Genome-Wide Identification and Comprehensive Analysis of the FtsH Gene Family in Soybean (Glycine max)
Abstract
:1. Introduction
2. Results
2.1. Identification of the FtsH Gene Family in Soybean (Glycine max)
2.2. Phylogenetic Analysis of GmFtsH Genes
2.3. Gene Structure and Conserved Motif Analysis of the GmFtsH Gene Family
2.4. Chromosome Location and Collinearity Analysis
2.5. Cis-Acting Elements Analysis of GmFtsH Genes
2.6. Gene Ontology (GO) Enrichment Analysis
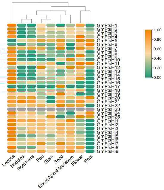
2.7. Expression Pattern of FtsH Genes in Glycine max under Different Tissues
2.8. Subcellular Localization Analysis of GmFtsH13
3. Discussion
4. Materials and Methods
4.1. Identification of the GmFtsH Gene Family
4.2. Phylogenetic Relationship Analysis
4.3. Gene Structure and Conserved Motif Analysis
4.4. Chromosome Location and Collinearity Analysis
4.5. Analysis of Promoter Cis-Acting Elements
4.6. GO Enrichment Analysis
4.7. Expression Pattern Analysis
4.8. Plant Materials and qRT-PCR Analysis
4.9. Subcellular Localization Analysis
5. Conclusions
Supplementary Materials
Author Contributions
Funding
Institutional Review Board Statement
Informed Consent Statement
Data Availability Statement
Conflicts of Interest
References
- Rochaix, J.D.; Ramundo, S. Chloroplast signaling and quality control. Essays Biochem. 2018, 62, 13–20. [Google Scholar] [CrossRef]
- Adam, Z.; Clarke, A.K. Cutting edge of chloroplast proteolysis. Trends Plant Sci. 2002, 7, 451–456. [Google Scholar] [CrossRef] [PubMed]
- Adam, Z. Chloroplast proteases: Possible regulators of gene expression? Biochimie 2000, 82, 647–654. [Google Scholar] [CrossRef] [PubMed]
- Nishimura, K.; Kato, Y.; Sakamoto, W. Essentials of Proteolytic Machineries in Chloroplasts. Mol. Plant 2017, 10, 4–19. [Google Scholar] [CrossRef] [PubMed]
- Adam, Z.; Rudella, A.; Van Wijk, K.J. Recent advances in the study of Clp, FtsH and other proteases located in chloroplasts. Curr. Opin. Plant Biol. 2006, 9, 234–240. [Google Scholar] [CrossRef] [PubMed]
- Nishimura, K.; Kato, Y.; Sakamoto, W. Chloroplast Proteases: Updates on Proteolysis within and across Suborganellar Compartments. Plant Physiol. 2016, 171, 2280–2293. [Google Scholar] [CrossRef]
- Schumann, W. FtsH—A single-chain charonin? FEMS Microbiol. Rev. 1999, 23, 1–11. [Google Scholar] [CrossRef]
- Janska, H.; Kwasniak, M.; Szczepanowska, J. Protein quality control in organelles—AAA/FtsH story. Biochim. Biophys. Acta (BBA) Mol. Cell Res. 2013, 1833, 381–387. [Google Scholar] [CrossRef]
- Jayasekera, M.M.; Foltin, S.K.; Olson, E.R.; Holler, T.P. Escherichia coli Requires the Protease Activity of FtsH for Growth. Arch. Biochem. Biophys. 2000, 380, 103–107. [Google Scholar] [CrossRef]
- Langer, T. AAA proteases: Cellular machines for degrading membrane proteins. Trends Biochem. Sci. 2000, 25, 247–251. [Google Scholar] [CrossRef]
- Asahara, Y.; Atsuta, K.; Motohashi, K.; Taguchi, H.; Yohda, M.; Yoshida, M. FtsH Recognizes Proteins with Unfolded Structure and Hydrolyzes the Carboxyl Side of Hydrophobic Residues. J. Biochem. 2000, 127, 931–937. [Google Scholar] [CrossRef]
- Lindahl, M.; Tabak, S.; Cseke, L.; Pichersky, E.; Andersson, B.; Adam, Z. Identification, characterization, and molecular cloning of a homologue of the bacterial FtsH protease in chloroplasts of higher plants. J. Biol. Chem. 1996, 271, 29329–29334. [Google Scholar] [CrossRef]
- Pu, T.; Mo, Z.; Su, L.; Yang, J.; Wan, K.; Wang, L.; Liu, R.; Liu, Y. Genome-wide identification and expression analysis of the ftsH protein family and its response to abiotic stress in Nicotiana tabacum L. BMC Genom. 2022, 23, 503. [Google Scholar] [CrossRef] [PubMed]
- Liu, X.; Yu, F.; Rodermel, S. Arabidopsis chloroplast FtsH, var2 and suppressors of var2 leaf variegation: A review. J. Integr. Plant Biol. 2010, 52, 750–761. [Google Scholar] [CrossRef] [PubMed]
- Wu, Q.; Han, T.; Yang, L.; Wang, Q.; Zhao, Y.; Jiang, D.; Ruan, X. The essential roles of OsFtsH2 in developing the chloroplast of rice. BMC Plant Biol. 2021, 21, 445. [Google Scholar] [CrossRef] [PubMed]
- Li, J.Y.; Sun, J.L.; Tian, Y.Y.; Liu, J.X. The FtsH-Inactive Protein FtsHi5 Is Required for Chloroplast Development and Protein Accumulation in Chloroplasts at Low Ambient Temperature in Arabidopsis. Front. Plant Sci. 2022, 12, 830390. [Google Scholar] [CrossRef] [PubMed]
- Nixon, P.J.; Barker, M.; Boehm, M.; De Vries, R.; Komenda, J. FtsH-mediated repair of the photosystem II complex in response to light stress. J. Exp. Bot. 2005, 56, 357–363. [Google Scholar] [CrossRef] [PubMed]
- Järvi, S.; Suorsa, M.; Tadini, L.; Ivanauskaite, A.; Rantala, S.; Allahverdiyeva, Y.; Leister, D.; Aro, E.M. Thylakoid-Bound FtsH Proteins Facilitate Proper Biosynthesis of Photosystem I. Plant Physiol. 2016, 171, 1333–1343. [Google Scholar] [CrossRef]
- Malnoë, A.; Wang, F.; Girard-Bascou, J.; Wollman, F.A.; De Vitry, C. Thylakoid FtsH protease contributes to photosystem II and cytochrome b6f remodeling in Chlamydomonas reinhardtii under stress conditions. Plant Cell 2014, 26, 373–390. [Google Scholar] [CrossRef]
- Yue, X.; Ke, X.; Shi, Y.; Li, Y.; Zhang, C.; Wang, Y.; Hou, X. Chloroplast inner envelope protein FtsH11 is involved in the adjustment of assembly of chloroplast ATP synthase under heat stress. Plant Cell Environ. 2023, 46, 850–864. [Google Scholar] [CrossRef]
- Kato, Y.; Miura, E.; Ido, K.; Ifuku, K.; Sakamoto, W. The variegated mutants lacking chloroplastic FtsHs are defective in D1 degradation and accumulate reactive oxygen species. Plant Physiol. 2009, 151, 1790–1801. [Google Scholar] [CrossRef] [PubMed]
- Wagner, R.; Aigner, H.; Funk, C. FtsH proteases located in the plant chloroplast. Physiol. Plant 2012, 145, 203–214. [Google Scholar] [CrossRef] [PubMed]
- Kadirjan-Kalbach, D.K.; Yoder, D.W.; Ruckle, M.E.; Larkin, R.M.; Osteryoung, K.W. FtsHi1/ARC1 is an essential gene in Arabidopsis that links chloroplast biogenesis and division. Plant J. 2012, 72, 856–867. [Google Scholar] [CrossRef] [PubMed]
- Wang, L.; Yang, Y.; Yang, Z.; Li, W.; Hu, D.; Yu, H.; Li, X.; Cheng, H.; Kan, G.; Che, Z.; et al. GmFtsH25 overexpression increases soybean seed yield by enhancing photosynthesis and photosynthates. J. Integr. Plant Biol. 2023, 65, 1026–1040. [Google Scholar] [CrossRef] [PubMed]
- Xiao, J.J.; Zhang, R.X.; Khan, A.; Ul Haq, S.; Gai, W.X.; Gong, Z.H. CaFtsH06, A Novel Filamentous Thermosensitive Protease Gene, Is Involved in Heat, Salt, and Drought Stress Tolerance of Pepper (Capsicum annuum L.). Int. J. Mol. Sci. 2021, 22, 6953. [Google Scholar] [CrossRef] [PubMed]
- Fang, C.; Kong, F. Soybean. Curr. Biol. 2022, 32, R902–R904. [Google Scholar] [CrossRef]
- Valladares, F.; Niinemets, U. Shade Tolerance, a Key Plant Feature of Complex Nature and Consequences. Annu. Rev. Ecol. Evol. Syst. 2008, 39, 237–257. [Google Scholar] [CrossRef]
- Hu, D.; Li, X.; Yang, Z.; Liu, S.; Hao, D.; Chao, M.; Zhang, J.; Yang, H.; Su, X.; Jiang, M.; et al. Downregulation of a gibberellin 3β-hydroxylase enhances photosynthesis and increases seed yield in soybean. New Phytol. 2022, 235, 502–517. [Google Scholar] [CrossRef]
- Yu, H.; Wang, Q.; Zhang, Z.; Wu, T.; Yang, X.; Zhu, X.; Ye, Y.; Leng, J.; Yang, S.; Feng, X. Genetic Mapping of the Gmpgl3 Mutant Reveals the Function of GmTic110a in Soybean Chloroplast Development. Front. Plant Sci. 2022, 13, 892077. [Google Scholar] [CrossRef]
- Guo, Z.H.; Gao, X.; Cai, H.Q.; Yu, L.; Gu, C.; Zhang, S.L. Genome-wide identification, evolution and expression analysis of the FtsH gene during fruit development in pear (Pyrus bretschneideri). Plant Biotechnol. Rep. 2021, 4, 537–550. [Google Scholar] [CrossRef]
- Aluru, M.R.; Yu, F.; Fu, A.; Rodermel, S. Arabidopsis variegation mutants: New insights into chloroplast biogenesis. J. Exp. Bot. 2006, 57, 1871–1881. [Google Scholar] [CrossRef] [PubMed]
- Zaltsman, A.; Feder, A.; Adam, Z. Developmental and light effects on the accumulation of FtsH protease in Arabidopsis chloroplasts—Implications for thylakoid formation and photosystem II maintenance. Plant J. 2005, 42, 609–617. [Google Scholar] [CrossRef] [PubMed]
- Yin, Z.; Meng, F.; Song, H.; Wang, X.; Chao, M.; Zhang, G.; Xu, X.; Deng, D.; Yu, D. GmFtsH9 expression correlates with in vivo photosystem II function: Chlorophyll a fluorescence transient analysis and eQTL mapping in soybean. Planta 2011, 234, 815–827. [Google Scholar] [CrossRef] [PubMed]
- Zhang, J.; Sun, A. Genome-wide comparative analysis of the metalloprotease ftsH gene families between Arabidopsis thaliana and rice. Sheng Wu Gong Cheng Xue Bao 2009, 25, 1402–1408. [Google Scholar] [PubMed]
- Yue, G.; Hu, X.; He, Y.; Yang, A.; Zhang, J. Identification and characterization of two members of the FtsH gene family in maize (Zea mays L.). Mol. Biol. Rep. 2010, 37, 855–863. [Google Scholar] [CrossRef] [PubMed]
- Lallemand, T.; Leduc, M.; Landès, C.; Rizzon, C.; Lerat, E. An Overview of Duplicated Gene Detection Methods: Why the Duplication Mechanism Has to Be Accounted for in Their Choice. Genes 2020, 11, 1046. [Google Scholar] [CrossRef]
- Schmutz, J.; Cannon, S.B.; Schlueter, J.; Ma, J.; Mitros, T.; Nelson, W.; Hyten, D.L.; Song, Q.; Thelen, J.J.; Cheng, J.; et al. Genome sequence of the palaeopolyploid soybean. Nature 2010, 463, 178–183. [Google Scholar] [CrossRef]
- The Gene Ontology Consortium. The Gene Ontology Resource: 20 years and still GOing strong. Nucleic Acids Res. 2019, 47, D330–D338. [Google Scholar] [CrossRef]
- Kato, Y.; Kouso, T.; Sakamoto, W. Variegated tobacco leaves generated by chloroplast FtsH suppression: Implication of FtsH function in the maintenance of thylakoid membranes. Plant Cell Physiol. 2012, 53, 391–404. [Google Scholar] [CrossRef]
- Mishra, L.S.; Mielke, K.; Wagner, R.; Funk, C. Reduced expression of the proteolytically inactive FtsH members has impacts on the Darwinian fitness of Arabidopsis thaliana. J. Exp. Bot. 2019, 70, 2173–2184. [Google Scholar] [CrossRef]
- Chen, C.; Chen, H.; Zhang, Y.; Thomas, H.R.; Frank, M.H.; He, Y.; Xia, R. TBtools: An Integrative Toolkit Developed for Interactive Analyses of Big Biological Data. Mol. Plant 2020, 13, 1194–1202. [Google Scholar] [CrossRef] [PubMed]
- Mistry, J.; Chuguransky, S.; Williams, L.; Qureshi, M.; Salazar, G.A.; Sonnhammer, E.L.L.; Tosatto, S.C.E.; Paladin, L.; Raj, S.; Richardson, L.J.; et al. Pfam: The protein families database in 2021. Nucleic Acids Res. 2021, 49, D412–D419. [Google Scholar] [CrossRef] [PubMed]
- Duvaud, S.; Gabella, C.; Lisacek, F.; Stockinger, H.; Ioannidis, V.; Durinx, C. Expasy, the Swiss Bioinformatics Resource Portal, as designed by its users. Nucleic Acids Res. 2021, 49, W216–W227. [Google Scholar] [CrossRef] [PubMed]
- Sanusi, N.S.N.M.; Rosli, R.; Halim, M.A.A.; Chan, K.L.; Nagappan, J.; Azizi, N.; Amiruddin, N.; Tatarinova, T.V.; Low, E.L. PalmXplore: Oil palm gene database. Database. 2018, bay095, 1–9. [Google Scholar] [CrossRef]
- Kumar, S.; Stecher, G.; Li, M.; Knyaz, C.; Tamura, K. MEGA X: Molecular Evolutionary Genetics Analysis across Computing Platforms. Mol. Biol. Evol. 2018, 35, 1547–1549. [Google Scholar] [CrossRef] [PubMed]
- Hu, B.; Jin, J.; Guo, A.Y.; Zhang, H.; Luo, J.; Gao, G. GSDS 2.0: An upgraded gene feature visualization server. Bioinformatics 2015, 31, 1296–1297. [Google Scholar] [CrossRef] [PubMed]
- Bailey, T.L.; Johnson, J.; Grant, C.E.; Noble, W.S. The MEME Suite. Nucleic Acids Res. 2015, 43, W39–W49. [Google Scholar] [CrossRef] [PubMed]
- Lescot, M.; Déhais, P.; Thijs, G.; Marchal, K.; Moreau, Y.; Van de Peer, Y.; Rouzé, P.; Rombauts, S. PlantCARE, a database of plant cis-acting regulatory elements and a portal to tools for in silico analysis of promoter sequences. Nucleic Acids Res. 2002, 30, 325–327. [Google Scholar] [CrossRef]
- Dennis, G., Jr.; Sherman, B.T.; Hosack, D.A.; Yang, J.; Gao, W.; Lane, H.C.; Lempicki, R.A. DAVID: Database for Annotation, Visualization, and Integrated Discovery. Genome Biol. 2003, 4, P3. [Google Scholar] [CrossRef]
- Goodstein, D.M.; Shu, S.; Howson, R.; Neupane, R.; Hayes, R.D.; Fazo, J.; Mitros, T.; Dirks, W.; Hellsten, U.; Putnam, N.; et al. Phytozome: A comparative platform for green plant genomics. Nucleic Acids Res. 2012, 40, D1178–D1186. [Google Scholar] [CrossRef]









| Gene | Gene_Locus | Number of Amino Acids | Molecular Weight (Average) | PI | Instability Index | Aliphatic Index | Grand Average of Hydropathicity | Subcellular Localization |
|---|---|---|---|---|---|---|---|---|
| GmFtsH1 | Glyma.02G225300 | 803 | 86,930.02 | 8.55 | 37.17 | 92.76 | −0.193 | Extr |
| GmFtsH2 | Glyma.05G132000 | 695 | 74,816.31 | 5.56 | 33.88 | 91.51 | −0.139 | Mito |
| GmFtsH3 | Glyma.08G086600 | 696 | 74,980.52 | 5.73 | 33.92 | 91.11 | −0.144 | Mito |
| GmFtsH4 | Glyma.09G052600 | 695 | 74,631.55 | 5.89 | 34.52 | 94.4 | −0.058 | Mito |
| GmFtsH5 | Glyma.11G137700 | 810 | 89,324.67 | 8.51 | 29.58 | 81.4 | −0.37 | Mito |
| GmFtsH6 | Glyma.12G061200 | 810 | 89,316.76 | 7.96 | 32.43 | 83.65 | −0.331 | Mito |
| GmFtsH7 | Glyma.12G061400 | 806 | 88,528.65 | 6.72 | 31.3 | 83.14 | −0.305 | Mito |
| GmFtsH8 | Glyma.14G192100 | 795 | 86,419.51 | 8.8 | 38 | 91.25 | −0.224 | Extr |
| GmFtsH9 | Glyma.15G158900 | 690 | 74,096.77 | 5.89 | 35.64 | 91.29 | −0.106 | Mito |
| GmFtsH10 | Glyma.18G259700 | 678 | 73,349.2 | 5.88 | 37.71 | 95.53 | −0.126 | Mito |
| GmFtsH11 | Glyma.U026800 | 799 | 86,937.02 | 8.38 | 41.56 | 91.05 | −0.195 | Extr |
| GmFtsH12 | Glyma.03G089200 | 228 | 25,504.24 | 5.99 | 30.46 | 90.66 | −0.314 | Chlo |
| GmFtsH13 | Glyma.04G019100 | 694 | 74,160.56 | 5.87 | 37.68 | 91.96 | −0.092 | Mito |
| GmFtsH14 | Glyma.06G019400 | 696 | 74,393.95 | 5.93 | 37.01 | 91.82 | −0.077 | Mito |
| GmFtsH15 | Glyma.06G126000 | 1176 | 128,842.86 | 5.89 | 49.12 | 91.74 | −0.206 | Extr |
| GmFtsH16 | Glyma.08G237500 | 982 | 113,514.78 | 6.8 | 47.15 | 87.91 | −0.397 | Extr |
| GmFtsH17 | Glyma.09G237900 | 459 | 49,413.52 | 5.24 | 31.04 | 95.82 | −0.132 | Mito |
| GmFtsH18 | Glyma.13G041700 | 779 | 85,157.15 | 5.3 | 50.51 | 90.69 | −0.248 | Mito |
| GmFtsH19 | Glyma.14G095700 | 406 | 43,905.2 | 5.03 | 37.47 | 90.05 | −0.105 | Mito |
| GmFtsH20 | Glyma.14G096000 | 713 | 76,969.75 | 8.21 | 42.64 | 87.91 | −0.237 | Mito |
| GmFtsH21 | Glyma.14G096100 | 713 | 77,151.98 | 8.89 | 43.02 | 88.04 | −0.249 | Mito |
| GmFtsH22 | Glyma.14G124900 | 799 | 87,074.63 | 5.57 | 47.92 | 91.21 | −0.182 | Mito |
| GmFtsH23 | Glyma.14G162200 | 241 | 26,544.18 | 5.01 | 32.74 | 92.57 | −0.3 | Mito |
| GmFtsH24 | Glyma.17G228100 | 714 | 77,332.22 | 8.8 | 46.58 | 88.47 | −0.243 | Mito |
| GmFtsH25 | Glyma.18G065600 | 792 | 86,240.29 | 8.38 | 44.66 | 91.96 | −0.194 | Extr |
| GmFtsHi1 | Glyma.04G213800 | 843 | 94,795.31 | 5.65 | 44.6 | 89.6 | −0.278 | Extr |
| GmFtsHi2 | Glyma.06G152500 | 847 | 95,554.22 | 5.86 | 43.7 | 87.91 | −0.329 | Extr |
| GmFtsHi3 | Glyma.08G023900 | 926 | 104,155.24 | 9.04 | 41.35 | 96.11 | −0.25 | Extr |
| GmFtsHi4 | Glyma.10G164800 | 1288 | 147,844.1 | 7.58 | 43.66 | 88.73 | −0.37 | Extr |
| GmFtsHi5 | Glyma.13G049800 | 638 | 70,631.46 | 9.46 | 45.98 | 90.3 | −0.188 | Extr |
| GmFtsHi6 | Glyma.13G355400 | 887 | 100,936.97 | 9.42 | 43.53 | 83.25 | −0.545 | Extr |
| GmFtsHi7 | Glyma.15G018800 | 883 | 100,161.31 | 9.43 | 44.26 | 83.17 | −0.516 | Extr |
| GmFtsHi8 | Glyma.19G040200 | 631 | 69,692.62 | 9.55 | 43.63 | 90.7 | −0.174 | Extr |
| GmFtsHi9 | Glyma.20G227000 | 1274 | 146,660.97 | 8.33 | 41.76 | 89.84 | −0.357 | Extr |
Disclaimer/Publisher’s Note: The statements, opinions and data contained in all publications are solely those of the individual author(s) and contributor(s) and not of MDPI and/or the editor(s). MDPI and/or the editor(s) disclaim responsibility for any injury to people or property resulting from any ideas, methods, instructions or products referred to in the content. |
© 2023 by the authors. Licensee MDPI, Basel, Switzerland. This article is an open access article distributed under the terms and conditions of the Creative Commons Attribution (CC BY) license (https://creativecommons.org/licenses/by/4.0/).
Share and Cite
Shan, Q.; Zhou, B.; Wang, Y.; Hao, F.; Zhu, L.; Liu, Y.; Wang, N.; Wang, F.; Li, X.; Dong, Y.; et al. Genome-Wide Identification and Comprehensive Analysis of the FtsH Gene Family in Soybean (Glycine max). Int. J. Mol. Sci. 2023, 24, 16996. https://doi.org/10.3390/ijms242316996
Shan Q, Zhou B, Wang Y, Hao F, Zhu L, Liu Y, Wang N, Wang F, Li X, Dong Y, et al. Genome-Wide Identification and Comprehensive Analysis of the FtsH Gene Family in Soybean (Glycine max). International Journal of Molecular Sciences. 2023; 24(23):16996. https://doi.org/10.3390/ijms242316996
Chicago/Turabian StyleShan, Qi, Baihui Zhou, Yuanxin Wang, Feiyu Hao, Lin Zhu, Yuhan Liu, Nan Wang, Fawei Wang, Xiaowei Li, Yuanyuan Dong, and et al. 2023. "Genome-Wide Identification and Comprehensive Analysis of the FtsH Gene Family in Soybean (Glycine max)" International Journal of Molecular Sciences 24, no. 23: 16996. https://doi.org/10.3390/ijms242316996
APA StyleShan, Q., Zhou, B., Wang, Y., Hao, F., Zhu, L., Liu, Y., Wang, N., Wang, F., Li, X., Dong, Y., Xu, K., Zhou, Y., Li, H., Liu, W., & Gao, H. (2023). Genome-Wide Identification and Comprehensive Analysis of the FtsH Gene Family in Soybean (Glycine max). International Journal of Molecular Sciences, 24(23), 16996. https://doi.org/10.3390/ijms242316996
