Coexistence of Cardiovascular Risk Factors and Blood Renalase Concentration
Abstract
1. Introduction
2. Results
2.1. Basic Demographic and Clinical Parameters
2.2. Comparative Analysis: Cardiovascular Risk Factors and Blood Renalase Concentration
2.3. Comparative Analysis: Number of Cardiovascular Risk Factors and Blood Renalase Concentration
2.4. Correlation Analysis
2.5. Regression Analysis
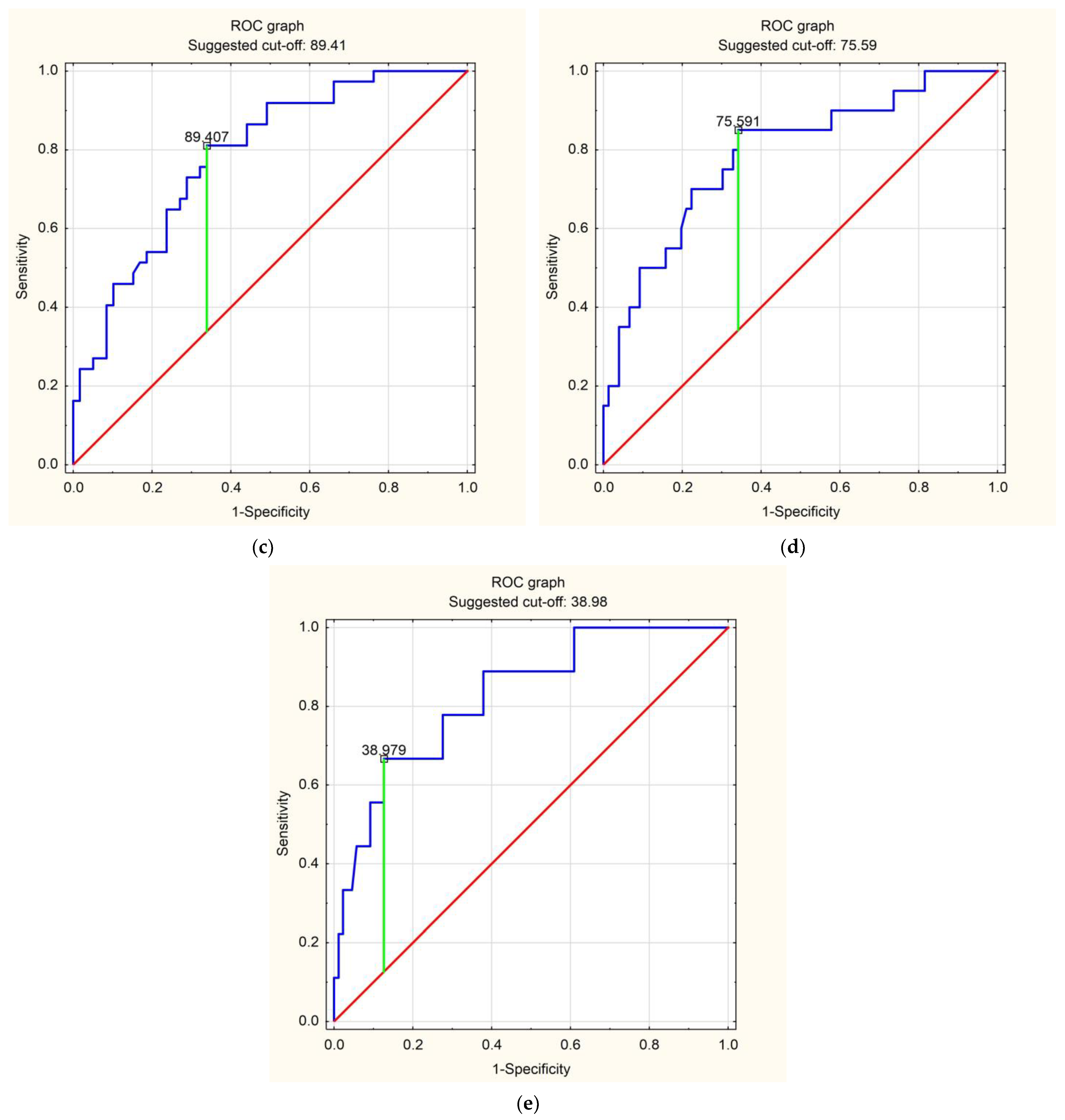
2.6. Prediction Analysis
3. Discussion
3.1. Most Important Findings
3.2. Obesity
3.3. Smoking
3.4. Physical Activity
3.5. Diet
3.6. Arterial Hypertension
3.7. Hypercholesterolemia
3.8. Hyperglycemia
3.9. Study Strengths and Limitations
4. Materials and Methods
5. Conclusions
Author Contributions
Funding
Institutional Review Board Statement
Informed Consent Statement
Data Availability Statement
Conflicts of Interest
References
- Global Health Estimates. Available online: https://www.who.int/data/global-health-estimates (accessed on 24 August 2023).
- WHO. World Health Statistics 2023 Monitoring Health for the SDGs Sustainable Development Goals Health for All. 2023. Available online: https://www.who.int/publications/book-orders (accessed on 24 August 2023).
- Cardiovascular Diseases (CVDs). Available online: https://www.who.int/news-room/fact-sheets/detail/cardiovascular-diseases-(cvds) (accessed on 24 August 2023).
- Global Burden of Disease (GBD). Available online: https://www.healthdata.org/research-analysis/gbd (accessed on 24 August 2023).
- Gać, P.; Czerwińska, K.; Macek, P.; Jaremków, A.; Mazur, G.; Pawlas, K.; Poręba, R. The importance of selenium and zinc deficiency in cardiovascular disorders. Environ. Toxicol. Pharmacol. 2021, 82, 35–53. [Google Scholar] [CrossRef] [PubMed]
- Yusuf, S.; Hawken, S.; Ounpuu, S.; Dans, T.; Avezum, A.; Lanas, F.; McQueen, M.; Budaj, A.; Pais, P.; Varigos, J.; et al. Effect of potentially modifiable risk factors associated with myocardial infarction in 52 countries (the INTERHEART study): Case-control study. Lancet 2004, 364, 937–952. [Google Scholar] [CrossRef] [PubMed]
- Gać, P.; Poręba, M.; Jurdziak, M.; Trzmielewska, E.; Gocławska, K.; Derkacz, A.; Mazur, G.; Szuba, A.; Poręba, R. Cardiovascular risk factors and the concentration of asymmetric dimethylarginine. Adv. Clin. Exp. Med. 2020, 29, 63–70. [Google Scholar] [CrossRef] [PubMed]
- Gać, P.; Urbanik, D.; Macek, P.; Martynowicz, H.; Mazur, G.; Poręba, R. Coexistence of cardiovascular risk factors and obstructive sleep apnoea in polysomnography. Respir. Physiol. Neurobiol. 2022, 295, 103782. [Google Scholar] [CrossRef]
- Bisciglia, A.; Pasceri, V.; Irini, D.; Varveri, A.; Speciale, G. Risk Factors for Ischemic Heart Disease. Rev. Recent. Clin. Trials 2019, 14, 86–94. [Google Scholar] [CrossRef] [PubMed]
- Cardiovascular Diseases. Available online: https://www.who.int/health-topics/cardiovascular-diseases#tab=tab_1 (accessed on 24 August 2023).
- Global Health Observatory. Available online: https://www.who.int/data/gho (accessed on 27 August 2023).
- Zdrojewski, T.; Rutkowski, M.; Bandosz, P.; Gaciong, Z.; Jędrzejczyk, T.; Solnica, B.; Pencina, M.; Drygas, W.; Wojtyniak, B.; Grodzicki, T.; et al. Prevalence and control of cardiovascular risk factors in Poland. Assumptions and objectives of the NATPOL 2011 Survey. Kardiol. Pol. 2013, 71, 381–392. [Google Scholar] [CrossRef] [PubMed]
- Szymański, F.M.; Barylski, M.; Cybulska, B.; Wożakowska-Kapłon, B.; Krasiński, Z.; Mamcarz, A.; Widecka, K.; Płatek, A.E.; Dudek, D.; Mickiewicz, A.; et al. Recommendation for the management of dyslipidemia in Poland—Third Declaration of Sopot. Interdisciplinary Expert Position Statement endorsed by the Polish Cardiac Society Working Group on Cardiovascular Pharmacotherapy. Cardiol. J. 2018, 25, 655–665. [Google Scholar] [CrossRef] [PubMed]
- Pająk, A.; Szafraniec, K.; Polak, M.; Polakowska, M.; Kozela, M.; Piotrowski, W.; Kwaśniewska, M.; Podolecka, E.; Kozakiewicz, K.; Tykarski, A.; et al. Changes in the prevalence, treatment, and control of hypercholesterolemia and other dyslipidemias over 10 years in Poland: The WOBASZ study. Pol. Arch. Med. Wewn. 2016, 126, 642–652. [Google Scholar]
- Brzeziński, M.; Metelska, P.; Sutkowska, B. 23 Eurohealth Systems and Policies Obesity in Poland-Public Health Activities. Eurohealth Syst. Policies 2019, 25, 23–26. [Google Scholar]
- Diabetes. Available online: https://www.who.int/news-room/fact-sheets/detail/diabetes (accessed on 27 August 2023).
- Diabetes Prevalence (% of Population Ages 20 to 79)—Poland|Data. Available online: https://data.worldbank.org/indicator/SH.STA.DIAB.ZS?locations=PL (accessed on 27 August 2023).
- Yin, Q.; Zhao, Y.; Li, J.; Xue, Q.; Wu, X.; Gao, L.; He, P.; Zhu, M.; Wang, S. The coexistence of multiple cardiovascular diseases is an independent predictor of the 30-day mortality of hospitalized patients with congestive heart failure: A study in Beijing. Clin. Cardiol. 2011, 34, 442–446. [Google Scholar] [CrossRef]
- Czerwińska, K.; Poręba, R.; Gać, P. Renalase-A new understanding of its enzymatic and non-enzymatic activity and its implications for future research. Clin. Exp. Pharmacol. Physiol. 2022, 49, 3–9. [Google Scholar] [CrossRef]
- Xu, J.; Desir, G.V. Renalase, a new renal hormone: Its role in health and disease. Curr. Opin. Nephrol. Hypertens. 2007, 16, 373–378. [Google Scholar] [CrossRef] [PubMed]
- Xu, J.; Li, G.; Wang, P.; Velazquez, H.; Yao, X.; Li, Y.; Wu, Y.; Peixoto, A.; Crowley, S.; Desir, G.V. Renalase is a novel, soluble monoamine oxidase that regulates cardiac function and blood pressure. J. Clin. Investig. 2005, 115, 1275–1280. [Google Scholar] [CrossRef] [PubMed]
- Desir, G.V. Regulation of blood pressure and cardiovascular function by renalase. Kidney Int. 2009, 76, 366–370. [Google Scholar] [CrossRef]
- Desir, G.V.; Tang, L.; Wang, P.; Li, G.; Sampaio-Maia, B.; Quelhas-Santos, J.; Pestana, M.; Velazquez, H. Renalase lowers ambulatory blood pressure by metabolizing circulating adrenaline. J. Am. Heart Assoc. 2012, 1, 24–38. [Google Scholar] [CrossRef] [PubMed]
- Boomsma, F.; Tipton, K.F. Renalase, a catecholamine-metabolising enzyme? J. Neural Transm. 2007, 114, 775–776. [Google Scholar] [CrossRef] [PubMed][Green Version]
- Pandini, V.; Ciriello, F.; Tedeschi, G.; Rossoni, G.; Zanetti, G.; Aliverti, A. Synthesis of human renalase1 in Escherichia coli and its purification as a FAD-containing holoprotein. Protein Expr. Purif. 2010, 72, 244–253. [Google Scholar] [CrossRef]
- Vijayakumar, A.; Mahapatra, N.R. Renalase: A novel regulator of cardiometabolic and renal diseases. Hypertens. Res. 2022, 45, 1582–1598. [Google Scholar] [CrossRef]
- Beaupre, B.A.; Carmichael, B.R.; Hoag, M.R.; Shah, D.D.; Moran, G.R. Renalase is an α-NAD(P)H oxidase/anomerase. J. Am. Chem. Soc. 2013, 135, 13980–13987. [Google Scholar] [CrossRef]
- Beaupre, B.A.; Hoag, M.R.; Roman, J.; Försterling, F.H.; Moran, G.R. Metabolic function for human renalase: Oxidation of isomeric forms of β-NAD(P)H that are inhibitory to primary metabolism. Biochemistry 2015, 54, 795–806. [Google Scholar] [CrossRef]
- Guo, X.; Wang, L.; Velazquez, H.; Safirstein, R.; Desir, G.V. Renalase: Its role as a cytokine, and an update on its association with type 1 diabetes and ischemic stroke. Curr. Opin. Nephrol. Hypertens. 2014, 23, 513–518. [Google Scholar] [CrossRef]
- Safdar, B.; Guo, X.; Johnson, C.; D’Onofrio, G.; Dziura, J.; Sinusas, A.J.; Testani, J.; Rao, V.; Desir, G. Elevated renalase levels in patients with acute coronary microvascular dysfunction—A possible biomarker for ischemia. Int. J. Cardiol. 2019, 279, 155–161. [Google Scholar] [CrossRef]
- Li, Y.; Wu, W.; Liu, W.; Zhou, M. Roles and mechanisms of renalase in cardiovascular disease: A promising therapeutic target. Biomed. Pharmacother. 2020, 131, 110712. [Google Scholar] [CrossRef]
- Ramanjaneya, M.; Tan, B.; Patel, V.; Hu, J.; Lehnert, H.; Hillhouse, E.; Chen, J.; Randeva, H. Renalase a key regulator of brown adipose tissue activity. Endocr. Abstr. 2014, 34, 235–243. [Google Scholar] [CrossRef]
- Tokinoya, K.; Ono, S.; Aoki, K.; Yanazawa, K.; Shishikura, Y.; Sugasawa, T.; Takekoshi, K. Gene expression level of renalase in the skeletal muscles is increased with high-intensity exercise training in mice on a high-fat diet. Physiol. Int. 2021, 108, 274–284. [Google Scholar] [CrossRef]
- Fang, H.; Aoki, K.; Tokinoya, K.; Yonamine, M.; Sugasawa, T.; Kawakami, Y.; Takekoshi, K. Effects of High-Fat Diet on the Gut Microbiota of Renalase Gene Knockout Mice. Obesities 2022, 2, 303–316. [Google Scholar] [CrossRef]
- Martynowicz, H.; Wieckiewicz, M.; Poreba, R.; Wojakowska, A.; Smardz, J.; Januszewska, L.; Markiewicz-Gorka, I.; Mazur, G.; Pawlas, K.; Gać, P. The relationship between sleep bruxism intensity and renalase concentration—An enzyme involved in hypertension development. J. Clin. Med. 2020, 9, 16. [Google Scholar] [CrossRef]
- Rybi-Szumińska, A.; Michaluk-Skutnik, J.; Osipiuk-Remża, B.; Kossakowska, A.; Wasilewska, A. Normal values for urine renalase excretion in children. Pediatr. Nephrol. 2014, 29, 2191–2195. [Google Scholar] [CrossRef]
- Wang, Y.; Chen, C.; Hu, G.L.; Chu, C.; Zhang, X.Y.; Du, M.F.; Zou, T.; Zhou, Q.; Liao, Y.Y.; Ma, Q.; et al. Associations of Renalase with Blood Pressure and Hypertension in Chinese Adults. Front. Cardiovasc. Med. 2022, 9, 321–343. [Google Scholar] [CrossRef]
- Sonawane, P.J.; Gupta, V.; Sasi, B.K.; Kalyani, A.; Natarajan, B.; Khan, A.A.; Sahu, B.S.; Mahapatra, N.R. Transcriptional regulation of the novel monoamine oxidase renalase: Crucial roles of transcription factors Sp1, STAT3, and ZBP89. Biochemistry 2014, 53, 6878–6892. [Google Scholar] [CrossRef]
- Tokinoya, K.; Shiromoto, J.; Sugasawa, T.; Yoshida, Y.; Aoki, K.; Nakagawa, Y.; Ohmori, H.; Takekoshi, K. Influence of acute exercise on renalase and its regulatory mechanism. Life Sci. 2018, 210, 235–242. [Google Scholar] [CrossRef] [PubMed]
- Czarkowska-Paczek, B.; Zendzian-Piotrowska, M.; Gala, K.; Sobol, M.; Paczek, L. Exercise differentially regulates renalase expression in skeletal muscle and kidney. Tohoku J. Exp. Med. 2013, 231, 321–329. [Google Scholar] [CrossRef] [PubMed]
- Wang, Y.; Xie, B.Q.; Gao, W.H.; Yan, D.Y.; Zheng, W.L.; Lv, Y.B.; Cao, Y.M.; Hu, J.W.; Yuan, Z.Y.; Mu, J.J. Effects of Renin-Angiotensin System Inhibitors on Renal Expression of Renalase in Sprague-Dawley Rats Fed with High Salt Diet. Kidney Blood Press. Res. 2015, 40, 605–613. [Google Scholar] [CrossRef] [PubMed]
- Heydarpour, M.; Parksook, W.W.; Hopkins, P.N.; Pojoga, L.H.; Williams, G.H.; Williams, J.S. A candidate locus in the renalase gene and susceptibility to blood pressure responses to the dietary salt. J. Hypertens. 2023, 41, 723–732. [Google Scholar] [CrossRef] [PubMed]
- Wang, Y.; Liu, F.Q.; Wang, D.; Mu, J.J.; Ren, K.Y.; Guo, T.S.; Chu, C.; Wang, L.; Geng, L.K.; Yuan, Z.Y. Effect of salt intake and potassium supplementation on serum renalase levels in Chinese adults: A randomized trial. Medicine 2014, 93, 154–165. [Google Scholar] [CrossRef] [PubMed]
- Zheng, W.L.; Wang, J.; Mu, J.J.; Liu, F.Q.; Yuan, Z.Y.; Wang, Y.; Wang, D.; Ren, K.Y.; Guo, T.S.; Xiao, H.Y. Effects of salt intake and potassium supplementation on renalase expression in the kidneys of Dahl salt-sensitive rats. Exp. Biol. Med. 2016, 241, 382–386. [Google Scholar] [CrossRef]
- Desir, G.V. Role of renalase in the regulation of blood pressure and the renal dopamine system. Curr. Opin. Nephrol. Hypertens. 2011, 20, 31–36. [Google Scholar] [CrossRef]
- Malyszko, J.; Bachorzewska-Gajewska, H.; Dobrzycki, S. Renalase, kidney and cardiovascular disease: Are they related or just coincidentally associated? Adv. Med. Sci. 2015, 60, 41–49. [Google Scholar] [CrossRef]
- Zhao, Q.; Fan, Z.; He, J.; Chen, S.; Li, H.; Zhang, P.; Wang, L.; Hu, D.; Huang, J.; Qiang, B.; et al. Renalase gene is a novel susceptibility gene for essential hypertension: A two-stage association study in northern Han Chinese population. J. Mol. Med. 2007, 85, 877–885. [Google Scholar] [CrossRef]
- Kozieradzka, A.; Pepinski, W.; Waszkiewicz, E.; Olszewska, M.; Maciorkowska, D.; Skawronska, M.; Niemcunowicz-Janica, A.; Dobrzycki, S.; Musial, W.J.; Kaminski, K.A. The rs1801133 polymorphism of methylenetetrahydrofolate reductase gene- the association with 5-year survival in patients with ST-elevation myocardial infarction. Adv. Med. Sci. 2012, 57, 106–111. [Google Scholar] [CrossRef]
- Li, X.; Jiang, W.; Li, L.; Huang, R.; Yang, Q.; Yang, Y.; Hong, Y.; Tang, X. Renalase gene polymorphism in patients with hypertension and concomitant coronary heart disease. Kidney Blood Press. Res. 2014, 39, 9–16. [Google Scholar] [CrossRef]
- Fava, C.; Montagnana, M.; Danese, E.; Sjögren, M.; Almgren, P.; Engström, G.; Hedblad, B.; Guidi, G.C.; Minuz, P.; Melander, O. The Renalase Asp37Glu polymorphism is not associated with hypertension and cardiovascular events in an urban-based prospective cohort: The Malmö Diet and cancer study. BMC Med. Genet. 2012, 13, 147–157. [Google Scholar] [CrossRef] [PubMed]
- Buraczynska, M.; Zukowski, P.; Buraczynska, K.; Mozul, S.; Ksiazek, A. Renalase gene polymorphisms in patients with type 2 diabetes, hypertension and stroke. Neuromolecul. Med. 2011, 13, 321–327. [Google Scholar] [CrossRef] [PubMed]
- Farzaneh-Far, R.; Desir, G.V.; Na, B.; Schiller, N.B.; Whooley, M.A. A Functional Polymorphism in Renalase (Glu37Asp) Is Associated with Cardiac Hypertrophy, Dysfunction, and Ischemia: Data from the Heart and Soul Study. PLoS ONE 2010, 5, 32–47. [Google Scholar] [CrossRef] [PubMed]
- Stojanovic, D.; Cvetkovic, T.; Stojanovic, M.; Stefanovic, N.; Velickovic-Radovanovic, R.; Zivkovic, N. Renalase Assessment with Regard to Kidney Function, Lipid Disturbances, and Endothelial Dysfunction Parameters in Stable Renal Transplant Recipients. Prog. Transplant. 2017, 27, 125–130. [Google Scholar] [CrossRef]
- Yin, J.; Liu, X.; Zhao, T.; Liang, R.; Wu, R.; Zhang, F.; Kong, Y.; Liu, L.; Xing, T.; Wang, N.; et al. A protective role of renalase in diabetic nephropathy. Clin. Sci. 2020, 134, 75–85. [Google Scholar] [CrossRef]
- Barrett, J.C.; Clayton, D.G.; Concannon, P.; Akolkar, B.; Cooper, J.D.; Erlich, H.A.; Julier, C.; Morahan, G.; Nerup, J.; Nierras, C.; et al. Genome-wide association study and meta-analysis find that over 40 loci affect risk of type 1 diabetes. Nat. Genet. 2009, 41, 703–707. [Google Scholar] [CrossRef]
- Wallace, C.; Rotival, M.; Cooper, J.D.; Rice, C.M.; Yang, J.H.; McNeill, M.; Smyth, D.J.; Niblett, D.; Cambien, F.; Cardiogenics Consortium. Statistical colocalization of monocyte gene expression and genetic risk variants for type 1 diabetes. Hum. Mol. Genet. 2012, 21, 2815–2831. [Google Scholar] [CrossRef]
- Lloyd-Jones, D.M.; Hong, Y.; Labarthe, D.; Mozaffarian, D.; Appel, L.J.; Van Horn, L.; Greenlund, K.; Daniels, S.; Nichol, G.; Tomaselli, G.F.; et al. Defining and setting national goals for cardiovascular health promotion and disease reduction: The American Heart Association’s strategic Impact Goal through 2020 and beyond. Circulation 2010, 121, 586–613. [Google Scholar] [CrossRef]



| Renalase b [ng/mL] | Renalase < 1st Quartile a | Renalase ≥ Median a | Renalase ≥ 3rd Quartile a | ||
|---|---|---|---|---|---|
| Active smoking | yes | 102.77 ± 185.47 | 18/66.7 | 3/11.1 | 3/11.1 |
| no | 255.98 ± 217.02 | 6/8.7 | 45/65.2 | 21/30.4 | |
| p | <0.05 | <0.05 | <0.05 | <0.05 | |
| Obesity | yes | 107.06 ± 129.48 | 12/40.0 | 8/26.7 | 3/10.0 |
| no | 260.99 ± 234.61 | 12/18.2 | 40/60.6 | 21/31.8 | |
| p | <0.05 | <0.05 | <0.05 | <0.05 | |
| Lack of physical activity | yes | 137.87 ± 172.97 | 11/35.5 | 10/32.3 | 4/12.9 |
| no | 248.67 ± 230.40 | 13/20.0 | 38/58.5 | 20/30.8 | |
| p | <0.05 | ns | <0.05 | ns | |
| Unhealthy diet | yes | 184.12 ± 215.29 | 13/35.1 | 15/40.5 | 8/21.6 |
| no | 230.93 ± 221.06 | 11/18.6 | 33/55.9 | 16/27.1 | |
| p | ns | ns | ns | ns | |
| Hypercholesterolemia | yes | 193.12 ± 198.85 | 10/23.8 | 21/50.0 | 9/21.4 |
| no | 228.27 ± 234.01 | 14/25.9 | 27/50.0 | 15/27.8 | |
| p | ns | ns | ns | ns | |
| Arterial hypertension | yes | 156.13 ± 176.59 | 13/38.2 | 13/38.2 | 6/17.6 |
| no | 244.02 ± 233.08 | 11/17.7 | 35/56.4 | 18/29.0 | |
| p | <0.05 | <0.05 | ns | ns | |
| Fasting hyperglycemia | yes | 111.67 ± 133.61 | 4/50.0 | 2/25.0 | 1/12.5 |
| no | 222.09 ± 223.31 | 20/22.7 | 46/52.3 | 23/26.1 | |
| p | ns | <0.05 | ns | ns |
| Renalase b [ng/mL] | Renalase < 1st Quartile a | Renalase ≥ Median a | Renalase ≥ 3rd Quartile a | ||
|---|---|---|---|---|---|
| CVRF number | 0–1 | 284.33 ± 232.20 | 2/5.4 | 26/70.3 | 13/35.1 |
| 2–3 | 207.97 ± 218.40 | 11/28.2 | 19/48.7 | 9/23.1 | |
| ≥4 | 90.33 ± 127.50 | 11/55.0 | 3/15.0 | 2/10.0 | |
| p | 0–1 vs. ≥4: <0.05 2–3 vs. ≥4: <0.05 | 0–1 vs. ≥4: <0.05 | 0–1 vs. ≥4: <0.05 2–3 vs. ≥4: <0.05 | ns | |
| CVRF number = 0 | yes | 305.47 ± 213.61 | 0/0.0 | 9/81.8 | 4/36.4 |
| no | 200.91 ± 217.94 | 24/28.2 | 39/45.9 | 20/23.5 | |
| p | ns | <0.05 | <0.05 | ns | |
| CVRF number > Me (>2) | yes | 92.59 ± 111.30 | 17/45.9 | 9/24.3 | 3/8.1 |
| no | 288.34 ± 236.18 | 7/11.9 | 39/66.1 | 21/35.6 | |
| p | <0.05 | <0.05 | <0.05 | <0.05 |
| Model for: Renalase [ng/mL] | ||||
|---|---|---|---|---|
| Regression Coefficient | SEM of Rc | p | p of the Model | |
| Intercept | 333.195 | 34.938 | <0.001 | <0.001 |
| Obesity | −121.748 | 44.582 | <0.001 | |
| Active smoking | −118.151 | 46.217 | <0.05 | |
| Lack of physical activity | −87.029 | 43.570 | <0.05 | |
| CVRF ≥ 1 | CVRF ≥ 2 | CVRF ≥ 3 | CVRF ≥ 4 | CVRF ≥ 5 | |
|---|---|---|---|---|---|
| Blood renalase concentration as predictor of number of CVRFs [ng/mL] | <93.33 | <89.41 | <89.41 | <75.59 | <38.98 |
| Sensitivity | 0.846 | 0.703 | 0.661 | 0.658 | 0.874 * |
| Specificity | 0.578 | 0.644 | 0.784 | 0.800 ** | 0.556 |
| Accuracy | 0.615 | 0.667 | 0.708 | 0.688 | 0.844 *** |
| Positive predictive values | 0.239 | 0.553 | 0.830 | 0.926 | 0.950 |
| Negative predictive values | 0.960 | 0.776 | 0.592 | 0.381 | 0.313 |
| Likelihood ratios positive | 2.007 | 1.974 | 3.057 | 3.289 | 1.966 |
| Likelihood ratios negative | 0.266 | 0.462 | 0.432 | 0.428 | 0.228 |
| Whole Study Group (n = 96) | Men (M) (n = 47) | Women (W) (n = 49) | P M vs. W | |
|---|---|---|---|---|
| Age b [years] | 48.51 ± 14.73 | 50.64 ± 14.12 | 46.47 ± 15.15 | ns |
| Male gender a | 47/49.0 | - | - | - |
| Female gender a | 49/51.0 | - | - | - |
| BMI b [kg/m2] | 27.82 ± 4.78 | 27.92 ± 3.77 | 27.71 ± 5.61 | ns |
| Obesity a | 33/34.4 | 17/36.2 | 13/26.5 | ns |
| Systolic blood pressure b [mmHg] | 136.77 ± 19.65 | 139.26 ± 21.57 | 134.39 ± 17.52 | ns |
| Diastolic blood pressure b [mmHg] | 87.24 ± 11.17 | 88.09 ± 11.96 | 86.43 ± 10.41 | ns |
| Arterial hypertension a | 34/35.4 | 20/42.5 | 14/28.6 | ns |
| Total cholesterol b [mg/dL] | 217.48 ± 39.17 | 225.49 ± 38.61 | 210.57 ± 37.94 | ns |
| Hypercholesterolemia a | 42/43.7 | 24/51.1 | 18/36.7 | ns |
| Glucose b [mg/dL] | 116.75 ± 41.18 | 114.03 ± 38.71 | 118.52 ± 40.92 | ns |
| Diabetes mellitus a | 8/8.3 | 4/8.5 | 4/8.2 | ns |
| Smoking a | 27/28.1 | 15/31.9 | 12/24.5 | ns |
| CVRF number b | 2.19 ± 1.42 | 2.43 ± 1.44 | 1.96 ± 1.37 | ns |
| Renalase b [ng/mL] | 212.89 ± 218.91 | 191.94 ± 193.34 | 232.95 ± 241.21 | ns |
Disclaimer/Publisher’s Note: The statements, opinions and data contained in all publications are solely those of the individual author(s) and contributor(s) and not of MDPI and/or the editor(s). MDPI and/or the editor(s) disclaim responsibility for any injury to people or property resulting from any ideas, methods, instructions or products referred to in the content. |
© 2023 by the authors. Licensee MDPI, Basel, Switzerland. This article is an open access article distributed under the terms and conditions of the Creative Commons Attribution (CC BY) license (https://creativecommons.org/licenses/by/4.0/).
Share and Cite
Żórawik, A.; Hajdusianek, W.; Markiewicz-Górka, I.; Jaremków, A.; Pawlas, K.; Martynowicz, H.; Mazur, G.; Poręba, R.; Gać, P. Coexistence of Cardiovascular Risk Factors and Blood Renalase Concentration. Int. J. Mol. Sci. 2023, 24, 16666. https://doi.org/10.3390/ijms242316666
Żórawik A, Hajdusianek W, Markiewicz-Górka I, Jaremków A, Pawlas K, Martynowicz H, Mazur G, Poręba R, Gać P. Coexistence of Cardiovascular Risk Factors and Blood Renalase Concentration. International Journal of Molecular Sciences. 2023; 24(23):16666. https://doi.org/10.3390/ijms242316666
Chicago/Turabian StyleŻórawik, Aleksandra, Wojciech Hajdusianek, Iwona Markiewicz-Górka, Aleksandra Jaremków, Krystyna Pawlas, Helena Martynowicz, Grzegorz Mazur, Rafał Poręba, and Paweł Gać. 2023. "Coexistence of Cardiovascular Risk Factors and Blood Renalase Concentration" International Journal of Molecular Sciences 24, no. 23: 16666. https://doi.org/10.3390/ijms242316666
APA StyleŻórawik, A., Hajdusianek, W., Markiewicz-Górka, I., Jaremków, A., Pawlas, K., Martynowicz, H., Mazur, G., Poręba, R., & Gać, P. (2023). Coexistence of Cardiovascular Risk Factors and Blood Renalase Concentration. International Journal of Molecular Sciences, 24(23), 16666. https://doi.org/10.3390/ijms242316666

