Regulation of Embden–Meyerhof–Parnas (EMP) Pathway and Tricarboxylic Acid (TCA) Cycle Concerning Aberrant Chilling Injury Behavior in Postharvest Papaya (Carica papaya L.)
Abstract
:1. Introduction
2. Results
2.1. CI Index Development
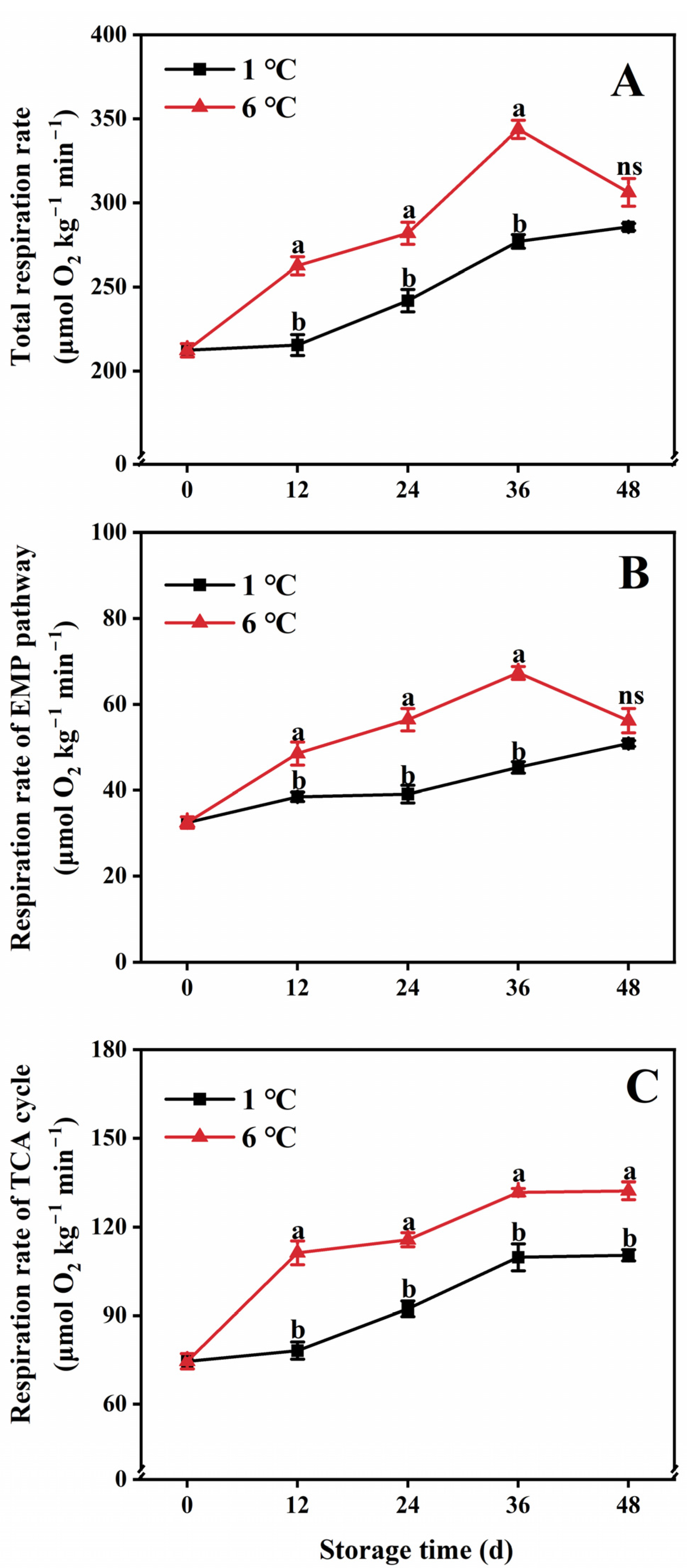
2.2. Respiration Rate
2.3. NAD(H) Contents
2.4. Key Enzyme Activities in the EMP Pathway
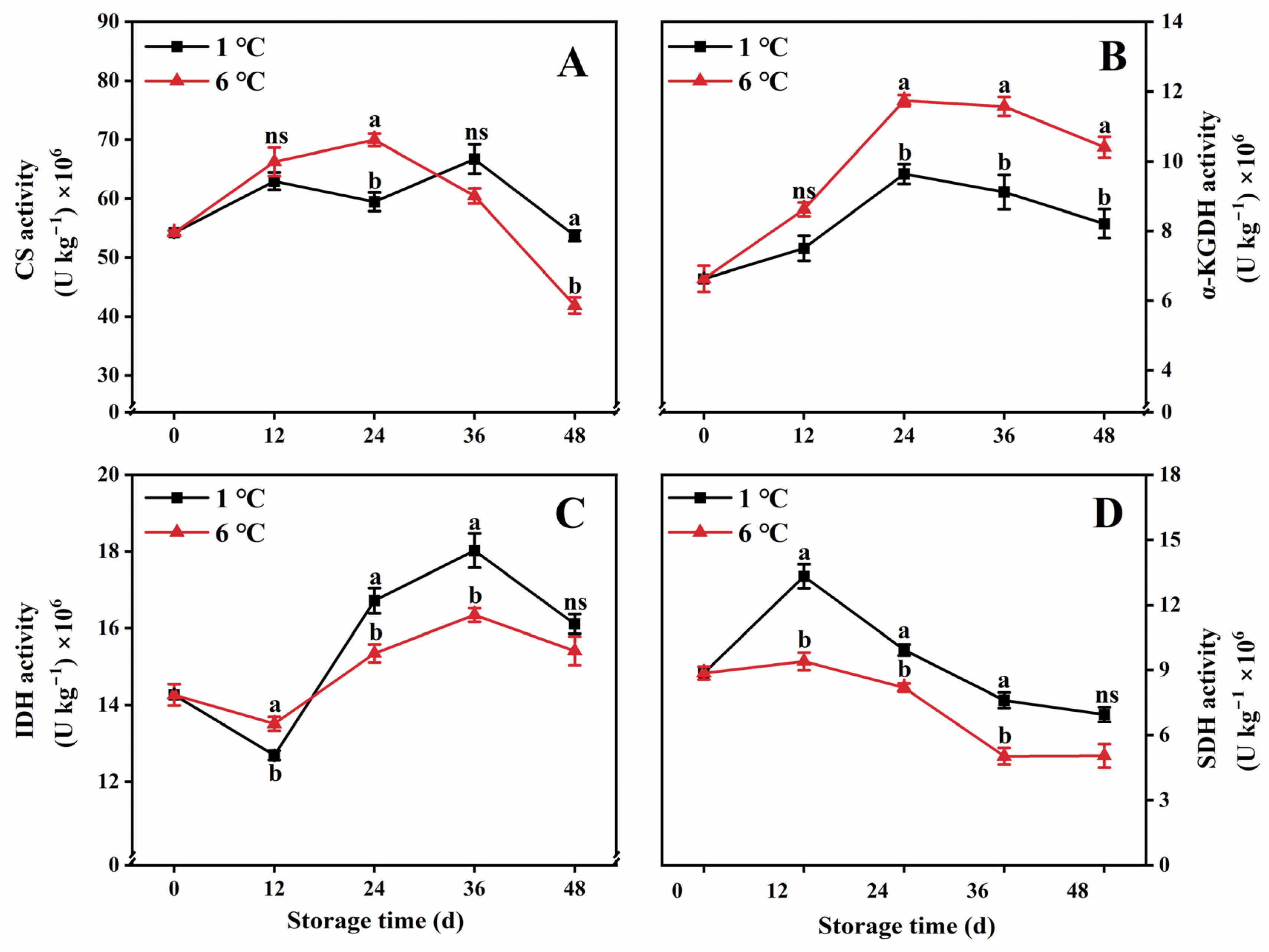
2.5. Key Enzyme Activity in the TCA Cycle
2.6. Gene Expression
2.6.1. Expression of EMP Genes
2.6.2. Expression of Genes in TCA
2.7. Correlations between Indicators Were Analyzed
3. Discussion
4. Materials and Methods
4.1. Fruit Materials and Treatments
4.2. Evaluation of Chilling Injury (CI) Index
4.3. Determination of Respiration Rate
4.4. Determination of NAD(H) Contents
4.5. Key Enzyme Activity in the EMP Pathway
4.5.1. HK Activity
4.5.2. PFK and PK Activities
4.6. Key Enzyme Activities in the TCA Cycle
4.6.1. CS and α-KGDH Activities
4.6.2. IDH and SDH Activities
4.7. Gene Expression Analysis
4.8. Statistical Analysis
5. Conclusions
Author Contributions
Funding
Institutional Review Board Statement
Informed Consent Statement
Data Availability Statement
Conflicts of Interest
References
- Iordănescu, O.A.; Băla, M.; Gligor, D.; Zippenfening, S.E.; Cugerean, M.I.; Petroman, M.I.; Hădărugă, D.I.; Hădărugă, N.G.; Riviş, M. A DPPH· kinetic approach on the antioxidant activity of various parts and ripening levels of papaya (Carica papaya L.) ethanolic extracts. Plants 2021, 10, 1679. [Google Scholar] [CrossRef] [PubMed]
- Salinas, I.; Hueso, J.J.; Força Baroni, D.; Cuevas, J. Plant growth, yield, and fruit size improvements in ‘Alicia’ papaya multiplied by grafting. Plants 2023, 12, 1189. [Google Scholar] [CrossRef]
- Sharma, A.; Bachheti, A.; Sharma, P.; Bachheti, R.K.; Husen, A. Phytochemistry, pharmacological activities, nanoparticle fabrication, commercial products and waste utilization of Carica papaya L.: A comprehensive review. Curr. Res. Biotechnol. 2020, 2, 145–160. [Google Scholar] [CrossRef]
- Fabi, J.P.; Ramos do Prado, S.B. Fast and furious: Ethylene-triggered changes in the metabolism of papaya fruit during ripening. Front. Plant Sci. 2019, 10, 335. [Google Scholar] [CrossRef] [PubMed]
- Zerpa-Catanho, D.; Esquivel, P.; Mora-Newcomer, E.; Sáenz, M.V.; Herrera, R.; Jiménez, V.M. Transcription analysis of softening-related genes during postharvest of papaya fruit (Carica papaya L. ‘Pococí’ hybrid). Postharvest Biol. Technol. 2017, 125, 42–51. [Google Scholar] [CrossRef]
- Pan, Y.G.; Yuan, M.Q.; Zhang, W.M.; Zhang, Z.K. Effect of low temperatures on chilling injury in relation to energy status in papaya fruit during storage. Postharvest Biol. Technol. 2017, 125, 181–187. [Google Scholar] [CrossRef]
- Shakila, A.; Arputham, A. Effect of storage temperatures on the quality and shelf life of papaya. Acta Hortic. 2010, 851, 537–540. [Google Scholar] [CrossRef]
- Parkin, K.L.; Marangoni, A.; Jackman, R.L.; Yada, R.Y.; Stanley, D.W. Chilling injury. A Review of possible mechanisms. J. Food Biochem. 1989, 13, 127–153. [Google Scholar] [CrossRef]
- Martins, D.R.; Barbosa, N.C.; de Resende, E.D. Respiration rate of Golden papaya stored under refrigeration and with different controlled atmospheres. Sci. Agric. 2014, 71, 369–373. [Google Scholar] [CrossRef]
- Barbosa, N.C.; Mendonça Vieira, R.A.; de Resende, E.D. Modeling the respiration rate of Golden papayas stored under different atmosphere conditions at room temperature. Postharvest Biol. Technol. 2018, 136, 152–160. [Google Scholar] [CrossRef]
- Megguer, C.A.; Fugate, K.K.; Lafta, A.M.; Ferrareze, J.P.; Deckard, E.L.; Campbell, L.G.; Lulai, E.C.; Finger, F.L. Glycolysis is dynamic and relates closely to respiration rate in stored sugarbeet roots. Front. Plant Sci. 2017, 8, 861. [Google Scholar] [CrossRef] [PubMed]
- Van Dongen, J.T.; Gupta, K.J.; Ramírez-Aguilar, S.J.; Araújo, W.L.; Nunes-Nesi, A.; Fernie, A.R. Regulation of respiration in plants: A role for alternative metabolic pathways. J. Plant Physiol. 2011, 168, 1434–1443. [Google Scholar] [CrossRef] [PubMed]
- Fernie, A.R.; Carrari, F.; Sweetlove, L.J. Respiratory metabolism: Glycolysis, the TCA cycle and mitochondrial electron transport. Curr. Opin. Plant Biol. 2004, 7, 254–261. [Google Scholar] [CrossRef] [PubMed]
- Castiglia, D.; Cardi, M.; Landi, S.; Cafasso, D.; Esposito, S. Expression and characterization of a cytosolic glucose 6 phosphate dehydrogenase isoform from barley (Hordeum vulgare) roots. Protein Expr. Purif. 2015, 112, 8–14. [Google Scholar] [CrossRef]
- Mittler, R. ROS are good. Trends. Plant Sci. 2017, 22, 11–19. [Google Scholar] [CrossRef]
- Heidarvand, L.; Millar, A.H.; Taylor, N.L. Responses of the mitochondrial respiratory system to low temperature in plants. Crit. Rev. Plant Sci. 2017, 36, 217–240. [Google Scholar] [CrossRef]
- Aghdam, M.S.; Luo, Z.S.; Li, L.; Jannatizadeh, A.; Fard, J.R.; Pirzad, F. Melatonin treatment maintains nutraceutical properties of pomegranate fruits during cold storage. Food Chem. 2020, 303, 125385. [Google Scholar] [CrossRef]
- Song, C.; Zhao, Y.; Li, A.; Qi, S.; Lin, Q.; Duan, Y. Postharvest nitric oxide treatment induced the alternative oxidase pathway to enhance antioxidant capacity and chilling tolerance in peach fruit. Plant Physiol. Biochem. 2021, 167, 113–122. [Google Scholar] [CrossRef]
- Wang, Y.S.; Luo, Z.S.; Khan, Z.U.; Mao, L.C.; Ying, T.J. Effect of nitric oxide on energy metabolism in postharvest banana fruit in response to chilling stress. Postharvest Biol. Technol. 2015, 108, 21–27. [Google Scholar] [CrossRef]
- Tao, S.K.; Zhu, Y.; Pan, Y.G.; Zhang, Z.Z.; Huang, L.J. Enhancement of respiratory metabolism of the pentose phosphate pathway (PPP) strengthens the chilling tolerance of postharvest papaya fruit stored at 1 degrees C. Postharvest Biol.Technol. 2022, 191, 111988. [Google Scholar] [CrossRef]
- Vichaiya, T.; Uthaibutra, J.; Saengnil, K. Gaseous chlorine dioxide increases energy status and energy metabolism-related enzyme activities leading to reduction in pericarp browning of longan fruit during storage. Sci. Hortic. 2020, 263, 109118. [Google Scholar] [CrossRef]
- Lin, Y.; Lin, H.; Chen, Y.; Wang, H.; Lin, M.; Ritenour, M.A. The role of ROS-induced change of respiratory metabolism in pulp breakdown development of longan fruit during storage. Food Chem. 2020, 305, 125439. [Google Scholar] [CrossRef]
- Tan, X.L.; Fan, Z.Q.; Zeng, Z.X.; Shan, W.; Kuang, J.F.; Lu, W.J. Exogenous melatonin maintains leaf quality of postharvest chinese flowering cabbage by modulating respiratory metabolism and energy status. Postharvest Biol. Technol. 2021, 177, 111524. [Google Scholar] [CrossRef]
- Soto, I.C.; Fontanesi, F.; Liu, J.; Barrientos, A. Biogenesis and assembly of eukaryotic cytochrome c oxidase catalytic core. Biochim. Biophys. Acta Bioenerg. 2012, 1817, 883–897. [Google Scholar] [CrossRef] [PubMed]
- Plaxton, W.C.; Podestá, F.E. The functional organization and control of plant respiration. Crit. Rev. Plant Sci. 2006, 25, 159–198. [Google Scholar] [CrossRef]
- Brizzolara, S.; Manganaris, G.A.; Fotopoulos, V.; Watkins, C.B.; Tonutti, P. Primary metabolism in fresh fruits during storage. Front. Plant Sci. 2020, 11, 80. [Google Scholar] [CrossRef]
- Nunes-Nesi, A.; Araujo, W.L.; Obata, T.; Fernie, A.R. Regulation of the mitochondrial tricarboxylic acid cycle. Curr. Opin. Plant Biol. 2013, 16, 335–343. [Google Scholar] [CrossRef] [PubMed]
- Wang, L.; Huang, X.; Liu, C.; Zhang, C.; Shi, K.; Wang, M. Hydrogen sulfide alleviates chilling injury by modulating respiration and energy metabolisms in cold-stored peach fruit. Postharvest Biol. Technol. 2023, 199, 112291. [Google Scholar] [CrossRef]
- Zhao, H.; Jiao, W.; Cui, K.; Fan, X.; Shu, C.; Zhang, W. Near-freezing temperature storage enhances chilling tolerance in nectarine fruit through its regulation of soluble sugars and energy metabolism. Food Chem. 2019, 289, 426–435. [Google Scholar] [CrossRef]
- Blenkinsop, R.W.; Copp, L.J.; Yada, R.Y.; Marangoni, A.G. Effect of chlorpropham (CIPC) on carbohydrate metabolism of potato tubers during storage. Food Res. Int. 2002, 35, 651–655. [Google Scholar] [CrossRef]
- Dos Santos, C.P.; Batista, M.C.; da Cruz Saraiva, K.D.; Roque, A.L.M.; de Souza Miranda, R.; Alexandre E Silvas, L.M.; Moura, C.F.H.; Filho, E.G.A.; Canuto, K.M.; Costa, J.H. Transcriptome analysis of acerola fruit ripening: Insights into ascorbate, ethylene, respiration, and softening metabolisms. Plant Mol. Biol. 2019, 101, 269–296. [Google Scholar] [CrossRef] [PubMed]
- Mathooko, F.M. Regulation of respiratory metabolism in fruits and vegetables by carbon dioxide. Postharvest Biol. Technol. 1996, 9, 247–264. [Google Scholar] [CrossRef]
- Zhu, Y.; Huang, Q.; Pan, Y.G.; Zhang, Z.Z.; Yuan, R.; Nie, Y.D. Abnormal behavior of chilling injury in postharvest papaya fruit is associated with sugar metabolism. J. Food Sci. 2022, 87, 919–928. [Google Scholar] [CrossRef] [PubMed]
- Lin, Y.F.; Lin, Y.X.; Lin, H.T.; Chen, Y.H.; Wang, H.; Shi, J. Application of propyl gallate alleviates pericarp browning in harvested longan fruit by modulating metabolisms of respiration and energy. Food Chem. 2018, 240, 863–869. [Google Scholar] [CrossRef]
- Aghdam, M.S.; Jannatizadeh, A.; Luo, Z.S.; Paliyath, G. Ensuring sufficient intracellular ATP supplying and friendly extracellular ATP signaling attenuates stresses, delays senescence and maintains quality in horticultural crops during postharvest life. Trends Food Sci. Technol. 2018, 76, 67–81. [Google Scholar] [CrossRef]
- Gandin, A.; Dizengremel, P.; Jolivet, Y. Integrative role of plant mitochondria facing oxidative stress: The case of ozone. Plant Physiol. Biochem. 2021, 159, 202–210. [Google Scholar] [CrossRef]
- Saquet, A.A.; Streif, J.; Bangerth, F. Changes in ATP, ADP and pyridine nucleotide levels related to the incidence of physiological disorders in ‘Conference’ pears and ‘Jonagold’ apples during controlled atmosphere storage. J. Pomol. Hortic. Sci. 2000, 75, 243–249. [Google Scholar] [CrossRef]
- Li, D.; Wu, X.; Li, L.; Wang, Y.; Xu, Y.; Luo, Z. Epibrassinolide enhanced chilling tolerance of postharvest banana fruit by regulating energy status and pyridine nucleotide homeostasis. Food Chem. 2022, 382, 132273. [Google Scholar] [CrossRef]
- Irving, D.E.; Hurst, P.L. Respiration, soluble carbohydrates and enzymes of carbohydrate metabolism in tips of harvested asparagus spears. Plant Sci. 1993, 94, 89–97. [Google Scholar] [CrossRef]
- Zhang, Y.; Yu, D.; Liu, C.; Gai, S. Dynamic of carbohydrate metabolism and the related genes highlights PPP pathway activation during chilling induced bud dormancy release in tree peony (Paeonia suffruticosa). Sci. Hortic. 2018, 242, 36–43. [Google Scholar] [CrossRef]
- Zhang, Y.X.; Wang, Y.; Chen, F.H.; He, F.; Wu, G.B.; Zhang, S.; Lin, H.T. Exogenous nitric oxide inhibits the respiratory metabolism of postharvest wax apple fruit and its role in the delayed cottony softening. Sci. Hortic. 2023, 317, 112043. [Google Scholar] [CrossRef]
- Lemaitre, T.; Urbanczyk-Wochniak, E.; Flesch, V.; Bismuth, E.; Fernie, A.R.; Hodges, M. NAD-dependent isocitrate dehydrogenase mutants of Arabidopsis suggest the enzyme is not limiting for nitrogen assimilation. Plant Physiol. 2007, 144, 1546–1558. [Google Scholar] [CrossRef] [PubMed]
- Araújo, W.L.; Nunes-Nesi, A.; Trenkamp, S.; Bunik, V.I.; Fernie, A.R. Inhibition of 2-oxoglutarate dehydrogenase in potato tuber suggests the enzyme is limiting for respiration and confirms its importance in nitrogen assimilation. Plant Physiol. 2008, 148, 1782–1796. [Google Scholar] [CrossRef] [PubMed]
- Piechowiak, T.; Sowa, P.; Balawejder, M. Effect of ozonation process on the energy metabolism in raspberry fruit during storage at room temperature. Food Bioprocess Technol. 2021, 14, 483–491. [Google Scholar] [CrossRef]
- Li, C.Y.; Sun, L.; Zhu, J.; Cheng, Y.; Huang, R.; Fan, Y.T.; Cuo, M.; Ge, Y.G. Trehalose maintains the quality of Malus domestica by mediating sucrose and respiratory metabolism. Sci. Hortic. 2022, 295, 110857. [Google Scholar] [CrossRef]
- Zhao, H.N.; Chen, G.J.; Sang, L.N.; Deng, Y.; Gao, L.L.; Yu, Y.X.; Liu, J.X. Mitochondrial citrate synthase plays important roles in anthocyanin synthesis in petunia. Plant Sci. 2021, 305, 110835. [Google Scholar] [CrossRef] [PubMed]
- Gibon, Y.; Larher, F. Cycling assay for nicotinamide adenine dinucleotides: NaCl precipitation and ethanol solubilization of the reduced tetrazolium. Anal Biochem. 1997, 251, 153–157. [Google Scholar] [CrossRef]
- Mhamdi, A.; Van Breusegem, F.; Noctor, G. Measurement of NAD(P)H and NADPH-Generating Enzymes. Methods Mol. Biol. 2022, 2526, 97–106. [Google Scholar] [CrossRef]
- Wiese, A.; Gröner, F.; Sonnewald, U.; Deppner, H.; Lerchl, J.; Hebbeker, U.; Ulf-Ingo, F.; Andreas, W. Spinach hexokinase I is located in the outer envelope membrane of plastids. FEBS Lett. 1999, 461, 13–18. [Google Scholar] [CrossRef]
- Yang, Z.; Cao, S.; Su, X.; Jiang, Y. Respiratory activity and mitochondrial membrane associated with fruit senescence in postharvest peaches in response to UV-C treatment. Food Chem. 2014, 161, 16–21. [Google Scholar] [CrossRef]
- Keshavarzian, M.; Gerivani, Z.; Sadeghipour, H.R.; Aghdasi, M.; Azimmohseni, M. Suppression of mitochondrial dehydrogenases accompanying post-glyoxylate cycle activation of gluconeogenesis and reduced lipid peroxidation events during dormancy breakage of walnut kernels by moist chilling. Sci. Hortic. 2013, 161, 314–323. [Google Scholar] [CrossRef]
- Livak, K.J.; Schmittgen, T.D. Analysis of relative gene expression data using real-time quantitative PCR and the 2(-Delta Delta C(T)) Method. Methods 2001, 25, 402–408. [Google Scholar] [CrossRef] [PubMed]









| Gene | Forward Primer (5′−3′) | Reverse Primer (5′−3′) | Accession Number |
|---|---|---|---|
| CpHK | TACAATTAGGTGGCAAGGAAGG | CGAATAATGCCTCAGAAGTTCC | XM_022039184.1 |
| CpPFK | CCATAACCATTGCTTACTTCC | CATTGAGACCTAAGATGATTCC | XM_022052063.1 |
| CpPK | CCCAATCCGTCGAGGTTATCTGTG | TCACTGCCGCCTTCAAATTCTCC | XM_022052945.1 |
| CpCS | GACCGAAGCGAGATACTAC | AAGCCATTCCATTGTGACA | XM_022031994.1 |
| CpIDH | TGTCTTGCTGTCCTCTGA | AATGCTGTTAGTGCTGGTT | XM_022036344.1 |
| CpSDH | CCAGGAGGCTCTAGCAAATGTCTTC | TTCTCGCCGCTCAATCCAATGC | XM_022051748.1 |
| Cpα-KGDH | AAGTCCTCTCCATCCTCAA | TGCCTTGCCAACATTCTT | XM_022032975.1 |
| CpActin | TTAGCAACTGGGATGACATGG | TCGGTGAGAAGCACTGGGT | FJ696416 |
Disclaimer/Publisher’s Note: The statements, opinions and data contained in all publications are solely those of the individual author(s) and contributor(s) and not of MDPI and/or the editor(s). MDPI and/or the editor(s) disclaim responsibility for any injury to people or property resulting from any ideas, methods, instructions or products referred to in the content. |
© 2023 by the authors. Licensee MDPI, Basel, Switzerland. This article is an open access article distributed under the terms and conditions of the Creative Commons Attribution (CC BY) license (https://creativecommons.org/licenses/by/4.0/).
Share and Cite
Huang, L.; Tao, S.; Zhu, Y.; Pan, Y.; Zhang, Z.; Yu, Z.; Chen, Y. Regulation of Embden–Meyerhof–Parnas (EMP) Pathway and Tricarboxylic Acid (TCA) Cycle Concerning Aberrant Chilling Injury Behavior in Postharvest Papaya (Carica papaya L.). Int. J. Mol. Sci. 2023, 24, 13898. https://doi.org/10.3390/ijms241813898
Huang L, Tao S, Zhu Y, Pan Y, Zhang Z, Yu Z, Chen Y. Regulation of Embden–Meyerhof–Parnas (EMP) Pathway and Tricarboxylic Acid (TCA) Cycle Concerning Aberrant Chilling Injury Behavior in Postharvest Papaya (Carica papaya L.). International Journal of Molecular Sciences. 2023; 24(18):13898. https://doi.org/10.3390/ijms241813898
Chicago/Turabian StyleHuang, Lijin, Shoukui Tao, Yi Zhu, Yonggui Pan, Zhengke Zhang, Zhiqian Yu, and Yezhen Chen. 2023. "Regulation of Embden–Meyerhof–Parnas (EMP) Pathway and Tricarboxylic Acid (TCA) Cycle Concerning Aberrant Chilling Injury Behavior in Postharvest Papaya (Carica papaya L.)" International Journal of Molecular Sciences 24, no. 18: 13898. https://doi.org/10.3390/ijms241813898
APA StyleHuang, L., Tao, S., Zhu, Y., Pan, Y., Zhang, Z., Yu, Z., & Chen, Y. (2023). Regulation of Embden–Meyerhof–Parnas (EMP) Pathway and Tricarboxylic Acid (TCA) Cycle Concerning Aberrant Chilling Injury Behavior in Postharvest Papaya (Carica papaya L.). International Journal of Molecular Sciences, 24(18), 13898. https://doi.org/10.3390/ijms241813898

