Five Post-Translational Modification Residues of CmPT2 Play Key Roles in Yeast and Rice
Abstract
1. Introduction
2. Results
2.1. Site-Directed Mutagenesis and the Efficacy of Mutated Forms of CmPT2
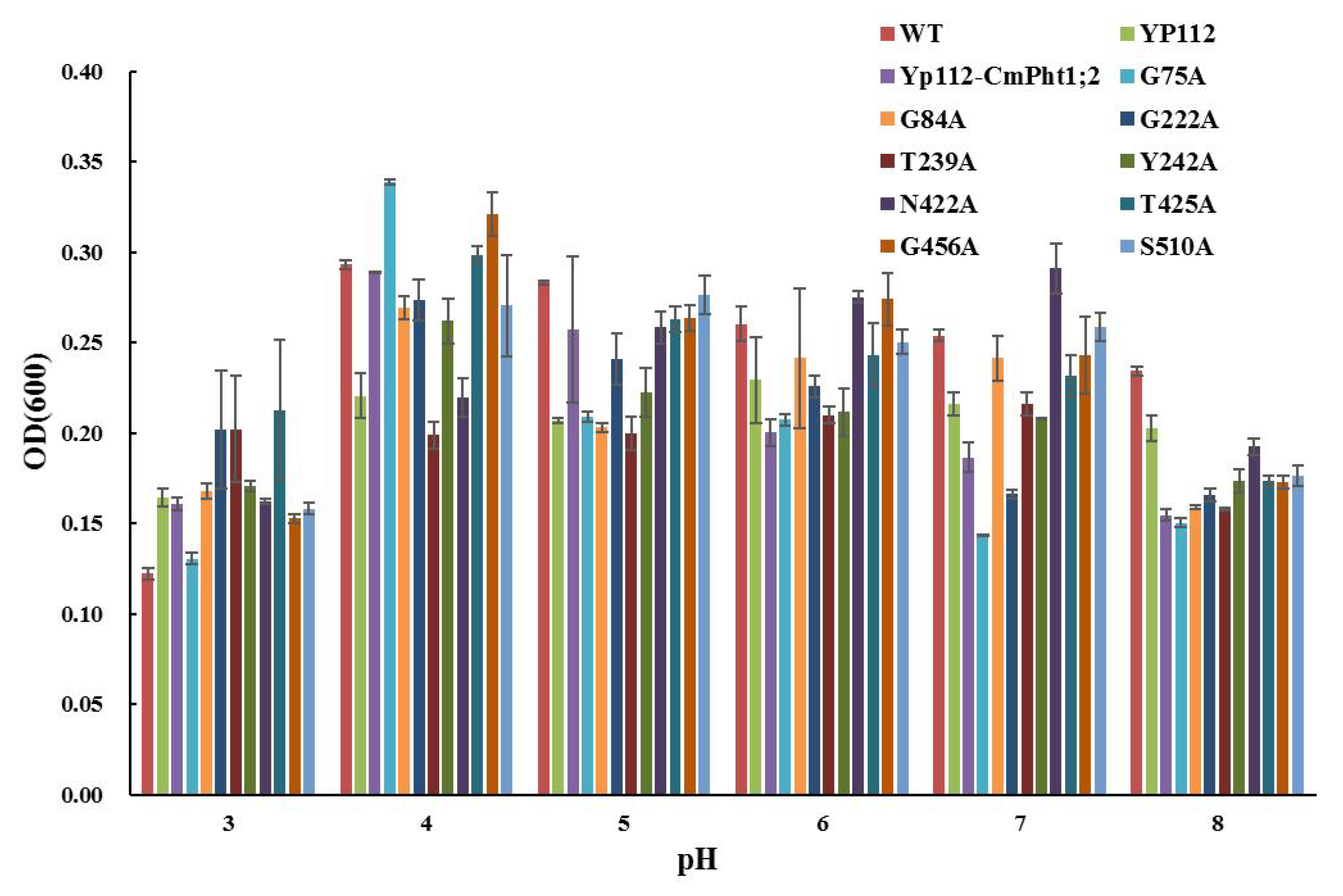
2.2. Yeast Complementation
2.3. PCR and RT-PCR Identification of the Transgene Rice
2.4. Maturation Phenotype of T2 Generation in the CmPT2/Cmphts Overexpression Materials
2.5. P/Pi Content of T2 Generation in the CmPT2/Cmphts Overexpression Plants
2.6. Expression Analysis of CmPT2/Cmphts-OE in T2 Generation Materials
3. Discussion
3.1. CmPT2 Could Complete the Growth of Yeast Mutant MB192
3.2. Five of the Nine Mutants of CmPT2 Could Not Complete the Growth of MB192
3.3. CmPT2 May Improve Rice Yield by Increasing Phosphate Absorption
3.4. Four of the Five Mutants Affected the Function of CmPT2 in Rice
3.5. CmPT2 May Regulate the Expression of the PSR Genes Directly or Indirectly
4. Methods and Materials
4.1. Yeast Strain and Plant Materials
4.2. Site-Directed Mutagenesis
4.3. Construction of a Green Fluorescent Protein (GFP) Fusion Vector and Intracellular Localization Analysis
4.4. Functional Complementation Assay of CmPT2 and Cmphts in Yeast
4.5. Regeneration of CmPT2 and Cmphts-Overexpressing Rice
4.6. Treatments of Plant Materials
4.7. Expression Analysis of Pi Absorption-Related Genes in CmPT2 and Cmphts-Overexpressing Rice
4.8. Statistical Analysis
5. Conclusions
Supplementary Materials
Author Contributions
Funding
Institutional Review Board Statement
Informed Consent Statement
Data Availability Statement
Acknowledgments
Conflicts of Interest
References
- Lhamo, D.; Luan, S. Potential networks of nitrogen-phosphorus-potassium channels and transporters in arabidopsis roots at a single cell resolution. Front. Plant Sci. 2021, 12, 689545. [Google Scholar] [CrossRef] [PubMed]
- Vance, C.P.; Uhde-Stone, C.; Allan, D.L. Phosphorus acquisition and use: Critical adaptations by plants securing a nonrenewable resource. New Phytol. 2003, 157, 423–447. [Google Scholar] [CrossRef] [PubMed]
- Fink, J.R.; Inda, A.V.; Bavaresco, J.; Barrón, V.; Torrent, J.; Bayer, C. Adsorption and desorption of phosphorus in subtropical soils as affected by management system and mineralogy. Soil Tillage Res. 2016, 155, 62–68. [Google Scholar] [CrossRef]
- Etesami, H.; Jeong, B.R.; Glick, B.R. Contribution of arbuscular mycorrhizal fungi, phosphate–solubilizing bacteria, and silicon to P uptake by plant. Front. Plant Sci. 2021, 12, 699618. [Google Scholar] [CrossRef]
- Rupp, H.; Meissner, R.; Leinweber, P. Plant available phosphorus in soil as predictor for the leaching potential: Insights from long-term lysimeter studies. Ambio 2018, 47, 103–113. [Google Scholar] [CrossRef]
- Chien, P.; Chao, Y.T.; Chou, C.; Hsu, Y.; Chiang, S.; Tung, C.; Chiou, T. Phosphate transporter PHT1;1 is a key determinant of phosphorus acquisition in Arabidopsis natural accessions. Plant Physiol. 2022, 190, 682–697. [Google Scholar] [CrossRef]
- Jia, H.; Ren, H.; Gu, M.; Zhao, J.; Sun, S.; Zhang, X.; Chen, J.; Wu, P.; Xu, G. The phosphate transporter gene OsPht1;8 is involved in phosphate homeostasis in rice. Plant Physiol. 2011, 156, 1164–1175. [Google Scholar] [CrossRef]
- Bagwan, N.; El Ali, H.; Lundby, A. Proteome-wide profiling and mapping of post translational modifications in human hearts. Sci. Rep. 2021, 11, 2184. [Google Scholar] [CrossRef]
- Karandashov, V.; Bucher, M. Symbiotic phosphate transport in arbuscular mycorrhizas. Trends Plant Sci. 2005, 10, 22–29. [Google Scholar] [CrossRef]
- Meinnel, T.; Dian, C.; Giglione, C. Myristoylation, an ancient protein modification mirroring eukaryogenesis and evolution. Trends Biochem. Sci. 2020, 45, 619–632. [Google Scholar] [CrossRef]
- Yan, J.; Shang, F.F.; He, A.; Hu, S.; Luo, S.; Xia, Y. N-Glycosylation at Asn695 might suppress inducible nitric oxide synthase activity by disturbing electron transfer. Acta Biochim. Biophys. Sin. 2020, 52, 1360–1372. [Google Scholar] [CrossRef] [PubMed]
- Gu, S.H.; Chen, C.H.; Lin, P.L. Expression of protein tyrosine phosphatases and Bombyx embryonic development. J. Insect Physiol. 2021, 130, 104198. [Google Scholar] [CrossRef] [PubMed]
- Liu, C.; Su, J.; Stephen, G.K.; Wang, H.; Song, A.; Chen, F.; Zhu, Y.; Chen, S.; Jiang, J. Overexpression of phosphate transporter gene CmPht1;2 facilitated pi uptake and alternated the metabolic profiles of chrysanthemum under phosphate deficiency. Front. Plant Sci. 2018, 9, 686. [Google Scholar] [CrossRef] [PubMed]
- Sun, S.; Gu, M.; Cao, Y.; Huang, X.; Zhang, X.; Ai, P.; Zhao, J.; Fan, X.; Xu, G. A constitutive expressed phosphate transporter, OsPht1;1, modulates phosphate uptake and translocation in phosphate-replete rice. Plant Physiol. 2012, 159, 1571–1581. [Google Scholar] [CrossRef] [PubMed]
- Liu, P.; Chen, S.; Song, A.; Zhao, S.; Fang, W.; Guan, Z.; Liao, Y.; Jiang, J.; Chen, F. A putative high affinity phosphate transporter, CmPT1, enhances tolerance to Pi deficiency of chrysanthemum. BMC Plant Biol. 2014, 14, 18. [Google Scholar] [CrossRef]
- Bayle, V.; Arrighi, J.; Creff, A.; Nespoulous, C.; Vialaret, J.; Rossignol, M.; Gonzalez, E.; Paz-Ares, J.; Nussaume, L. Arabidopsis thaliana high-affinity phosphate transporters exhibit multiple levels of posttranslational regulation. Plant Cell 2011, 23, 1523–1535. [Google Scholar] [CrossRef]
- Fontenot, E.B.; Ditusa, S.F.; Kato, N.; Olivier, D.M.; Dale, R.; Lin, W.Y.; Chiou, T.J.; Macnaughtan, M.A.; Smith, A.P. Increased phosphate transport of Arabidopsis thaliana Pht1;1 by site-directed mutagenesis of tyrosine312 may be attributed to the disruption of homomeric interactions. Plant Cell Environ. 2015, 38, 2012–2022. [Google Scholar] [CrossRef]
- Mitsukawa, N.; Okumura, S.; Shirano, Y.; Sato, S.; Kato, T.; Harashima, S.; Shibata, D. Overexpression of an Arabidopsis thaliana high-affinity phosphate transporter gene in tobacco cultured cells enhances cell growth under phosphate-limited conditions. Proc. Natl. Acad. Sci. USA 1997, 94, 7098–7102. [Google Scholar] [CrossRef]
- Rae, A.L.; Cybinski, D.H.; Jarmey, J.M.; Smith, F.W. Characterization of two phosphate transporters from barley; evidence for diverse function and kinetic properties among members of the Pht1 family. Plant Mol. Biol. 2003, 53, 27–36. [Google Scholar] [CrossRef]
- Park, M.R.; Baek, S.; Reyes, B.G.; Yun, S.J. Overexpression of a high-affinity phosphate transporter gene from tobacco (NtPT1) enhances phosphate uptake and accumulation in transgenic rice plants. Plant Soil 2007, 292, 259–269. [Google Scholar] [CrossRef]
- Ren, F.; Zhao, C.Z.; Liu, C.S.; Huang, K.L.; Guo, Q.Q.; Chang, L.L.; Xiong, H.; Li, X.B. A Brassica napus PHT1 phosphate transporter, BnPht1;4, promotes phosphate uptake and affects roots architecture of transgenic Arabidopsis. Plant Mol. Biol. 2014, 86, 595–607. [Google Scholar] [CrossRef]
- Hart, G.W.; Slawson, C.; Ramirez-Correa, G.; Lagerlof, O. Cross talk between O-GlcNAcylation and phosphorylation: Roles in signaling, transcription, and chronic disease. Annu. Rev. Biochem. 2011, 80, 825–858. [Google Scholar] [CrossRef]
- Mehta, D.; Ghahremani, M.; Pérez-Fernández, M.; Tan, M.; Schläpfer, P.; Plaxton, W.C.; Uhrig, R.G. Phosphate and phosphite have a differential impact on the proteome and phosphoproteome of Arabidopsis suspension cell cultures. Plant J. 2021, 105, 924–941. [Google Scholar] [CrossRef]
- Saito, S.; Hamamoto, S.; Moriya, K.; Matsuura, A.; Sato, Y.; Muto, J.; Noguchi, H.; Yamauchi, S.; Tozawa, Y.; Ueda, M.; et al. N-myristoylation and S-acylation are common modifications of Ca2+-regulated Arabidopsis kinases and are required for activation of the SLAC1 anion channel. New Phytol. 2018, 218, 1504–1521. [Google Scholar] [CrossRef]
- Balmant, K.M.; Zhang, T.; Chen, S. Protein phosphorylation and redox modification in stomatal guard cells. Front. Physiol. 2016, 7, 26. [Google Scholar] [CrossRef]
- Schachtman, D.P.; Shin, R. Nutrient sensing and signaling: NPKS. Annu. Rev. Plant Biol. 2007, 58, 47–69. [Google Scholar] [CrossRef]
- Secco, D.; Wang, C.; Arpat, B.A.; Wang, Z.; Poirier, Y.; Tyerman, S.D.; Wu, P.; Shou, H.; Whelan, J. The emerging importance of the SPX domain-containing proteins in phosphate homeostasis. New Phytol. 2012, 193, 842–851. [Google Scholar] [CrossRef]
- Wang, Z.; Ruan, W.; Shi, J.; Zhang, L.; Xiang, D.; Yang, C.; Li, C.; Wu, Z.; Liu, Y.; Yu, Y.; et al. Rice SPX1 and SPX2 inhibit phosphate starvation responses through interacting with PHR2 in a phosphate-dependent manner. Proc. Natl. Acad. Sci. USA 2014, 111, 14953–14958. [Google Scholar] [CrossRef]
- Hou, X.L.; Wu, P.; Jiao, F.C.; Jia, Q.J.; Chen, H.M.; Yu, J.; Song, X.W.; Yi, K.K. Regulation of the expression of OsIPS1 and OsIPS2 in rice via systemic and local Pi signalling and hormones. Plant Cell Environ. 2005, 28, 353–364. [Google Scholar] [CrossRef]
- Ai, P.; Sun, S.; Zhao, J.; Fan, X.; Xin, W.; Guo, Q.; Yu, L.; Shen, Q.; Wu, P.; Miller, A.J.; et al. Two rice phosphate transporters, OsPht1;2 and OsPht1;6, have different functions and kinetic properties in uptake and translocation. Plant J. 2009, 57, 798–809. [Google Scholar] [CrossRef]
- Chang, M.X.; Gu, M.; Xia, Y.W.; Dai, B.; Dai, B. OsPHT1;3 mediates uptake, translocation, and remobilization of phosphate under extremely low phosphate. Plant Physiol. 2018, 179, 656–670. [Google Scholar] [CrossRef] [PubMed]
- Zhang, F.; Wu, X.; Zhou, H.; Wang, D.; Jiang, T.; Sun, Y.; Cao, Y.; Pei, W.; Sun, S.; Xu, G. Overexpression of rice phosphate transporter gene OsPT6 enhances phosphate uptake and accumulation in transgenic rice plants. Plant Soil 2014, 384, 259–270. [Google Scholar] [CrossRef]
- Wang, X.; Wang, Y.; Piñeros, M.A.; Wang, Z.; Wang, W.; Li, C.; Wu, Z.; Kochian, L.V.; Wu, P. Phosphate transporters OsPHT1;9 and OsPHT1;10 are involved in phosphate uptake in rice. Plant Cell Environ. 2014, 37, 1159–1170. [Google Scholar] [CrossRef] [PubMed]
- Gao, J.; Sun, J.; Cao, P.; Ren, L.; Liu, C.; Chen, S.; Chen, F.; Jiang, J. Variation in tissue Na+ content and the activity of SOS1 genes among two species and two related genera of chrysanthemum. BMC Plant Biol. 2016, 16, 98. [Google Scholar] [CrossRef]
- Jaffar, M.A.; Song, A.; Faheem, M.; Chen, S.; Jiang, J.; Liu, C.; Fan, Q.; Chen, F. Involvement of CmWRKY10 in drought tolerance of chrysanthemum through the aba-signaling pathway. Int. J. Mol. Sci. 2016, 17, 693. [Google Scholar] [CrossRef]
- Leissing, F.; Reinstädler, A.; Thieron, H.; Panstruga, R. Gene gun-mediated transient gene expression for functional studies in plant immunity. Methods Mol Biol. 2022, 2523, 63–77. [Google Scholar]
- Pack, C. Confocal laser scanning microscopy and fluorescence correlation methods for the evaluation of molecular interactions. Adv. Exp. Med. Biol. 2021, 1310, 1–30. [Google Scholar] [PubMed]
- Dai, C.; Dai, X.; Qu, H.; Men, Q.; Liu, J.; Yu, L.; Gu, M.; Xu, G. The rice phosphate transporter OsPHT1;7 plays a dual role in phosphorus redistribution and anther development. Plant Physiol. 2022, 188, 2272–2288. [Google Scholar] [CrossRef] [PubMed]
- Livak, K.; Schmittgen, T. Analysis of relative gene expression data using real-time quantitative PCR and the 2−ΔΔCT. Methods 2001, 25, 402–408. [Google Scholar] [CrossRef]
- Ibnul, N.K.; Tripp, C.P. A simple solution to the problem of selective detection of phosphate and arsenate by the molybdenum blue method. Talanta 2022, 238, 123043. [Google Scholar] [CrossRef]










Disclaimer/Publisher’s Note: The statements, opinions and data contained in all publications are solely those of the individual author(s) and contributor(s) and not of MDPI and/or the editor(s). MDPI and/or the editor(s) disclaim responsibility for any injury to people or property resulting from any ideas, methods, instructions or products referred to in the content. |
© 2023 by the authors. Licensee MDPI, Basel, Switzerland. This article is an open access article distributed under the terms and conditions of the Creative Commons Attribution (CC BY) license (https://creativecommons.org/licenses/by/4.0/).
Share and Cite
Tang, J.; Liu, C.; Tan, Y.; Jiang, J.; Chen, F.; Xiong, G.; Chen, S. Five Post-Translational Modification Residues of CmPT2 Play Key Roles in Yeast and Rice. Int. J. Mol. Sci. 2023, 24, 2025. https://doi.org/10.3390/ijms24032025
Tang J, Liu C, Tan Y, Jiang J, Chen F, Xiong G, Chen S. Five Post-Translational Modification Residues of CmPT2 Play Key Roles in Yeast and Rice. International Journal of Molecular Sciences. 2023; 24(3):2025. https://doi.org/10.3390/ijms24032025
Chicago/Turabian StyleTang, Jiayi, Chen Liu, Yiqing Tan, Jiafu Jiang, Fadi Chen, Guosheng Xiong, and Sumei Chen. 2023. "Five Post-Translational Modification Residues of CmPT2 Play Key Roles in Yeast and Rice" International Journal of Molecular Sciences 24, no. 3: 2025. https://doi.org/10.3390/ijms24032025
APA StyleTang, J., Liu, C., Tan, Y., Jiang, J., Chen, F., Xiong, G., & Chen, S. (2023). Five Post-Translational Modification Residues of CmPT2 Play Key Roles in Yeast and Rice. International Journal of Molecular Sciences, 24(3), 2025. https://doi.org/10.3390/ijms24032025

