Characterization of VvmiR166s-Target Modules and Their Interaction Pathways in Modulation of Gibberellic-Acid-Induced Grape Seedless Berries
Abstract
1. Introduction
2. Results
2.1. Morphological and Physiological Changes during GA-Induced Grape Seedless Berry Development
2.2. Identification of VvmiR166s in Grape cv. ‘Rosario Bianco’ through miR-RACE and Comparison with Their Homologous Sequences in miRBase
2.3. Verification of VvmiR166s-Mediated Cleavage Roles on Target Genes in ‘Rosario Bianco’ Grape Berries
2.4. Identification, Sequence Analysis and Sub-Cellular Localization of VvmiR166s’ Target Genes
2.5. Potential Function Analysis on Promoters’ cis-Elements of VvMIR166s and Their Target Genes
2.6. Spatiotemporal Expression Patterns of VvmiR166s and Their Targets during Diverse Grape Berry Tissue Development
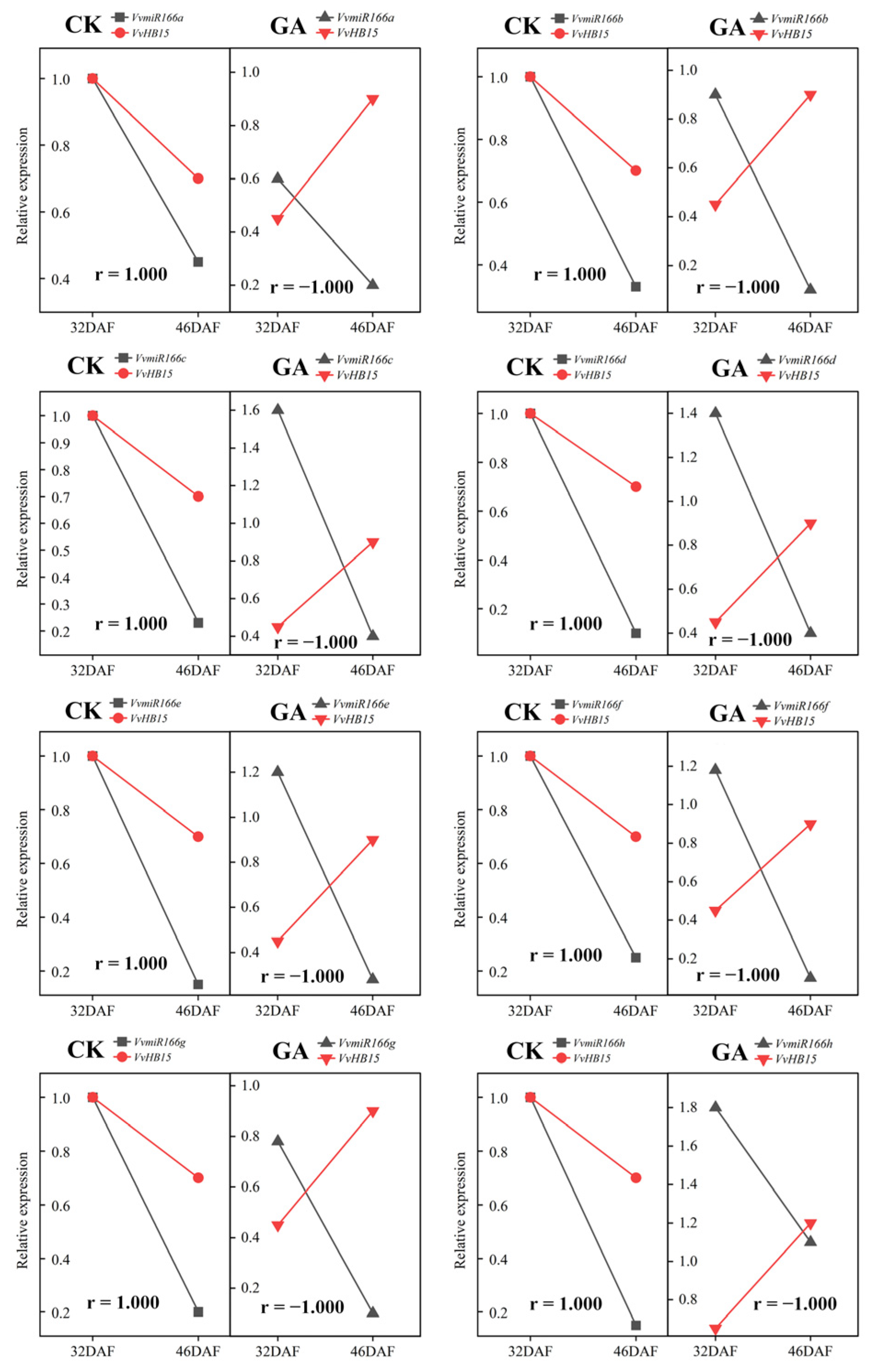
2.7. Modes of VvmiR166s and Their Target mRNAs Responding to GA during the Development of Grape Berries
2.8. Enhancement of Negative Regulation of VvmiR166s on VvHB15 at Stone-Hardening Stage under GA-Induced Grape Seedless Berry Development
2.9. Roles of VvmiR166s-VvHB15 Module in Modulation of Lignin Synthesis Process
2.10. Pathways of VvmiR166s-VvHB15 Modules in Manipulating Lignin Synthesis during GA-Induced Grape Seedless Berry Development
3. Discussion
4. Materials and Methods
4.1. Plant Materials and GA Treatments
4.2. Prediction of the Targets of VvmiR166s and Their Functions Using Bio-Informatics
4.3. Motif Analysis of the Promoters from VvmiR166s and VvHOX32, VvREV and VvHB15
4.4. Construction of Phylogenetic Tree
4.5. RNA Extraction and cDNA Synthesis
4.6. Expression Analysis of VvmiR166s Using qRT-PCR
4.7. Expression Analysis of VvHOX32, VvREV and VvHB15
4.8. Mapping mRNA Cleavage Sites with RLM-RACE and PPM-RACE
4.9. Sub-Cellular Localization
4.10. Construction of the Expression Vector and Agrobacterium-Mediated Tobacco Transient Transformation
4.11. Data Analysis
5. Conclusions
Supplementary Materials
Author Contributions
Funding
Institutional Review Board Statement
Informed Consent Statement
Data Availability Statement
Conflicts of Interest
References
- Acheampong, A.K.; Hu, J.; Rotman, A.; Zheng, C.; Halaly, T.; Takebayashi, Y.; Jikumaru, Y.; Kamiya, Y.; Lichter, A.; Sun, T.P.; et al. Functional characterization and developmental expression profiling of gibberellin signalling components in Vitis vinifera. J. Exp. Bot. 2015, 66, 1463–1476. [Google Scholar] [CrossRef]
- Ikeda, F.; Ishikawa, K.; Yazawa, S.; Baba, T. Induction of compact clusters with large seedless berries in the grape cultivar ’Fujiminori’ by the use of streptomycin, gibberellins, and CPPU. Vitic.-Living Limit. 2004, 640, 361–368. [Google Scholar] [CrossRef]
- Wang, C.; Sudisha, J.; Zhang, W.; Mostafa, A.; Fang, J. Spatio-temporal expression of miRNA159 family members and their GAMYB target gene during the modulation of gibberellin-induced grapevine parthenocarpy. J. Exp. Bot. 2018, 69, 3639–3650. [Google Scholar] [CrossRef] [PubMed]
- Zhang, W.; Mostafa, A.; Jiu, S.; Guan, L.; Han, J.; Zheng, T.; Jia, H.; Song, C.; Fang, J.; Wang, C. VvmiR160s/VvARFs interaction and their spatio-temporal expression/cleavage products during GA-induced grape parthenocarpy. BMC Plant Biol. 2019, 19, 111. [Google Scholar] [CrossRef] [PubMed]
- Fujishima, H.; Matsuda, K.; Ushijima, K.; Yahata, D.; Shiraishi, M.; Chijiwa, H. Differences in Fruit Quality between Gibberellin-Treated and Untreated Berries of ‘Kyoho’ Grapes. Hortic. Res. 2012, 11, 405–410. [Google Scholar] [CrossRef]
- Or, E.; Oren, O.; Halaly-Basha, T.; Koilkonda, P.; Shi, Z.; Zheng, C.; Acheampong, A.K. Gibberellin induced shot berry formation in cv. Early Sweet is a direct consequence of high fruit set. Hortic. Res. 2020, 7, 169. [Google Scholar] [CrossRef]
- Xiong, H.; Lu, D.; Li, Z.; Wu, J.; Ning, X.; Lin, W.; Bai, Z.; Zheng, C.; Sun, Y.; Chi, W.; et al. The DELLA-ABI4-HY5 module integrates light and gibberellin signals to regulate hypocotyl elongation. Plant Commun. 2023, 4, 100597. [Google Scholar] [CrossRef]
- Ariizumi, T.; Steber, C.M. Seed germination of GA-insensitive sleepy1 mutants does not require RGL2 protein disappearance in Arabidopsis. Plant Cell 2007, 19, 791–804. [Google Scholar] [CrossRef][Green Version]
- Yanai, O.; Shani, E.; Russ, D.; Ori, N. Gibberellin partly mediates LANCEOLATE activity in tomato. Plant J. 2011, 68, 571–582. [Google Scholar] [CrossRef]
- Randoux, M.; Jeauffre, J.; Thouroude, T.; Vasseur, F.; Hamama, L.; Juchaux, M.; Sakr, S.; Foucher, F. Gibberellins regulate the transcription of the continuous flowering regulator, RoKSN, a rose TFL1 homologue. J. Exp. Bot. 2012, 63, 6543–6554. [Google Scholar] [CrossRef]
- Giacomelli, L.; Rota-Stabelli, O.; Masuero, D.; Acheampong, A.K.; Moretto, M.; Caputi, L.; Vrhovsek, U.; Moser, C. Gibberellin metabolism in Vitis vinifera L. during bloom and fruit-set: Functional characterization and evolution of grapevine gibberellin oxidases. J. Exp. Bot. 2013, 64, 4403–4419. [Google Scholar] [CrossRef]
- Yang, S.; Zhang, X.; Lu, G.; Wang, C.; Wang, R. Regulation of gibberellin on gene expressions related with the lignin biosynthesis in ‘Wangkumbae’ pear (Pyrus pyrifolia Nakai) fruit. Plant Growth Regul. 2015, 76, 127–134. [Google Scholar] [CrossRef]
- Li, X.; Li, S.; Lin, J. Effect of GA3 spraying on lignin and auxin contents and the correlated enzyme activities in bayberry (Myrica rubraBieb.) during flower-bud induction. Plant Sci. 2003, 164, 549–556. [Google Scholar] [CrossRef]
- Huang, D.; Wang, S.; Zhang, B.; Shang-Guan, K.; Shi, Y.; Zhang, D.; Liu, X.; Wu, K.; Xu, Z.; Fu, X.; et al. A Gibberellin-Mediated DELLA-NAC Signaling Cascade Regulates Cellulose Synthesis in Rice. Plant Cell 2015, 27, 1681–1696. [Google Scholar] [CrossRef] [PubMed]
- Han, J.; Fang, J.; Wang, C.; Yin, Y.; Sun, X.; Leng, X.; Song, C. Grapevine microRNAs responsive to exogenous gibberellin. BMC Genom. 2014, 15, 111. [Google Scholar] [CrossRef] [PubMed]
- Bai, Y.; Zhang, X.; Xuan, X.; Ehsan, S.; Liu, F.; Dong, T.; Pei, D.; Fang, J.; Wang, C. miR3633a-GA3ox2 Module Conducts Grape Seed-Embryo Abortion in Response to Gibberellin. Int. J. Mol. Sci. 2022, 23, 8767. [Google Scholar] [CrossRef] [PubMed]
- Wang, P.; Xuan, X.; Su, Z.; Wang, W.; Mostafa, A.; Jiu, S.; Zhang, X.; Liu, Z.; Wang, X.; Wang, C.; et al. Identification of miRNAs-mediated seed and stone-hardening regulatory networks and their signal pathway of GA-induced seedless berries in grapevine (V. vinifera L.). BMC Plant Biol. 2021, 21, 442. [Google Scholar] [CrossRef]
- Li, X.; Xie, X.; Li, J.; Cui, Y.; Hou, Y.; Zhai, L.; Wang, X.; Fu, Y.; Liu, R.; Bian, S. Conservation and diversification of the miR166 family in soybean and potential roles of newly identified miR166s. BMC Plant Biol. 2017, 17, 32. [Google Scholar] [CrossRef]
- Singh, A.; Roy, S.; Singh, S.; Das, S.S.; Gautam, V.; Yadav, S.; Kumar, A.; Singh, A.; Samantha, S.; Sarkar, A.K. Sarkar Phytohormonal crosstalk modulates the expression of miR166/165s, target Class III HD-ZIPs, and KANADI genes during root growth in Arabidopsis thaliana. Sci. Rep. 2017, 7, 3408. [Google Scholar] [CrossRef]
- Miyashima, S.; Honda, M.; Kayo, H.; Tatematsu, K.; Hashimoto, T.; Sato-Nara, K.; Okada, K.; Nakajima, K. A Comprehensive Expression Analysis of the Arabidopsis MICRORNA165/6 Gene Family during Embryogenesis Reveals a Conserved Role in Meristem Specification and a Non-Cell-Autonomous Function. Plant Cell Physiol. 2013, 54, 375–384. [Google Scholar] [CrossRef]
- Barik, S.; SarkarDas, S.; Singh, A.; Gautam, V.; Kumar, P.; Majee, M.; Sarkar, A.K. Phylogenetic analysis reveals conservation and diversification of micro RNA166 genes among diverse plant species. Genomics 2014, 103, 114–121. [Google Scholar] [CrossRef] [PubMed]
- Miyashima, S.; Koi, S.; Hashimoto, T.; Nakajima, K. Non-cell-autonomous microRNA165 acts in a dose-dependent manner to regulate multiple differentiation status in the Arabidopsis root. Development 2011, 138, 2303–2313. [Google Scholar] [CrossRef] [PubMed]
- Williams, L.; Grigg, S.P.; Xie, M.; Christensen, S.; Fletcher, J.C. Regulation of Arabidopsis shoot apical meristem and lateral organ formation by microRNA miR166g and its AtHD-ZIP target genes. Development 2005, 132, 3657–3668. [Google Scholar] [CrossRef] [PubMed]
- Kim, Y.S.; Kim, S.G.; Lee, M.; Lee, I.; Park, H.Y.; Seo, P.J.; Jung, J.H.; Kwon, E.J.; Suh, S.W.; Paek, K.H.; et al. HD-ZIP III activity is modulated by competitive inhibitors via a feedback loop in Arabidopsis shoot apical meristem development. Plant Cell 2008, 20, 920–933. [Google Scholar] [CrossRef]
- Carlsbecker, A.; Lee, J.Y.; Roberts, C.J.; Dettmer, J.; Lehesranta, S.; Zhou, J.; Lindgren, O.; Moreno-Risueno, M.A.; Vatén, A.; Thitamadee, S.; et al. Cell signalling by microRNA165/6 directs gene dose-dependent root cell fate. Nature 2010, 465, 316–321. [Google Scholar] [CrossRef]
- Ko, J.H.; Prassinos, C.; Han, K.H. Developmental and seasonal expression of PtaHB1, a Populus gene encoding a class III HD-Zip protein, is closely associated with secondary growth and inversely correlated with the level of microRNA (miR166). New Phytol. 2006, 169, 469–478. [Google Scholar] [CrossRef]
- Floyd, S.K.; Zalewski, C.S.; Bowman, J.L. Evolution of class III homeodomain-leucine zipper genes in streptophytes. Genetics 2006, 173, 373–388. [Google Scholar] [CrossRef]
- Wenkel, S.; Emery, J.; Hou, B.H.; Evans, M.M.; Barton, M.K. A feedback regulatory module formed by LITTLE ZIPPER and HD-ZIPIII genes. Plant Cell 2007, 19, 3379–3390. [Google Scholar] [CrossRef]
- Jung, J.-H.; Park, C.-M. MIR166/165 genes exhibit dynamic expression patterns in regulating shoot apical meristem and floral development in Arabidopsis. Planta 2007, 225, 1327–1338. [Google Scholar] [CrossRef]
- Kim, J.; Jung, J.H.; Reyes, J.L.; Kim, Y.S.; Kim, S.Y.; Chung, K.S.; Kim, J.A.; Lee, M.; Lee, Y.; Narry Kim, V.; et al. microRNA-directed cleavage of ATHB15 mRNA regulates vascular development in Arabidopsis inflorescence stems. Plant J. 2005, 42, 84–94. [Google Scholar] [CrossRef]
- Cuperus, J.T.; Fahlgren, N.; Carrington, J.C. Evolution and functional diversification of MIRNA genes. Plant Cell 2011, 23, 431–442. [Google Scholar] [CrossRef] [PubMed]
- Floyd, S.K.; Bowman, J.L. Ancient microRNA regulation of gene expression in land plants. Nature 2004, 428, 485–486. [Google Scholar] [CrossRef] [PubMed]
- Boualem, A.; Laporte, P.; Jovanovic, M.; Laffont, C.; Plet, J.; Combier, J.P.; Niebel, A.; Crespi, M.; Frugier, F. MicroRNA166 controls root and nodule development in Medicago truncatula. Plant J. 2008, 54, 876–887. [Google Scholar] [CrossRef] [PubMed]
- Depuydt, S.; Christian, S.H. Hormone signaling crosstalk in plant growth regulation. Curr. Biol. 2011, 21, R365–R373. [Google Scholar] [CrossRef] [PubMed]
- Palatnik, J.F.; Allen, E.; Wu, X.; Schommer, C.; Schwab, R.; Carrington, J.C.; Weigel, D. Control of leaf morphogenesis by microRNAs. Nature 2003, 425, 257–263. [Google Scholar] [CrossRef] [PubMed]
- Jones-Rhoades, M.W.; Bartel, D.P. Computational identification of plant microRNAs and their targets, including a stress-induced miRNA. Mol. Cell 2004, 14, 787–799. [Google Scholar] [CrossRef]
- Bushati, N.; Stephen, M.C. MicroRNA function. Annu. Rev. Cell Dev. Biol. 2007, 23, 175–205. [Google Scholar] [CrossRef]
- Demura, T.; Fukuda, H. Transcriptional regulation in wood formation. Trends Plant Sci. 2007, 12, 64–70. [Google Scholar] [CrossRef]
- Bang, S.W.; Lee, D.K.; Jung, H.; Chung, P.J.; Kim, Y.S.; Choi, Y.D.; Suh, J.W.; Kim, J.K. Overexpression of OsTF1L, a rice HD-Zip transcription factor, promotes lignin biosynthesis and stomatal closure that improves drought tolerance. Plant Biotechnol. J. 2019, 17, 118–131. [Google Scholar] [CrossRef]
- Zhang, J.; Xie, M.; Gerald, A.T.; Wellington, M.; Chen, J. Recent Advances in the Transcriptional Regulation of Secondary Cell Wall Biosynthesis in the Woody Plants. Front. Plant Sci. 2018, 9, 1535. [Google Scholar] [CrossRef]
- Du, Q.; Utku, A.; Li, S.; Lina, G.; Sivakumar, P.; Qi, L.; Michael, G.H.; Wang, H. Activation of miR165b represses AtHB15 expression and induces pith secondary wall development in Arabidopsis. Plant J. 2015, 83, 388–400. [Google Scholar] [CrossRef] [PubMed]
- Hua, C.; Nadia, G.; Mohammed, N.S.; Sylvain, L.; Pierre, S.; Deborah, G.; Jacqueline, G.P. Identification of novel transcription factors regulating secondary cell wall formation in Arabidopsis. Front. Plant Sci. 2013, 4, 189. [Google Scholar]
- Singh, A.; Singh, S.; Panigrahi, K.C.; Reski, R.; Sarkar, A.K. Balanced activity of microRNA166/165 and its target transcripts from the class III homeodomain-leucine zipper family regulates root growth in Arabidopsis thaliana. Plant Cell Rep. 2014, 33, 945–953. [Google Scholar] [CrossRef] [PubMed]













Disclaimer/Publisher’s Note: The statements, opinions and data contained in all publications are solely those of the individual author(s) and contributor(s) and not of MDPI and/or the editor(s). MDPI and/or the editor(s) disclaim responsibility for any injury to people or property resulting from any ideas, methods, instructions or products referred to in the content. |
© 2023 by the authors. Licensee MDPI, Basel, Switzerland. This article is an open access article distributed under the terms and conditions of the Creative Commons Attribution (CC BY) license (https://creativecommons.org/licenses/by/4.0/).
Share and Cite
Bai, Y.; Wang, Z.; Luo, L.; Xuan, X.; Tang, W.; Qu, Z.; Dong, T.; Qi, Z.; Yu, M.; Wu, W.; et al. Characterization of VvmiR166s-Target Modules and Their Interaction Pathways in Modulation of Gibberellic-Acid-Induced Grape Seedless Berries. Int. J. Mol. Sci. 2023, 24, 16279. https://doi.org/10.3390/ijms242216279
Bai Y, Wang Z, Luo L, Xuan X, Tang W, Qu Z, Dong T, Qi Z, Yu M, Wu W, et al. Characterization of VvmiR166s-Target Modules and Their Interaction Pathways in Modulation of Gibberellic-Acid-Induced Grape Seedless Berries. International Journal of Molecular Sciences. 2023; 24(22):16279. https://doi.org/10.3390/ijms242216279
Chicago/Turabian StyleBai, Yunhe, Zhuangwei Wang, Linjia Luo, Xuxian Xuan, Wei Tang, Ziyang Qu, Tianyu Dong, Ziyang Qi, Mucheng Yu, Weimin Wu, and et al. 2023. "Characterization of VvmiR166s-Target Modules and Their Interaction Pathways in Modulation of Gibberellic-Acid-Induced Grape Seedless Berries" International Journal of Molecular Sciences 24, no. 22: 16279. https://doi.org/10.3390/ijms242216279
APA StyleBai, Y., Wang, Z., Luo, L., Xuan, X., Tang, W., Qu, Z., Dong, T., Qi, Z., Yu, M., Wu, W., Fang, J., & Wang, C. (2023). Characterization of VvmiR166s-Target Modules and Their Interaction Pathways in Modulation of Gibberellic-Acid-Induced Grape Seedless Berries. International Journal of Molecular Sciences, 24(22), 16279. https://doi.org/10.3390/ijms242216279
