Macromolecular Design and Engineering of New Amphiphilic N-Vinylpyrrolidone Terpolymers for Biomedical Applications
Abstract
:1. Introduction
2. Results and Discussions
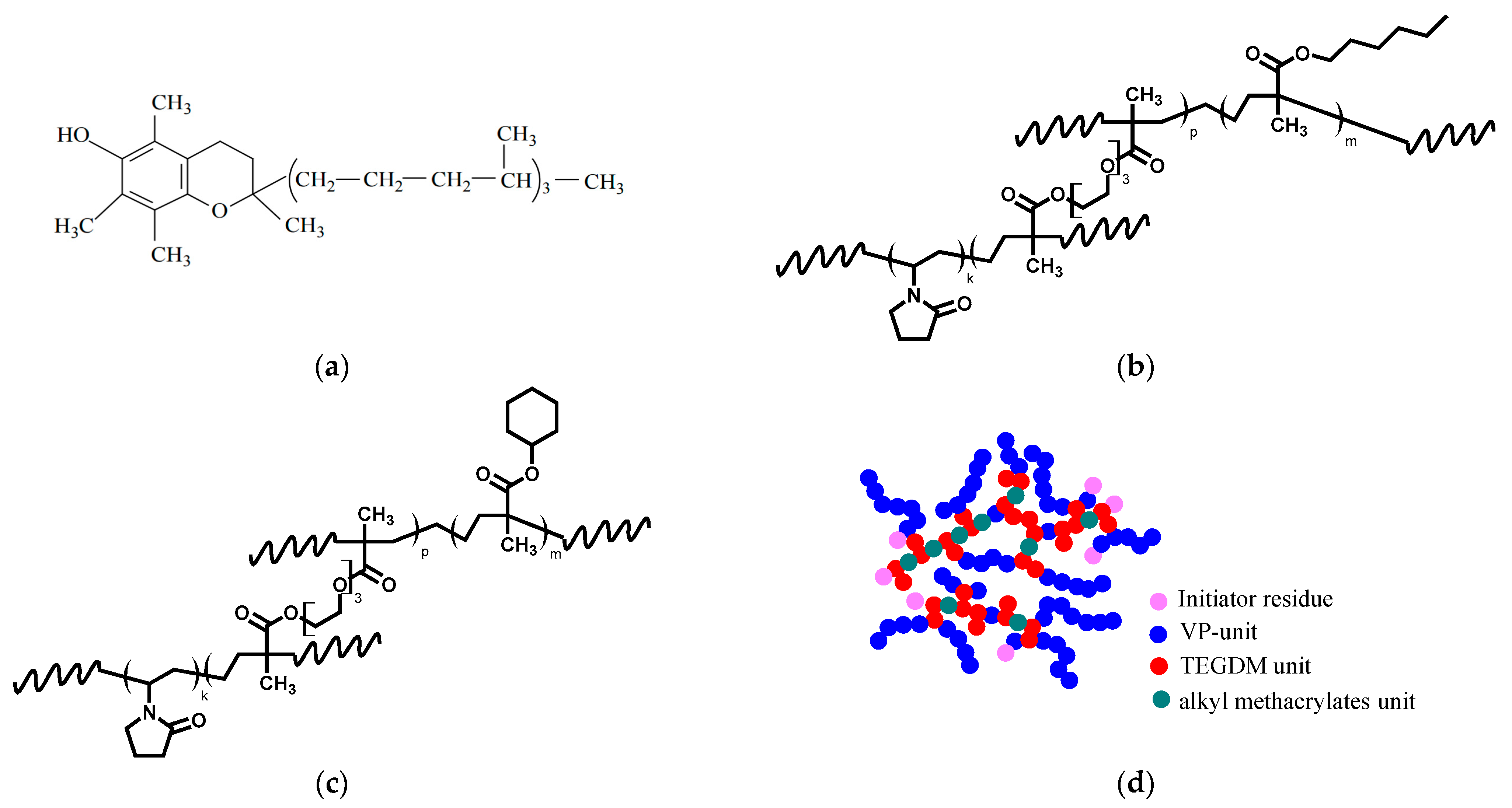
2.1. Structure and Characteristics of N-Vinylpyrrolidone with (Di)methacrylates Terpolymers
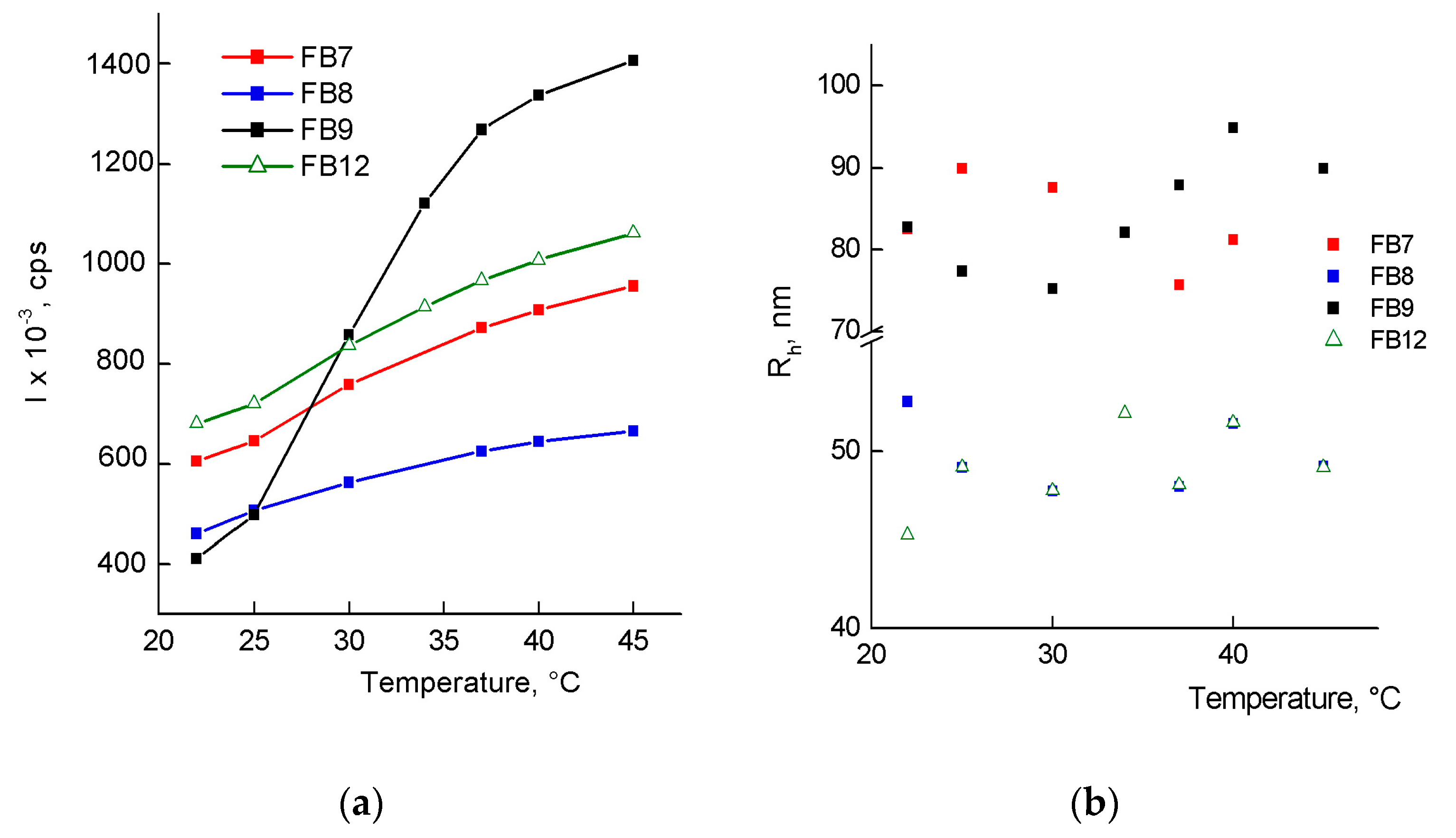
2.2. Behavior of VP-AlkMA-TEGDM Terpolymers in Water
2.3. TEM Analysis of the Terpolymers’ Structure
2.4. Thermophysical and Thermochemical Properties of VP-AlkMA-TEGDM Terpolymers
2.5. Cytotoxicity of VP-AlkMA-TEGDM Terpolymers for Noncancerous and Tumor Cells
2.6. Encapsulated in Terpolymers α-Tocopherol and Evaluation of Its Antiradical Activity by ABTS and DPPH Methods
3. Materials and Methods
3.1. Synthesis of N-Vinylpyrrolidone with (Di)methacrylates Terpolymers
3.2. TP Encapsulation into NPs and Its Antiradical Activity
3.3. The Methods
3.3.1. Elemental Analysis
3.3.2. IR- and 1H NMR, 13C NMR Spectroscopy
3.3.3. Size-exclusion Chromatography
3.3.4. Dynamic Light Scattering
3.3.5. TEM Study of FB7, FB8, FB12 and TP-FB7
3.3.6. TG and DSC Studies
3.3.7. Electronic Absorption Spectroscopy
3.3.8. Study of the Cytotoxicity of Terpolymers on Normal and Tumor Cells
4. Conclusions
Supplementary Materials
Author Contributions
Funding
Institutional Review Board Statement
Informed Consent Statement
Data Availability Statement
Acknowledgments
Conflicts of Interest
References
- Kavand, A.; Anton, N.; Vandamme, T.; Serra, C.A.; Chan-Seng, D. Synthesis and functionalization of hyperbranched polymers for targeted drug delivery. J. Control. Release 2020, 321, 285–311. [Google Scholar] [CrossRef] [PubMed]
- Li, Z.; Yong, H.; Wang, K.; Zhou, Y.-N.; Lyu, J.; Liang, L.; Zhou, D. (Controlled) Free radical (co)polymerization of multivinyl monomers: Strategies, topological structures and biomedical applications. Chem. Commun. 2023, 59, 4142–4157. [Google Scholar] [CrossRef] [PubMed]
- Calderón, M.; Quadir, M.A.; Sharma, S.K.; Haag, R. Dendritic polyglycerols for biomedical applications. Adv. Mater. 2010, 22, 190–218. [Google Scholar] [CrossRef]
- Torchilin, V.P. Multifunctional nanocarriers. Adv. Drug Deliv. Rev. 2006, 58, 1532–1555. [Google Scholar] [CrossRef]
- Zhou, Y.; Huang, W.; Liu, J.; Zhu, X.; Yan, D. Self-assembly of hyperbranched polymers and its biomedical applications. Adv. Mater. 2010, 22, 4567–4590. [Google Scholar] [CrossRef] [PubMed]
- Cuneo, T.; Gao, H. Recent advances on synthesis and biomaterials applications of hyperbranched polymers. Wiley Interdiscip. Rev. Nanomed. Nanobiotechnol. 2020, 12, 1640. [Google Scholar] [CrossRef] [PubMed]
- Prabaharan, M.; Grailer, J.J.; Pilla, S.; Steeber, D.A.; Gong, S.Q. Gold nanoparticles with a monolayer of doxorubicin-conjugated amphiphilic block copolymer for tumor-targeted drug delivery. Biomaterials 2009, 30, 6065–6075. [Google Scholar] [CrossRef]
- Chen, S.; Zhang, X.Z.; Cheng, S.X.; Zhuo, R.X.; Gu, Z.W. Functionalized amphiphilic hyperbranched polymers for targeted drug delivery. Biomacromolecules 2008, 9, 2578–2585. [Google Scholar] [CrossRef]
- Lee, H.-I.; Pietrasik, J.; Sheiko, S.S.; Matyjaszewski, K. Stimuli-responsive molecular brushes. Prog. Polym. Sci. 2010, 35, 24–44. [Google Scholar] [CrossRef]
- Kolhe, P.; Khandare, J.; Pillai, O.; Kannan, S.; Lieh-Lai, M.; Kannan, R. Hyperbranched polymer-drug conjugates with high drug payload for enhanced cellular delivery. Pharm. Res. 2004, 21, 2185–2195. [Google Scholar] [CrossRef]
- Perumal, O.; Khandare, J.; Kolhe, P.; Kannan, S.; Lieh-Lai, M.; Kannan, R.M. Effects of branching architecture and linker on the activity of hyperbranched polymer−drug conjugates. Bioconjugate Chem. 2009, 20, 842–846. [Google Scholar] [CrossRef]
- Calderón, M.; Graeser, R.; Kratz, F.; Haag, R. Development of enzymatically cleavable prodrugs derived from dendritic polyglycerol. Bioorg. Med. Chem. Lett. 2009, 19, 3725–3728. [Google Scholar] [CrossRef] [PubMed]
- Pang, Y.; Zhu, Q.; Liu, J.Y.; Wu, J.L.; Wang, R.B.; Chen, S.Y.; Zhu, X.Y.; Yan, D.Y.; Huang, W.; Zhu, B.S. Design and synthesis of cationic drug carriers based on hyperbranched poly(amine-ester)s. Biomacromolecules 2010, 11, 575–582. [Google Scholar] [CrossRef] [PubMed]
- Bej, R.; Rajdev, P.; Barman, R.; Ghosh, S. Hyperbranched polydisulfides. Polym. Chem. 2020, 11, 990–1000. [Google Scholar] [CrossRef]
- Bera, S.; Barman, R.; Ghosh, S. Hyperbranched vs. linear poly(disulfide) for intracellular drug delivery. Polym. Chem. 2022, 13, 5188–5192. [Google Scholar] [CrossRef]
- Tang, Q.; Cheng, F.; Lou, X.L.; Liu, H.J.; Chen, Y. Comparative study of thiol-free amphiphilic hyperbranched and linear polymers for the stabilization of large gold nanoparticles in organic solvent. J. Colloid Interface Sci. 2009, 337, 485–491. [Google Scholar] [CrossRef]
- Li, Z.; Zhang, Z.; Liu, K.L.; Ni, X.; Li, J. Biodegradable hyperbranched amphiphilic polyurethane multiblock copolymers consisting of poly(propylene glycol), poly(ethylene glycol), and polycaprolactone as in situ thermogels. Biomacromolecules 2012, 13, 3977–3989. [Google Scholar] [CrossRef]
- Namivandi-Zangeneh, R.; Kwan, R.J.; Nguyen, T.K.; Yeow, J.; Byrne, F.L.; Oehlers, S.H.; Wong, E.H.H.; Boyer, C. The effects of polymer topology and chain length on the antimicrobial activity and hemocompatibility of amphiphilic ternary copolymers. Polym. Chem. 2018, 9, 1735–1744. [Google Scholar] [CrossRef]
- Martin, C.; Aibani, N.; Callan, J.F.; Callan, B. Recent advances in amphiphilic polymers for simultaneous delivery of hydrophobic and hydrophilic drugs. Ther. Deliv. 2016, 7, 15–31. [Google Scholar] [CrossRef]
- Karimi, M.; Eslami, M.; Sahandi-Zangabad, P.; Mirab, F.; Farajisafiloo, N.; Shafaei, Z.; Ghosh, D.; Bozorgomid, M.; Dashkhaneh, F.; Hamblin, M.R. PH-Sensitive stimulus-responsive nanocarriers for targeted delivery of therapeutic agents. Wiley Interdiscip. Rev. Nanomed. Nanobiotechnol. 2016, 8, 696–716. [Google Scholar] [CrossRef]
- Voit, B.I.; Lederer, A. Hyperbranched and highly branched polymer architectures—Synthetic strategies and major characterization aspects. Chem. Rev. 2009, 109, 5924–5973. [Google Scholar] [CrossRef]
- Tonhauser, C.; Schüll, C.; Dingels, C.; Frey, H. Branched acid-degradable, biocompatible polyether copolymers via anionic ring−opening polymerization using an epoxide inimer. ACS Macro Lett. 2012, 1, 1094–1097. [Google Scholar] [CrossRef] [PubMed]
- Szewczyk-Łagodzińska, M.; Plichta, A.; Dębowski, M.; Kowalczyk, S.; Iuliano, A.; Florjańczyk, Z. Recent Advances in the application of ATRP in the synthesis of drug delivery systems. Polymers 2023, 15, 1234. [Google Scholar] [CrossRef] [PubMed]
- Corrigan, N.; Jung, K.; Moad, G.; Hawker, C.J.; Matyjaszewski, K.; Boyer, C. Reversible-deactivation radical polymerization (Controlled/living radical polymerization): From discovery to materials design and applications. Prog. Polym. Sci. 2020, 111, 101311. [Google Scholar] [CrossRef]
- Liu, Y.; Ma, W.; Dong, Z.; Qiu, N.; Ma, L.; Chen, Z.-R.; Wei, H. Facile Synthesis of Hyperbranched Copolymers via an [A2 + B3] Click Polymerization Synthesized Reducible Hyperbranched Template. ACS Appl. Polym. Mater. 2021, 3, 6375–6382. [Google Scholar] [CrossRef]
- Niels, M.B.; Smeets, N.M.B. Amphiphilic hyperbranched polymers from the copolymerization of a vinyl and divinyl monomer: The potential of catalytic chain transfer polymerization. Eur. Polym. J. 2013, 49, 2528–2544. [Google Scholar] [CrossRef]
- O’Brien, N.; McKee, A.; Sherrington, D.C.; Slark, A.T.; Titterton, A. Facile, versatile and cost-effective route to branched vinyl polymers. Polymer 2000, 41, 6027–6031. [Google Scholar] [CrossRef]
- Luzon, M.; Boyer, C.; Peinado, C.; Corrales, T.; Whittaker, M.; Tao, L.; Davis, T.P. Water-soluble, thermoresponsive, hyperbranched copolymers based on PEG-methacrylates: Synthesis, characterization, and LCST behavior. J. Polym. Sci. Part A Polym. Chem. 2010, 48, 2783–2792. [Google Scholar] [CrossRef]
- Graham, S.; Rannard, S.P.; Cormack, P.A.G.; Sherrington, D.C. One-pot synthesis of methacrylic acid ethylene-oxide branched block and graft copolymers. J. Mater. Chem. 2007, 17, 545–552. [Google Scholar] [CrossRef]
- Chambon, P.; Chen, L.; Furzeland, S.; Atkins, D.; Weaver, J.V.M.; Adams, D.J. Poly(N-isopropylacrylamide) branched polymer nanoparticles. Polym. Chem. 2011, 2, 941–949. [Google Scholar] [CrossRef]
- Besenius, P.; Slavin, S.; Vilela, F.; Sherrington, D.C. Synthesis and characterization of water-soluble densely branched glyco-polymers. React. Funct. Polym. 2008, 68, 1524–1533. [Google Scholar] [CrossRef]
- Kurmaz, S.V.; Pyryaev, A.N. Synthesis of N-vinyl-2-pyrrolidone-based branched copolymers via crosslinking free-radical copolymerization in the presence of a chain-transfer agent. Polym. Sci. 2010, 52, 1–8. [Google Scholar] [CrossRef]
- Kurmaz, S.V.; Sen’, V.D.; Kulikov, A.V.; Konev, D.V.; Kurmaz, V.A.; Balakina, A.A.; Terent’ev, A.A. Polymer nanoparticles of N-vinylpyrrolidone loaded with an organic aminonitroxyl platinum (IV) complex. Characterization and investigation of their in vitro cytotoxicity. Russ. Chem. Bull. 2019, 68, 1769–1779. [Google Scholar] [CrossRef]
- Kurmaz, S.V.; Fadeeva, N.V.; Fedorov, B.S.; Kozub, G.I.; Emel’yanova, N.S.; Kurmaz, V.A.; Manzhos, R.A.; Balakina, A.A.; Terentyev, A.A. New antitumor hybrid materials based on PtIV organic complex and polymer nanoparticles consisting of N-vinylpyrrolidone and (di)methacrylates. Mendeleev Commun. 2020, 30, 22–24. [Google Scholar] [CrossRef]
- Kurmaz, S.V.; Ivanova, I.I.; Fadeeva, N.V.; Perepelitsina, E.O.; Lapshina, M.A.; Balakina, A.A.; Terent’ev, A.A. New amphiphilic branched copolymers of N-vinylpyrrolidone with methacrylic acid for biomedical applications. Polym. Sci. Ser. A 2022, 64, 434–446. [Google Scholar] [CrossRef]
- Kurmaz, S.V.; Fadeeva, N.V.; Komendant, A.V.; Ignatiev, V.M.; Emelyanova, N.S.; Shilov, G.V.; Stupina, T.S.; Filatova, N.V.; Lapshina, M.A.; Terentyev, A.A. New Amphiphilic terpolymers of N-vinylpyrrolidone with poly(ethylene glycol) methyl ether methacrylate and triethylene glycol dimethacrylate as carriers of the hydrophobic fluorescent dye. Polym. Bull. 2022, 79, 8905–8925. [Google Scholar] [CrossRef]
- Rybkin, A.Y.; Kurmaz, S.V.; Urakova, E.A.; Filatova, N.V.; Sizov, L.R.; Kozlov, A.V.; Koifman, M.O.; Goryachev, N.S. Nanoparticles of N-vinylpyrrolidone amphiphilic copolymers and pheophorbide a as promising photosensitizers for photodynamic therapy: Design, properties and in vitro phototoxic activity. Pharmaceutics 2023, 15, 273. [Google Scholar] [CrossRef] [PubMed]
- Kurmaz, S.V.; Fadeeva, N.V.; Soldatova, Y.V.; Faingold, I.I.; Poletaeva, D.A.; Ignat’ev, V.M.; Emel’yanova, N.S.; Shilov, G.V.; Kotelnikova, R.A. New complexes of metformin based on the copolymer of N-vinylpyrrolidone with triethylene glycol dimethacrylate and their activity in experimental type 2 diabetes mellitus. J. Polym. Res. 2021, 28, 345. [Google Scholar] [CrossRef]
- Soldatova, Y.V.; Faingold, I.I.; Poletaeva, D.A.; Kozlov, A.V.; Emel’yanova, N.S.; Khodos, I.I.; Chernyaev, D.A.; Kurmaz, S.V. Design and investigation of new water-soluble forms of α-tocopherol with antioxidant and antiglycation activity using amphiphilic copolymers of N-Vinylpyrrolidone. Pharmaceutics 2023, 15, 1388. [Google Scholar] [CrossRef]
- Solovskij, M.V.; Nikolskaya, N.V.; Tarabukina, E.B.; Denisov, V.M.; Adamov, A.V.; Klenin, S.I. Synthesis and properties of branched chemodegradable polymers based on N-vinylpyrrollidone and N-(2-hydroxypropyl)methacrylamide, carriers of biologically active compounds. Des. Monomers Polym. 2004, 7, 63–83. [Google Scholar] [CrossRef]
- Zgutka, K.; Tkacz, M.; Tomasiak, P.; Tarnowski, M. A role for advanced glycation end products in molecular ageing. Int. J. Mol. Sci. 2023, 24, 9881. [Google Scholar] [CrossRef]
- Kurmaz, S.V.; Fadeeva, N.V.; Ignat’ev, V.M.; Kurmaz, V.A.; Kurochkin, S.A.; Emel’yanova, N.S. Structure and state of water in branched N-vinylpyrrolidone copolymers as carriers of a hydrophilic biologically active compound. Molecules 2020, 25, 6015. [Google Scholar] [CrossRef] [PubMed]
- Dutta, K.; Brar, A.S. Poly(vinylpyrrolidone): Configurational assignments by one- and two-dimensional NMR spectroscopy. J. Polym. Sci. A Polym. Chem. 1999, 37, 3922–3928. [Google Scholar] [CrossRef]
- Massiot, D.; Fayon, F.; Capron, M.; King, I.; Le Calvé, S.; Alonso, B.; Durand, J.-O.; Bujoli, B.; Gan, Z.; Hoatson, G. Modelling one- and two-dimensional solid-state NMR spectra. Magn. Reson. Chem. 2002, 40, 70–76. [Google Scholar] [CrossRef]
- Graham, S.; Cormack, P.A.G.; Sherrington, D.C. One-pot synthesis of branched poly(methacrylic acid)s and suppression of the rheological “Polyelectrolyte effect”. Macromolecules 2005, 38, 86–90. [Google Scholar] [CrossRef]
- Cao, G.; Li, G.; Yang, Q.; Liu, Z.; Liu, Z.; Jiang, J. LCST-type hyperbranched poly(oligo(ethylene glycol) with thermo- and CO2-responsive backbone. Macromol. Rapid. Commun. 2018, 39, 1700684. [Google Scholar] [CrossRef] [PubMed]
- Lebedeva, T.L.; Fel’dshtein, M.M.; Kuptsov, S.A.; Plate, N.A. Structure of stable H-bonded poly(N-vinylpyrrolidone)-water complexes. Vysokomol. Soedin. Ser. A 2000, 40, 989–1005. (In Russian) [Google Scholar]
- Stutz, H. The glass temperature of dendritic polymers. J. Polym. Sci. Part B Polym. Phys. 1995, 33, 333–340. [Google Scholar] [CrossRef]
- Wooley, K.L.; Hawker, C.J.; Pochan, J.M.; Frechet, J.M.J. Physical properties of dendritic macromolecules: A study of glass transition temperature. Macromolecules 1993, 26, 1514–1519. [Google Scholar] [CrossRef]
- Malmstroem, E.; Johansson, M.; Hult, A. Hyperbranched aliphatic polyesters. Macromolecules 1995, 28, 1698–17034. [Google Scholar] [CrossRef]
- Malmström, E.; Hult, A.; Gedde, U.W.; Liu, F.; Boyd, R.H. Relaxation processes in hyperbranched polyesters: Influence of terminal groups. Polymer 1997, 38, 4873–4879. [Google Scholar] [CrossRef]
- Kim, Y.H.; Beckerbauer, R. Role of end groups on the glass transition of hyperbranched polyphenylene and triphenylbenzene derivatives. Macromolecules 1994, 27, 1968–1971. [Google Scholar] [CrossRef]
- Kurmaz, S.V.; Fadeeva, N.V.; Knerelman, E.I.; Davydova, G.I.; Torbov, V.I.; Dremova, N.N. Nanoporous polymer networks of N−vinylpyrrolidone with dimethacrylates of various polarity. Synthesis, structure, and properties. J. Polym. Res. 2019, 26, 153. [Google Scholar] [CrossRef]
- Liu, P.; Feng, Y.; Wang, Y.; Zhou, Y.; Zhao, L. Protective effect of vitamin E against acute kidney injury. Biomed. Mater. Eng. 2015, 26, S2133–S2144. [Google Scholar] [CrossRef] [PubMed]
- Song, Q.; Liu, J.; Dong, L.; Wang, X.; Zhang, X. Novel advances in inhibiting advanced glycation end product formation using natural compounds. Biomed. Pharmacother. 2021, 140, 111750. [Google Scholar] [CrossRef]
- Niki, E.; Traber, M.G. A history of vitamin E. Ann. Nutr. Metab. 2012, 61, 207–212. [Google Scholar] [CrossRef]
- Niki, E. Lipid oxidation that is, and is not, inhibited by vitamin E: Consideration about physiological functions of vitamin E. Free Radic. Biol. Med. 2021, 176, 1–15. [Google Scholar] [CrossRef]
- Di Meo, S.; Venditti, P.; Piro, M.C.; De Leo, T. Enhanced Luminescence Study of Liver Homogenate Response to Oxidative Stress. Arch. Physiol. Biochem. 1995, 103, 187–195. [Google Scholar] [CrossRef]
- Ohkawa, H.; Ohishi, N.; Yagi, K. Assay for Lipid Peroxides in Animal Tissues by Thiobarbituric Acid Reaction. Anal. Biochem. 1979, 95, 351–358. [Google Scholar] [CrossRef]
- Arnao, M.B.; Cano, A.; Hernandez-Ruiz, J.; García-Cánovas, F.; Acosta, M. Inhibition by L-ascorbic acid and other antioxidants of the 2,2′-azinobis-(3-ethylbenzthiazoline-6-sulfonic acid) oxidation catalyzed by peroxidase: A new approach for determining total antioxidant status of foods. Anal. Biochem. 1996, 236, 255–261. [Google Scholar] [CrossRef]
- Henriquez, C.; Aliaga, C.; Lissi, E. Formation and decay of the ABTS derived radical cation: A comparison of different preparation procedures. Int. J. Chem. Kinet. 2002, 34, 659–665. [Google Scholar] [CrossRef]
- Tian, X.; Schaich, K.M. Effects of molecular structure on kinetics and dynamics of Trolox Equivalent Antioxidant Capacity (TEAC) assay with ABTS+•. J. Agric. Food Chem. 2013, 61, 5511–5519. [Google Scholar] [CrossRef] [PubMed]
- Osman, A.M.; Wong, K.K.Y.; Fernyhough, A. ABTS radical-driven oxidation of polyphenols: Isolation and structural elucidation of covalent adducts. Biochem. Biophys. Res. Commun. 2006, 346, 321–329. [Google Scholar] [CrossRef]
- Ilyasov, I.R.; Beloborodov, V.L.; Selivanova, I.A. Three ABTS•+ radical cation-based approaches for the evaluation of antioxidant activity: Fast- and slow-reacting antioxidant behavior. Chem. Pap. 2018, 72, 1917–1925. [Google Scholar] [CrossRef]
- Re, R.; Proteggente, N.; Pannala, A.; Yang, A.; Rice-Evans, C.M. Antioxidant activity applying an improved ABTS radical cation decolorization assay. Free Radic. Biol. Med. 1999, 26, 1231–1237. [Google Scholar] [CrossRef]
- Singh, R.P.; Chidambara Murthy, K.N.; Jayaprakasha, G.K. Studies on the antioxidant activity of Pomegranate (Punica granatum) peel and seed extracts using in vitro models. J. Agric. Food Chem. 2002, 50, 81–86. [Google Scholar] [CrossRef]
- Loría-Bastarrachea, M.I.; Herrera-Kao, W.; Cauich-Rodríguez, J.V.; Cervantes-Uc, J.M.; Vázquez-Torres, H.; Ávila-Ortega, A. A TG/FTIR study on the thermal degradation of poly(vinyl pyrrolidone). J. Therm. Anal. Calorim. 2011, 104, 737–742. [Google Scholar] [CrossRef]
- Puskas, J.E.; Seo, K.S.; Sen, M.Y. Green polymer chemistry: Precision synthesis of novel multifunctional poly(ethylene glycol)s using enzymatic catalysis. Eur. Polym. J. 2011, 47, 524–534. [Google Scholar] [CrossRef]
- National Institute of Advanced Industrial Science and Technology. SDBSWeb. Available online: https://sdbs.db.aist.go.jp (accessed on 13 July 2023).
















| Terpolymers | Monomer Mixtures | Molar Ratio of VP-AlkMA-TEGDM Comonomers | Main Fraction Yield, % | N Atom Content in Terpolymers, % | [VP]:[AlkMA-TEGDM] in Terpolymers, mol% |
|---|---|---|---|---|---|
| FB9 | VP-HMA-TEGDM | 99:1:2 | 96.0 | 10.9 | 93.3:6.7 |
| FB7 | VP-HMA-TEGDM | 98:2:2 | 95.0 | 11.0 | 96.6:3.4 |
| FB8 | VP-HMA-TEGDM | 98:2:5 | 95.0 | 10.4 | 91.4:8.6 |
| FB12 | VP-CHMA-TEGDM | 98:2:5 | 97.0 | 10.3 | 90.9:9.1 |
| Terpolymers | Mw, kDa | PD | dn/dc b | CAC in Water, mg mL−1 |
|---|---|---|---|---|
| FB9 | 41.0/39.4 a | 1.7/1.8 | 0.051/0.051 | 0.57 |
| FB7 | 34.8/50.1 | 1.6/2.0 | 0.052/0.051 | 0.30 |
| FB8 | 160.0/132.8 | 4.8/4.9 | 0.046/0.053 | 0.46 |
| FB12 | 113.0/108.6 | 3.0/4.5 | 0.045/0.056 | 0.55 |
| Compounds | ABTS•+-Scavenging Activity, | DPPH Inhibition, IC50 (µM) | |
|---|---|---|---|
| IC50 (µM) | TEAC 1 | ||
| TP | 16.0 ± 1.1 | 0.96 ± 0.06 | 16.08 ± 0.8 |
| TP-PVP | 18.5 ± 1.6 | 1.03 ± 0.04 | 24.4 ± 2.4 |
| TP-FB7 | 15.8 ± 0.7 | 0.99 ± 0.02 | 14.4 ± 1.9 |
| TP-FB8 | 26.2 ± 1.5 | 1.02 ± 0.03 | 22.7 ± 1.9 |
| TP-FB12 | 26.8 ± 0.9 | 1.03 ± 0.02 | 21.1 ± 1.9 |
| PVP | - * | - * | - * |
| FB7 | - * | - * | - * |
Disclaimer/Publisher’s Note: The statements, opinions and data contained in all publications are solely those of the individual author(s) and contributor(s) and not of MDPI and/or the editor(s). MDPI and/or the editor(s) disclaim responsibility for any injury to people or property resulting from any ideas, methods, instructions or products referred to in the content. |
© 2023 by the authors. Licensee MDPI, Basel, Switzerland. This article is an open access article distributed under the terms and conditions of the Creative Commons Attribution (CC BY) license (https://creativecommons.org/licenses/by/4.0/).
Share and Cite
Kurmaz, S.V.; Perepelitsina, E.O.; Vasiliev, S.G.; Avilova, I.A.; Khodos, I.I.; Kurmaz, V.A.; Chernyaev, D.A.; Soldatova, Y.V.; Filatova, N.V.; Faingold, I.I. Macromolecular Design and Engineering of New Amphiphilic N-Vinylpyrrolidone Terpolymers for Biomedical Applications. Int. J. Mol. Sci. 2023, 24, 15170. https://doi.org/10.3390/ijms242015170
Kurmaz SV, Perepelitsina EO, Vasiliev SG, Avilova IA, Khodos II, Kurmaz VA, Chernyaev DA, Soldatova YV, Filatova NV, Faingold II. Macromolecular Design and Engineering of New Amphiphilic N-Vinylpyrrolidone Terpolymers for Biomedical Applications. International Journal of Molecular Sciences. 2023; 24(20):15170. https://doi.org/10.3390/ijms242015170
Chicago/Turabian StyleKurmaz, Svetlana V., Evgenia O. Perepelitsina, Sergey G. Vasiliev, Irina A. Avilova, Igor I. Khodos, Vladimir A. Kurmaz, Dmitry A. Chernyaev, Yuliya V. Soldatova, Natalia V. Filatova, and Irina I. Faingold. 2023. "Macromolecular Design and Engineering of New Amphiphilic N-Vinylpyrrolidone Terpolymers for Biomedical Applications" International Journal of Molecular Sciences 24, no. 20: 15170. https://doi.org/10.3390/ijms242015170
APA StyleKurmaz, S. V., Perepelitsina, E. O., Vasiliev, S. G., Avilova, I. A., Khodos, I. I., Kurmaz, V. A., Chernyaev, D. A., Soldatova, Y. V., Filatova, N. V., & Faingold, I. I. (2023). Macromolecular Design and Engineering of New Amphiphilic N-Vinylpyrrolidone Terpolymers for Biomedical Applications. International Journal of Molecular Sciences, 24(20), 15170. https://doi.org/10.3390/ijms242015170

