Blood Biomarkers as Prognostic Indicators for Neurological Injury in COVID-19 Patients: A Systematic Review and Meta-Analysis
Abstract
:1. Introduction
2. Materials and Methods
2.1. Study Design
2.2. Eligibility Criteria
2.3. Search Strategies
2.4. Data Collection Process
2.4.1. Selection Process and Data Extraction
2.4.2. Quality Assessment
2.4.3. Effect Measures
2.5. Statistical Analysis
3. Results
3.1. Study Search, Selection, and Characteristics
3.2. Meta-Analysis
3.2.1. Elevated GFAP Level Is Associated with COVID-19
3.2.2. Increased GFAP Level Is Associated with COVID-19 Severity
3.2.3. Elevated NfL Level Is Associated with COVID-19
3.2.4. Increased NfL Level Is Associated with COVID-19 Severity
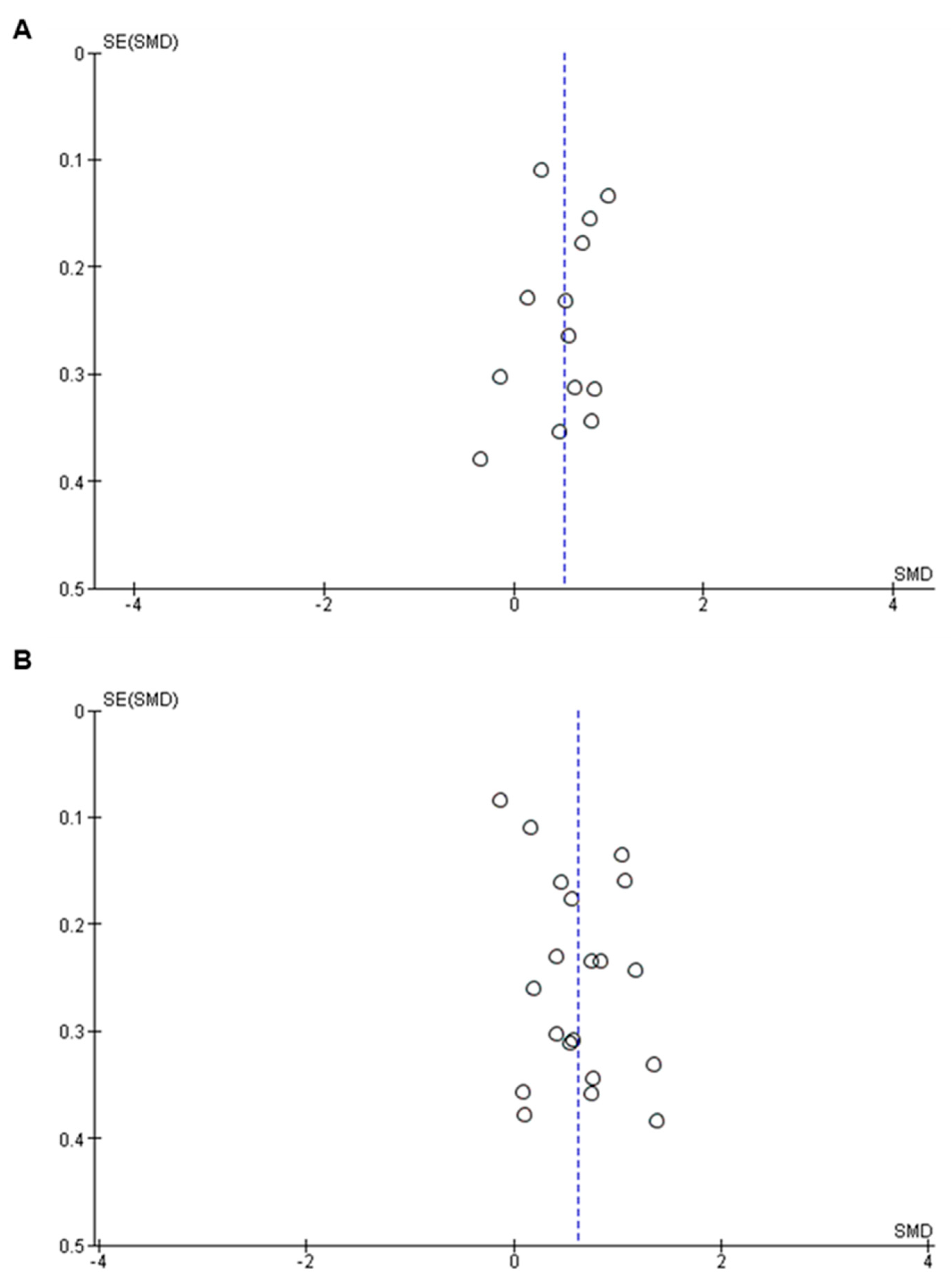
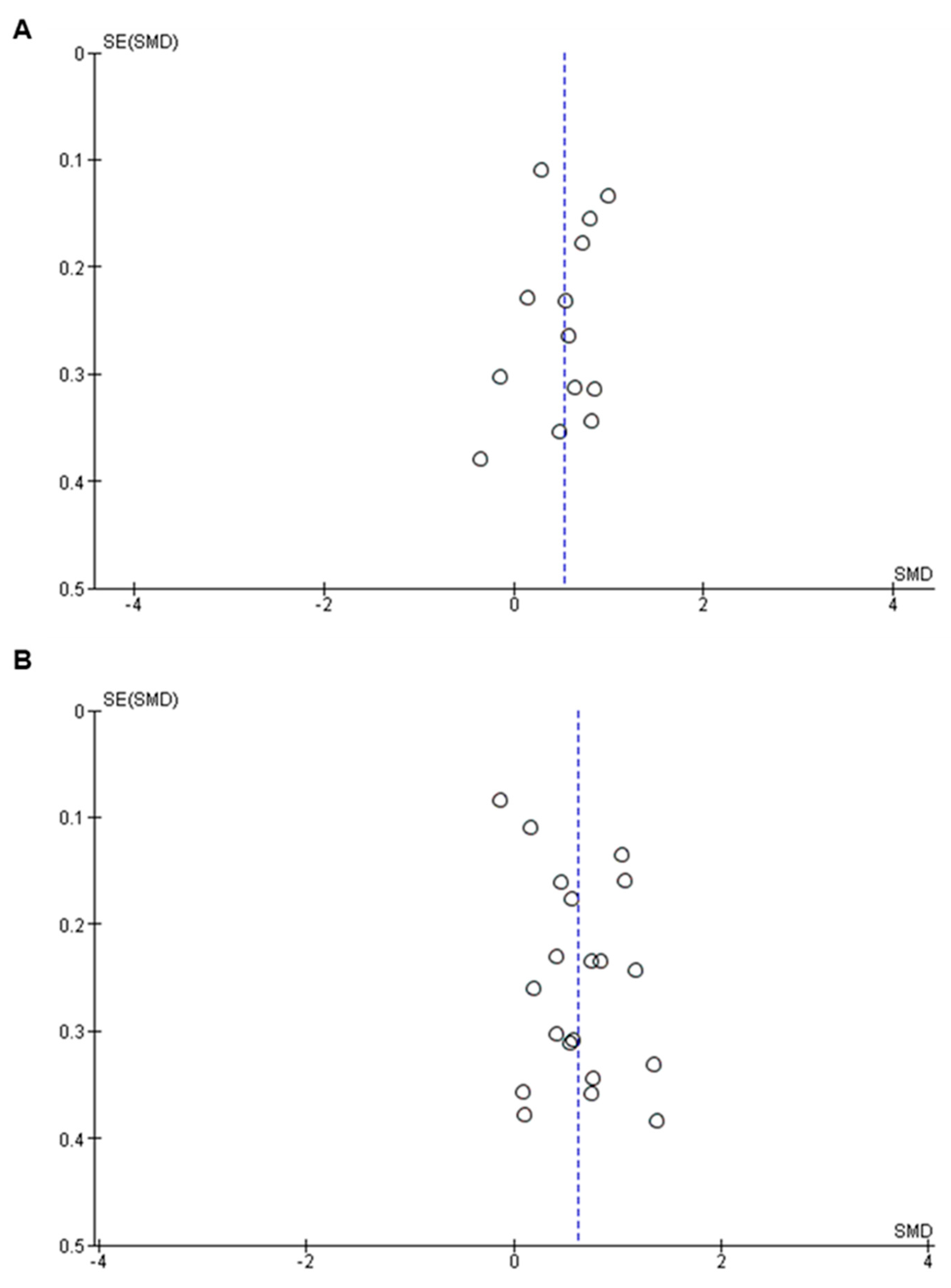
3.2.5. Low Risk of Publication Bias Observed in GFAP and NfL Studies
3.2.6. Subgroup Analysis Showed Increased GFAP in COVID-19 Patients
3.2.7. Subgroup Analysis Showed Increased NfL in COVID-19 Patients
4. Discussion
5. Conclusions
Supplementary Materials
Author Contributions
Funding
Institutional Review Board Statement
Informed Consent Statement
Data Availability Statement
Conflicts of Interest
Abbreviations
| AD | Alzheimer’s disease |
| BBB | Blood–brain barrier |
| CI | Confidence interval |
| CNS | Central nervous system |
| COVID-19 | Coronavirus disease 2019 |
| CSF | Cerebrospinal fluid |
| FiO2 | Fractional inspired oxygen |
| GFAP | Glial fibrillary acidic protein |
| ICU | Intensive care unit |
| IQR | Interquartile range |
| NfL | Neurofilament light chain |
| NOS | Newcastle–Ottawa scale |
| PaO2 | Partial pressure of oxygen |
| PRISMA | Preferred reporting items for systematic reviews and meta-analysis |
| RE | Random effect |
| SARS-CoV-2 | Severe acute respiratory syndrome coronavirus-2 |
| SD | Standard deviation |
| SMD | Standardized mean differences |
| UK | United Kingdom |
| USA | United States of America |
References
- Semiz, S. COVID-19 biomarkers: What did we learn from systematic reviews? Front. Cell Infect. Microbiol. 2022, 12, 1038908. [Google Scholar] [CrossRef] [PubMed]
- Xiao, M.F.; You, Z.J.; Zeng, C.; Huang, Z.B.; Dong, L. Update on neurological symptoms in patients infected with severe acute respiratory syndrome coronavirus-2. Ibrain 2021, 7, 351–361. [Google Scholar] [CrossRef] [PubMed]
- Vitalakumar, D.; Sharma, A.; Kumar, A.; Flora, S.J.S. Neurological manifestations in COVID-19 patients: A meta-analysis. ACS Chem. Neurosci. 2021, 12, 2776–2797. [Google Scholar]
- He, Y.; Bai, X.; Zhu, T.; Huang, J.; Zhang, H. What can the neurological manifestations of COVID-19 tell us: A meta-analysis. J. Transl. Med. 2021, 19, 363. [Google Scholar] [CrossRef] [PubMed]
- Yassin, A.; Nawaiseh, M.; Shaban, A.; Alsherbini, K.; El-Salem, K.; Soudah, O.; Abu-Rub, M. Neurological manifestations and complications of coronavirus disease 2019 (COVID-19): A systematic review and meta-analysis. BMC Neurol. 2021, 21, 138. [Google Scholar] [CrossRef] [PubMed]
- Deana, C.; Verriello, L.; Pauletto, G.; Corradi, F.; Forfori, F.; Cammarota, G.; Bignami, E.; Vetrugno, L.; Boveet, T. Insights into neurological dysfunction of critically ill COVID-19 patients. Trends Anaesth. Crit. Care 2021, 36, 30–38. [Google Scholar] [CrossRef]
- World Health Organization. Neurology and COVID-19: Scientific Brief. 2021. Available online: https://www.who.int/publications/i/item/WHO-2019-nCoV-Sci-Brief-Neurology-2021.1 (accessed on 20 March 2023).
- Tyagi, M.; Kapoor, I.; Mahajan, C.; Gupta, N.; Prabhakar, H. Brain biomarkers in patients with COVID-19 and neurological manifestations: A narrative review. J. Neuroanaesth. Crit. Care 2022, 9, 10–15. [Google Scholar] [CrossRef]
- Pavel, B.; Moroti, R.; Spataru, A.; Popescu, M.R.; Panaitescu, A.M.; Zagrean, A.M. Neurological manifestations of SARS-CoV-2 infection: A narrative review. Brain Sci. 2022, 12, 1531. [Google Scholar] [CrossRef]
- Zeggeren, I.E.V.; Horst, L.T.; Heijst, H.; Teunissen, C.E.; Beek, D.V.D.; Brouwer, M.C. Neurofilament light chain in central nervous system infections: A prospective study of diagnostic accuracy. Sci. Rep. 2022, 12, 14140. [Google Scholar] [CrossRef]
- Elahi, F.M.; Casaletto, K.B.; La Joie, R.; Walters, S.M.; Harvey, D.; Wolf, A.; Ed-wards, L.; Rivera-Contreras, W.; Karydas, A.; Cobigo, Y.; et al. Plasma biomarkers of astrocytic and neuronal dysfunction in early- and late-onset Alzheimer’s disease. Alzheimer’s Dement. 2020, 16, 681–695. [Google Scholar] [CrossRef]
- Baiardi, S.; Quadalti, C.; Mammana, A.; Dellavalle, S.; Zenesini, C.; Sambati, L.; Pantieri, R.; Polischi, B.; Romano, L.; Sufritti, M.; et al. Diagnostic value of plasma p-tau181, NfL, and GFAP in a clinical setting cohort of prevalent neurodegenerative dementias. Alzheimer’s Res. Ther. 2022, 14, 153. [Google Scholar] [CrossRef]
- Pereira, J.B.; Janelidze, S.; Smith, R.; Mattsson-Carlgren, N.; Palmqvist, S.; Teunissen, C.E.; Zetterberg, H.; Stomrud, E.; Ashton, N.J.; Blennow, K.; et al. Plasma GFAP is an early marker of amyloid-β but not tau pathology in Alzheimer’s disease. Brain 2021, 144, 3505–3516. [Google Scholar] [CrossRef] [PubMed]
- Leuzy, A.; Mattsson-Carlgren, N.; Palmqvist, S.; Janelidze, S.; Dage, J.L.; Hansson, O. Blood-based biomarkers for Alzheimer’s disease. EMBO Mol. Med. 2022, 14, e14408. [Google Scholar] [CrossRef] [PubMed]
- Amalia, L. Glial fibrillary acidic protein (GFAP): Neuroinflammation biomarker in acute ischemic stroke. J. Inflamm. Res. 2021, 14, 7501–7506. [Google Scholar] [CrossRef] [PubMed]
- Generoso, J.; Quevedo, L.B.D.; Cattani, M.; Lodetti, B.F.; Sousa, L.; Collodel, A.; Diaz, A.P.; Dal-Pizzol, F. Neurobiology of COVID-19: How can the virus affect the brain? Braz. J. Psychiatry 2021, 43, 650–664. [Google Scholar] [CrossRef] [PubMed]
- Kanberg, N.; Ashton, N.J.; Andersson, L.M.; Yilmaz, A.; Lindh, M.; Nilsson, S.; Price, R.W.; Blennow, K.; Zetterberg, H.; Gisslén, M. Neurochemical evidence of astrocytic and neuronal injury commonly found in COVID-19. Neurology 2020, 95, e1754–e1759. [Google Scholar] [CrossRef] [PubMed]
- Plantone, D.; Locci, S.; Bergantini, L.; Manco, C.; Cortese, R.; Meocci, M.; Cavallaro, D.; d’Alessandro, M.; Bargagli, E.; De Stefano, N. Brain neuronal and glial damage during acute COVID-19 infection in absence of clinical neurological manifestations. J. Neurol. Neurosurg. Psychiatry 2022, 93, 1343–1348. [Google Scholar] [CrossRef] [PubMed]
- Prudencio, M.; Erben, Y.; Marquez, C.P.; Jansen-west, K.R.; Franco-mesa, C.; Heckman, M.G.; White, L.J.; Dunmore, J.A.; Cook, C.N.; Lilley, M.T.; et al. Serum neurofilament light protein correlates with unfavorable clinical outcomes in hospitalized patients with COVID-19. Sci. Transl. Med. 2021, 13, eabi7643. [Google Scholar] [CrossRef] [PubMed]
- Havdal, L.B.; Berven, L.L.; Selvakumar, J.; Stiansen-sonerud, T.; Leegaard, T.M.; Tjade, T.; Zetterberg, H.; Blennow, K.; Wyller, V.B.B. Neurological involvement in COVID-19 among non-hospitalized adolescents and young adults. Front. Neurol. 2022, 13, 915712. [Google Scholar] [CrossRef]
- Sahin, B.E.; Celikbilek, A.; Kocak, Y.; Saltoglu, G.T.; Konar, N.M.; Hizmali, L. Plasma biomarkers of brain injury in COVID-19 patients with neurological symptoms. J. Neurol. Sci. 2022, 439, 120324. [Google Scholar] [CrossRef]
- Lei, J.; Gao, G.; Feng, J.; Jin, Y.; Wang, C.; Mao, Q.; Jiang, J. Glial fibrillary acidic protein as a biomarker in severe traumatic brain injury patients: A prospective cohort study. Crit. Care 2015, 19, 362. [Google Scholar] [CrossRef] [PubMed]
- Gaiottino, J.; Norgren, N.; Dobson, R.; Topping, J.; Nissim, A.; Malaspina, A.; Bestwick, J.P.; Monsch, A.U.; Regeniter, A.; Lindberg, R.L.; et al. Increased neurofilament light chain blood levels in neurodegenerative neurological diseases. PLoS ONE 2013, 8, e75091. [Google Scholar] [CrossRef]
- Widyadharma, I.P.E.; Tedyanto, E.H. Serum neurofilament light chain: A potential biomarker for peripheral neuropathy. Siriraj Med. J. 2022, 74, 714–720. [Google Scholar] [CrossRef]
- Verde, F.; Milone, I.; Bulgarelli, I.; Peverelli, S.; Colombrita, C.; Maranzano, A.; Calcagno, N.; Ticozzi, N.; Perego, G.B.; Parati, G.; et al. Serum neurofilament light chain levels in COVID-19 patients without major neurological manifestations. J. Neurol. 2022, 269, 5691–5701. [Google Scholar] [CrossRef] [PubMed]
- Guasp, M.; Munoz-Sanchez, G.; Martínez-Hernández, E.; Santana, D.; Carbayo, A.; Naranjo, L.; Bolós, U.; Framil, M.; Saiz, A.; Balasa, M.; et al. CSF biomarkers in COVID-19-associated encephalopathy and encephalitis predict long-term outcome. Front. Immunol. 2022, 13, 866153. [Google Scholar] [CrossRef]
- Zingaropoli, M.A.; Iannetta, M.; Piermatteo, L.; Pasculli, P.; Latronico, T.; Mazzuti, L.; Campogiani, L.; Duca, L.; Ferraguti, G.; De Michele, M.; et al. Neuro-axonal damage and alteration of blood-brain barrier integrity in COVID-19 patients. Cells 2022, 11, 2480. [Google Scholar] [CrossRef] [PubMed]
- Masvekar, R.R.; Kosa, P.; Jin, K.; Dobbs, K.; Stack, M.A.; Castagnoli, R.; Quaresima, V.; Su, H.C.; Imberti, L.; Notarangelo, L.D.; et al. Prognostic value of serum/plasma neurofilament light chain for COVID-19-associated mortality. Ann. Clin. Transl. Neurol. 2022, 9, 622–632. [Google Scholar] [CrossRef] [PubMed]
- Gaetani, L.; Blennow, K.; Calabresi, P.; Di Filippo, M.; Parnetti, L.; Zetterberg, H. Neurofilament light chain as a biomarker in neurological disorders. J. Neurol. Neurosurg. Psychiatry 2019, 90, 870–881. [Google Scholar] [CrossRef]
- Silva, R.C.; da Rosa, M.M.; Leão, H.I.; Silva, E.D.L.; Ferreira, N.T.; Albuquerque, A.P.B.; Duarte, G.S.; Siqueira, A.M.; Pereira, M.C.; Rêgo, M.J.B.M.; et al. Brain damage serum biomarkers induced by COVID-19 in patients from northeast Brazil. J. Neurovirol. 2023, 29, 180–186. [Google Scholar] [CrossRef]
- Telser, J.; Grossmann, K.; Weideli, O.C.; Hillmann, D.; Wohlwend, N.; Velez, L.; Velez, L.; Kuhle, J.; Maleska, A.; Benkert, P.; et al. The Role of Serum Brain Injury Biomarkers in Individuals with a Mild-to-Moderate COVID-19 Infection and Long-COVID-19-Results from the Prospective Population-Based COVI-GAPP Study. 2023. Available online: https://www.medrxiv.org/content/10.1101/2023.02.15.23285972v1 (accessed on 1 March 2023).
- Geis, T.; Brandstetter, S.; Toncheva, A.A.; Laub, O.; Leipold, G.; Wagner, R.; Kabesch, M.; Kasser, S.; Kuhle, J.; Wellmann, S.; et al. Serum neurofilament light chain (sNfL) values in a large cross-sectional population of children with asymptomatic to moderate COVID-19. J. Neurol. 2021, 268, 3969–3974. [Google Scholar] [CrossRef]
- Page, M.J.; Moher, D.; Bossuyt, P.M.; Boutron, I.; Hoffmann, T.C.; Mulrow, C.D.; Shamseer, L.; Tetzlaff, J.M.; Akl, E.A.; Brennan, S.E.; et al. PRISMA 2020 explanation and elaboration: Updated guidance and exemplars for reporting systematic reviews. BMJ 2021, 372, n160. [Google Scholar] [CrossRef] [PubMed]
- Wan, X.; Wang, W.; Liu, J.; Tong, T. Estimating the sample mean and standard deviation from the sample size, median, range and/or interquartile range. BMC Med. Res. Methodol. 2014, 14, 135. [Google Scholar] [CrossRef] [PubMed]
- Kanberg, N.; Simrén, J.; Edén, A.; Andersson, L.M.; Nilsson, S.; Ashton, N.J.; Sundvall, P.D.; Nellgård, B.; Blennow, K.; Zetterberg, H.; et al. Neurochemical signs of astrocytic and neuronal injury in acute COVID-19 normalizes during long-term follow-up. EBioMedicine 2021, 70, 103512. [Google Scholar] [CrossRef] [PubMed]
- Smeele, P.J.; Vermunt, L.; Blok, S.; Duitman, J.W.; Biobank, C.; Nossent, E.J.; van Agtmael, M.A.; Heunks, L.M.A.; Horn, J.; Bogaard, H.J.; et al. Neurofilament light increases over time in severe COVID-19 and is associated with delirium. Brain Commun. 2022, 4, fcac195. [Google Scholar] [CrossRef] [PubMed]
- Sahin, B.E.; Celikbilek, A.; Kocak, Y.; Ilanbey, B.; Konar, N.M.; Hizmali, L. Neurological symptoms and neuronal damage markers in acute COVID-19: Is there a correlation ? A pilot study. J. Med. Virol. 2022, 95, e28240. [Google Scholar] [CrossRef] [PubMed]
- Bozzetti, S.; Ferrari, S.; Zanzoni, S.; Alberti, D.; Braggio, M.; Carta, S.; Piraino, F.; Gabbiani, D.; Girelli, D.; Nocini, R.; et al. Neurological symptoms and axonal damage in COVID-19 survivors: Are there sequelae? Immunol. Res. 2021, 69, 553–557. [Google Scholar] [CrossRef]
- Peluso, M.J.; Sans, H.M.; Forman, C.A.; Nylander, A.N.; Ho, H.E.; Lu, S.; Goldberg, S.A.; Hoh, R.; Tai, V.; Munter, S.E.; et al. Plasma markers of neurologic injury and inflammation in people with self-reported neurologic post-acute sequelae of SARS-CoV-2 infection. Neurol. Neuroimmunol. Neuroinflamm. 2022, 9, e200003. [Google Scholar] [CrossRef] [PubMed]
- Sun, B.; Tang, N.; Peluso, M.J.; Iyer, N.S.; Torres, L.; Donatelli, J.L.; Munter, S.E.; Nixon, C.C.; Rutishauser, R.L.; Rodriguez-Barraquer, I.; et al. Characterization and biomarker analyses of post-COVID-19 complications and neurological manifestations. Cells 2021, 10, 386. [Google Scholar] [CrossRef]
- Hege, A.; Einar, A.; Hogestol, A.; Haug, T.; Jan, P.; Holter, C.; Stiksrud, B.; Quist-Paulsen, E.; Berg, T.; Barratt-Due, A.; et al. Blood neurofilament light concentration at admittance: A potential prognostic marker in COVID-19. J. Neurol. 2021, 268, 3574–3583. [Google Scholar]
- Lorenzo, R.D.; Lore, N.I.; Finardi, A.; Mandelli, A.; Cirillo, D.M.; Tresoldi, C.; Benedetti, F.; Ciceri, F.; Rovere-Querini, P.; Comi, G.; et al. Blood neurofilament light chain and total tau levels at admission predict death in COVID-19 patients. J. Neurol. 2021, 268, 4436–4442. [Google Scholar] [CrossRef]
- Erben, Y.; Prudencio, M.; Marquez, C.P.; Jansen, W.K.; Heckman, M.G.; White, L.J.; Dunmore, J.A.; Cook, C.N.; Meredith, T.; Lilley, M.T.; et al. Neurofilament light chain and vaccination status associate with clinical outcomes in severe COVID-19. iScience 2022, 25, 105272. [Google Scholar] [CrossRef] [PubMed]
- Hirzel, C.; Grandgirard, D.; Surial, B.; Wider, M.F.; Leppert, D.; Kuhle, J.; Walti, L.N.; Schefold, J.C.; Spinett, T.; Suter-Riniker, F.; et al. Neuro-axonal injury in COVID-19: The role of systemic inflammation and SARS-CoV-2 specific immune response. Ther. Adv. Neurol. Disord. 2022, 15, 17562864221080528. [Google Scholar] [CrossRef] [PubMed]
- Savarraj, J.; Park, E.S.; Colpo, G.D.; Hinds, S.N.; Morales, D.; Ahnstedt, H.; Paz, A.S.; Assing, A.; Liu, F.; Juneja, S.; et al. Brain injury, endothelial injury and inflammatory markers are elevated and express sex-specific alterations after COVID-19. J. Neuroinflammation 2021, 18, 277. [Google Scholar] [CrossRef] [PubMed]
- Garcia, M.A.; Barreras, P.V.; Lewis, A.; Pinilla, G.; Sokoll, L.J.; Kickler, T.; Mostafa, H.; Caturegli, M.; Moghekar, A.; Fitzgerald, K.C.; et al. Cerebrospinal fluid in COVID-19 neurological complications: Neuroaxonal damage, anti-SARS-CoV-2 antibodies but no evidence of cytokine storm. J. Neurol. Sci. 2021, 427, 117517. [Google Scholar] [CrossRef] [PubMed]
- Kokkoris, S.; Stamataki, E.; Emmanouil, G.; Psachoulia, C.; Ntaidou, T.; Maragouti, A.; Kanavou, A.; Malachias, S.; Christodouli, F.; Papachatzakis, I.; et al. Serum inflammatory and brain injury biomarkers in COVID-19 patients admitted to intensive care unit: A pilot study. eNeurologicalSci 2022, 29, 100434. [Google Scholar] [CrossRef] [PubMed]
- Virhammar, J.; Naas, A.; Fällmar, D.; Cunningham, J.L.; Klang, A.; Ashton, N.J.; Jackmann, S.; Westman, G.; Frithiof, R.; Blennow, K.; et al. Biomarkers for central nervous system injury in cerebrospinal fluid are elevated in COVID-19 and associated with neurological symptoms and disease severity. Eur. J. Neurol. 2021, 28, 3324–3331. [Google Scholar] [CrossRef] [PubMed]
- Spanos, M.; Shachar, S.; Sweeney, T.; Lehmann, H.I.; Gukulnath, P.; Li, G.; Sigal, G.B.; Nagaraj, R.; Bathala, P.; Rana, F.; et al. Elevation of neural injury markers in patients with neurologic sequelae after hospitalization for SARS-CoV-2 infection. iScience 2022, 25, 104833. [Google Scholar] [CrossRef]
- Frontera, J.A.; Boutajangout, A.; Masurkar, A.V.; Betensky, R.A.; Ge, Y.; Vedvyas, A.; Debure, L.; Moreira, A.; Lewis, A.; Huang, J.; et al. Comparison of serum neurodegenerative biomarkers among hospitalized COVID-19 patients versus non-COVID-19 subjects with normal cognition, mild cognitive impairment, or Alzheimer’ s dementia. Alzheimer’s Dement. 2022, 18, 899–910. [Google Scholar] [CrossRef]
- Espindola, M.O.; Brando, C.O.; Cortes, Y.; Gomes, Y.C.P.; Siqueira, M.; Soares, C.N.; Bezerra Leite, A.C.C.; Torezani, G.; Araujo, A.W.C.; Silva, M.T.T. Cerebrospinal fluid findings in neurological diseases associated with COVID-19 and insights into mechanisms of disease development. Int. J. Infect. Dis. 2021, 102, 155–162. [Google Scholar] [CrossRef]
- Dekosky, S.T.; Kochanek, P.M.; Valadka, A.B.; Clark, R.S.B.; Chou, S.H.; Au, A.K.; Horvat, C.; Jha, R.M.; Mannix, R.; Wisniewski, S.R.; et al. Blood biomarkers for detection of brain injury in COVID-19 patients. J. Neurotrauma 2021, 38, 1–43. [Google Scholar] [CrossRef]
- Eden, A.; Simren, J.; Price, R.W.; Zetterberg, H.; Gisslen, M. Neurochemical biomarkers to study CNS effects of COVID-19: A narrative review and synthesis. J. Neurochem. 2021, 159, 61–77. [Google Scholar] [CrossRef] [PubMed]
- Alexiou, G.A.; Lianos, G.D.; Alexiou, E.S.; Voulgaris, S. Biomarkers to safely discharge head trauma patients in the COVID-19 pandemic era. Biomark. Med. 2021, 15, 319–321. [Google Scholar] [CrossRef] [PubMed]
- Samara, A.; Herlenius, E.; O’Brien, P.; Khalil, A. Potential role of neurofilament in COVID-19 and preeclampsia. Cell Rep. Med. 2022, 3, 100490. [Google Scholar] [CrossRef] [PubMed]
- Bonetto, V.; Pasetto, L.; Lisi, I.; Carbonara, M.; Zangari, R.; Ferrari, E.; Punzi, V.; Luotti, S.; Bottino, N.; Biagianti, B.; et al. Markers of blood-brain barrier disruption increase early and persistently in COVID-19 patients with neurological manifestations. Front. Immunol. 2022, 13, 1070379. [Google Scholar] [CrossRef] [PubMed]
- Eden, A.; Grahn, A.; Bremell, D.; Aghvanyan, A.; Bathala, P.; Fuchs, D.; Gostner, J.; Hagberg, L.; Kanberg, N.; Kanjananimmanont, S.; et al. Viral antigen and inflammatory biomarkers in cerebrospinal fluid in patients with COVID-19 infection and neurologic symptoms compared with control participants without infection or neurologic symptoms. JAMA Netw. Open 2022, 5, e2213253. [Google Scholar] [CrossRef] [PubMed]
- Ziff, O.J.; Ashton, N.J.; Mehta, P.R.; Brown, R.; Athauda, D.; Heaney, J.; Heslegrave, A.J.; Benedet, A.L.; Blennow, J.; Checkley, A.M.; et al. Amyloid processing in COVID-19 associated neurological syndromes. J. Neurochem. 2022, 161, 146–157. [Google Scholar] [CrossRef] [PubMed]
- Needham, E.J.; Ren, A.L.; Digby, R.J.; Outtrim, J.G.; Chatfield, D.A.; Manktelow, A.E.; Newcombe, V.F.J.; Doffinger, R.; Barcenas-Morales, G.; Fonseca, C.; et al. Brain Injury in COVID-19 Is Associated with Autoinflammation and Autoimmunity. 2021. Available online: https://www.medrxiv.org/content/10.1101/2021.12.03.21266112v1.full (accessed on 1 March 2023).
- Paterson, R.W.; Benjamin, L.A.; Mehta, P.R.; Brown, R.L.; Athauda, D.; Ashton, N.J.; Leckey, C.A.; Ziff, O.J.; Heaney, J.; Heslegrave, A.J.; et al. Serum and cerebrospinal fluid biomarker profiles in acute SARS-CoV-2-associated neurological syndromes. Brain Commun. 2021, 3, fcab099. [Google Scholar] [CrossRef] [PubMed]
- Hay, M.; Ryan, L.; Huentelman, M.; Konhilas, J.; Hoyer-kimura, C.; Thomas, G.; Serrano, G.E.; Reiman, E.M.; Blennow, K.; Zetterberg, H.; et al. Serum neurofilament light is elevated in COVID-19-positive adults in the ICU and is associated with co-morbid cardiovascular disease, neurological complications, and acuity of illness. Cardiol. Cardiovasc. Med. 2021, 5, 551–565. [Google Scholar] [CrossRef]
- Hanson, B.A.; Visvabharathy, L.; Ali, S.T.; Kang, A.K.; Patel, T.R. Plasma biomarkers of neuropathogenesis in hospitalized patients with COVID-19 and those with post-acute sequelae of SARS-CoV-2 infection. Neurol. Neuroimmunol. Neuroinflam. 2022, 9, e1151. [Google Scholar] [CrossRef]
- Ameres, M.; Brandstetter, S.; Toncheva, A.A.; Kabesch, M.; Leppert, D.; Kuhle, J.; Wellmann, S. Association of neuronal injury blood marker neurofilament light chain with mild to moderate COVID-19. J. Neurol. 2020, 267, 3476–3478. [Google Scholar] [CrossRef]
- Lennol, M.P.; Ashton, N.J.; Moreno-Perez, O.; Garcia-Ayllon, M.S.; Ramos-Rincon, J.M.; Adres, M.; León-Ramírez, J.M.; Boix, V.; Joan Gil, J.; Blennow, K.; et al. Transient changes in the plasma of astrocytic and neuronal injury biomarkers in COVID-19 patients without neurological syndromes. Int. J. Mol. Sci. 2023, 24, 2715. [Google Scholar] [CrossRef] [PubMed]
- Cooper, J.; Stukas, S.; Hoiland, R.L.; Fergusson, N.A.; Thiara, S.; Foster, D.; Mitra, A.; Stoessl, J.A.; Panenka, W.J.; Sekhon, M.S.; et al. Quantification of neurological blood-based biomarkers in critically ill patients with COVID-19. Crit. Care Explor. 2020, 2, e0238. [Google Scholar] [CrossRef] [PubMed]
- Xu, E.; Xie, Y.; Al-aly, Z. Long-term neurologic outcomes of COVID-19. Nat. Med. 2022, 28, 2406–2415. [Google Scholar] [CrossRef]
- Deana, C.; Bagatto, D. Severe stroke in patients admitted to intensive care unit after COVID-19 infection: Pictorial essay of a case series. Brain Hemorrhages 2022, 3, 29–35. [Google Scholar] [CrossRef]
- Simone, M.; De Giacomo, A.; Palumbi, R.; Palazzo, C.; Lucisano, G.; Pompamea, F.; Micella, S.; Pascali, M.; Gabellone, A.; Marzulli, L.; et al. Serum neurofilament light chain and glial fibrillary acidic protein as potential diagnostic biomarkers in autism spectrum disorders: A preliminary study. Int. J. Mol. Sci. 2023, 24, 3057. [Google Scholar] [CrossRef] [PubMed]
- Domingues, R.B.; Fernandes, G.B.P.; Leite, M.F.B.V.; Senne, C. Neurofilament light chain in the assessment of patients with multiple sclerosis. Arq. Neuropsiquiatr. 2019, 77, 436–441. [Google Scholar] [CrossRef] [PubMed]
- Rubsamen, N.; Maceski, A.; Leppert, D.; Benkert, P.; Kuhle, J.; Wiendl, H.; Peters, A.; Karch, A.; Berger, K. Serum neurofilament light and tau as prognostic markers for all-cause mortality in the elderly general population-an analysis from the MEMO study. BMC Med. 2021, 19, 38. [Google Scholar] [CrossRef]








| S.N. | Authors | Year | Study Design | Country | Sample Size of COVID-19 | Mean GFAP of COVID-19 | SD of GFAP COVID-19 | Sample Size of Control | Mean GFAP of Control | SD of GFAP in Control | NOS |
|---|---|---|---|---|---|---|---|---|---|---|---|
| 1 | Cooper et al. [65] | 2020 | Cross-sectional | Canada | 27 | 325.60 | 300.00 | 19 | 121.50 | 66.29 | 8 |
| 2 | Kanberg et al. [17] | 2020 | Cross-sectional | Sweden | 47 | 212.60 | 129.60 | 33 | 152.00 | 73.33 | 8 |
| 3 | Kanberg et al. [35] | 2021 | Case–control | Sweden | 97 | 194.20 | 93.60 | 51 | 135.00 | 50.37 | 7 |
| 4 | Paterson et al. 60] | 2021 | Case–control | UK | 94 | 146.10 | 128.80 | 24 | 128.90 | 60.00 | 7 |
| 5 | Needham et al. [59] | 2021 | Cohort | UK | 175 | 119.20 | 102.30 | 59 | 47.60 | 26.90 | 7 |
| 6 | Sahin et al. [21] | 2022 | Cross-sectional | Turkey | 58 | 77.70 | 67.10 | 20 | 43.70 | 23.40 | 7 |
| 7 | Plantone et al. [18] | 2022 | Cross-sectional | Italy | 148 | 2.27 | 0.37 | 108 | 1.53 | 1.07 | 7 |
| 8 | Barbara et al. [62] | 2022 | Cross-sectional | USA | 56 | 40.50 | 42.00 | 8 | 55.70 | 49.03 | 7 |
| 9 | Eden et al. [57] | 2022 | Cross-sectional | Sweden | 44 | 246.60 | 148.10 | 10 | 260.30 | 137.00 | 7 |
| 10 | Havdal et al. [20] | 2022 | Cross-sectional | Norway | 405 | 61.60 | 23.30 | 105 | 165.20 | 21.33 | 7 |
| 11 | Bonetto et al. [56] | 2022 | Cohort | Italy | 196 | 230.80 | 148.40 | 9 | 110.50 | 29.90 | 8 |
| 12 | Ziff et al. [58] | 2022 | Cross-sectional | UK | 21 | 109.00 | 318.00 | 23 | 143.00 | 41.90 | 8 |
| 13 | Lennol et al. [64] | 2023 | Cross-sectional | Spain | 45 | 190.10 | 241.10 | 14 | 52.20 | 49.90 | 8 |
| S.N. | Authors | Year | Study Design | Country | Sample Size of COVID-19 | Mean NfL of COVID-19 | SD of NfL in COVID-19 | Sample Size of Control | Mean NfL of Control | SD of NfL in Control | NOS |
|---|---|---|---|---|---|---|---|---|---|---|---|
| 1 | Cooper et al. [65] | 2020 | Cross-sectional | Canada | 27 | 46.00 | 49.70 | 19 | 28.80 | 22.70 | 8 |
| 2 | Kanberg et al. [17] | 2020 | Cross-sectional | Sweden | 47 | 18.30 | 9.60 | 33 | 14.50 | 8.50 | 8 |
| 3 | Ameres et al. [63] | 2020 | Prospect-cohort | German | 13 | 4.60 | 1.40 | 20 | 4.46 | 1.48 | 7 |
| 4 | Kanberg et al. [35] | 2021 | Case–control | Sweden | 97 | 14.08 | 6.30 | 51 | 10.70 | 5.70 | 7 |
| 5 | Paterson et al. [60] | 2021 | Case–control | UK | 94 | 88.50 | 105.70 | 24 | 17.60 | 9.50 | 7 |
| 6 | Geis et al. [32] | 2021 | Cross-sectional | German | 148 | 5.10 | 2.10 | 2504 | 5.50 | 3.00 | 8 |
| 7 | Prudencio et al. [19] | 2021 | Cross-sectional | USA | 142 | 62.20 | 111.40 | 55 | 19.10 | 29.60 | 8 |
| 8 | Hay et al. [61] | 2021 | Cross-sectional | USA | 89 | 229.60 | 163.00 | 11 | 12.30 | 3.10 | 7 |
| 9 | Needham et al. [59] | 2021 | Cohort | UK | 175 | 20.33 | 14.50 | 59 | 6.50 | 5.03 | 7 |
| 10 | Guasp et al. [26] | 2022 | Case–control | Spain | 60 | 390.30 | 581.10 | 70 | 14.20 | 9.20 | 8 |
| 11 | Verde et al. [25] | 2022 | Cross-sectional | Italy | 57 | 40.40 | 38.60 | 30 | 13.80 | 7.03 | 7 |
| 12 | Plantone et al. [18] | 2022 | Cross-sectional | Italy | 148 | 1.40 | 0..58 | 108 | 0.90 | 0.30 | 7 |
| 13 | Barbara et al. [62] | 2022 | Cross-sectional | USA | 56 | 5.10 | 3.20 | 8 | 4.80 | 1.80 | 7 |
| 14 | Eden et al. [57] | 2022 | Cross-sectional | Sweden | 44 | 980.00 | 496.60 | 10 | 631.00 | 220.00 | 7 |
| 15 | Havdal et al. [20] | 2022 | Cross-sectional | Norway | 405 | 4.20 | 1.48 | 105 | 3.96 | 1.40 | 7 |
| 16 | Bonetto et al. [56] | 2022 | Cohort | Italy | 196 | 67.10 | 68.80 | 9 | 15.10 | 7.40 | 8 |
| 17 | Ziff et al. [58] | 2022 | Cross-sectional | UK | 21 | 91.50 | 188.00 | 23 | 16.70 | 12.90 | 8 |
| 18 | Zingaropoli et al. [27] | 2022 | Cross-sectional | Italy | 55 | 26.90 | 18.40 | 31 | 9.06 | 4.90 | 8 |
| 19 | Sahin et al. [37] | 2022 | Case–control | Turkey | 59 | 22.26 | 48.70 | 20 | 14.09 | 11.55 | 7 |
| 20 | Lennol et al. [64] | 2023 | Cross-sectional | Spain | 45 | 22.40 | 31.20 | 14 | 7.40 | 4.90 | 8 |
Disclaimer/Publisher’s Note: The statements, opinions and data contained in all publications are solely those of the individual author(s) and contributor(s) and not of MDPI and/or the editor(s). MDPI and/or the editor(s) disclaim responsibility for any injury to people or property resulting from any ideas, methods, instructions or products referred to in the content. |
© 2023 by the authors. Licensee MDPI, Basel, Switzerland. This article is an open access article distributed under the terms and conditions of the Creative Commons Attribution (CC BY) license (https://creativecommons.org/licenses/by/4.0/).
Share and Cite
Huang, Z.; Haile, K.; Gedefaw, L.; Lau, B.W.-M.; Jin, L.; Yip, S.P.; Huang, C.-L. Blood Biomarkers as Prognostic Indicators for Neurological Injury in COVID-19 Patients: A Systematic Review and Meta-Analysis. Int. J. Mol. Sci. 2023, 24, 15738. https://doi.org/10.3390/ijms242115738
Huang Z, Haile K, Gedefaw L, Lau BW-M, Jin L, Yip SP, Huang C-L. Blood Biomarkers as Prognostic Indicators for Neurological Injury in COVID-19 Patients: A Systematic Review and Meta-Analysis. International Journal of Molecular Sciences. 2023; 24(21):15738. https://doi.org/10.3390/ijms242115738
Chicago/Turabian StyleHuang, Zhiwei, Kassahun Haile, Lealem Gedefaw, Benson Wui-Man Lau, Ling Jin, Shea Ping Yip, and Chien-Ling Huang. 2023. "Blood Biomarkers as Prognostic Indicators for Neurological Injury in COVID-19 Patients: A Systematic Review and Meta-Analysis" International Journal of Molecular Sciences 24, no. 21: 15738. https://doi.org/10.3390/ijms242115738
APA StyleHuang, Z., Haile, K., Gedefaw, L., Lau, B. W.-M., Jin, L., Yip, S. P., & Huang, C.-L. (2023). Blood Biomarkers as Prognostic Indicators for Neurological Injury in COVID-19 Patients: A Systematic Review and Meta-Analysis. International Journal of Molecular Sciences, 24(21), 15738. https://doi.org/10.3390/ijms242115738

