Characterization and Bioactive Potential of Secondary Metabolites Isolated from Piper sarmentosum Roxb.
Abstract
1. Introduction
2. Results and Discussion
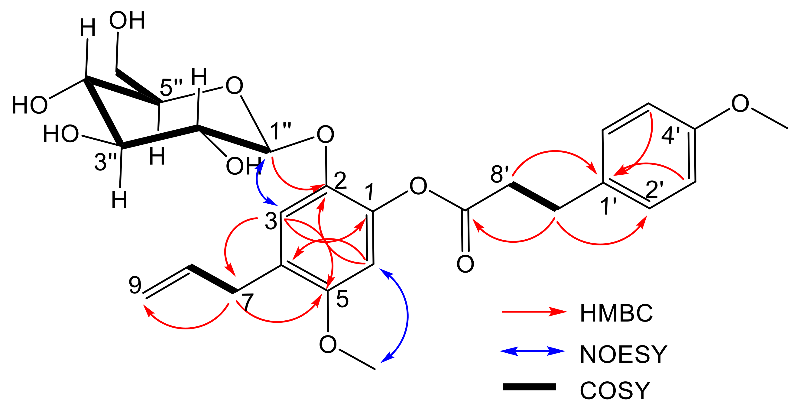
2.1. Isolation and Structure Elucidation
2.2. Biological Assays of Isolated Compounds
3. Materials and Methods
3.1. General Methods
3.2. Plant Material
3.3. Extraction and Isolation
3.4. Biological Activities
3.4.1. Anthelmintic Assay
3.4.2. Antifungal Assay
3.4.3. Antibacterial Assay against Aliivibrio fischeri
3.4.4. Cytotoxicity Assay
4. Conclusions
Supplementary Materials
Author Contributions
Funding
Institutional Review Board Statement
Informed Consent Statement
Data Availability Statement
Acknowledgments
Conflicts of Interest
References
- Gutierrez, Y.V.; Yamaguchi, L.F.; de Moraes, M.M.; Jeffrey, C.S.; Kato, M.J. Natural products from Peperomia: Occurrence, biogenesis and bioactivity. Phytochem. Rev. 2016, 15, 1009–1033. [Google Scholar] [CrossRef]
- Salehi, B.; Zakaria, Z.A.; Gyawali, R.; Ibrahim, S.A.; Rajkovic, J.; Shinwari, Z.K.; Khan, T.; Sharifi-Rad, J.; Ozleyen, A.; Turkdonmez, E.; et al. Piper species: A comprehensive review on their phytochemistry, biological activities and applications. Molecules 2019, 24, 1364. [Google Scholar] [CrossRef]
- Ware, I.; Franke, K.; Hussain, H.; Morgan, I.; Rennert, R.; Wessjohann, L.A. Bioactive Phenolic Compounds from Peperomia obtusifolia. Molecules 2022, 27, 4363. [Google Scholar] [CrossRef] [PubMed]
- Islam, M.T.; Hasan, J.; Snigdha, H.; Ali, E.S.; Sharifi-Rad, J.; Martorell, M.; Mubarak, M.S. Chemical profile, traditional uses, and biological activities of Piper chaba Hunter: A review. J. Ethnopharmacol. 2020, 257, 112853. [Google Scholar] [CrossRef] [PubMed]
- Gutierrez, R.M.; Gonzalez, A.M.; Hoyo-Vadillo, C. Alkaloids from Piper: A review of its phytochemistry and pharmacology. Mini Rev. Med. Chem. 2013, 13, 163–193. [Google Scholar] [PubMed]
- Da Silva, J.K.R.; Pinto, L.C.; Burbano, R.M.R.; Montenegro, R.C.; Guimaraes, E.F.; Andrade, E.H.A.; Maia, J.G.S. Essential oils of Amazon Piper species and their cytotoxic, antifungal, antioxidant and anti-cholinesterase activities. Ind. Crop. Prod. 2014, 58, 55–60. [Google Scholar] [CrossRef]
- Mgbeahuruike, E.E.; Yrjonen, T.; Vuorela, H.; Holm, Y. Bioactive compounds from medicinal plants: Focus on Piper species. S. Afr. J. Bot. 2017, 112, 54–69. [Google Scholar] [CrossRef]
- Branquinho, L.S.; Santos, J.A.; Cardoso, C.A.L.; Mota, J.D.S.; Junior, U.L.; Kassuya, C.A.L.; Arena, A.C. Anti-inflammatory and toxicological evaluation of essential oil from Piper glabratum leaves. J. Ethnopharmacol. 2017, 198, 372–378. [Google Scholar] [CrossRef]
- Rukachaisirikul, T.; Siriwattanakit, P.; Sukcharoenphol, K.; Wongvein, C.; Ruttanaweang, P.; Wongwattanavuch, P.; Suksamrarn, A. Chemical constituents and bioactivity of Piper sarmentosum. J. Ethnopharmacol. 2004, 93, 173–176. [Google Scholar] [CrossRef]
- Atiax, E.; Ahmad, F.; Sirat, H.; Arbain, D. Antibacterial activity and cytotoxicity screening of Sumatran Kaduk (Piper sarmentosum Roxb.). Iran. J. Pharmacol. Ther. 2011, 10, 1–5. [Google Scholar]
- Ismail, S.M.; Sundar, U.M.; Hui, C.K.; Aminuddin, A.; Ugusman, A. Piper sarmentosum attenuates TNF-alpha-induced VCAM-1 and ICAM-1 expression in human umbilical vein endothelial cells. J. Taibah Univ. Med. Sci. 2018, 13, 225–231. [Google Scholar]
- Burkill, I.H.; Birtwistle, W.; Foxworthy, F.W.; Scrivenor, J.B.; Watson, J.G. A Dictionary of the Economic Products of the Malay Peninsula; Governments of Malaysia and Singapore by the Ministry of Agriculture and Cooperatives: Kuala Lumpur, Malaysia, 1966. [Google Scholar]
- Sim, K.M.; Mak, C.N.; Ho, L.P. A new amide alkaloid from the leaves of Piper sarmentosum. J. Asian Nat. Prod. Res. 2009, 11, 757–760. [Google Scholar] [CrossRef]
- Ab-Rahman, M.R.; Abdul Razak, F.; Mohd Bakri, M. Evaluation of wound closure activity of Nigella sativa, Melastoma malabathricum, Pluchea indica, and Piper sarmentosum extracts on scratched monolayer of human gingival fibroblasts. Evid. Based Complement. Altern. Med. 2014, 2014, 190342. [Google Scholar] [CrossRef]
- Sun, X.; Chen, W.; Dai, W.; Xin, H.; Rahmand, K.; Wang, Y.; Zhang, J.; Zhang, S.; Xu, L.; Han, T. Piper sarmentosum Roxb.: A review on its botany, traditional uses, phytochemistry, and pharmacological activities. J. Ethnopharmacol. 2020, 263, 112897. [Google Scholar] [CrossRef] [PubMed]
- Devanthran, K.; Unyah, Z.; Majid, R.A.; Abdullah, W.O. In vitro activity of Piper sarmentosum ethanol leaf extract against Toxoplasma gondii tachyzoites. Trop. J. Pharm. Res. 2017, 16, 2667–2673. [Google Scholar] [CrossRef]
- Sanusi, A.; Umar, R.A.; Zahary, M.N.; Rohin, M.A.K.; Pauzi, M.; Ismail, S. Chemical compositions and antimicrobial properties of Piper sarmentosum—A Review. IOSR J. Dent. Med. Sci. 2017, 16, 62–65. [Google Scholar]
- Chaimanee, V.; Thongtue, U.; Sornmai, N.; Songsri, S.; Pettis, J.S. Antimicrobial activity of plant extracts against the honeybee pathogens, Paenibacillus larvae and Ascosphaera apis and their topical toxicity to Apis mellifera adults. J. Appl. Microbiol. 2017, 123, 1160–1167. [Google Scholar] [CrossRef]
- Estai, M.A.; Soelaiman, I.N.; Shuid, A.N.; Das, S.; Ali, A.M.; Suhaimi, F.H. Histological changes in the fracture callus following the administration of water extract of Piper sarmentosum (daun kadok) in estrogen-deficient rats. Iran. J. Med. Sci. 2011, 36, 281–288. [Google Scholar]
- Ramli, E.S.M.; Soelaiman, I.N.; Othman, F.; Ahmad, F.; Shuib, A.N.; Mohamed, N.; Muhammad, N.; Suhaimi, F. The effects of Piper sarmentosum water extract on the expression and activity of 11beta-hydroxysteroid dehydrogenase type 1 in the bones with excessive glucocorticoids. Iran. J. Med. Sci. 2012, 37, 39–46. [Google Scholar]
- Khan, M.; Elhussein, S.A.A.; Khan, M.M.; Khan, N. Anti-acetylcholinesterase activity of Piper sarmentosum by a continuous immobilized-enzyme Assay. APCBEE Procedia 2012, 2, 199–204. [Google Scholar] [CrossRef]
- Li, Q.; Qu, F.L.; Gao, Y.; Jiang, Y.P.; Rahman, K.; Lee, K.H.; Han, T.; Qin, L.P. Piper sarmentosum Roxb. produces antidepressant-like effects in rodents, associated with activation of the CREB-BDNF-ERK signaling pathway and reversal of HPA axis hyperactivity. J. Ethnopharmacol. 2017, 199, 9–19. [Google Scholar] [CrossRef] [PubMed]
- Yeo, E.T.Y.; Wong, K.W.L.; See, M.L.; Wong, K.Y.; Gan, S.Y.; Chan, E.W.L. Piper sarmentosum Roxb. confers neuroprotection on beta-amyloid (Abeta)-induced microglia-mediated neuroinflammation and attenuates tau hyperphosphorylation in SH-SY5Y cells. J. Ethnopharmacol. 2018, 217, 187–194. [Google Scholar] [CrossRef] [PubMed]
- Azlina, M.F.N.; Qodriyah, H.M.S.; Akmal, M.N.; Ibrahim, I.A.A.; Kamisah, Y. In vivo effect of Piper sarmentosum methanolic extract on stress-induced gastric ulcers in rats. Arch. Med. Sci. 2019, 15, 223–231. [Google Scholar] [CrossRef]
- Ariffin, S.H.Z.; Wan Omar, W.H.; Ariffin, Z.Z.; Safian, M.F.; Senafi, S.; Abdul Wahab, R.M. Intrinsic anticarcinogenic effects of Piper sarmentosum ethanolic extract on a human hepatoma cell line. Cancer Cell Int. 2009, 9, 6. [Google Scholar] [CrossRef] [PubMed]
- Krisanapun, C.; Wongkrajang, Y.; Temsiririrkkul, R.; Phornchirasilp, S.; Peungvicha, P. In vitro evaluation of anti-diabetic potential of Piper sarmentosum Roxb. extract. FASEB J. 2012, 26, 686.7. [Google Scholar] [CrossRef]
- Hematpoor, A.; Paydar, M.; Liew, S.Y.; Sivasothy, Y.; Mohebali, N.; Looi, C.Y.; Wong, W.F.; Azirun, M.S.; Awang, K. Phenylpropanoids isolated from Piper sarmentosum Roxb. induce apoptosis in breast cancer cells through reactive oxygen species and mitochondrial-dependent pathways. Chem. Biol. Interact. 2018, 279, 210–218. [Google Scholar] [CrossRef]
- Baba, M.S.; Hassan, Z.A.A. Piper Sarmentosum leaf as a promising non-toxic antiparasitic agent against trypanosoma evansi-induced mice. Malays. J. Microsc. 2019, 15, 46–60. [Google Scholar]
- Mohd Zainudin, M.; Zakaria, Z.; Megat Mohd Nordin, N.A. The use of Piper sarmentosum leaves aqueous extract (KadukmyTM) as antihypertensive agent in spontaneous hypertensive rats. BMC Complement. Altern. Med. 2015, 15, 54. [Google Scholar] [CrossRef]
- Fauzy, F.H.; Mohd Zainudin, M.; Ismawi, H.R.; Elshami, T.F.T. Piper sarmentosum leaves aqueous extract attenuates vascular endothelial dysfunction in spontaneously hypertensive rats. Evid. Based Complement. Altern. Med. 2019, 2019, 7198592. [Google Scholar]
- Bjoroy, O.; Rayyan, S.; Fossen, T.; Kalberg, K.; Andersen, O.M. C-glycosylanthocyanidins synthesized from C-glycosylflavones. Phytochemistry 2009, 70, 278–287. [Google Scholar] [CrossRef]
- Isayenkova, J.; Wray, V.; Nimtz, M.; Strack, D.; Vogt, T. Cloning and functional characterisation of two regioselective flavonoid glucosyltransferases from Beta vulgaris. Phytochemistry 2006, 67, 1598–1612. [Google Scholar] [CrossRef] [PubMed]
- Liu, J.Y.; Li, S.Y.; Feng, J.Y.; Sun, Y.; Cai, J.N.; Sun, X.F.; Yang, S.L. Flavone C-glycosides from the flowers of Trollius chinensis and their anti-complementary activity. J. Asian Nat. Prod. Res. 2013, 15, 325–331. [Google Scholar] [CrossRef]
- Esaki, H.; Aoki, F.; Umemura, M.; Kato, M.; Maegawa, T.; Monguchi, Y.; Sajiki, H. Efficient h/d exchange reactions of alkyl-substituted benzene derivatives by means of the Pd/C-H(2)-D(2)O system. Chemistry 2007, 13, 4052–4063. [Google Scholar] [CrossRef]
- Godecke, T.; Kaloga, M.; Kolodziej, H. A phenol glucoside, uncommon coumarins and flavonoids from Pelargonium sidoides DC. Z. Nat. B 2005, 60, 677–682. [Google Scholar] [CrossRef]
- Ayer, W.A.; Racok, J.S. The metabolites of Talaromycesflavus: Part 1. Metabolites of the organic extracts. Can. J. Chem. 1990, 68, 2085–2094. [Google Scholar] [CrossRef]
- Tanaka, Y.; Yanagida, A.; Komeya, S.; Kawana, M.; Honma, D.; Tagashira, M.; Kanda, T.; Shibusawa, Y. Comprehensive separation and structural analyses of polyphenols and related compounds from bracts of hops (Humulus lupulus L.). J. Agric. Food Chem. 2014, 62, 2198–2206. [Google Scholar] [CrossRef]
- Pascual Teresa, J.D.; Urones, J.G.; Marcos, I.S.; Núñez, L.; Basabe, P. Diterpenoids and flavonoids from Cistus palinhae. Phytochemistry 1983, 22, 2805–2808. [Google Scholar] [CrossRef]
- Yang, D.; Wong, M.-K.; Yan, Z. Regioselective Intramolecular Oxidation of Phenols and Anisoles by Dioxiranes Generated in Situ. J. Org. Chem. 2000, 65, 4179–4184. [Google Scholar] [CrossRef]
- Hematpoor, A.; Liew, S.Y.; Chong, W.L.; Azirun, M.S.; Lee, V.S.; Awang, K. Inhibition and larvicidal activity of phenylpropanoids from Piper sarmentosum on acetylcholinesterase against mosquito vectors and Their binding mode of interaction. PLoS ONE 2016, 11, e0155265. [Google Scholar] [CrossRef]
- Elban, M.A.; Chapuis, J.C.; Li, M.; Hecht, S.M. Synthesis and biological evaluation of cepharadiones A and B and related dioxoaporphines. Bioorg. Med. Chem. 2007, 15, 6119–6125. [Google Scholar] [CrossRef]
- Lin, C.-F.; Hwang, T.-L.; Chien, C.-C.; Tu, H.-Y.; Lay, H.-L. A New Hydroxychavicol Dimer from the Roots of Piper betle. Molecules 2013, 18, 2563–2570. [Google Scholar] [CrossRef]
- Yan, Z.-H.; Han, Z.-Z.; Hu, X.-Q.; Liu, Q.-X.; Zhang, W.-D.; Liu, R.-H.; Li, H.-L. Chemical constituents of Euonymus alatus. Chem. Nat. Compd. 2013, 49, 340–342. [Google Scholar] [CrossRef]
- Azman, N.A.N.; Alhawarri, M.B.; Rawa, M.S.A.; Dianita, R.; Gazzali, A.M.; Nogawa, T.; Wahab, H.A. Potential Anti-Acetylcholinesterase Activity of Cassia timorensis DC. Molecules 2020, 25, 4545. [Google Scholar] [CrossRef] [PubMed]
- Li, C.Y.; Tsai, W.J.; Damu, A.G.; Lee, E.J.; Wu, T.S.; Dung, N.X.; Thang, T.D.; Thanh, L. Isolation and Identification of Antiplatelet Aggregatory Principles from the Leaves of Piper lolot. J. Agric. Food Chem. 2007, 55, 9436–9442. [Google Scholar] [CrossRef] [PubMed]
- Piyatida, P.; Suenaga, K.; Ohno, O.; Kato-Noguchi, H. Isolation of allelopathic substance from Piper sarmentosum Roxb. Allelopath. J. 2012, 30, 93–102. [Google Scholar]
- Akramov, D.K.; Bacher, M.; Zengin, G.; Bohmdorfer, S.; Rosenau, T.; Azimova, S.S.; Mamadalieva, N.Z. Chemical Composition and Anticholinesterase Activity of Lagochilus inebrians. Chem. Nat. Compd. 2019, 55, 575–577. [Google Scholar] [CrossRef]
- Seigler, D.S.; Pauli, G.F.; Nahrstedt, A.; Leen, R. Cyanogenic allosides and glucosides from Passiflora edulis and Carica papaya. Phytochemistry 2002, 60, 873–882. [Google Scholar] [CrossRef]
- Tsuruga, T.; Ebizuka, Y.; Nakajima, J.; Chun, Y.-T.; Noguchi, H.; Iitaka, Y.; Sankawa, U. Biologically Active Constituents of Magnolia salicifolia: Inhibitors of Induced Histamine Release from Rat Mast Cells. Chem. Pharm. Bull. 1991, 39, 3265–3271. [Google Scholar] [CrossRef]
- Koul, S.K.; Taneja, S.C.; Malhotra, S.; Dhar, K.L. Phenylpropanoids and (−)-ledol from two Piper species. Phytochemistry 1993, 32, 478–480. [Google Scholar] [CrossRef]
- Devari, S.; Rizvi, M.A.; Shah, B.A. Visible light mediated chemo-selective oxidation of benzylic alcohols. Tetrahedron Lett. 2016, 57, 3294–3297. [Google Scholar] [CrossRef]
- Xie, L.-W.; Atanasov, A.G.; Guo, D.-A.; Malainer, C.; Zhang, J.-X.; Zehl, M.; Guan, S.-H.; Heiss, E.H.; Urban, E.; Dirsch, V.M.; et al. Activity-guided isolation of NF-κB inhibitors and PPARγ agonists from the root bark of Lycium chinense Miller. J. Ethnopharmacol. 2014, 152, 470–477. [Google Scholar] [CrossRef] [PubMed]
- Lo, W.L.; Chang, F.R.; Wu, Y.C. Alkaloids from the leaves of Fissistigma glaucescens. J. Chin. Chem. Soc. 2000, 47, 1251–1256. [Google Scholar] [CrossRef]
- Yang, X.-N.; Jin, Y.-S.; Zhu, P.; Chen, H.-S. Amides from Uvaria microcarpa. Chem. Nat. Compd. 2010, 46, 324–326. [Google Scholar] [CrossRef]
- Otsuka, H.; Yao, M.; Kamada, K.; Takeda, Y. Alangionosides G-M: Glycosides of Megastigmane Derivatives from the Leaves of Alangium premnifolium. Chem. Pharm. Bull. 1995, 43, 754–759. [Google Scholar] [CrossRef]
- Ryu, J.H.; Son, H.J.; Lee, S.H.; Sohn, D.H. Two neolignans from Perilla frutescens and their inhibition of nitric oxide synthase and tumor necrosis factor-alpha expression in murine macrophage cell line RAW 264.7. Bioorg. Med. Chem. Lett. 2002, 12, 649–651. [Google Scholar] [CrossRef]
- Mbaveng, A.T.; Wamba, B.E.N.; Bitchagno, G.T.M.; Tankeo, S.B.; Celik, I.; Atontsa, B.C.K.; Lonfouo, A.H.N.; Kuete, V.; Efferth, T. Bioactivity of fractions and constituents of Piper capense fruits towards a broad panel of cancer cells. J. Ethnopharmacol. 2021, 271, 113884. [Google Scholar] [CrossRef]
- Gong, Y.; Li, H.X.; Guo, R.H.; Widowati, W.; Kim, Y.H.; Yang, S.Y.; Kim, Y.R. Anti-allergic Inflammatory Components from the Leaves of Piper crocatum Ruiz & Pav. Biol. Pharm. Bull. 2021, 44, 245–250. [Google Scholar]
- Usia, T.; Watabe, T.; Kadota, S.; Tezuka, Y. Potent CYP3A4 inhibitory constituents of Piper cubeba. J. Nat. Prod. 2005, 68, 64–68. [Google Scholar] [CrossRef]
- Alqadeeri, F.; Rukayadi, Y.; Abbas, F.; Shaari, K. Antibacterial and Antispore Activities of Isolated Compounds from Piper cubeba L. Molecules 2019, 24, 3095. [Google Scholar] [CrossRef]
- Zheng, Y.-K.; Su, B.-J.; Wang, Y.-Q.; Wang, H.-S.; Liao, H.-B.; Liang, D. New Tyramine- and Aporphine-Type Alkamides with NO Release Inhibitory Activities from Piper puberulum. J. Nat. Prod. 2021, 84, 1316–1325. [Google Scholar] [CrossRef]
- Salleh, W.M.N.H.W.; Hashim, N.A.; Khamis, S. Chemical constituents of Piper ribesioides. Chem. Nat. Compd. 2021, 57, 795–797. [Google Scholar] [CrossRef]
- Mahindru, R.N.; Taneja, S.C.; Dhar, K.L.; Brown, R.T. Reassignment of Structures of the Neolignans, Magnosalin and Andamanicin. Phytochemistry 1993, 32, 1073–1075. [Google Scholar] [CrossRef]
- Luyen, B.T.T.; Thao, N.P.; Widowati, W.; Fauziah, N.; Maesaroh, M.; Herlina, T.; Kim, Y.H. Chemical constituents of Piper aduncum and their inhibitory effects on soluble epoxide hydrolase and tyrosinase. Med. Chem. Res. 2017, 26, 220–226. [Google Scholar] [CrossRef]
- Zou, J.-H.; Yang, J.-S.; Dong, Y.-S.; Zhou, L.; Lin, G. Flavone C-glycosides from flowers of Trollius ledebouri. Phytochemistry 2005, 66, 1121–1125. [Google Scholar] [CrossRef]
- Teng, R.W.; Wang, D.Z.; Wu, Y.S.; Lu, Y.; Zheng, Q.T.; Yang, C.R. NMR assignments and single-crystal X-ray diffraction analysis of deoxyloganic acid. Magn. Reason. Chem. 2005, 43, 92–96. [Google Scholar] [CrossRef]
- Woo, S.-Y.; Wong, C.P.; Win, N.N.; Lae, K.Z.W.; Woo, B.; Elsabbagh, S.A.; Liu, Q.Q.; Ngwe, H.; Morita, H. Anti-melanin deposition activity and active constituents of Jatropha multifida stems. J. Nat. Med. 2019, 73, 805–813. [Google Scholar] [CrossRef] [PubMed]
- Cortes, D.; Hocquemiller, R.; Leboeuf, M.; Cave, A.; Moretti, C. Alkaloids of Annonaceae. Part 68. Alkaloids from the Leaves of Guatteria-Ouregou. J. Nat. Prod. 1986, 49, 878–884. [Google Scholar] [CrossRef]
- Yun, E.Y.; Hwang, J.S.; Kim, M.A.; Baek, M.H.; Jun, M.R.; Youn, K.J.; Lee, S.A. A Novel Compound Isolated from Tenebrio molitor Larvae and Separation Method. Thereof. Patent WO2017175915A1, 12 October 2017. [Google Scholar]
- Li, G.Q.; Zhang, Y.B.; Guan, H.S. A new isoxazol from Glehnia littoralis. Fitoterapia 2008, 79, 238–239. [Google Scholar] [CrossRef]
- Sun, D.-D.; Dong, W.-W.; Li, X.; Zhang, H.-Q. Indole alkaloids from the roots of Isatis ingigotica and their antiherpes simplex virus type 2 (HSV-2) activity in vitro. Chem. Nat. Compd. 2010, 46, 763–766. [Google Scholar] [CrossRef]
- Muraoka, A.; Sawada, T.; Morimoto, E.; Tanabe, G. Chalcones as Synthetic Intermediates. A Facile Route to (±)-Magnosalicin, an Antiallergy Neolignan. Chem. Pharm. Bull. 1993, 41, 772–774. [Google Scholar] [CrossRef]
- Tsuruga, T.; Ebizuka, Y.; Nakajima, J.; Chun, Y.T.; Noguchi, H.; Iitaka, Y.; Sankawa, U. Isolation of a new neolignan, magnosalicin, from Magnolia salicifolia. Tetrahedron Lett. 1984, 25, 4129–4132. [Google Scholar] [CrossRef]
- Mottier, M.L.; Alvarez, L.I.; Pis, M.A.; Lanusse, C.E. Transtegumental diffusion of benzimidazole anthelmintics into Moniezia benedeni: Correlation with their octanol-water partition coefficients. Exp. Parasitol. 2003, 103, 1–7. [Google Scholar] [CrossRef] [PubMed]
- McGaw, L.J.; Jager, A.K.; van Staden, J. Isolation of beta-asarone, an antibacterial and anthelmintic compound, from Acorus calamus in South Africa. S. Afr. J. Bot. 2002, 68, 31–35. [Google Scholar] [CrossRef]
- Unelius, C.R.; Bohman, B.; Nordlander, G. Comparison of Phenylacetates with Benzoates and Phenylpropanoates as Antifeedants for the Pine Weevil, Hylobius abietis. J. Agric. Food Chem. 2018, 66, 11797–11805. [Google Scholar] [CrossRef] [PubMed]
- Shi, Y.N.; Liu, F.F.; Jacob, M.R.; Li, X.C.; Zhu, H.T.; Wang, D.; Cheng, R.R.; Yang, C.R.; Xu, M.; Zhang, Y.J. Antifungal Amide Alkaloids from the Aerial Parts of Piper flaviflorum and Piper sarmentosum. Planta Med. 2017, 83, 143–150. [Google Scholar] [CrossRef] [PubMed]
- Tabopda, T.K.; Ngoupayo, J.; Liu, J.; Mitaine-Offer, A.C.; Tanoli, S.A.K.; Khan, S.N.; Ali, M.S.; Ngadjui, B.T.; Tsamo, E.; Lacaille-Dubois, M.A.; et al. Bioactive aristolactams from Piper umbellatum. Phytochemistry 2008, 69, 1726–1731. [Google Scholar] [CrossRef] [PubMed]
- Park, C.-J.; Kim, H.-S.; Lee, D.W.; Kim, J.; Choi, Y.-H. Identification of antifungal constituents of essential oils extracted from Boesenbergia pulcherrima against Fusarium wilt (Fusarium oxysporum). Appl. Biol. Chem. 2020, 63, 34. [Google Scholar] [CrossRef]
- Bai, Y.; Sun, Y.; Xie, J.; Li, B.; Bai, Y.; Zhang, D.; Liang, J.; Xiao, C.; Zhong, A.; Cao, Y.; et al. The asarone-derived phenylpropanoids from the rhizome of Acorus calamus var. angustatus Besser. Phytochemistry 2020, 170, 112212. [Google Scholar] [CrossRef]
- Wang, Z.J.; Zhu, Y.Y.; Yi, X.; Zhou, Z.S.; He, Y.J.; Zhou, Y.; Qi, Z.H.; Jin, D.N.; Zhao, L.X.; Luo, X.D. Bioguided isolation, identification and activity evaluation of antifungal compounds from Acorus tatarinowii Schott. J. Ethnopharmacol. 2020, 261, 113119. [Google Scholar] [CrossRef]
- Lee, H.S. Fungicidal property of active component derived from Acorus gramineus rhizome against phytopathogenic fungi. Bioresour. Technol. 2007, 98, 1324–1328. [Google Scholar] [CrossRef]
- Mata, R.; Morales, I.; Perez, O.; Rivero-Cruz, I.; Acevedo, L.; Enriquez-Mendoza, I.; Bye, R.; Franzblau, S.; Timmermann, B. Antimycobacterial compounds from Piper sanctum. J. Nat. Prod. 2004, 67, 1961–1968. [Google Scholar] [CrossRef]
- Elhendawy, M.A.; Wanas, A.S.; Radwan, M.M.; Azzaz, N.A.; Toson, E.S.; ElSohly, M.A. Chemical and Biological Studies of Cannabis sativa Roots. Med. Cannabis Cannabinoids 2019, 1, 104–111. [Google Scholar] [CrossRef]
- Nongmai, C.; Kanokmedhakul, K.; Promgool, T.; Paluka, J.; Suwanphakdee, C.; Kanokmedhakul, S. Chemical constituents and antibacterial activity from the stems and leaves of Piper wallichii. J. Asian Nat. Prod. Res. 2022, 24, 344–352. [Google Scholar] [CrossRef] [PubMed]
- Tsai, I.L.; Lee, F.P.; Wu, C.C.; Duh, C.Y.; Ishikawa, T.; Chen, J.J.; Chen, Y.C.; Seki, H.; Chen, I.S. New cytotoxic cyclobutanoid amides, a new furanoid lignan and anti-platelet aggregation constituents from Piper arborescens. Planta Med. 2005, 71, 535–542. [Google Scholar] [CrossRef] [PubMed]
- Wu, T.S.; Leu, Y.L.; Chan, Y.Y. Constituents from the stem and root of Aristolochia kaempferi. Biol. Pharm. Bull. 2000, 23, 1216–1219. [Google Scholar] [CrossRef] [PubMed]
- Kim, K.H.; Moon, E.; Kim, H.K.; Oh, J.Y.; Kim, S.Y.; Choi, S.U.; Lee, K.R. Phenolic constituents from the rhizomes of Acorus gramineus and their biological evaluation on antitumor and anti-inflammatory activities. Bioorg. Med. Chem. Lett. 2012, 22, 6155–6159. [Google Scholar] [CrossRef] [PubMed]
- Zou, J.; Zhang, S.; Zhao, H.; Wang, Y.H.; Zhou, Z.Q.; Chen, G.D.; Hu, D.; Li, N.; Yao, X.S.; Gao, H. Biotransformation of alpha-asarone by Alternaria longipes CGMCC 3.2875. Chin. J. Nat. Med. 2021, 19, 700–705. [Google Scholar]
- Thomsen, H.; Reider, K.; Franke, K.; Wessjohann, L.A.; Keiser, J.; Dagne, E.; Arnold, N. Characterization of Constituents and Anthelmintic Properties of Hagenia abyssinica. Sci. Pharm. 2012, 80, 433–446. [Google Scholar] [CrossRef]
- Stiernagle, T. Maintenance of C. elegans. In WormBook; The C. elegans Research Community, Ed.; 2006. [Google Scholar] [CrossRef]
- Otto, A.; Laub, A.; Porzel, A.; Schmidt, J.; Wessjohann, L.; Westermann, B.; Arnold, N. Isolation and Total Synthesis of Albupeptins A-D: 11-Residue Peptaibols from the Fungus Gliocladium album. Eur. J. Org. Chem. 2015, 2015, 7449–7459. [Google Scholar] [CrossRef]
- Stark, S. Utilization of the Ugi four-component reaction for the synthesis of lipophilic peptidomimetics as potential antimicrobials. Doctoral Dissertation, MLU Halle-Wittenberg, Halle, Germany, 2016. [Google Scholar]
- Khan, M.F.; Nasr, F.A.; Noman, O.M.; Alyhya, N.A.; Ali, I.; Saoud, M.; Rennert, R.; Dube, M.; Hussain, W.; Green, I.R.; et al. Cichorins D-F: Three New Compounds from Cichorium intybus and Their Biological Effects. Molecules 2020, 25, 4160. [Google Scholar] [CrossRef]







| Pos. | δH a, Mult. J (Hz) | δC b | Pos. | δH a, Mult. J (Hz) | δC b | 
|---|---|---|---|---|---|
| 2 | 166.5 | 5″ | 3.66 m | 80.7 | |
| 3 | 6.62 s | 103.6 | 6″A | 3.77 | 62.7 | 
| 4 | 184.2 | 6″B | 3.67 | 62.7 | |
| 5 | 162.7 | 1‴ | 172.2 | ||
| 6 | 6.24 s | 99.4 | 2‴A | 2.83 | 46.2 | 
| 7 | 164.5 | 2‴B | 2.73 | 46.2 | |
| 8 | 104.9 | 3‴ | 70.9 | ||
| 9 | 158.2 | 4‴A | 2.83 | 46.4 | |
| 10 | 105.7 | 4‴B | 2.72 | 46.4 | |
| 1′ | 123.5 | 5‴ | 174.8 | ||
| 2′ | 8.04 d 8.7 | 130.1 | 3‴-CH3 | 1.46 s | 27.7 | 
| 3′ | 7.03 d 8.7 | 117.2 | 1″″ | 4.26 d 7.7 | 105.3 | 
| 4′ | 162.9 | 2″″ | 2.97 t 8.0 | 75.7 | |
| 5′ | 7.03 d 8.7 | 117.2 | 3″″ | 3.15 m | 77.6 | 
| 6′ | 8.04 d 8.7 | 130.1 | 4″″ | 3.11 m | 71.3 | 
| 1″ | 5.09 d 10.1 | 73.8 | 5″″ | 2.76 m | 77.0 | 
| 2″ | 4.42 t 9.4 | 80.7 | 6″″A | 3.41 | 62.4 | 
| 3″ | 3.96 m | 77.7 | 6″″B | 3.31 | 64.4 | 
| 4″ | 5.26 t 9.6 | 72.7 | 
| Pos. | δH a, Mult. J (Hz) | δC b | Pos. | δH a, Mult. J (Hz) | δC b | 
|---|---|---|---|---|---|
| 1 | - | 147.9 | 3′/5′ | 6.81 d 8.6 | 114.9 | 
| 2 | - | 140.1 | 4′ | - | 159.6 | 
| 3 | 6.98 s | 121.8 | 7′ | 2.84 t 7.7 | 31.3 | 
| 4 | - | 120.7 | 8′ | 2.54 t 7.7 | 37.2 | 
| 5 | - | 155.3 | 9′ | - | 176.9 | 
| 6 | 6.47 s | 100.9 | 4′-OMe′ | 3.75 | 55.2 | 
| 7 | 3.22 d 6.4 | 34.6 | 1″ | 4.58 d 7.2 | 106.0 | 
| 8 | 5.91 ddt 16.7, 9.7, 6.4 | 138.7 | 2″ | 3.44 m | 75.0 | 
| 9A | 5.00 dd 16.7, 1.9 | 115.2 | 3″ | 3.42 | 77.7 | 
| 9B | 4.94 dd 9.7, 1.9 | 115.2 | 4″ | 3.30 m | 71.2 | 
| 5-OMe | 3.73 | 56.2 | 5″ | 3.34 | 78.2 | 
| 1′ | - | 134.2 | 6A″ | 3.71 | 62.3 | 
| 2′/6′ | 7.12 d 8.6 | 130.3 | 6B″ | 3.87 | 62.3 | 
| Pos. | δH a, Mult. J (Hz) | δC b | Pos. | δH a, Mult. J (Hz) | δC b | 
|---|---|---|---|---|---|
| 1 | 177.1 | 2′ | 7.47 d 8.7 | 131.2 | |
| 2 | 4.32 d 4.7 | 74.8 | 3′ | 6.81 d 8.7 | 116.8 | 
| 3 | 4.39 dd 5.4, 4.7 | 74.9 | 4′ | 161.3 | |
| 4 | 4.59 dd 6.3, 5.4 | 81.3 | 5′ | 6.81 d 8.7 | 116.8 | 
| 5 | 4.24 ddd 6.3, 6.3, 3.3 | 69.3 | 6′ | 7.47 d 8.7 | 131.2 | 
| 6A | 4.35 dd 11.7, 3.3 | 66.9 | 7′ | 7.67 d 16.0 | 146.9 | 
| 6B | 4.44 dd 11.7, 6.3 | 66.9 | 8′ | 6.38 d 16.0 | 114.9 | 
| 1′ | 127.2 | 9′ | 169.1 | 
| Antifungal Assays | Antibacterial Assays | |||
|---|---|---|---|---|
| Growth Inhibition [%] a | Growth Inhibition [%] a | |||
| B. cinerea | S. tritici | P. infestans | A. fischeri | |
| Compound | 125 µM | 125 µM | 125 µM | 100 µM b | 
| 1 | −18.6 ± 13.4 | 14.6 ± 15.5 | −10.7 ± 3.0 | −13.9 ± 11.4 | 
| 2 | 6.8 ± 20.5 | 84.9 ± 3.4 | 94.4 ± 0.7 | −33.2 ± 19.3 | 
| 3 | 15.6 ± 6.7 | 12.1 ± 9.9 | 4.2 ± 2.4 | 8.2 ± 12.1 | 
| 4 | 7.7 ± 11.1 | 48.3 ± 4.2 | −39.6 ± 8.5 | 2.1 ± 9.7 | 
| 5 | −49.9 ± 9.4 | 22.3 ± 6.6 | −12.4 ± 9.5 | −7.1 ± 13.6 | 
| 6 | 20.8 ± 6.3 | −33.9 ± 16.4 | −9.2 ± 9.4 | −41.4 ± 19.8 | 
| 7 | 29.9 ± 10.3 | −11.7 ± 14.5 | 1.1 ± 2.0 | −34.67 ± 26.3 | 
| 8 | 48.4 ± 10.9 | 44.9 ± 8.3 | −31.0 ± 13.0 | −3.3 ± 9.2 | 
| 9 | 21.6 ± 5.1 | −7.7 ± 8.1 | −12.6 ± 9.3 | −43.5 ± 12.9 | 
| 10 | 1.9 ± 6.9 | 13.2 ± 7.3 | 3.1 ± 2.8 | −4.7 ± 11.7 | 
| 11 | 20.1 ± 4.7 | 42.3 ± 1.9 | 0.4 ± 10.0 | −15.4 ± 10.3 | 
| 12 | 39.2 ± 14.3 | 44.1 ± 1.9 | 28.5 ± 1.8 | −73.9 ± 27.4 | 
| 15 | 96.9 ± 1.6 | −0.1 ± 5.2 | 20.0 ± 2.5 | −49.4 ± 6.4 | 
| 16 | 8.3 ± 6.1 | 6.7 ± 5.6 | −5.4 ± 9.1 | 6.2 ± 7.6 | 
| 18 | 5.2 ± 1.6 | 0.8 ± 6.8 | −18.1 ± 17.9 | 40.7 ± 4.8 | 
| 19 | 2.6 ± 6.2 | −7.5 ± 6.9 | −10.3 ± 5.5 | 85.4 ± 0.2 | 
| 21 | 33.9 ± 9.0 | 6.3 ± 23.8 | 0.8 ± 1.6 | 100. ± 0.1 | 
| 22 | −36.3 ± 24.5 | −7.1 ± 16.3 | −31.5 ± 16.7 | −53.3 ± 15.6 | 
| 23 | 81.9 ± 1.7 | 44.5 ± 3.9 | 2.4 ± 6.8 | 99.6 ± 0.3 | 
| 24 | 87.8 ± 7.5 | 36.8 ± 4.5 | 7.5 ± 4.3 | 41.1 ± 3.9 | 
| 25 | 28.4 ± 5.5 | −1.8 ± 7.5 | 27.2 ± 13.9 | −16.2 ± 8.6 | 
| 26 | 32.9 ± 12.5 | −13.5 ± 10.7 | −7.8 ± 6.6 | −91.7 ± 16.1 | 
| 28 | 30.4 ± 3.8 | 12.1 ± 17.4 | 3.1 ± 3.5 | −55.5 ± 19.1 | 
| 29 | 0.4 ± 4.8 | 34.5 ± 6.4 | −35.7 ± 0.6 | −5.3 ± 16.6 | 
| 30 | 32.8 ± 5.8 | −1.9 ± 13.7 | −22.9 ± 4.6 | 14.1 ± 13.0 | 
| 31 | 37.7 ± 3.1 | −25.1 ± 20.2 | −19.5 ± 10.7 | 8.4 ± 4.1 | 
| 32 | 34.8 ± 6.6 | −31.1 ± 29.3 | −18.6 ± 7.1 | −14.5 ± 6.8 | 
| Pos. control | 125 µM epoxiconazole | 125 µM terbinafine | 100 µM chloramphenicol | |
| 92.0 ± 1.4 | 96.8 ± 1.2 | 99.0 ± 0 | ||
| Disclaimer/Publisher’s Note: The statements, opinions and data contained in all publications are solely those of the individual author(s) and contributor(s) and not of MDPI and/or the editor(s). MDPI and/or the editor(s) disclaim responsibility for any injury to people or property resulting from any ideas, methods, instructions or products referred to in the content. | 
© 2023 by the authors. Licensee MDPI, Basel, Switzerland. This article is an open access article distributed under the terms and conditions of the Creative Commons Attribution (CC BY) license (https://creativecommons.org/licenses/by/4.0/).
Share and Cite
Ware, I.; Franke, K.; Dube, M.; Ali El Enshasy, H.; Wessjohann, L.A. Characterization and Bioactive Potential of Secondary Metabolites Isolated from Piper sarmentosum Roxb. Int. J. Mol. Sci. 2023, 24, 1328. https://doi.org/10.3390/ijms24021328
Ware I, Franke K, Dube M, Ali El Enshasy H, Wessjohann LA. Characterization and Bioactive Potential of Secondary Metabolites Isolated from Piper sarmentosum Roxb. International Journal of Molecular Sciences. 2023; 24(2):1328. https://doi.org/10.3390/ijms24021328
Chicago/Turabian StyleWare, Ismail, Katrin Franke, Mthandazo Dube, Hesham Ali El Enshasy, and Ludger A. Wessjohann. 2023. "Characterization and Bioactive Potential of Secondary Metabolites Isolated from Piper sarmentosum Roxb." International Journal of Molecular Sciences 24, no. 2: 1328. https://doi.org/10.3390/ijms24021328
APA StyleWare, I., Franke, K., Dube, M., Ali El Enshasy, H., & Wessjohann, L. A. (2023). Characterization and Bioactive Potential of Secondary Metabolites Isolated from Piper sarmentosum Roxb. International Journal of Molecular Sciences, 24(2), 1328. https://doi.org/10.3390/ijms24021328
 
        





 
       