent Change | p-Value | |
|---|---|---|---|---|
| VLDL-P, nmol/L | 40.29 (34.70–67.25) | 42.91 (37.84–57.99) | 6.5 | 0.101 |
| Large VLDL-P, nmol/L | 1.22 (0.97–1.63) | 1.44 (1.17–1.64) | 18.03 | 0.179 |
| Medium VLDL-P, nmol/L | 4.61 (3.67–6.83) | 4.62 (3.56–5.73) | 0.22 | 0.138 |
| Small VLDL-P, nmol/L | 36.25 (28.83–58.34) | 37.29 (32.12–50.01) | 2.87 | 0.093 |
| LDL-P, nmol/L | 1510.75 (1318.89–1736.34) | 936.07 (799.70–1108.24) | −38.04 | <0.001 |
| Large LDL-P, nmol/L | 212.23 ± 41.99 | 139.94 ± 32.61 | −34.06 | <0.001 |
| Medium LDL-P, nmol/L | 443.57 (345.80–526.54) | 182.00 (140.02–281.48) | −58.97 | <0.001 |
| Small LDL-P, nmol/L | 855.14 (760.26–906.30) | 629.38 (544.00–712.05) | −26.4 | <0.001 |
| HDL-P, μmol/L | 25.34 ± 4.98 | 27.06 ± 6.32 | 6.79 | 0.006 |
| Large HDL-P, μmol/L | 0.30 ± 0.04 | 0.27 ± 0.03 | −9.24 | <0.001 |
| Medium HDL-P μmol/L | 9.28 (8.79–10.24) | 8.75 (8.23–9.45) | −5.71 | <0.001 |
| Small HDL-P, μmol/L | 15.45 ± 4.48 | 17.82 ± 5.91 | 15.29 | <0.001 |
| VLDL size, nm | 42.19 ± 0.20 | 42.26 ± 0.17 | 0.16 | 0.065 |
| LDL size, nm | 21.11 ± 0.24 | 20.87 ± 0.28 | −1.1 | <0.001 |
| HDL size, nm | 8.34 (8.25–8.44) | 8.24 (8.18–8.37) | −1.2 | <0.001 |
Disclaimer/Publisher’s Note: The statements, opinions and data contained in all publications are solely those of the individual author(s) and contributor(s) and not of MDPI and/or the editor(s). MDPI and/or the editor(s) disclaim responsibility for any injury to people or property resulting from any ideas, methods, instructions or products referred to in the content. |
© 2023 by the authors. Licensee MDPI, Basel, Switzerland. This article is an open access article distributed under the terms and conditions of the Creative Commons Attribution (CC BY) license (https://creativecommons.org/licenses/by/4.0/).
Share and Cite
Rehues, P.; Girona, J.; Guardiola, M.; Plana, N.; Scicali, R.; Piro, S.; Muñiz-Grijalvo, O.; Díaz-Díaz, J.L.; Recasens, L.; Pinyol, M.; et al. PCSK9 Inhibitors Have Apolipoprotein C-III-Related Anti-Inflammatory Activity, Assessed by 1H-NMR Glycoprotein Profile in Subjects at High or very High Cardiovascular Risk. Int. J. Mol. Sci. 2023, 24, 2319. https://doi.org/10.3390/ijms24032319
Rehues P, Girona J, Guardiola M, Plana N, Scicali R, Piro S, Muñiz-Grijalvo O, Díaz-Díaz JL, Recasens L, Pinyol M, et al. PCSK9 Inhibitors Have Apolipoprotein C-III-Related Anti-Inflammatory Activity, Assessed by 1H-NMR Glycoprotein Profile in Subjects at High or very High Cardiovascular Risk. International Journal of Molecular Sciences. 2023; 24(3):2319. https://doi.org/10.3390/ijms24032319
Chicago/Turabian StyleRehues, Pere, Josefa Girona, Montse Guardiola, Núria Plana, Roberto Scicali, Salvatore Piro, Ovidio Muñiz-Grijalvo, José Luis Díaz-Díaz, Lluís Recasens, Marta Pinyol, and et al. 2023. "PCSK9 Inhibitors Have Apolipoprotein C-III-Related Anti-Inflammatory Activity, Assessed by 1H-NMR Glycoprotein Profile in Subjects at High or very High Cardiovascular Risk" International Journal of Molecular Sciences 24, no. 3: 2319. https://doi.org/10.3390/ijms24032319
APA StyleRehues, P., Girona, J., Guardiola, M., Plana, N., Scicali, R., Piro, S., Muñiz-Grijalvo, O., Díaz-Díaz, J. L., Recasens, L., Pinyol, M., Rosales, R., Esteban, Y., Amigó, N., Masana, L., Ibarretxe, D., & Ribalta, J. (2023). PCSK9 Inhibitors Have Apolipoprotein C-III-Related Anti-Inflammatory Activity, Assessed by 1H-NMR Glycoprotein Profile in Subjects at High or very High Cardiovascular Risk. International Journal of Molecular Sciences, 24(3), 2319. https://doi.org/10.3390/ijms24032319

