Enhancement of Growth and Secondary Metabolites by the Combined Treatment of Trace Elements and Hydrogen Water in Wheat Sprouts
Abstract
1. Introduction
2. Results
2.1. Effects of the Non-Optimal Concentrations of Trace Elements Treated with HW on the Biomass Parameters of Wheat Leaves
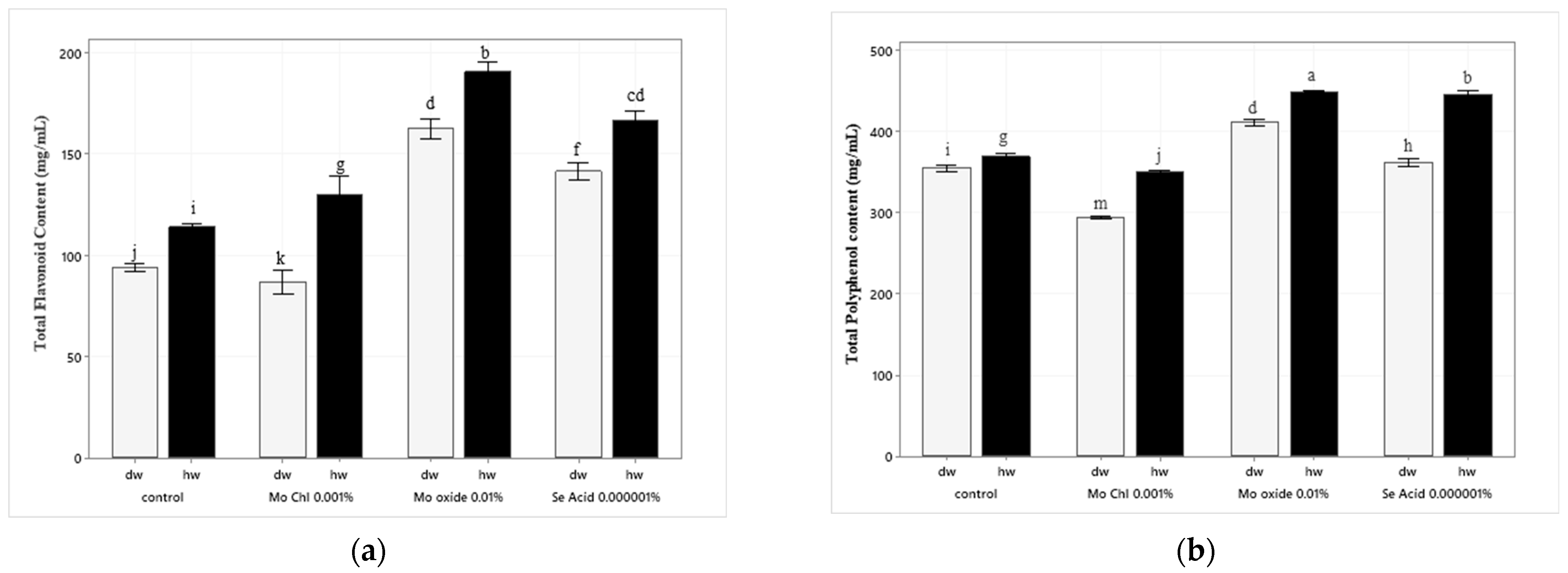
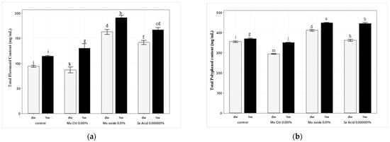
2.2. Effects of the Non-Optimal Concentrations of Trace Elements Treated with HW on the Total Flavonoids and Total Polyphenol Content of Wheat Leaves
2.3. Effects of the Non-Optimal Concentrations of Trace Elements Treated with HW on the Antioxidant Content of Wheat Leaves
2.4. Optimizing the Concentration with Response Surface Methodology
2.5. Wheat Cultivation, Extraction, and Determination of Secondary Metabolites under Optimal Conditions
2.6. Effect of Mixture Treatment on the Metabolic Profile of Wheat Leaves
2.7. Effects of the Mixture Treatment on Lipid Accumulation and the Triglyceride Content
3. Discussion
4. Materials and Methods
4.1. Chemicals and Reagents
4.2. Experiment Design
4.3. Extraction Procedure of Wheat Leaves
4.4. Determination of Total Flavonoid Content (TFC)
4.5. Determination of Total Polyphenol Content (TPC)
4.6. Determination of Antioxidant Capacity via DPPH (2,2-Diphenyl-1-picrylhydrazyl) Assay
4.7. Response Surface Methodology (RSM) Design
4.8. Metabolites Analysis of Wheat Leaves via LC-MS Chromatography
4.9. Cell Culture
4.10. Cell Viability Assay
4.11. OA-Induced Steatosis in HepG2 Cells
4.12. Oil Red O (ORO) Cell Staining
4.13. Determination of Cellular Triglyceride Content in HepG2 Cells
4.14. Statistical Analysis
Supplementary Materials
Author Contributions
Funding
Institutional Review Board Statement
Informed Consent Statement
Data Availability Statement
Conflicts of Interest
References
- Shewry, P.R. Wheat. J. Exp. Bot. 2009, 60, 1537–1553. [Google Scholar] [CrossRef]
- Shahid, M.; Saleem, M.F.; Anjum, S.A.; Shahid, M.; Afzal, I. Effect of terminal heat stress on proline, secondary metabolites, and yield components of wheat (Triticum aestivum L.). Genotypes. Philipp. Agric. Sci 2017, 100, 278–286. [Google Scholar]
- Yuan, B.Z.; Sun, J. Research trends and status of wheat (Triticum aestivum L.) based on the Essential Science Indicators during 2010–2020: A bibliometric analysis. Cereal Res. Commun. 2022, 50, 35–346. [Google Scholar] [CrossRef]
- Fajrina, N.; Tahir, M. A critical review in strategies to improve photocatalytic water splitting towards hydrogen production. Int. J. Hydrogen Energy 2019, 44, 540–577. [Google Scholar] [CrossRef]
- Carmo, M.; Fritz, D.L.; Mergel, J.; Stolten, D. A comprehensive review on PEM water electrolysis. Int. J. Hydrogen Energy 2013, 38, 4901–4934. [Google Scholar] [CrossRef]
- Iida, A.; Nosaka, N.; Yumoto, T.; Knaup, E.; Naito, H.; Nishiyama, C.; Yamakawa, Y.; Tsukahara, K.; Terado, M.; Sato, K.; et al. The clinical application of hydrogen as a medical treatment. Acta Med. Okayama 2016, 70, 331–337. [Google Scholar] [PubMed]
- Sano, M.; Tamura, T. Hydrogen gas therapy: From preclinical studies to clinical trials. Curr. Pharm. Des. 2021, 27, 650–658. [Google Scholar] [CrossRef] [PubMed]
- Qian, L.; Wu, Z.; Cen, J.; Pasca, S.; Tomuleasa, C. Medical application of hydrogen in hematological diseases. Oxid. Med. Cell. Longev. 2019, 2019, 3917393. [Google Scholar] [CrossRef]
- Todorovic, N.; Fernández-Landa, J.; Santibañez, A.; Kura, B.; Stajer, V.; Korovljev, D.; Ostojic, S.M. The Effects of Hydrogen-Rich Water on Blood Lipid Profiles in Clinical Populations: A Systematic Review and Meta-Analysis. Pharmaceuticals 2023, 16, 142. [Google Scholar] [CrossRef]
- Li, H.; Luo, Y.; Yang, P.; Liu, J. Hydrogen as a complementary therapy against ischemic stroke: A review of the evidence. J. Neurol. Sci. 2019, 396, 240–246. [Google Scholar] [CrossRef]
- Li, L.; Lou, W.; Kong, L.; Shen, W. Hydrogen commonly applicable from medicine to agriculture: From molecular mechanisms to the field. Curr. Pharm. Des. 2021, 27, 747–759. [Google Scholar] [CrossRef] [PubMed]
- Dong, W.; Cao, S.; Zhou, Q.; Jin, S.; Zhou, C.; Liu, Q.; Li, X.; Chen, W.; Yang, Z.; Shi, L. Hydrogen-rich water treatment increased several phytohormones and prolonged the shelf life in postharvest okras. Front. Plant Sci. 2023, 14, 1108515. [Google Scholar] [CrossRef] [PubMed]
- Zeng, J.; Zhang, M.; Sun, X. Molecular hydrogen is involved in phytohormone signaling and stress responses in plants. PLoS ONE 2013, 8, e71038. [Google Scholar] [CrossRef] [PubMed]
- Yun, Z.; Gao, H.; Chen, X.; Chen, Z.; Zhang, Z.; Li, T.; Qu, H.; Jiang, Y. Effects of hydrogen water treatment on antioxidant system of litchi fruit during the pericarp browning. Food Chem. 2021, 336, 127618. [Google Scholar] [CrossRef] [PubMed]
- Yun, Z.; Gao, H.; Chen, X.; Duan, X.; Jiang, Y. The role of hydrogen water in delaying ripening of banana fruit during postharvest storage. Food Chem. 2022, 373, 131590. [Google Scholar] [CrossRef] [PubMed]
- Nakao, A.; Toyoda, Y.; Sharma, P.; Evans, M.; Guthrie, N. Effectiveness of hydrogen rich water on antioxidant status of subjects with potential metabolic syndrome—An open label pilot study. J. Clin. Biochem. Nutr. 2010, 46, 140–149. [Google Scholar] [CrossRef]
- Zhang, J.Y.; Song, S.D.; Pang, Q.; Zhang, R.Y.; Wan, Y.; Yuan, D.W.; Liu, C. Hydrogen-rich water protects against acetaminophen-induced hepatotoxicity in mice. World J. Gastroenterol. 2015, 21, 4195. [Google Scholar] [CrossRef]
- Jin, Q.; Zhu, K.; Cui, W.; Xie, Y.; Han, B.I.N.; Shen, W. Hydrogen gas acts as a novel bioactive molecule in enhancing plant tolerance to paraquat-induced oxidative stress via the modulation of heme oxygenase-1 signalling system. Plant Cell Environ. 2013, 36, 956–969. [Google Scholar] [CrossRef]
- Lin, Y.; Zhang, W.; Qi, F.; Cui, W.; Xie, Y.; Shen, W. Hydrogen-rich water regulates cucumber adventitious root development in a heme oxygenase-1/carbon monoxide-dependent manner. J. Plant Physiol. 2014, 171, 1–8. [Google Scholar] [CrossRef]
- Chen, H.G.; Xie, K.L.; Han, H.Z.; Wang, W.N.; Liu, D.Q.; Wang, G.L.; Yu, Y.H. Heme oxygenase-1 mediates the anti-inflammatory effect of molecular hydrogen in LPS-stimulated RAW 264.7 macrophages. Int. J. Surg. 2013, 11, 1060–1066. [Google Scholar] [CrossRef]
- Li, S.; Fujino, M.; Takahara, T.; Li, X.K. Protective role of heme oxygenase-1 in fatty liver ischemia–reperfusion injury. Med. Mol. Morphol. 2019, 52, 61–72. [Google Scholar] [CrossRef] [PubMed]
- Ren, A.; Liu, R.; Miao, Z.G.; Zhang, X.; Cao, P.F.; Chen, T.X.; Zhao, M.W. Hydrogen-rich water regulates the effects of ROS balance on morphology, growth and secondary metabolism via glutathione peroxidase in Ganoderma lucidum. Environ. Microbiol. 2017, 19, 566–583. [Google Scholar] [CrossRef] [PubMed]
- Aller, A.J.; Bernal, J.L.; Nozal, M.J.D.; Deban, L. Effects of selected trace elements on plant growth. J. Sci. Food Agric. 1990, 51, 447–479. [Google Scholar] [CrossRef]
- He, Z.L.; Yang, X.E.; Stoffella, P.J. Trace elements in agroecosystems and impacts on the environment. J. Trace Elem. Med. Biol. 2005, 19, 125–140. [Google Scholar] [CrossRef] [PubMed]
- Kumar, M.; Bijo, A.J.; Baghel, R.S.; Reddy, C.R.K.; Jha, B. Selenium and spermine alleviate cadmium- induced toxicity in the red seaweed Gracilaria dura by regulating antioxidants and DNA methylation. Plant Physiol. Biochem. 2012, 51, 129–138. [Google Scholar] [CrossRef]
- Liu, H.; Xiao, C.; Qiu, T.; Deng, J.; Cheng, H.; Cong, X.; Cheng, S.; Rao, S.; Zhang, Y. Selenium Regulates Antioxidant, Photosynthesis, and Cell Permeability in Plants under Various Abiotic Stresses: A Review. Plants 2022, 12, 44. [Google Scholar] [CrossRef]
- Nie, Z.; Li, S.; Hu, C.; Sun, X.; Tan, Q.; Liu, H. Effects of molybdenum and phosphorus fertilizers on cold resistance in winter wheat. J. Plant Nutr. 2015, 38, 808–820. [Google Scholar] [CrossRef]
- Kruse, T.; Gehl, C.; Geisler, M.; Lehrke, M.; Ringel, P.; Hallier, S.; Hänsch, R.; Mendel, R.R. Identification and biochemical characterization of molybdenum cofactor-binding proteins from Arabidopsis thaliana. J. Biol. Chem. 2010, 285, 6623–6635. [Google Scholar] [CrossRef]
- Moussa, M.G.; Sun, X.; Ismael, M.A.; Elyamine, A.M.; Rana, M.S.; Syaifudin, M.; Hu, C. Molybdenum- induced effects on grain yield, macro–micro-nutrient uptake, and allocation in Mo-inefficient winter wheat. J. Plant Growth Regul. 2022, 41, 1516–1531. [Google Scholar] [CrossRef]
- Akula, R.; Ravishankar, G.A. Influence of abiotic stress signals on secondary metabolites in plants. Plant Signal. Behave. 2011, 6, 1720–1731. [Google Scholar] [CrossRef]
- Hartmann, T. From waste products to ecochemicals: Fifty years research of plant secondary metabolism. Phytochemistry 2007, 68, 2831–2846. [Google Scholar] [CrossRef] [PubMed]
- Erb, M.; Kliebenstein, D.J. Plant secondary metabolites as defenses, regulators, and primary metabolites: The blurred functional trichotomy. Plant Physiol. 2020, 184, 39–52. [Google Scholar] [CrossRef] [PubMed]
- Nicholson, J.K.; Lindon, J.C. Metabonomics. Nature 2008, 455, 1054–1056. [Google Scholar] [CrossRef] [PubMed]
- Fiehn, O.; Kopka, J.; Trethewey, R.N.; Willmitzer, L. Identification of uncommon plant metabolites based on calculation of elemental compositions using gas chromatography and quadrupole mass spectrometry. Anal. Chem. 2000, 72, 3573–3580. [Google Scholar] [CrossRef] [PubMed]
- Delfin, J.C.; Watanabe, M.; Tohge, T. Understanding the function and regulation of plant secondary metabolism through metabolomics approaches. Theor. Exp. Plant Physiol. 2019, 31, 127–138. [Google Scholar] [CrossRef]
- Lisec, J.; Schauer, N.; Kopka, J.; Willmitzer, L.; Fernie, A.R. Gas chromatography mass spectrometry–based metabolite profiling in plants. Nat. Protoc. 2006, 1, 387–396. [Google Scholar] [CrossRef] [PubMed]
- Duan, X.; Liu, T.; Zhang, D.; Su, X.; Lin, H.; Jiang, Y. Effect of pure oxygen atmosphere on antioxidant enzyme and antioxidant activity of harvested litchi fruit during storage. Int. Food Res. J. 2011, 44, 1905–1911. [Google Scholar] [CrossRef]
- Zhang, Z.; Huber, D.J.; Qu, H.; Yun, Z.E.; Wang, H.; Huang, Z.; Huang, H.; Jiang, Y. Enzymatic browning and antioxidant activities in harvested litchi fruit as influenced by apple polyphenols. Food Chem. 2015, 171, 191–199. [Google Scholar] [CrossRef]
- Kim, E.J.; Choi, J.Y.; Yu, M.R.; Kim, M.Y.; Lee, S.H.; Lee, B.H. Total polyphenols, total flavonoid contents, and antioxidant activity of Korean natural and medicinal plants. Korean J. Food Sci. Technol. 2012, 44, 337–342. [Google Scholar] [CrossRef]
- Liu, F.; Jiang, W.; Han, W.; Li, J.; Liu, Y. Effects of Hydrogen-Rich Water on Fitness Parameters of Rice Plants. Agron. J. 2017, 109, 2033–2039. [Google Scholar] [CrossRef]
- Wang, Y.; Fang, X.; An, F.; Wang, G.; Zhang, X. Improvement of antibiotic activity of Xenorhabdus bovienii by medium optimization using response surface methodology. Microb. Cell Factories 2011, 10, 98. [Google Scholar] [CrossRef] [PubMed]
- Mendel, R.R. Metabolism of molybdenum. In Metallomics and the Cell; Springer: Dordrecht, The Netherlands, 2013; pp. 503–528. [Google Scholar]
- Wang, D.; Pang, Y.-X.; Wang, W.-Q.; Wan, C.-Y.; Hou, J.-L.; Yu, F.-L.; Wang, Q.-L.; Liu, F.-B.; Zhang, X.-D. Effect of molybdenum on secondary metabolic process of glycyrrhizic acid in Glycyrrhiza uralensis Fisch. Biochem. Syst. Ecol. 2013, 50, 93–100. [Google Scholar] [CrossRef]
- Hille, R. The mononuclear molybdenum enzymes. Chem. Rev. 1996, 96, 2757–2816. [Google Scholar] [CrossRef] [PubMed]
- Kumar, P.; Dubey, K.K. Citric acid cycle regulation: Back bone for secondary metabolite production. In New and Future Developments in Microbial Biotechnology and Bioengineering; Elsevier: Amsterdam, The Netherlands, 2019; pp. 165–181. [Google Scholar]
- Martínez-Reyes, I.; Chandel, N.S. Mitochondrial TCA cycle metabolites control physiology and disease. Nat. Commun. 2020, 11, 102. [Google Scholar] [CrossRef] [PubMed]
- Mauceri, A.; Aci, M.M.; Toppino, L.; Panda, S.; Meir, S.; Mercati, F.; Araniti, F.; Lupini, A.; Panuccio, M.R.; Rotino, G.L.; et al. Uncovering Pathways Highly Correlated to NUE through a Combined Metabolomics and Transcriptomics Approach in Eggplant. Plants 2022, 11, 700. [Google Scholar] [CrossRef] [PubMed]
- Zamani, A.I.; Barig, S.; Ibrahim, S.; Mohd Yusof, H.; Ibrahim, J.; Low, J.Y.S.; Kua, S.F.; Baharum, S.N.; Stahmann, K.-P.; Ng, C.L. Comparative metabolomics of Phialemonium curvatum as an omnipotent fungus cultivated on crude palm oil versus glucose. Microb. Cell Factories 2020, 19, 179. [Google Scholar] [CrossRef]
- Cui, W.; Chen, S.L.; Hu, K.Q. Quantification, and mechanisms of oleic acid-induced steatosis in HepG2 cells. Am. J. Transl. Res. 2010, 2, 95–104. [Google Scholar]
- Sung, Y.Y.; Kim, D.S.; Kim, H.K. Akebia quinata extract exerts anti-obesity and hypolipidemic effects in high-fat diet-fed mice and 3T3-L1 adipocytes. J. Ethnopharmacol. 2015, 168, 17–24. [Google Scholar] [CrossRef]
- Kim, J.H.; Kang, S.I.; Shin, H.S.; Yoon, S.A.; Kang, S.W.; Ko, H.C.; Kim, S.J. Sasa quelpaertensis and p-coumaric acid attenuate oleic acid-induced lipid accumulation in HepG2 cells. Biosci. Biotechnol. Biochem. 2013, 77, 1595–1598. [Google Scholar] [CrossRef]
- Yoon, H.J.; Lee, Y.H.; Cha, B.S. Causal relationship of non-alcoholic fatty liver disease with obesity and insulin resistance. J. Korean Diabetes 2014, 15, 76–81. [Google Scholar] [CrossRef][Green Version]
- Mustapha, M.; Taib, C.N.M. Beneficial Role of Vitexin in Parkinson’s Disease. Malays. J. Med. Sci. 2023, 30, 8. [Google Scholar] [CrossRef]
- Inamdar, S.; Joshi, A.; Malik, S.; Boppana, R.; Ghaskadbi, S. Vitexin alleviates non-alcoholic fatty liver disease by activating AMPK in high fat diet fed mice. Biochem. Biophys. Res. Commun. 2019, 519, 106–112. [Google Scholar] [CrossRef]
- Luo, Y.; Zhang, X.; Zhu, Z.; Jiao, N.; Qiu, K.; Yin, J. Surplus dietary isoleucine intake enhanced monounsaturated fatty acid synthesis and fat accumulation in skeletal muscle of finishing pigs. J. Anim. Sci. Biotechnol. 2018, 9, 88. [Google Scholar] [CrossRef]
- Kantharaj, V.; Yoon, Y.E.; Lee, K.A.; Choe, H.; Chohra, H.; Seo, W.D.; Lee, Y.B. Saponarin, a di-glycosyl flavone from barley (Hordeum vulgare L.): An effective compound for plant defense and therapeutic application. ACS Omega 2023, 8, 22285–22295. [Google Scholar] [CrossRef]
- Kim, J.S.; Jeong, E.; Jo, S.M.; Park, J.; Kim, J.Y. Comparative study of the effects of light-controlled germination conditions on saponarin content in barley sprouts and lipid accumulation suppression in HepG2 hepatocyte and 3T3-L1 adipocyte cells using barley sprout extracts. Molecules 2020, 25, 5349. [Google Scholar] [CrossRef]
- Zhishen, J.; Mengcheng, T.; Jianming, W. Research on antioxidant activity of flavonoids from natural materials. Food Chem. 1999, 64, e9. [Google Scholar]
- Obanda, M.; Owuor, P.O.; Taylor, S.J. Flavanol composition and caffeine content of green leaf as quality potential indicators of Kenyan black teas. J. Sci. Food Agric. 1997, 74, 209–215. [Google Scholar] [CrossRef]
- Shen, Q.; Zhang, B.; Xu, R.; Wang, Y.; Ding, X.; Li, P. Antioxidant activity in vitro of the selenium-contained protein from the Se-enriched Bifidobacterium animalis 01. Anaerobe 2010, 16, 380–386. [Google Scholar] [CrossRef]
- Liaqat, H.; Kim, K.J.; Park, S.Y.; Jung, S.K.; Park, S.H.; Lim, S.; Kim, J.Y. Antioxidant Effect of Wheat Germ Extracts and Their Antilipidemic Effect in Palmitic Acid-Induced Steatosis in HepG2 and 3T3-L1 Cells. Foods 2021, 10, 1061. [Google Scholar] [CrossRef]
- Karakaş, D.; Ari, F.; Ulukaya, E. The MTT viability assay yields strikingly false-positive viabilities although the cells are killed by some plant extracts. Turk. J. Biol. 2017, 41, 919–925. [Google Scholar] [CrossRef]
- Go, H.; Ryuk, J.A.; Hwang, J.T.; Ko, B.S. Effects of three different formulae of Gamisoyosan on lipid accumulation induced by oleic acid in HepG2 cells. Integr. Med. Res. 2017, 6, 395–403. [Google Scholar] [CrossRef] [PubMed]
- Guo, J.; Gao, Y.; Cao, X.; Zhang, J.; Chen, W. Cholesterol-lowing effect of taurine in HepG2 cell. Lipids Health Dis. 2017, 16, 56. [Google Scholar] [CrossRef]







| Treatments | Area (cm2) | Length (cm) | Weight (g) |
|---|---|---|---|
| Control (DW) | 9.095 ± 1.62 efg | 13.839 ± 0.858 bc | 0.126 ± 0.004 de |
| Hydrogen water (HW) | 14.392 ± 0.48 abc | 15.873 ± 0.522 ab | 0.138 ± 0.005 b |
| Mo oxide DW (0.01%) | 12.603 ± 0.85 bcd | 16.148 ± 0.356 abc | 0.136 ± 0.008 bc |
| Mo oxide HW (0.01%) | 17.398 ± 0.68 a | 17.065 ± 0.740 a | 0.148 ± 0.002 a |
| Mo Chl-DW (0.001%) | 14.64 1 ± 0.240 ab | 15.813 ± 1.353 abc | 0.140 ± 0.003 b |
| Mo Chl-HW (0.001%) | 11.545 ± 1.460 cde | 15.053 ± 0.756 abc | 0.140 ± 0.001 b |
| Se Acid-DW (0.000001%) | 9.917 ± 0.839 def | 13.7888 ± 0.661 bc | 0.122 ± 0.002 ef |
| Se Acid-HW (0.000001%) | 16.041 ± 0.600 a | 16.111 ± 0.792 abc | 0.148 ± 0.0004 a |
| Run | Flavonoid (mg/mL) | Polyphenol (mg/mL) | Antioxidant Content (µg/mL) |
|---|---|---|---|
| 1 | 143.253 | 340.252 | 40.1379 |
| 2 | 140.222 | 338.526 | 40.9205 |
| 3 | 140.256 | 337.353 | 40.3808 |
| 4 | 168.524 | 399.985 | 48.7736 |
| 5 | 165.326 | 405.145 | 48.4558 |
| 6 | 165.555 | 410.526 | 48.3178 |
| 7 | 161.071 | 410.121 | 55.2924 |
| 8 | 161.071 | 410.121 | 51.8741 |
| 9 | 164.357 | 412.667 | 51.6942 |
| 10 | 188.357 | 449.667 | 68.3358 |
| 11 | 191.786 | 449.555 | 65.9070 |
| 12 | 191.071 | 448.970 | 66.7166 |
| 13 | 193.929 | 420.222 | 62.5787 |
| Factors | Name | Type | Low Actual | High Actual | Low Coded | High Coded |
|---|---|---|---|---|---|---|
| X1 | Mo oxide | Numeric | 1 × 10−3 | 0.100 | −1.000 | 1.000 |
| X2 | Se acid | Numeric | 1 × 10−7 | 1 × 10−5 | −1.000 | 1.000 |
Disclaimer/Publisher’s Note: The statements, opinions and data contained in all publications are solely those of the individual author(s) and contributor(s) and not of MDPI and/or the editor(s). MDPI and/or the editor(s) disclaim responsibility for any injury to people or property resulting from any ideas, methods, instructions or products referred to in the content. |
© 2023 by the authors. Licensee MDPI, Basel, Switzerland. This article is an open access article distributed under the terms and conditions of the Creative Commons Attribution (CC BY) license (https://creativecommons.org/licenses/by/4.0/).
Share and Cite
Kousar, M.; Kim, Y.R.; Kim, J.Y.; Park, J. Enhancement of Growth and Secondary Metabolites by the Combined Treatment of Trace Elements and Hydrogen Water in Wheat Sprouts. Int. J. Mol. Sci. 2023, 24, 16742. https://doi.org/10.3390/ijms242316742
Kousar M, Kim YR, Kim JY, Park J. Enhancement of Growth and Secondary Metabolites by the Combined Treatment of Trace Elements and Hydrogen Water in Wheat Sprouts. International Journal of Molecular Sciences. 2023; 24(23):16742. https://doi.org/10.3390/ijms242316742
Chicago/Turabian StyleKousar, Muniba, Yu Rim Kim, Ji Yeon Kim, and Joonho Park. 2023. "Enhancement of Growth and Secondary Metabolites by the Combined Treatment of Trace Elements and Hydrogen Water in Wheat Sprouts" International Journal of Molecular Sciences 24, no. 23: 16742. https://doi.org/10.3390/ijms242316742
APA StyleKousar, M., Kim, Y. R., Kim, J. Y., & Park, J. (2023). Enhancement of Growth and Secondary Metabolites by the Combined Treatment of Trace Elements and Hydrogen Water in Wheat Sprouts. International Journal of Molecular Sciences, 24(23), 16742. https://doi.org/10.3390/ijms242316742

