New Approaches for Pb(II) Removal from Aqueous Media Using Nanopowder Sodium Titanosilicate: Kinetics Study and Thermodynamic Behavior
Abstract
:1. Introduction
2. Results and Discussion
2.1. Characterization of Mesoporous Sodium Titanosilicate, Na2TiSiO5
2.1.1. Thermal Studies
2.1.2. X-ray Diffraction
2.1.3. Fourier Transform Infrared Spectroscopy (FTIR)
2.1.4. Electron Microscopy
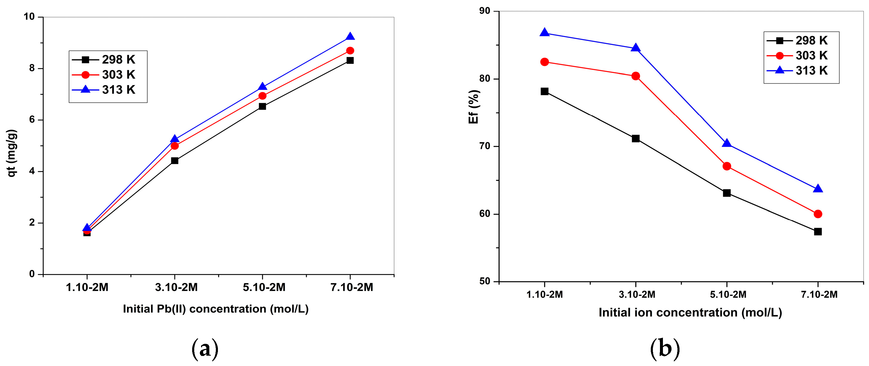
2.2. Effect of Phase Contact Time, pH and Adsorption Kinetic Studies
2.3. Adsorption Isotherms
2.4. Thermodynamics of Pb(II) Adsorption
3. Materials and Methods
3.1. Synthesis and Characterization
3.1.1. Materials
3.1.2. Characterization of the Prepared Sodium Titanosilicate Powders
3.2. Adsorption Capacity Studies
- qt = the adsorption amount of Pb(II) at time t (mg/g);
- m = the weight of Na2TiSiO5 sample (g);
- V = the total volume of solution (L);
- C0 = the initial concentrations of Pb(II) ions in solution (mol/L);
- Ct = the equilibrium concentrations of Pb(II) ions in solution at time t (mol/L).
4. Conclusions
Author Contributions
Funding
Institutional Review Board Statement
Informed Consent Statement
Data Availability Statement
Conflicts of Interest
References
- Zhao, G.; Wu, X.; Tan, X.; Wang, X. Sorption of Heavy Metal Ions from Aqueous Solutions: A Review. J. Colloid Sci. 2011, 4, 19–31. [Google Scholar] [CrossRef]
- Amarray, A.; Ghachtouli, S.; Leroy, J.; Bonnaillie, P.; Khaless, K.; Dahbi, M.; Azzi, M. Mesoporous nanomaterials based on manganese with different interlayer alkali cations: An efficient approach for the removal of Pb(II) and Cd(II) from aqueous medium. J. Water Process Eng. 2021, 40, 101944. [Google Scholar] [CrossRef]
- Wadhawan, S.; Jain, A.; Nayyar, J.; Kumar Mehta, S. Role of nanomaterials as adsorbents in heavy metal ion removal from wastewater: A review. J. Water Process Eng. 2020, 33, 101038. [Google Scholar] [CrossRef]
- Li, S.; Li, S.; Wen, N.; Wei, D.; Zhang, Y. Highly effective removal of lead and cadmium ions from wastewater by bifunctional magnetic mesoporous silica. Sep. Purif. Technol. 2021, 265, 118341. [Google Scholar] [CrossRef]
- Lee, M.Y.; Lee, J.H.; Chung, J.W.; Kwak, S.Y. Hydrophilic and positively charged polyethylenimine-functionalized mesoporous magnetic clusters for highly efficient removal of Pb(II) and Cr(VI) from wastewater. J. Environ. Manag. 2018, 206, 740–748. [Google Scholar] [CrossRef] [PubMed]
- Zhao, P.; Huang, Z.; Wang, P.; Wang, A. Comparative study on high-efficiency Pb(II) removal from aqueous solutions using coal and rice husk based humic acids. J. Mol. Liq. 2023, 369, 120875. [Google Scholar] [CrossRef]
- Abdelrahman, E.A.; Alharbi, A.; Subaihi, A.; Hameed, A.M.; Almutairi, M.A.; Algethami, F.K.; Youssef, H.M. Facile fabrication of novel analcime/sodium aluminum silicate hydrate and zeolite Y/faujasite mesoporous nanocomposites for efficient removal of Cu(II) and Pb(II) ions from aqueous media. J. Mater. Res. Technol. 2020, 9, 7900–7914. [Google Scholar] [CrossRef]
- Awual, M.R. Mesoporous composite material for efficient lead(II) detection and removal from aqueous media. J. Environ. Chem. Eng. 2019, 7, 103124. [Google Scholar] [CrossRef]
- Zheng, L.; Yang, Y.; Zhang, Y.; Zhu, T.; Wang, X. Functionalization of SBA-15 mesoporous silica with bis-schiff base for the selective removal of Pb(II) from water. J. Solid State Chem. 2021, 301, 122320. [Google Scholar] [CrossRef]
- Zandi-Mehri, E.; Taghavi, L.; Moeinpour, F.; Khosravi, I.; Ghasemi, S. Designing of hydroxyl terminated triazine-based dendritic polymer/halloysite nanotube as an efficient nano-adsorbent for the rapid removal of Pb(II) from aqueous media. J. Mol. Liq. 2022, 360, 119407. [Google Scholar] [CrossRef]
- Huo, J.B.; Yu, G. Layered Double Hydroxides Derived from MIL-88A(Fe) as an Efficient Adsorbent for Enhanced Removal of Lead (II) from Water. Int. J. Mol. Sci. 2022, 23, 14556. [Google Scholar] [CrossRef] [PubMed]
- Bhattacharyya, K.G.; Gupta, S.S. Removal of Cu(II) by natural and acid-activated clays: An insight of adsorption isotherm, kinetic and thermodynamics. Desalination 2011, 272, 66–75. [Google Scholar] [CrossRef]
- Wang, B.; Guo, Y.; Zhu, J.; Ma, J.; Qin, Q. A review on titanosilicate-1 (TS-1) catalysts: Research progress of regulating titanium species. Coord. Chem. Rev. 2023, 476, 214931. [Google Scholar] [CrossRef]
- Kostov-Kytin, V.; Mihailova, B.; Kalvachev, Y.; Tarassov, M. Atomic arrangements in amorphous sodium titanosilicate precursor powders. Microporous Mesoporous Mater. 2005, 86, 223–230. [Google Scholar] [CrossRef]
- Pavel, C.C.; Vuono, D.; Catanzaro, L.; De Luca, P.; Bilba, N.; Nastro, A.; Nagy, J.B. Synthesis and characterization of the microporous titanosilicates ETS-4 and ETS-10. Microporous Mesoporous Mater. 2002, 56, 227–239. [Google Scholar] [CrossRef]
- El-Naggar, I.M.; Abou-Mesalam, M.M. Novel inorganic ion exchange materials based on silicates; synthesis, structure and analytical applications of magneso-silicate and magnesium alumino-silicate sorbents. J. Hazard. Mater. 2007, 149, 686–692. [Google Scholar] [CrossRef]
- Oleksiienko, O.; Wolkersdorfer, C.; Sillanpää, M. Titanosilicates in cation adsorption and cation exchange—A review. J. Chem. Eng. 2017, 317, 570–585. [Google Scholar] [CrossRef]
- Perovskiy, I.A.; Yanicheva, N.Y.; Stalyugin, V.V.; Panikorovskii, T.L.; Golov, A.A. Sorption of multivalent cations on titanosilicate obtained from natural raw materials. The mechanism and thermodynamics of sorption. Microporous Mesoporous Mater. 2021, 311, 110716. [Google Scholar] [CrossRef]
- Meng, F.; Liu, Y.; Wang, L.; Chen, D.; Zhao, H.; Zhen, Y.; Chen, J.; Qi, T. Vibrational Spectral Analysis of Natisite (Na2TiSiO5) and its Structure Evolution in Water and Sulfuric Acid Solutions. Materials 2021, 14, 2259. [Google Scholar] [CrossRef]
- Ziadi, A.; Hillebrecht, H.; Thiele, G.; Elouadi, B. Crystal Structure of Orthorhombic LT-Na2TiSiO5 and Its Relation to the Tetragonal HT-Form. J. Solid State Chem. 1996, 123, 324–330. [Google Scholar] [CrossRef]
- Wu, Q.; Xu, C.; Zhu, L.; Meng, X.; Xiao, F.-S. Recent strategies for synthesis of metallosilicate zeolites. Catal. Today 2022, 390–391, 2–11. [Google Scholar] [CrossRef]
- Rocha, R.; Anderson, M.W. Microporous titanosilicates and other novel mixed octahedral-tetrahedral framework oxides. Eur. J. Inorg. Chem. 2000, 5, 801–818. [Google Scholar] [CrossRef]
- Anderson, M.W.; Rocha, J.; Lin, Z.; Philippou, A.; Orion, I.; Ferreira, A. Isomorphous substitution in the microporous titanosilicate ETS-10. Microporous Mesoporous Mater. 1996, 6, 195–204. [Google Scholar] [CrossRef]
- Liepold, A.; Roos, K.; Reschetilowski, W.; Lin, Z.J.; Rocha, J.; Philippou, A.; Anderson, M.W. Characterisation studies on the new microporous aluminium-containing ETS-10 molecular sieve used for processing larger molecules. Microporous Mater. 1997, 10, 211–224. [Google Scholar] [CrossRef]
- Carazeanu Popovici, I.; Prodan, G. Sol–gel preparation and structural characterization of Ba2TiSi2O8 powder. J. Sol-Gel Sci. Technol. 2012, 63, 457–462. [Google Scholar] [CrossRef]
- Ferdov, S.; Kostov-Kytin, V.; Petrov, O. Improved powder diffraction patterns for synthetic paranatisite and natisite. Powder Diffr. 2002, 17, 234–237. [Google Scholar] [CrossRef]
- He, D.; Wu, T.; Wang, B.; Yang, Y.; Zhao, S.; Wang, J.; Yu, H. Novel Na2TiSiO5 anode material for lithium ion batteries. Chem. Commun. 2019, 55, 2234–2237. [Google Scholar] [CrossRef]
- Peng, G.-W.; Liu, H.-S. FT-IR and XRD characterization of phase transformation of heat-treated synthetic natisite (Na2TiOSiO5) powder. Mater. Chem. Phys. 1995, 42, 264–275. [Google Scholar] [CrossRef]
- Lin, Z.; Ferdov, S. Temperature and time-controlled crystallization in Na2O–SiO2–TiO2–H2O system. Microporous Mesoporous Mater. 2022, 335, 111835. [Google Scholar] [CrossRef]
- Ng, Y.C.; Jei, C.Y.; Shamsuddin, M. Titanosilicate ETS-10 derived from rice husk ash. Microporous Mesoporous Mater. 2009, 122, 195–200. [Google Scholar] [CrossRef]
- Kalashnikova, G.O.; Zhitova, E.S.; Selivanova, E.A.; Pakhomovsky, V.N.; Yakovenchuk, G.Y.; Ivanyuk, A.G.; Kasikov, S.V.; Drogobuzhskaya, I.R.; Elizarova, Y.A.; Knyazeva, A.I.; et al. The new method for obtaining titanosilicate AM-4 and its decationated form: Crystal chemistry, properties and advanced areas of application. Microporous Mesoporous Mater. 2021, 313, 110787. [Google Scholar] [CrossRef]
- Carazeanu Popovici, I.; Girtu, M.; Chirila, E.; Ciupina, V.; Prodan, G. HRTEM study of nano-TiO2 powder. Revista de Chimie 2008, 59, 413–416. [Google Scholar]
- Liu, J.; Huang, Z.; Chen, Z.; Sun, J.; Gao, Y.; Wu, E. Resource utilization of swine sludge to prepare modified biochar adsorbent for the efficient removal of Pb(II) from water. J. Clean. Prod. 2020, 257, 120322. [Google Scholar] [CrossRef]
- Wang, L.; Yang, L.; Li, Y.; Zhang, Y.; Ma, X.; Ye, Z. Study on adsorption mechanism of Pb(II) and Cu(II) in aqueous solution using PS-EDTA resin. Chem. Eng. J. 2010, 163, 364–372. [Google Scholar] [CrossRef]
- Ismael, I.S.; Melegy, A.; Kratochvíl, T. Lead Removal from Aqueous Solution by Natural and Pretreated Zeolites. Geotech. Geol. Eng. 2012, 30, 253–262. [Google Scholar] [CrossRef]
- Zhang, Y.; Magagnin, L.; Yuan, K.; Wei, Z.; Wu, X.; Jiang, Z.; Wang, W. Highly efficient removal of Pb(II) from water by mesoporous amino functionalized silica aerogels: Experimental, DFT investigations and Life Cycle Assessment. Microporous Mesoporous Mater. 2022, 345, 112280. [Google Scholar] [CrossRef]
- Hassanzadeh-Afruzi, F.; Esmailzadeh, F.; Asgharnasl, S.; Ganjali, F.; Taheri-Ledari, R.; Maleki, A. Efficient removal of Pb(II)/Cu(II) from aqueous samples by a guanidine-functionalized SBA-15/Fe3O4. Sep. Purif. Technol. 2022, 291, 120956. [Google Scholar] [CrossRef]
- Carazeanu Popovici, I.; Badanoiu, A.; Voicu, G.; Omer, I. Hazardous waste chemical stabilized by tricalcium silicate: Kinetic and isotherm studies. Fresen. Environ. Bull. 2016, 25, 1153–1166. [Google Scholar]
- Kołodyńska, D.; Wnetrzak, R.; Leahy, J.J.; Hayes, M.H.B.; Kwapinski, W.; Hubicki, Z. Kinetic and adsorptive characterization of biochar in metal ions removal. Chem. Eng. J. 2012, 197, 295–305. [Google Scholar] [CrossRef]
- Ehiomogue, P.; Ahuchaogu, I.I.; Ahaneku, I.E. Review of adsorption isotherms models. Acta Tech. Corviniensis—Bull. Eng. 2021, XIV, 87–96. [Google Scholar]
- Dada, A.O.; Olalekan, A.P.; Olatunya, A.M.; Dada, O. Langmuir, Freundlich, Temkin and Dubinin–Radushkevich Isotherms Studies of Equilibrium Sorption of Zn2+ Unto Phosphoric Acid Modified Rice Husk. J. Appl. Chem. 2012, 3, 38–45. [Google Scholar]
- Xiang, B.; Ling, D.; Lou, H.; Gu, H. 3D hierarchical flower-like nickel ferrite/manganese dioxide toward lead(II) removal from aqueous water. Hazard. Mater. 2017, 325, 178–188. [Google Scholar] [CrossRef]
- Koprivica, M.; Simic, M.; Petrovic, J.; Ercegovic, M.; Dimitrijevic, J. Evaluation of Adsorption Efficiency on Pb(II) Ions Removal Using Alkali-Modified Hydrochar from Paulownia Leaves. Processes 2023, 11, 1327. [Google Scholar] [CrossRef]
- Nnadozie, E.C.; Ajibade, P.A. Adsorption, kinetic and mechanistic studies of Pb(II) and Cr(VI) ions using APTES functionalized magnetic biochar. Microporous Mesoporous Mater. 2020, 309, 110573. [Google Scholar] [CrossRef]
- Raul, P.K.; Senapati, S.; Sahoo, A.K.; Umlong, I.M.; Devi, R.R.; Veer, V.; Thakur, A.J. CuO nanorods: A potential and efficient adsorbent in water purification. RSC Adv. 2014, 4, 40580–40587. [Google Scholar] [CrossRef]
- Zhao, X.; Hu, B.; Ye, J.; Jia, Q. Preparation, characterization, and application of graphene @ zinc oxide composites (G@ZnO) for the adsorption of Cu(II), Pb(II), and Cr(III). Chem. Eng. Data 2013, 58, 2395–2401. [Google Scholar] [CrossRef]
- Khan, S.B.; Rahman, M.M.; Asiri, A.M.; Marwani, H.M.; Bawaked, S.M.; Alamry, K.A. Co3O4 co-doped TiO2 nanoparticles as a selective marker of lead in aqueous solution. New, J. Chem. 2013, 37, 2888–2893. [Google Scholar] [CrossRef]
- Huang, J.; Ye, M.; Qu, Y.; Chu, L.; Chen, R.; He, Q.; Xu, D. Pb(II) removal from aqueous media by EDTA-modified mesoporous silica SBA-15. J. Colloid Interface Sci. 2012, 385, 137–146. [Google Scholar] [CrossRef]
- Kumar, S.P.; Gayathri, R. Adsorption of Pb2+ ions from aqueous solutions onto Bael tree leaf powder: Isotherms, kinetics and thermodynamics study. J. Eng. Sci. Technol. 2009, 4, 381–399. [Google Scholar]
- Abd El-Latif, M.M.; Elkady, M.F. Kinetics study and thermodynamic behavior for removing cesium, cobalt and nickel ions from aqueous solution using nanozirconium vanadate ion exchanger. Desalination 2011, 271, 41–54. [Google Scholar] [CrossRef]















| PF-Order Model | PS-Order Model | Intraparticle Diffusion Model (IPD) | ||||||||||||
|---|---|---|---|---|---|---|---|---|---|---|---|---|---|---|
| qe,exp (mg/g) | q1 (mg/g) | k1 (1/min) | R2 | Chi Square χ2 | qm (mg/g) | k2 * 100 (g/mg.min) | R2 | Chi Square χ2 | qm (mg/g) | ki (mg/g.min0.5) | I | R2 | Chi Square χ2 | |
| 293 K | ||||||||||||||
| 1 × 10−2 M | 1.618 | 1.487 | 0.021 | 0.989 | 0.482 | 1.485 | 3.097 | 0.998 | 0.038 | 1.392 | 0.101 | 0.290 | 0.886 | 0.155 |
| 3 × 10−2 M | 4.419 | 4.207 | 0.025 | 0.978 | 0.769 | 4.069 | 1.173 | 0.997 | 0.166 | 3.835 | 0.278 | 0.789 | 0.879 | 0.431 |
| 5 × 10−2 M | 6.530 | 6.046 | 0.022 | 0.987 | 0.584 | 5.835 | 0.609 | 0.996 | 0.220 | 5.521 | 0.440 | 0.697 | 0.890 | 0.686 |
| 7 × 10−2 M | 8.314 | 7.377 | 0.018 | 0.944 | 4.737 | 7.630 | 0.629 | 0.998 | 0.174 | 7.170 | 0.498 | 1.716 | 0.882 | 0.835 |
| 303 K | ||||||||||||||
| 1 × 10−2 M | 1.708 | 1.639 | 0.027 | 0.986 | 0.450 | 1.601 | 3.914 | 0.999 | 0.029 | 1.514 | 0.099 | 0.432 | 0.841 | 0.222 |
| 3 × 10−2 M | 4.995 | 4.531 | 0.020 | 0.988 | 1.618 | 4.527 | 0.933 | 0.996 | 0.216 | 4.251 | 0.315 | 0.798 | 0.888 | 0.389 |
| 5 × 10−2 M | 6.940 | 6.276 | 0.020 | 0.989 | 2.131 | 6.260 | 0.644 | 0.996 | 0.349 | 5.876 | 0.444 | 1.017 | 0.899 | 0.544 |
| 7 × 10−2 M | 8.698 | 7.890 | 0.020 | 0.964 | 5.683 | 8.089 | 1.095 | 0.998 | 0.138 | 7.586 | 0.495 | 2.164 | 0.877 | 0.764 |
| 313 K | ||||||||||||||
| 1 × 10−2 M | 1.796 | 1.717 | 0.026 | 0.984 | 0.737 | 1.690 | 4.176 | 0.999 | 0.027 | 1.597 | 0.099 | 0.516 | 0.839 | 0.207 |
| 3 × 10−2 M | 5.248 | 4.733 | 0.019 | 0.988 | 3.160 | 4.837 | 1.075 | 0.998 | 0.183 | 4.522 | 0.308 | 1.147 | 0.898 | 0.359 |
| 5 × 10−2 M | 7.280 | 6.462 | 0.018 | 0.989 | 6.028 | 6.715 | 0.781 | 0.997 | 0.389 | 6.266 | 0.420 | 1.671 | 0.906 | 0.406 |
| 7 × 10−2 M | 9.225 | 9.225 | 0.094 | 0.962 | 2.021 | 8.640 | 0.751 | 0.999 | 0.103 | 8.125 | 0.515 | 2.481 | 0.864 | 0.870 |
| Elovich Model | Bangham’s Model | |||||||||||||
| C0 (mg/L) | qe,exp (mg/g) | qm (mg/g) | αE | β | R2 | Chi Square χ2 | qm (mg/g) | αB | K0 (L/g) | R2 | Chi Square χ2 | |||
| 293 K | ||||||||||||||
| 1 × 10−2 M | 20.7 | 1.618 | 1.4097 | −0.1701 | 0.33 | 0.958 | 0.0529 | 1.3499 | 0.3723 | 0.0005578 | 0.9237 | 0.19241 | ||
| 3 × 10−2 M | 62.1 | 4.419 | 3.8697 | −0.4538 | 0.903 | 0.942 | 0.2230 | 3.6950 | 0.3628 | 0.0005318 | 0.933 | 0.54020 | ||
| 5 × 10−2 M | 103.5 | 6.530 | 5.5846 | −1.2667 | 1.431 | 0.947 | 0.3603 | 5.2571 | 0.4286 | 0.933 | 0.9337 | 1.03999 | ||
| 7 × 10−2 M | 144.9 | 8.314 | 7.2678 | −0.5856 | 1.640 | 0.960 | 0.2519 | 7.0008 | 0.3553 | 0.0004463 | 0.908 | 0.98176 | ||
| 303 K | ||||||||||||||
| 1 × 10−2 M | 20.7 | 1.708 | 1.5290 | −0.0331 | 0.326 | 0.947 | 0.0748 | 1.4834 | 0.3365 | 0.0007287 | 0.8775 | 0.24375 | ||
| 3 × 10−2 M | 62.1 | 4.995 | 4.2929 | −0.6037 | 1.022 | 0.946 | 0.2389 | 4.0837 | 0.3696 | 0.0005698 | 0.9446 | 0.51874 | ||
| 5 × 10−2 M | 103.5 | 6.940 | 5.9410 | −0.9362 | 1.436 | 0.944 | 0.4097 | 5.6319 | 0.3757 | 0.0004566 | 0.9439 | 0.75381 | ||
| 7 × 10−2 M | 144.9 | 8.698 | 7.6723 | −0.1217 | 1.628 | 0.960 | 0.2255 | 7.4340 | 0.3188 | 0.0005649 | 0.9214 | 0.80227 | ||
| 313 K | ||||||||||||||
| 1 × 10−2 M | 20.7 | 1.796 | 1.6122 | 0.0501 | 0.326 | 0.946 | 0.0717 | 1.6669 | 0.346 | 0.0007843 | 0.8781 | 0.27829 | ||
| 3 × 10−2 M | 62.1 | 5.248 | 4.5719 | −0.2361 | 1.004 | 0.955 | 0.1586 | 4.4007 | 0.3271 | 0.0007536 | 0.9442 | 0.41166 | ||
| 5 × 10−2 M | 103.5 | 7.280 | 6.3344 | −0.1876 | 1.362 | 0.951 | 0.2472 | 6.0978 | 0.3103 | 0.0006770 | 0.9531 | 0.47265 | ||
| 7 × 10−2 M | 144.9 | 9.225 | 8.2086 | 0.0814 | 1.697 | 0.957 | 0.2527 | 7.9746 | 0.3087 | 0.0006366 | 0.9166 | 0.87329 | ||
| Model | 293 K | 303 K | 313 K | |
|---|---|---|---|---|
| Langmuir | q0 (mg/g) | 11.4155 | 13.0039 | 12.4688 |
| KL (L/mg) | 0.0365 | 0.0423 | 0.0621 | |
| χ2 | 0.9990 | 0.9808 | 0.9797 | |
| R2 | 0.9996 | 0.9933 | 0.9936 | |
| Freundlich | KF [(mg/g)(L/mg)1/n] | 0.6549 | 0.9363 | 1.2103 |
| n | 1.5886 | 1.7476 | 1.8744 | |
| χ2 | 0.9957 | 0.9488 | 0.9415 | |
| R2 | 0.9912 | 0.9439 | 0.9389 | |
| Halsey | KH | 1.9587 | 1.1220 | 0.6992 |
| nH | −1.5886 | −1.7476 | −1.8744 | |
| χ2 | 0.9957 | 0.9488 | 0.9415 | |
| R2 | 0.9912 | 0.9439 | 0.9389 | |
| Redlich–Paterson | KRP (L/g) | 0.4163 | 0.5497 | 0.7744 |
| aRP (L/mg) | 0.0365 | 0.0423 | 0.0621 | |
| β | 1.0000 | 1.0000 | 1.0000 | |
| χ2 | 0.9990 | 0.9808 | 0.9797 | |
| R2 | 0.9996 | 0.9933 | 0.9936 | |
| Temkin | b | 973.1868 | 999.528 | 1013.662 |
| KT (L/mg) | 0.384643 | 0.575466 | 0.805618 | |
| χ2 | 0.9923 | 0.9984 | 0.9964 | |
| R2 | 0.9835 | 0.9928 | 0.9885 | |
| Dubinin–Kaganer–Radushkevich | Kad (mol2/kJ2) | 0.000006 | 0.000004 | 0.000003 |
| qs (mg/g) | 6.5476 | 7.1721 | 7.5217 | |
| χ2 | 0.8261 | 0.9034 | 0.8807 | |
| R2 | 0.9068 | 0.9460 | 0.9425 |
| Adsorbent | Adsorption Capacity (mg/g) | Reference |
|---|---|---|
| CMA (porous silica) | 196.35 | [8] |
| MIL-88A-LDHs | 512.8 | [11] |
| Modified biochar | 145.0 | [33] |
| Fe3O4@SBA-15-Gd | 175.24 | [38] |
| NiFe2O4/MnO2 | 85.78 | [42] |
| MPH-220 (carbonaceous) | 174.75 | [43] |
| Fe3O4@BC/APTES | 64.92 | [44] |
| CuO | 3.31 | [45] |
| Graphene-ZnO | 23.42 | [46] |
| Co3O4 co-doped TiO2 | 114.05 | [47] |
| Na2TiSiO5 | 155.71 | This work |
| T (K) | ΔG° (kJ/mol) | ΔS° (J/mol K) | ΔH° (kJ/mol) | R2 |
|---|---|---|---|---|
| 293 | −0.30317 | 10.7 | 2.8412 | 0.9093 |
| 303 | −0.35144 | |||
| 313 | −0.51637 |
Disclaimer/Publisher’s Note: The statements, opinions and data contained in all publications are solely those of the individual author(s) and contributor(s) and not of MDPI and/or the editor(s). MDPI and/or the editor(s) disclaim responsibility for any injury to people or property resulting from any ideas, methods, instructions or products referred to in the content. |
© 2023 by the authors. Licensee MDPI, Basel, Switzerland. This article is an open access article distributed under the terms and conditions of the Creative Commons Attribution (CC BY) license (https://creativecommons.org/licenses/by/4.0/).
Share and Cite
Popovici, I.C.; Dobrinaș, S.; Soceanu, A.; Popescu, V.; Prodan, G.; Omer, I. New Approaches for Pb(II) Removal from Aqueous Media Using Nanopowder Sodium Titanosilicate: Kinetics Study and Thermodynamic Behavior. Int. J. Mol. Sci. 2023, 24, 13789. https://doi.org/10.3390/ijms241813789
Popovici IC, Dobrinaș S, Soceanu A, Popescu V, Prodan G, Omer I. New Approaches for Pb(II) Removal from Aqueous Media Using Nanopowder Sodium Titanosilicate: Kinetics Study and Thermodynamic Behavior. International Journal of Molecular Sciences. 2023; 24(18):13789. https://doi.org/10.3390/ijms241813789
Chicago/Turabian StylePopovici, Ionela Carazeanu, Simona Dobrinaș, Alina Soceanu, Viorica Popescu, Gabriel Prodan, and Ichinur Omer. 2023. "New Approaches for Pb(II) Removal from Aqueous Media Using Nanopowder Sodium Titanosilicate: Kinetics Study and Thermodynamic Behavior" International Journal of Molecular Sciences 24, no. 18: 13789. https://doi.org/10.3390/ijms241813789
APA StylePopovici, I. C., Dobrinaș, S., Soceanu, A., Popescu, V., Prodan, G., & Omer, I. (2023). New Approaches for Pb(II) Removal from Aqueous Media Using Nanopowder Sodium Titanosilicate: Kinetics Study and Thermodynamic Behavior. International Journal of Molecular Sciences, 24(18), 13789. https://doi.org/10.3390/ijms241813789

