The Variations’ in Genes Encoding TIM-3 and Its Ligand, Galectin-9, Influence on ccRCC Risk and Prognosis
Abstract
1. Introduction
2. Results
2.1. Association between TIM-3 and LGALS9 SNPs and Susceptibility to ccRCC
2.2. Association of TIM-3 and LGALS9 Polymorphisms with Clinical Features of ccRCC Patients
2.3. Haplotype Analysis
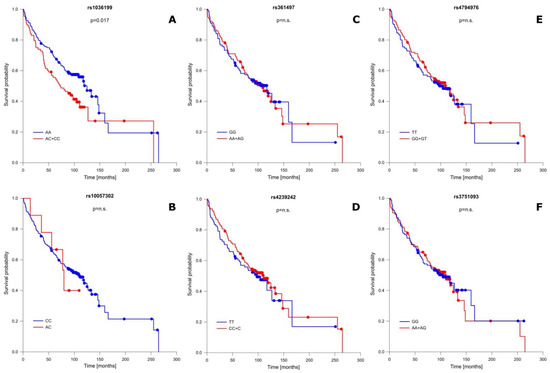
2.4. TIM-3 and LGALS9 Gene Polymorphisms in Relation to Overall Survival
2.5. Univariate and Multivariate Analysis of Risk Factors Influencing ccRCC Risk and Overall Patient Survival
3. Discussion
4. Conclusions
5. Materials and Methods
5.1. ccRCC Patients
5.2. Controls
5.3. SNP Selection
5.4. DNA Isolation and SNP Genotyping
5.5. Statistical Analyses
Supplementary Materials
Author Contributions
Funding
Institutional Review Board Statement
Informed Consent Statement
Data Availability Statement
Acknowledgments
Conflicts of Interest
References
- Global Cancer Observatory. Available online: https://gco.iarc.fr/today/home (accessed on 10 September 2022).
- Padala, S.A.; Barsouk, A.; Thandra, K.C.; Saginala, K.; Mohammed, A.; Vakiti, A.; Rawla, P.; Barsouk, A. Epidemiology of renal cell carcinoma. World J. Oncol. 2020, 11, 79–87. [Google Scholar] [CrossRef] [PubMed]
- Muglia, V.F.; Prando, A. Renal cell carcinoma: Histological classification and correlation with imaging findings. Radiol. Bras. 2015, 48, 166–174. [Google Scholar] [CrossRef]
- Deleuze, A.; Saout, J.; Dugay, F.; Peyronnet, B.; Mathieu, R.; Verhoest, G.; Bensalah, K.; Crouzet, L.; Laguerre, B.; Belaud-Rotureau, M.A.; et al. Immunotherapy in renal cell carcinoma: The future is now. Int. J. Mol. Sci. 2020, 21, 2532. [Google Scholar] [CrossRef] [PubMed]
- Dyck, L.; Mills, K.H.G. Immune checkpoints and their inhibition in cancer and infectious diseases. Eur. J. Immunol. 2017, 47, 765–779. [Google Scholar] [CrossRef] [PubMed]
- Karabon, L.; Partyka, A.; Ciszak, L.; Pawlak-Adamska, E.; Tomkiewicz, A.; Bojarska-Junak, A.; Roliński, J.; Wołowiec, D.; Wrobel, T.; Frydecka, I.; et al. Abnormal expression of BTLA and CTLA-4 immune checkpoint molecules in chronic lymphocytic leukemia patients. J. Immunol. Res. 2020, 2020, 6545921. [Google Scholar] [CrossRef] [PubMed]
- Kitsou, M.; Ayiomamitis, G.; Zaravinos, A. High expression of immune checkpoints is associated with the TIL load, mutation rate and patient survival in colorectal cancer. Int. J. Oncol. 2020, 57, 237–248. [Google Scholar] [CrossRef]
- Weimer, P.; Wellbrock, J.; Sturmheit, T.; Oliveira-Ferrer, L.; Ding, Y.; Menzel, S.; Witt, M.; Hell, L.; Schmalfeldt, B.; Bokemeyer, C.; et al. Tissue-specific expression of TIGIT, PD-1, TIM-3, and CD39 by γδ T cells in ovarian cancer. Cells 2022, 11, 964. [Google Scholar] [CrossRef]
- Gao, X.; Zhu, Y.; Li, G.; Huang, H.; Zhang, G.; Wang, F.; Sun, J.; Yang, Q.; Zhang, X.; Lu, B. Tim-3 expression characterizes regulatory T cells in tumor tissues and is associated with lung cancer progression. PLoS ONE 2012, 7, e30676. [Google Scholar] [CrossRef]
- Piao, Y.-R.; Jin, Z.-H.; Yuan, K.-C.; Jin, X.-S. Analysis of Tim-3 as a therapeutic target in prostate cancer. Tumor Biol. 2014, 35, 11409–11414. [Google Scholar] [CrossRef][Green Version]
- Yang, M.; Yu, Q.; Liu, J.; Fu, W.; Cao, Y.; Yu, L.; Shao, S.; Wang, X.; Niu, H.; Wang, Y. T-cell immunoglobulin mucin-3 expression in bladder urothelial carcinoma: Clinicopathologic correlations and association with survival. J. Surg. Oncol. 2015, 112, 430–435. [Google Scholar] [CrossRef]
- Das, M.; Zhu, C.; Kuchroo, V.K. Tim-3 and its role in regulating anti-tumor immunity. Immunol. Rev. 2017, 276, 97–111. [Google Scholar] [CrossRef] [PubMed]
- Oomizu, S.; Arikawa, T.; Niki, T.; Kadowaki, T.; Ueno, M.; Nishi, N.; Yamauchi, A.; Hirashima, M. Galectin-9 suppresses Th17 cell development in an IL-2-dependent but tim-3-independent manner. Clin. Immunol. 2012, 143, 51–58. [Google Scholar] [CrossRef] [PubMed]
- Zhu, C.; Anderson, A.C.; Schubart, A.; Xiong, H.; Imitola, J.; Khoury, S.J.; Zheng, X.X.; Strom, T.B.; Kuchroo, V.K. The TIM-3 ligand galectin-9 negatively regulates T helper type 1 immunity. Nat. Immunol. 2005, 6, 1245–1252. [Google Scholar] [CrossRef] [PubMed]
- Fu, H.; Liu, Y.; Xu, L.; Liu, W.; Fu, Q.; Liu, H.; Zhang, W.; Xu, J. Galectin-9 predicts postoperative recurrence and survival of patients with clear-cell renal cell carcinoma. Tumor Biol. 2015, 36, 5791–5799. [Google Scholar] [CrossRef] [PubMed]
- Jikuya, R.; Kishida, T.; Sakaguchi, M.; Yokose, T.; Yasui, M.; Hashizume, A.; Tatenuma, T.; Mizuno, N.; Muraoka, K.; Umemoto, S.; et al. Galectin-9 expression as a poor prognostic factor in patients with renal cell carcinoma. Cancer Immunol. Immunother. 2020, 69, 2041–2051. [Google Scholar] [CrossRef] [PubMed]
- Ju, M.-H.; Byun, K.-D.; Park, E.-H.; Lee, J.-H.; Han, S.-H. Association of galectin 9 expression with immune cell infiltration, programmed cell death ligand-1 expression, and patient’s clinical outcome in triple-negative breast cancer. Biomedicines 2021, 9, 1383. [Google Scholar] [CrossRef]
- Yang, R.; Sun, L.; Li, C.F.; Wang, Y.H.; Yao, J.; Li, H.; Yan, M.; Chang, W.C.; Hsu, J.M.; Cha, J.H.; et al. Galectin-9 interacts with PD-1 and Tim-3 to regulate T cell death and is a target for cancer immunotherapy. Nat. Commun. 2021, 12, 832. [Google Scholar] [CrossRef]
- Shen, H.; Yang, E.S.; Conry, M.; Fiveash, J.; Contreras, C.; Bonner, J.A.; Shi, L.Z. Predictive biomarkers for immune checkpoint blockade and opportunities for combination therapies. Genes Dis. 2019, 6, 232–246. [Google Scholar] [CrossRef] [PubMed]
- Partyka, A.; Tupikowski, K.; Kolodziej, A.; Zdrojowy, R.; Halon, A.; Malkiewicz, B.; Dembowski, J.; Frydecka, I.; Karabon, L. Association of 3′ nearby gene BTLA polymorphisms with the risk of renal cell carcinoma in the Polish population. Urol. Oncol. Semin. Orig. Investig. 2016, 34, 419.e13–419.e19. [Google Scholar] [CrossRef]
- Tupikowski, K.; Partyka, A.; Kolodziej, A.; Dembowski, J.; Debinski, P.; Halon, A.; Zdrojowy, R.; Frydecka, I.; Karabon, L. Ctla-4 and CD28 genes’ polymorphisms and renal cell carcinoma susceptibility in the Polish population—A prospective study. Tissue Antigens 2015, 86, 353–361. [Google Scholar] [CrossRef]
- Wagner, M.; Tupikowski, K.; Jasek, M.; Tomkiewicz, A.; Witkowicz, A.; Ptaszkowski, K.; Karpinski, P.; Zdrojowy, R.; Halon, A.; Karabon, L. SNP-SNP interaction in genes encoding PD-1/PD-L1 axis as a potential risk factor for clear cell renal cell carcinoma. Cancers 2020, 12, 3521. [Google Scholar] [CrossRef] [PubMed]
- Wagner, M.; Jasek, M.; Karabon, L. Immune checkpoint molecules—Inherited variations as markers for cancer risk. Front. Immunol. 2021, 11, 606721. [Google Scholar] [CrossRef] [PubMed]
- Bai, J.; Li, X.; Tong, D.; Shi, W.; Song, H.; Li, Q. T-cell immunoglobulin- and mucin-domain-containing molecule 3 gene polymorphisms and prognosis of non-small-cell lung cancer. Tumor Biol. 2013, 34, 805–809. [Google Scholar] [CrossRef] [PubMed]
- Cai, C.; Wang, L.; Wu, Z.; Li, M.; Chen, W.; Sun, Y. T-cell immunoglobulin- and mucin-domain-containing molecule 3 gene polymorphisms and renal cell carcinoma. DNA Cell Biol. 2012, 31, 1285–1289. [Google Scholar] [CrossRef] [PubMed]
- Cheng, S.; Ju, Y.; Han, F.; Wang, Y.; Xu, Y.; Qu, T.; Lu, Z. T Cell Immunoglobulin- and Mucin-Domain-Containing Molecule 3 Gene Polymorphisms and Susceptibility to Invasive Breast Cancer. Ann. Clin. Lab. Sci. 2017, 47, 668–675. [Google Scholar] [PubMed]
- Tong, D.; Zhou, Y.; Chen, W.; Deng, Y.; Li, L.; Jia, Z.; Qi, D. T cell immunoglobulin- and mucin-domain-containing molecule 3 gene polymorphisms and susceptibility to pancreatic cancer. Mol. Biol. Rep. 2012, 39, 9941–9946. [Google Scholar] [CrossRef]
- Wang, Z.; Liu, X.; Wang, X.; Chong, T.; Lin, S.; Wang, M.; Ma, X.; Liu, K.; Xu, P.; Feng, Y.; et al. Polymorphisms in Tim-3 and breast cancer susceptibility in Chinese women: A case-control study. Oncotarget 2016, 7, 43703–43712. [Google Scholar] [CrossRef]
- Vilar, K.D.; Pereira, M.C.; Tavares Dantas, A.; de Melo Rêgo, M.J.; Pitta, I.D.; Pinto Duarte, Â.L.; da Rocha Pitta, M.G. Galectin-9 gene (LGALS9) polymorphisms are associated with rheumatoid arthritis in Brazilian patients. PLoS ONE 2019, 14, e0223191. [Google Scholar] [CrossRef]
- Xu, W.D.; Wu, Q.; He, Y.W.; Huang, A.F.; Lan, Y.Y.; Fu, L.; Zhou, J.; Liu, X.Y. Gene polymorphisms of LGALS2, LGALS3 and LGALS9 in patients with rheumatoid arthritis. Cell. Immunol. 2021, 368, 104419. [Google Scholar] [CrossRef]
- Shi, Y.Y.; He, L. SHEsis, a powerful software platform for analyses of linkage disequilibrium, haplotype construction, and genetic association at polymorphism loci. Cell Res. 2005, 15, 97–98. [Google Scholar] [CrossRef]
- Zhang, Y.; Zheng, J. Functions of immune checkpoint molecules beyond immune evasion. In Advances in Experimental Medicine and Biology; Springer: Singapore, 2020; pp. 201–226. [Google Scholar] [CrossRef]
- Thana, M.; Wood, L. Immune checkpoint inhibitors in genitourinary malignancies. Curr. Oncol. 2020, 27, 69–77. [Google Scholar] [CrossRef] [PubMed]
- Zeidan, A.M.; Komrokji, R.S.; Brunner, A.M. Tim-3 pathway dysregulation and targeting in cancer. Expert Rev. Anticancer Ther. 2021, 21, 523–534. [Google Scholar] [CrossRef] [PubMed]
- Kamal, A.M.; Wasfey, E.F.; Elghamry, W.R.; Sabry, O.M.; Elghobary, H.A.; Radwan, S.M. Genetic signature of CTLA-4, BTLA, tim-3 and LAG-3 molecular expression in colorectal cancer patients: Implications in diagnosis and survival outcomes. Clin. Biochem. 2021, 96, 13–18. [Google Scholar] [CrossRef] [PubMed]
- Skejoe, C.; Hansen, A.S.; Stengaard-Pedersen, K.; Junker, P.; Hoerslev-Pedersen, K.; Hetland, M.L.; Oestergaard, M.; Greisen, S.; Hvid, M.; Deleuran, M.; et al. T-cell immunoglobulin and mucin domain 3 is upregulated in rheumatoid arthritis, but insufficient in controlling inflammation. Am. J. Clin. Exp. Immunol. 2022, 11, 34–44. [Google Scholar]
- Zhang, Y.; Cai, P.; Liang, T.; Wang, L.; Hu, L. Tim-3 is a potential prognostic marker for patients with solid tumors: A systematic review and meta-analysis. Oncotarget 2017, 8, 31705–31713. [Google Scholar] [CrossRef] [PubMed]
- Fourcade, J.; Sun, Z.; Benallaoua, M.; Guillaume, P.; Luescher, I.F.; Sander, C.; Kirkwood, J.M.; Kuchroo, V.; Zarour, H.M. Upregulation of Tim-3 and PD-1 expression is associated with tumor antigen–specific CD8+ T cell dysfunction in melanoma patients. J. Exp. Med. 2010, 207, 2175–2186. [Google Scholar] [CrossRef]
- Granier, C.; Dariane, C.; Combe, P.; Verkarre, V.; Urien, S.; Badoual, C.; Roussel, H.; Mandavit, M.; Ravel, P.; Sibony, M.; et al. Tim-3 expression on tumor-infiltrating PD-1+CD8+ T cells correlates with poor clinical outcome in renal cell carcinoma. Cancer Res. 2017, 77, 1075–1082. [Google Scholar] [CrossRef]
- Wu, J.-L.; Zhao, J.; Zhang, H.-B.; Zuo, W.-W.; Li, Y.; Kang, S. Genetic variants and expression of the TIM-3 gene are associated with clinical prognosis in patients with epithelial ovarian cancer. Gynecol. Oncol. 2020, 159, 270–276. [Google Scholar] [CrossRef]
- Joller, N.; Kuchroo, V.K. Tim-3, LAG-3, and TIGIT. In Current Topics in Microbiology and Immunology; Springer: Cham, Switzerland, 2017; pp. 127–156. [Google Scholar] [CrossRef]
- Wada, J.; Kanwar, Y.S. Identification and characterization of galectin-9, a novel β-galactoside-binding mammalian lectin. J. Biol. Chem. 1997, 272, 6078–6086. [Google Scholar] [CrossRef]
- Fagerberg, L.; Hallström, B.M.; Oksvold, P.; Kampf, C.; Djureinovic, D.; Odeberg, J.; Habuka, M.; Tahmasebpoor, S.; Danielsson, A.; Edlund, K.; et al. Analysis of the human tissue-specific expression by genome-wide integration of transcriptomics and antibody-based proteomics. Mol. Cell. Proteom. 2014, 13, 397–406. [Google Scholar] [CrossRef]
- John, S.; Mishra, R. Galectin-9: From cell biology to complex disease dynamics. J. Biosci. 2016, 41, 507–534. [Google Scholar] [CrossRef] [PubMed]
- Pang, N.; Alimu, X.; Chen, R.; Muhashi, M.; Ma, J.; Chen, G.; Zhao, F.; Wang, L.; Qu, J.; Ding, J. Activated galectin-9/TIM3 promotes Treg and suppresses Th1 effector function in chronic lymphocytic leukemia. FASEB J. 2021, 35, e21556. [Google Scholar] [CrossRef] [PubMed]
- Cao, E.; Zang, X.; Ramagopal, U.A.; Mukhopadhaya, A.; Fedorov, A.; Fedorov, E.; Zencheck, W.D.; Lary, J.W.; Cole, J.L.; Deng, H.; et al. T cell immunoglobulin mucin-3 crystal structure reveals a galectin-9-independent ligand-binding surface. Immunity 2007, 26, 311–321. [Google Scholar] [CrossRef] [PubMed]
- Aanhane, E.; Schulkens, I.A.; Heusschen, R.; Castricum, K.; Leffler, H.; Griffioen, A.W.; Thijssen, V.L. Different angioregulatory activity of monovalent galectin-9 isoforms. Angiogenesis 2018, 21, 545–555. [Google Scholar] [CrossRef] [PubMed]
- Akashi, E.; Fujihara, S.; Morishita, A.; Tadokoro, T.; Chiyo, T.; Fujikawa, K.; Kobara, H.; Mori, H.; Iwama, H.; Okano, K.; et al. Effects of galectin-9 on apoptosis, cell cycle and autophagy in human esophageal adenocarcinoma cells. Oncol. Rep. 2017, 38, 506–514. [Google Scholar] [CrossRef]
- Pally, D.; Banerjee, M.; Hussain, S.; Kumar, R.V.; Petersson, A.; Rosendal, E.; Gunnarsson, L.; Peterson, K.; Leffler, H.; Nilsson, U.J.; et al. Galectin-9 signaling drives breast cancer invasion through extracellular matrix. ACS Chem. Biol. 2022, 17, 1376–1386. [Google Scholar] [CrossRef]
- Rosen, H.R.; Golden-Mason, L.; Daly, A.K.; Yang, I.; Day, C.P. Variants in the LGALS9 gene are associated with development of liver disease in heavy consumers of alcohol. Clin. Gastroenterol. Hepatol. 2016, 14, 762–768. [Google Scholar] [CrossRef]
- Lee, W.-C. Searching for disease-susceptibility loci by testing for Hardy-Weinberg disequilibrium in a gene bank of affected individuals. Am. J. Epidemiol. 2003, 158, 397–400. [Google Scholar] [CrossRef]
- Li, Z.; Zhang, Z.; He, Z.; Tang, W.; Li, T.; Zeng, Z.; He, L.; Shi, Y. A partition-ligation-combination-subdivision EM algorithm for haplotype inference with multiallelic markers: Update of the SHEsis (http://analysis.bio-x.cn). Cell Res. 2009, 19, 519–523. [Google Scholar] [CrossRef]


| Cases | Controls | |||||||||
|---|---|---|---|---|---|---|---|---|---|---|
| SNP | Genotype | Allele | N | % | N | % | OR | 95% CI | p-Value | |
| rs1036199 | ||||||||||
| AA | 149 | 62.87 | 256 | 62.44 | 1 | 0.377 | ||||
| AC | 83 | 35.02 | 137 | 33.41 | 1.042 | 0.743 | 1.462 | |||
| CC | 5 | 2.11 | 17 | 4.15 | 0.539 | 0.203 | 1.435 | |||
| AC + CC | 88 | 37.13 | 154 | 37.56 | 0.983 | 0.707 | 1.367 | 0.913 | ||
| AA + AC | 232 | 97.89 | 393 | 95.85 | 1.880 | 0.711 | 4.968 | 0.169 | ||
| A | 381 | 80.38 | 649 | 79.15 | 1 | |||||
| C | 93 | 19.62 | 171 | 20.85 | 0.928 | 0.700 | 1.230 | 0.596 | ||
| rs10057302 | ||||||||||
| CC | 228 | 96.20 | 376 | 91.71 | 1 | 0.071 | ||||
| AC | 9 | 3.80 | 32 | 7.80 | 0.482 | 0.229 | 1.011 | |||
| AA | 0 | 0.00 | 2 | 0.49 | 0.330 | 0.016 | 6.895 | |||
| AC + AA | 9 | 3.80 | 34 | 8.29 | 0.454 | 0.217 | 0.948 | 0.027 | ||
| CC + AC | 237 | 100.00 | 408 | 99.51 | 2.907 | 0.139 | 60.809 | 0.282 | ||
| C | 465 | 98.10 | 784 | 95.61 | 2 | |||||
| A | 9 | 1.90 | 36 | 4.39 | 0.439 | 0.213 | 0.904 | 0.018 | ||
| rs3751093 | ||||||||||
| GG | 128 | 54.47 | 242 | 59.02 | 1 | 0.142 | ||||
| AG | 86 | 36.60 | 147 | 35.85 | 1.107 | 0.787 | 1.556 | |||
| AA | 21 | 8.94 | 21 | 5.12 | 1.887 | 1.000 | 3.561 | |||
| AG + AA | 107 | 45.53 | 168 | 40.98 | 1.204 | 0.872 | 1.663 | 0.261 | ||
| GG + AG | 214 | 91.06 | 389 | 94.88 | 0.551 | 0.296 | 1.024 | 0.059 | ||
| G | 342 | 72.77 | 631 | 76.95 | 1 | |||||
| A | 128 | 27.23 | 189 | 23.05 | 1.250 | 0.964 | 1.621 | 0.093 | ||
| rs361497 | ||||||||||
| GG | 120 | 51.06 | 225 | 55.42 | 1 | 0.220 | ||||
| AG | 93 | 39.57 | 157 | 38.67 | 1.111 | 0.792 | 1.558 | |||
| AA | 22 | 9.36 | 24 | 5.91 | 1.719 | 0.930 | 3.174 | |||
| AG + AA | 115 | 48.94 | 181 | 44.58 | 1.191 | 0.863 | 1.642 | 0.287 | ||
| GG + AG | 213 | 90.64 | 382 | 94.09 | 0.608 | 0.335 | 1.103 | 0.103 | ||
| G | 333 | 70.85 | 607 | 74.75 | 1 | |||||
| A | 137 | 29.15 | 205 | 25.25 | 1.219 | 0.946 | 1.571 | 0.128 | ||
| rs4239242 | ||||||||||
| TT | 91 | 38.56 | 177 | 43.17 | 1 | 0.307 | ||||
| CT | 104 | 44.07 | 178 | 43.41 | 1.136 | 0.801 | 1.610 | |||
| CC | 41 | 17.37 | 55 | 13.41 | 1.451 | 0.902 | 2.332 | |||
| CT + CC | 145 | 61.44 | 233 | 56.83 | 1.209 | 0.872 | 1.675 | 0.252 | ||
| TT + CT | 195 | 82.63 | 355 | 86.59 | 0.735 | 0.474 | 1.140 | 0.174 | ||
| T | 286 | 60.59 | 532 | 64.88 | 1 | |||||
| C | 186 | 39.41 | 288 | 35.12 | 1.202 | 0.951 | 1.518 | 0.124 | ||
| rs4794976 | ||||||||||
| TT | 110 | 46.61 | 210 | 51.22 | 1 | 0.049 | ||||
| GT | 92 | 38.98 | 166 | 40.49 | 1.058 | 0.751 | 1.491 | |||
| GG | 34 | 14.41 | 34 | 8.29 | 1.905 | 1.127 | 3.221 | |||
| GT + GG | 126 | 53.39 | 200 | 48.78 | 1.202 | 0.873 | 1.656 | 0.260 | ||
| TT + GT | 202 | 85.59 | 376 | 91.71 | 0.538 | 0.326 | 0.888 | 0.015 | ||
| T | 312 | 66.10 | 586 | 71.46 | 1 | |||||
| G | 160 | 33.90 | 234 | 28.54 | 1.285 | 1.007 | 1.638 | 0.044 | ||
| Cases | Controls | |||||||||
|---|---|---|---|---|---|---|---|---|---|---|
| SNP | Genotype | Allele | N | % | N | % | OR | 95% CI | p-Value | |
| rs1036199 | ||||||||||
| AA | 58 | 67.44 | 91 | 61.49 | 1 | 0.191 | ||||
| AC | 28 | 32.56 | 52 | 35.14 | 0.849 | 0.484 | 1.489 | |||
| CC | 0 | 0.00 | 5 | 3.38 | 0.142 | 0.008 | 2.620 | |||
| AC + CC | 28 | 32.56 | 57 | 38.51 | 0.775 | 0.445 | 1.352 | 0.362 | ||
| AA + AC | 86 | 100.00 | 143 | 96.62 | - | - | - | - | ||
| A | 144 | 83.72 | 234 | 79.05 | 1 | |||||
| C | 28 | 16.28 | 62 | 20.95 | 0.740 | 0.454 | 1.207 | 0.217 | ||
| rs10057302 | ||||||||||
| CC | 83 | 96.51 | 134 | 90.54 | 1 | - | ||||
| AC | 3 | 3.49 | 14 | 9.46 | 0.389 | 0.117 | 1.289 | |||
| AA | 0 | 0.00 | 0 | 0.00 | - | - | - | |||
| AC + AA | 3 | 3.49 | 14 | 9.46 | 0.389 | 0.117 | 1.289 | 0.090 | ||
| CC + AC | 86 | 100.00 | 148 | 100.00 | - | - | - | - | ||
| C | 169 | 98.26 | 282 | 95.27 | 1 | |||||
| A | 3 | 1.74 | 14 | 4.73 | 0.402 | 0.123 | 1.313 | 0.096 | ||
| rs3751093 | ||||||||||
| GG | 41 | 48.24 | 90 | 60.81 | 1 | 0.137 | ||||
| AG | 34 | 40.00 | 48 | 32.43 | 1.551 | 0.877 | 2.745 | |||
| AA | 10 | 11.76 | 10 | 6.76 | 2.181 | 0.860 | 5.533 | |||
| AG + AA | 44 | 51.76 | 58 | 39.19 | 1.659 | 0.971 | 2.834 | 0.063 | ||
| GG + AG | 75 | 88.24 | 138 | 93.24 | 0.545 | 0.222 | 1.341 | 0.190 | ||
| G | 116 | 68.24 | 228 | 77.03 | 1 | |||||
| A | 54 | 31.76 | 68 | 22.97 | 1.561 | 1.025 | 2.375 | 0.038 | ||
| rs361497 | ||||||||||
| GG | 39 | 45.88 | 85 | 57.43 | 1 | 0.132 | ||||
| AG | 35 | 41.18 | 53 | 35.81 | 1.436 | 0.814 | 2.534 | |||
| AA | 11 | 12.94 | 10 | 6.76 | 2.371 | 0.947 | 5.935 | |||
| AG + AA | 46 | 54.12 | 63 | 42.57 | 1.585 | 0.929 | 2.704 | 0.090 | ||
| GG + AG | 74 | 87.06 | 138 | 93.24 | 0.491 | 0.203 | 1.187 | 0.113 | ||
| G | 113 | 66.47 | 223 | 75.34 | 1 | |||||
| A | 57 | 33.53 | 73 | 24.66 | 1.541 | 1.020 | 2.327 | 0.040 | ||
| rs4239242 | ||||||||||
| TT | 30 | 35.29 | 60 | 40.54 | 1 | 0.309 | ||||
| CT | 35 | 41.18 | 65 | 43.92 | 1.075 | 0.592 | 1.953 | |||
| CC | 20 | 23.53 | 23 | 15.54 | 1.730 | 0.830 | 3.609 | |||
| CT + CC | 55 | 64.71 | 88 | 59.46 | 1.244 | 0.718 | 2.155 | 0.429 | ||
| TT + CT | 65 | 76.47 | 125 | 84.46 | 0.598 | 0.308 | 1.162 | 0.131 | ||
| T | 95 | 55.88 | 185 | 62.50 | 1 | |||||
| C | 75 | 44.12 | 111 | 37.50 | 1.315 | 0.897 | 1.928 | 0.161 | ||
| rs4794976 | ||||||||||
| TT | 36 | 42.35 | 83 | 56.08 | 1 | 0.060 | ||||
| GT | 31 | 36.47 | 48 | 32.43 | 1.486 | 0.821 | 2.690 | |||
| GG | 18 | 21.18 | 17 | 11.49 | 2.418 | 1.130 | 5.174 | |||
| GT + GG | 49 | 57.65 | 65 | 43.92 | 1.729 | 1.011 | 2.955 | 0.044 | ||
| TT + GT | 67 | 78.82 | 131 | 88.51 | 0.486 | 0.237 | 0.994 | 0.047 | ||
| T | 103 | 60.59 | 214 | 72.30 | 1 | |||||
| G | 67 | 39.41 | 82 | 27.70 | 1.696 | 1.139 | 2.525 | 0.009 | ||
| Haplotype * | ccRCC (%) | Control (Freq) | Odds Ratio [95% CI] | p-Value |
|---|---|---|---|---|
| A A | 9.00 (1.9) | 35.95 (4.4) | 0.421 [0.201~0.882] | 0.018 |
| A C | 372.00 (78.5) | 611.05 (74.7) | 1.235 [0.943~1.617] | 0.125 |
| C C | 93.00 (19.6) | 170.95 (20.9) | 0.924 [0.697~1.225] | 0.583 |
| Global χ2 = 6.18, df = 2, p = 0.046 | ||||
| Haplotype * | ccRCC (%) | Control (%) | Odds Ratio [95% CI] | p-Value |
|---|---|---|---|---|
| A A C G | 120.88 (25.8) | 168.59 (20.7) | 1.335 [1.021~1.746] | 0.034 |
| A A C T | 0.00 (0) | 11.03 (1.4) | - | 0.011 |
| G A C G | 11.02 (2.4) | 9.88 (1.2) | 1.964 [0.826~4.672] | 0.120 |
| G A T T | 1.05 (0.2) | 13.43 (1.6) | 0.134 [0.018~0.980] | 0.020 |
| G G C G | 11.86 (2.5) | 20.90 (2.6) | 0.987 [0.480~2.032] | 0.972 |
| G G C T | 40.24 (8.6) | 67.47 (8.3) | 1.041 [0.692~1.567] | 0.846 |
| G G T G | 14.24 (3.0) | 28.41 (3.5) | 0.868 [0.455~1.658] | 0.668 |
| G G T T | 262.59 (56.1) | 483.95 (59.3) | 0.870 [0.690~1.098] | 0.241 |
| Global χ2 = 18.30, df = 7, p = 0.011 | ||||
| Univariate | Multivariate | ||||||||
|---|---|---|---|---|---|---|---|---|---|
| Variable | HR | 95% CI | p-Value | HR | 95% CI | p-Value | |||
| Age at diagnosis | 1.03 | 1.01 | 1.05 | 0.002 | 1.03 | 1.01 | 1.06 | 0.007 | |
| Stage of disease (ref. I) | II | 0.29 | 0.14 | 0.63 | 0.001 | - | - | - | - |
| III | 3.68 | 2.17 | 6.25 | 0.502 | - | - | - | - | |
| IV | 34.31 | 14.38 | 81.88 | <0.001 | - | - | - | - | |
| Metastasis (ref. no) | Present | 4.80 | 3.23 | 7.13 | <0.001 | 3.64 | 2.22 | 5.94 | <0.001 |
| Necrosis (ref. no) | Present | 2.61 | 1.74 | 3.89 | <0.001 | 1.63 | 1.01 | 2.63 | 0.048 |
| Tumor size (ref. ≤ 70) | >70 mm | 2.48 | 1.69 | 3.64 | <0.001 | 1.73 | 1.06 | 2.82 | 0.027 |
| Sex (ref. female) | Male | 1.51 | 1.02 | 2.21 | 0.038 | 1.79 | 1.08 | 2.97 | 0.023 |
| rs1036199 (ref. AA) | AC + CC | 1.54 | 1.08 | 2.19 | 0.017 | 1.96 | 1.25 | 3.07 | 0.003 |
| rs10057302 (ref. CC) | AC + AA | 1.15 | 0.47 | 2.83 | 0.753 | - | - | - | - |
| rs3751093 (ref. GG) | AG + AA | 0.98 | 0.69 | 1.39 | 0.908 | - | - | - | - |
| rs361497 (ref. GG) | AG + AA | 0.89 | 0.62 | 1.27 | 0.511 | - | - | - | - |
| rs4239242 (ref. TT) | CT + CC | 0.91 | 0.64 | 1.30 | 0.608 | - | - | - | - |
| rs4794976 (ref. TT) | GT + GG | 1.02 | 0.72 | 1.45 | 0.918 | - | - | - | - |
| Variable | All N = 237 | Male N = 151 | Female N = 86 | |||
|---|---|---|---|---|---|---|
| Age at Diagnosis | ||||||
| Median | 62 | 61 | 63 | |||
| Mean | 62.61 | 62.01 | 63.67 | |||
| Q1–Q3 | 56–70 | 56–68 | 58–71 | |||
| Min., max. | 21, 85 | 21, 85 | 24, 85 | |||
| BMI | ||||||
| Median | 27.7 | 27.7 | 27.75 | |||
| Mean | 28.29 | 28.26 | 28.33 | |||
| Q1–Q3 | 24.6–31.5 | 25.1–30.7 | 23.85–31.2 | |||
| Min., max. | 19.1, 43.8 | 19.7, 43.8 | 19.1, 43.8 | |||
| Stage of Disease | N | % | N | % | N | % |
| I | 108 | (45.57) | 63 | (41.72) | 45 | (52.33) |
| II | 26 | (10.97) | 20 | (13.25) | 6 | (6.98) |
| III | 26 | (10.97) | 16 | (10.60) | 10 | (11.63) |
| IV | 76 | (32.07) | 51 | (33.77) | 25 | (29.07) |
| Unknown | 1 | (0.42) | 1 | (0.66) | 0 | (0) |
| Metastasis | ||||||
| No | 165 | (69.62) | 101 | (66.89) | 64 | (74.42) |
| Present | 53 | (22.36) | 35 | (23.18) | 18 | (20.93) |
| Unknown | 19 | (8.02) | 15 | (9.93) | 4 | (4.65) |
| Necrosis | ||||||
| No | 118 | (59.00) | 71 | (55.47) | 47 | (65.28) |
| Present | 82 | (41.00) | 57 | (44.53) | 25 | (34.72) |
| Unknown | 0 | (0) | 0 | (0) | 0 | (0) |
| Tumor Size | ||||||
| <70 mm | 143 | 60.34 | 87 | (57.61) | 56 | (65.12) |
| >70 mm | 65 | 27.42 | 48 | (31.79) | 17 | (19.77) |
| Unknown | 29 | 12.24 | 16 | (10.60) | 13 | (15.11) |
Disclaimer/Publisher’s Note: The statements, opinions and data contained in all publications are solely those of the individual author(s) and contributor(s) and not of MDPI and/or the editor(s). MDPI and/or the editor(s) disclaim responsibility for any injury to people or property resulting from any ideas, methods, instructions or products referred to in the content. |
© 2023 by the authors. Licensee MDPI, Basel, Switzerland. This article is an open access article distributed under the terms and conditions of the Creative Commons Attribution (CC BY) license (https://creativecommons.org/licenses/by/4.0/).
Share and Cite
Andrzejczak, A.; Tupikowski, K.; Tomkiewicz, A.; Małkiewicz, B.; Ptaszkowski, K.; Domin, A.; Szydełko, T.; Karabon, L. The Variations’ in Genes Encoding TIM-3 and Its Ligand, Galectin-9, Influence on ccRCC Risk and Prognosis. Int. J. Mol. Sci. 2023, 24, 2042. https://doi.org/10.3390/ijms24032042
Andrzejczak A, Tupikowski K, Tomkiewicz A, Małkiewicz B, Ptaszkowski K, Domin A, Szydełko T, Karabon L. The Variations’ in Genes Encoding TIM-3 and Its Ligand, Galectin-9, Influence on ccRCC Risk and Prognosis. International Journal of Molecular Sciences. 2023; 24(3):2042. https://doi.org/10.3390/ijms24032042
Chicago/Turabian StyleAndrzejczak, Anna, Krzysztof Tupikowski, Anna Tomkiewicz, Bartosz Małkiewicz, Kuba Ptaszkowski, Aleksandra Domin, Tomasz Szydełko, and Lidia Karabon. 2023. "The Variations’ in Genes Encoding TIM-3 and Its Ligand, Galectin-9, Influence on ccRCC Risk and Prognosis" International Journal of Molecular Sciences 24, no. 3: 2042. https://doi.org/10.3390/ijms24032042
APA StyleAndrzejczak, A., Tupikowski, K., Tomkiewicz, A., Małkiewicz, B., Ptaszkowski, K., Domin, A., Szydełko, T., & Karabon, L. (2023). The Variations’ in Genes Encoding TIM-3 and Its Ligand, Galectin-9, Influence on ccRCC Risk and Prognosis. International Journal of Molecular Sciences, 24(3), 2042. https://doi.org/10.3390/ijms24032042

