Bioactive Compounds in Plasma as a Function of Sex and Sweetener Resulting from a Maqui-Lemon Beverage Consumption Using Statistical and Machine Learning Techniques
Abstract
1. Introduction
2. Results
2.1. ANOVA Results
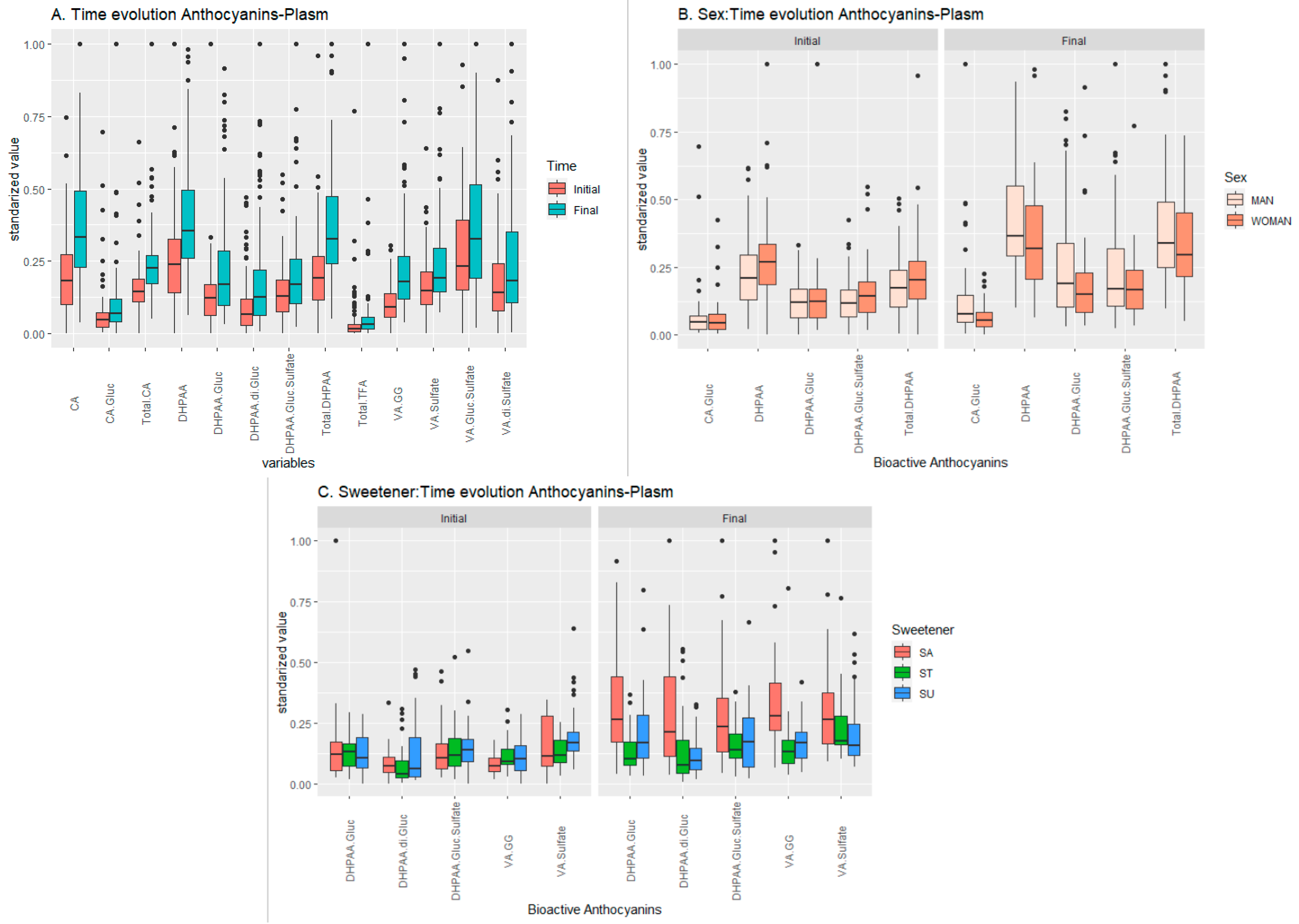
2.1.1. Anthocyanin Set
2.1.2. Flavanones Set
2.2. Clustering Results
2.2.1. Feature Selection
2.2.2. Anthocyanins Set
2.2.3. Flavanones Set
3. Discussion
4. Materials and Methods
4.1. Experimental Phase
4.2. Computational Phase
4.2.1. Dataset
4.2.2. Pre-processing
4.2.3. Analysis of Variance (ANOVA)
4.2.4. Data Imputation
4.2.5. Feature Selection
4.2.6. Clustering
5. Conclusions
Supplementary Materials
Author Contributions
Funding
Institutional Review Board Statement
Informed Consent Statement
Data Availability Statement
Conflicts of Interest
References
- Pulido, R.; Bravo, L.; Saura-Calixto, F. Antioxidant Activity of Dietary Polyphenols As Determined by a Modified Ferric Reducing/Antioxidant Power Assay. J. Agric. Food Chem. 2000, 48, 3396–3402. [Google Scholar] [CrossRef] [PubMed]
- Zhu, Y.; Huang, X.; Zhang, Y.; Wang, Y.; Liu, Y.; Sun, R.; Xia, M. Anthocyanin Supplementation Improves HDL-Associated Paraoxonase 1 Activity and Enhances Cholesterol Efflux Capacity in Subjects With Hypercholesterolemia. J. Clin. Endocrinol. Metab. 2014, 99, 561–569. [Google Scholar] [CrossRef] [PubMed]
- Agulló, V.; García-Viguera, C.; Domínguez-Perles, R. The Use of Alternative Sweeteners (Sucralose and Stevia) in Healthy Soft-Drink Beverages, Enhances the Bioavailability of Polyphenols Relative to the Classical Caloric Sucrose. Food Chem. 2022, 370, 131051. [Google Scholar] [CrossRef] [PubMed]
- Hamberg, K. Gender Bias in Medicine. Womens Health 2008, 4, 237–243. [Google Scholar] [CrossRef] [PubMed]
- Marino, M.; Masella, R.; Bulzomi, P.; Campesi, I.; Malorni, W.; Franconi, F. Nutrition and Human Health from a Sex-Gender Perspective. Mol. Asp. Med. 2011, 32, 1–70. [Google Scholar] [CrossRef]
- Fattore, L.; Fratta, W. How Important Are Sex Differences in Cannabinoid Action? Br. J. Pharmacol. 2010, 160, 544–548. [Google Scholar] [CrossRef]
- Villaño, D.; Masoodi, H.; Marhuenda, J.; García-Viguera, C.; Zafrilla, P. Stevia, Sucralose and Sucrose Added to a Maqui-Citrus Beverage and Their Effects on Glycemic Response in Overweight Subjects: A Randomized Clinical Trial. LWT 2021, 144, 111173. [Google Scholar] [CrossRef]
- Zafrilla, P.; Masoodi, H.; Cerdá, B.; García-Viguera, C.; Villaño, D. Biological Effects of Stevia, Sucralose and Sucrose in Citrus–Maqui Juices on Overweight Subjects. Food Funct. 2021, 12, 8535–8543. [Google Scholar] [CrossRef]
- Ke, J.; Duan, R. Effects of Flavonoids from Semen Cuscutae on the Hippocampal-Hypothalamic-Pituitary-Ovarian Sex Hormone Receptors in Female Rats Exposed to Psychological Stress. Clin. Exp. Obs. Gynecol 2013, 40, 271–274. [Google Scholar]
- Li, X.; Guo, J.; Jiang, X.; Sun, J.; Tian, L.; Jiao, R.; Tang, Y.; Bai, W. Cyanidin-3-O-Glucoside Protects against Cadmium-Induced Dysfunction of Sex Hormone Secretion via the Regulation of Hypothalamus-Pituitary-Gonadal Axis in Male Pubertal Mice. Food Chem. Toxicol. 2019, 129, 13–21. [Google Scholar] [CrossRef]
- Helmy, S.A.; El-Mofty, S.; El Gayar, A.M.; El-Sherbiny, I.M.; El-Far, Y.M. Novel Doxorubicin / Folate-Targeted Trans-Ferulic Acid-Loaded PLGA Nanoparticles Combination: In-Vivo Superiority over Standard Chemotherapeutic Regimen for Breast Cancer Treatment. Biomed. Pharmacother. 2022, 145, 112376. [Google Scholar] [CrossRef] [PubMed]
- Md. Rahman, M.; Kim, M.-J.; Kim, J.-H.; Kim, S.-H.; Go, H.-K.; Kweon, M.-H.; Kim, D.-H. Desalted Salicornia Europaea Powder and Its Active Constituent, Trans-Ferulic Acid, Exert Anti-Obesity Effects by Suppressing Adipogenic-Related Factors. Pharm. Biol. 2018, 56, 183–191. [Google Scholar] [CrossRef] [PubMed]
- Sesso, H.D.; Gaziano, J.M.; Liu, S.; Buring, J.E. Flavonoid Intake and the Risk of Cardiovascular Disease in Women. Am. J. Clin. Nutr. 2003, 77, 1400–1408. [Google Scholar] [CrossRef] [PubMed]
- Déchaud, H.; Ravard, C.; Claustrat, F.; de la Perrière, A.B.; Pugeat, M. Xenoestrogen Interaction with Human Sex Hormone-Binding Globulin (HSHBG)1. Steroids 1999, 64, 328–334. [Google Scholar] [CrossRef] [PubMed]
- Mülleder, U.; Murkovic, M.; Pfannhauser, W. Urinary Excretion of Cyanidin Glycosides. J. Biochem. Biophys. Methods 2002, 53, 61–66. [Google Scholar] [CrossRef]
- Greenhouse, S.W.; Geisser, S. On Methods in the Analysis of Profile Data. Psychometrika 1959, 24, 95–112. [Google Scholar] [CrossRef]
- Mauchly, J.W. Significance Test for Sphericity of a Normal $n$-Variate Distribution. Ann. Math. Stat. 1940, 11, 204–209. [Google Scholar] [CrossRef]
- Benjamini, Y.; Hochberg, Y. Controlling the False Discovery Rate: A Practical and Powerful Approach to Multiple Testing. J. R. Stat. Soc. Ser. B 1995, 57, 289–300. [Google Scholar] [CrossRef]
- Jafari, M.; Ansari-Pour, N. Why, When and How to Adjust Your P Values? Cell J. 2019, 20, 604–607. [Google Scholar] [CrossRef]
- Ilyas, I.F.; Chu, X. Data Cleaning; ACM Books: New York, NY, USA, 2019; ISBN 978-1-4503-7153-7. [Google Scholar]
- Grund, S.; Lüdtke, O.; Robitzsch, A. Using Synthetic Data to Improve the Reproducibility of Statistical Results in Psychological Research. Psychol. Methods 2022. [Google Scholar] [CrossRef]
- King, G.; Honaker, J.; Joseph, A.; Scheve, K. Analyzing Incomplete Political Science Data: An Alternative Algorithm for Multiple Imputation. Am. Political Sci. Rev. 2001, 95, 49–69. [Google Scholar] [CrossRef]
- van der Loo, M. Simputation: Simple Imputation. R Package Version 0.2. 2017, Volume 2. Available online: https://cran.r-project.org/web/packages/simputation/simputation.pdf (accessed on 17 January 2023).
- Kassambara, A. Rstatix: Pipe-Friendly Framework for Basic Statistical Tests. R Package Version 0.6. 2020. Available online: https://cran.r-project.org/web/packages/rstatix/index.html (accessed on 17 January 2023).
- Ferri, F.J.; Pudil, P.; Hatef, M.; Kittler, J. Comparative Study of Techniques for Large-Scale Feature Selection. Mach. Intell. Pattern Recognit. 1994, 16, 403–413. [Google Scholar]
- Kursa, M.B.; Rudnicki, W.R. Feature Selection with the Boruta Package. J. Stat. Softw. 2010, 36, 1–13. [Google Scholar] [CrossRef]
- Madhulatha, T.S. An overview on clustering methods. IOSRJEN 2012, 02, 719–725. [Google Scholar] [CrossRef]
- Szabo, F.E.M. The Linear Algebra Survival Guide; Szabo, F.E., Ed.; Academic Press: Boston, MA, USA, 2015; pp. 219–233. ISBN 978-0-12-409520-5. [Google Scholar]
- Baek, J.-W.; Kim, J.-C.; Chun, J.; Chung, K. Hybrid Clustering Based Health Decision-Making for Improving Dietary Habits. Technol. Health Care 2019, 27, 459–472. [Google Scholar] [CrossRef]
- Chanana, S.; Thomas, C.S.; Zhang, F.; Rajski, S.R.; Bugni, T.S. Hcapca: Automated Hierarchical Clustering and Principal Component Analysis of Large Metabolomic Datasets in R. Metabolites 2020, 10, 297. [Google Scholar] [CrossRef]
- de Barros, H.E.A.; Natarelli, C.V.L.; de Carvalho Tavares, I.M.; de Oliveira, A.L.M.; Araújo, A.B.S.; Pereira, J.; Carvalho, E.E.N.; de Barros Vilas Boas, E.V.; Franco, M. Nutritional Clustering of Cookies Developed with Cocoa Shell, Soy, and Green Banana Flours Using Exploratory Methods. Food Bioprocess Technol. 2020, 13, 1566–1578. [Google Scholar] [CrossRef]
- Charrad, M.; Ghazzali, N.; Boiteau, V.; Niknafs, A. NbClust: An R Package for Determining the Relevant Number of Clusters in a Data Set. J. Stat. Softw. 2014, 61, 1–36. [Google Scholar] [CrossRef]
- Brock, G.; Pihur, V.; Datta, S.; Datta, S. ClValid: An R Package for Cluster Validation. J. Stat. Soft. 2008, 25, 1–22. [Google Scholar] [CrossRef]
- McNicholas, P.D. Model-Based Clustering. J. Classif. 2016, 33, 331–373. [Google Scholar] [CrossRef]






| Compounds | Factors and Interactions (p-Value) | |||
|---|---|---|---|---|
| Time | Sex–Time | Sweetener–Time | Pairwise t-Test | |
| CA | 1.68 × 10−10 | 5.87 × 10−1 | 1.32e × 10−1 | M/SA(+++), M/SU(++), F/SA(++), F/ST(++), M(+++), F(+++), SA(+++), ST(++), SU(++). T(+++) |
| CA-G | 3.20 × 10−2 | 3.7 × 10−2 | 7.02 × 10−1 | M/SU(+), M(+), T(+) |
| Total CA | 4.47 × 10−8 | 6.70 × 10−2 | 3.45 × 10−1 | M/SA(+++), M/SU(++), F/ST(+), M(+++), F(+++), T(+++) |
| DHPAA | 1.55 × 10−7 | 8.00 × 10−3 | 8.66 × 10−1 | M/SA(+++), M/ST(++),M/SU(+++), M(+++), F(+), SA(++), ST(++). SU(+++), T(+++) |
| DPHAA-G | 5.28 × 10−7 | 6.50 × 10−2 | 1.45 × 10−4 | M/SA(+++), M/SU(++), M(+++), F(+), SA(+++), SU(++) |
| DHPAA-GG | 6.52 × 10−6 | 3.39 × 10−1 | 2.87 × 10−5 | M/SA(+++), F/SA(+), F/ST(+), M(+++), F(+), SA(+++), ST(+), T(+++) |
| DPHAA-GS | 4.19 × 10−5 | 5.00 × 10−3 | 1.00 × 10−3 | M/SA(++), M/SU(+), M(+++), SA(+++), T(+++) |
| DHPAA-SS * | 1.25 × 10−1 | 9.8 × 10−2 | 5.17 × 10−1 | M/SA(++), M(+) |
| Total DHPAA | 9.07 × 10−13 | 4.00 × 10−6 | 8.20 × 10−2 | M/SA(+++), M/ST(+++), M/SU(+++), F/SA(++), F/ST(++), M(+++), F(+++), SA(+++), ST(+++), SU(+++), T(+++) |
| TFA-G * | 1.09 × 10−1 | 8.59 × 10−1 | 7.74 × 10−1 | ST(+) |
| TFA-S | 9.7 × 10−2 | 4.38 × 10−1 | 8.09 × 10−1 | F/SA(++), F/ST(++), ST(+) |
| Total TFA | 5.00 × 10−2 | 3.08 × 10−1 | 8.33 × 10−1 | F/ST(+++), F(+), ST(++), T(+) |
| VA-GG | 6.64 × 10−15 | 8.35 × 10−1 | 1.17 × 10−10 | M/SA(+++), M/SU(++), F/SA(++), F/SU(+), M(+++), F(+++), SA(+++), SU(++), T(+++) |
| VA-S * | 2.47 × 10−4 | 5.95 × 10−1 | 5.00 × 10−3 | F/SA(+), F/ST(+), M(+), SA(+), ST(+), T(++) |
| VA-GS | 7.97 × 10−4 | 2.78 × 10−1 | 1.15 × 10−1 | M/SA(+), F/SA(+), M(++), SA(++), T(+++) |
| VA-SS | 5.00 × 10−3 | 6.29 × 10−1 | 4.48 × 10−1 | ST(+,), T(+) |
| Flavanones | Factors and Interactions (p-Value) | |||
|---|---|---|---|---|
| Time | Sex–Time | Sweetener–Time | Pairwise t-Test | |
| E | 9.00 × 10−3 | 6.78 × 10−1 | 5.63 × 10−1 | M(+), SU(+), T(++) |
| E-sulfate * | 4.14 × 10−1 | 3.03 × 10−1 | 3.74 × 10−1 | NR |
| HE-G | 1.15 × 10−1 | 3.40 × 10−1 | 5.94 × 10−1 | M/ST(+), F/ST(+), M/SU(+), F(++), ST(++), SU(++) |
| N-G | 1.8 × 10−4 | 3.51 × 10−1 | 6.73 × 10−1 | F/SA(+), M/ST(+++), M/SU(+), F/SU(+), M(++), F(+++), ST(+++), SU(+++), T(+++) |
| Time–Dataset | Clustering Technique | Number of Clusters |
|---|---|---|
| Initial–Flavanones | Model-Based | 4 |
| Final–Flavanones | DIANA | 4 |
| Initial–Anthocyanin | PAM | 6 |
| Final–Anthocyanin | K-means | 6 |
| Sample Time | Anthocyanin Selected |
|---|---|
| Initial | Total CA, TFA-S, Total TFA, VA-SS, Total VA |
| Final | DHPAA-GS, TFA-S, Total TFA, VA-GG, VA-GS |
Disclaimer/Publisher’s Note: The statements, opinions and data contained in all publications are solely those of the individual author(s) and contributor(s) and not of MDPI and/or the editor(s). MDPI and/or the editor(s) disclaim responsibility for any injury to people or property resulting from any ideas, methods, instructions or products referred to in the content. |
© 2023 by the authors. Licensee MDPI, Basel, Switzerland. This article is an open access article distributed under the terms and conditions of the Creative Commons Attribution (CC BY) license (https://creativecommons.org/licenses/by/4.0/).
Share and Cite
Hernández-Prieto, D.; Fernández, P.S.; Agulló, V.; García-Viguera, C.; Egea, J.A. Bioactive Compounds in Plasma as a Function of Sex and Sweetener Resulting from a Maqui-Lemon Beverage Consumption Using Statistical and Machine Learning Techniques. Int. J. Mol. Sci. 2023, 24, 2140. https://doi.org/10.3390/ijms24032140
Hernández-Prieto D, Fernández PS, Agulló V, García-Viguera C, Egea JA. Bioactive Compounds in Plasma as a Function of Sex and Sweetener Resulting from a Maqui-Lemon Beverage Consumption Using Statistical and Machine Learning Techniques. International Journal of Molecular Sciences. 2023; 24(3):2140. https://doi.org/10.3390/ijms24032140
Chicago/Turabian StyleHernández-Prieto, Diego, Pablo S. Fernández, Vicente Agulló, Cristina García-Viguera, and Jose A. Egea. 2023. "Bioactive Compounds in Plasma as a Function of Sex and Sweetener Resulting from a Maqui-Lemon Beverage Consumption Using Statistical and Machine Learning Techniques" International Journal of Molecular Sciences 24, no. 3: 2140. https://doi.org/10.3390/ijms24032140
APA StyleHernández-Prieto, D., Fernández, P. S., Agulló, V., García-Viguera, C., & Egea, J. A. (2023). Bioactive Compounds in Plasma as a Function of Sex and Sweetener Resulting from a Maqui-Lemon Beverage Consumption Using Statistical and Machine Learning Techniques. International Journal of Molecular Sciences, 24(3), 2140. https://doi.org/10.3390/ijms24032140

