Circulating Citrate Is Associated with Liver Fibrosis in Nonalcoholic Fatty Liver Disease and Nonalcoholic Steatohepatitis
Abstract
:1. Introduction
2. Results
2.1. Baseline Characteristics
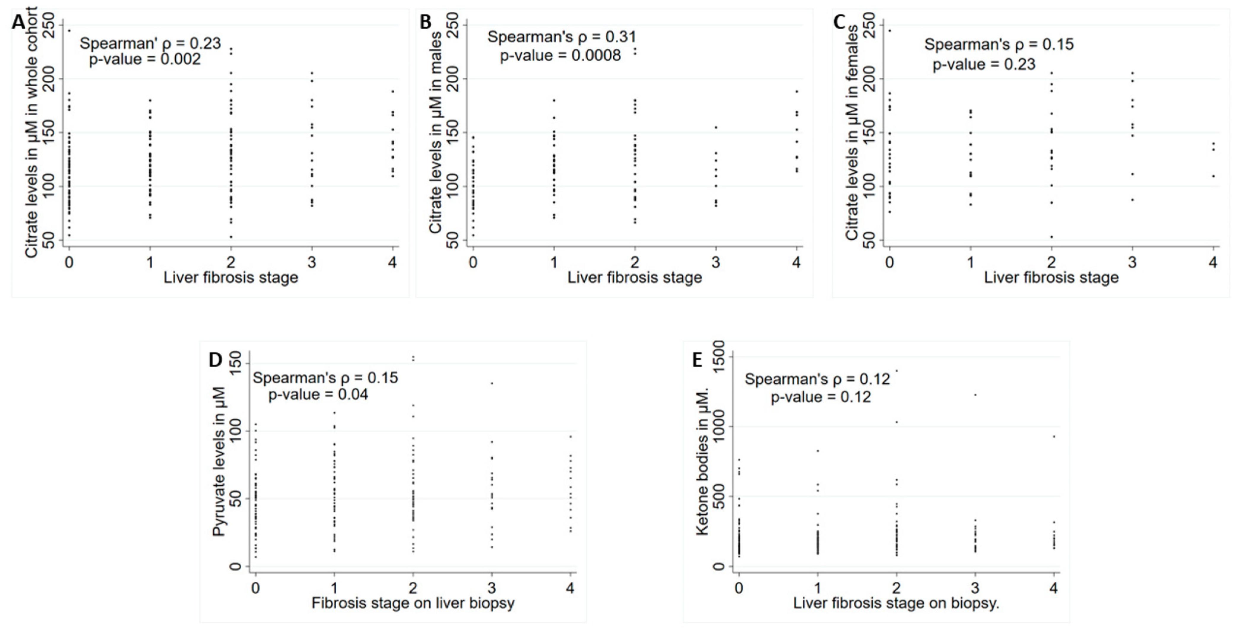
2.2. Citrate Levels and Fibrosis in the NAFLD Cohort
2.3. Confirmation of the Relationship between Citrate Level with Liver Fibrosis
2.4. Association of Pyruvate and Total Ketone Bodies with Liver Fibrosis in NAFLD
3. Discussion
4. Materials and Methods
4.1. Single-Center NAFLD Cohort
4.2. Metabolic Disease Cohort (n = 132)
4.3. Control/Referent Cohort (n = 98)
4.4. NASH Cohort (n = 176)
4.5. NMR-Mediated Quantification of Citrate, Pyruvate and Total Ketone Bodies
4.6. Statistical Analysis
5. Conclusions
Supplementary Materials
Author Contributions
Funding
Institutional Review Board Statement
Informed Consent Statement
Data Availability Statement
Acknowledgments
Conflicts of Interest
References
- Younossi, Z.M.; Koenig, A.B.; Abdelatif, D.; Fazel, Y.; Henry, L.; Wymer, M. Global Epidemiology of Nonalcoholic Fatty Liver Disease-Meta-Analytic Assessment of Prevalence, Incidence, and Outcomes. Hepatology 2016, 64, 73–84. [Google Scholar] [CrossRef] [PubMed]
- Rinella, M.E.; Lazarus, J.V.; Ratziu, V.; Francque, S.M.; Sanyal, A.J.; Kanwal, F.; Romero, D.; Abdelmalek, M.F.; Anstee, Q.M.; Arab, J.P.; et al. A Multi-Society Delphi Consensus Statement on New Fatty Liver Disease Nomenclature. Hepatology 2023, 101133, in press. [Google Scholar] [CrossRef]
- Eslam, M.; Newsome, P.N.; Sarin, S.K.; Anstee, Q.M.; Targher, G.; Romero-Gomez, M.; Zelber-Sagi, S.; Wong, V.W.; Dufour, J.F.; Shattenberg, J.M.; et al. A New Definition for Metabolic Dysfunction-Associated Fatty Liver Disease: An International Expert Consensus Statement. J. Hepatol. 2020, 73, 202–209. [Google Scholar] [CrossRef]
- Kopec, K.L.; Burns, D. Nonalcoholic Fatty Liver Disease: A Review of the Spectrum of Disease, Diagnosis, and Therapy. Nutr. Clin. Pract. 2011, 26, 565–576. [Google Scholar] [CrossRef] [PubMed]
- Pais, R.; Barritt, A.S.; Calmus, Y.; Scatton, O.; Runge, T.; Lebray, P.; Poynard, T.; Ratziu, V.; Conti, F. NAFLD and Liver Transplantation: Current Burden and Expected Challenges. J. Hepatol. 2016, 65, 1245–1257. [Google Scholar] [CrossRef] [PubMed]
- Damba, T.; Bourgonje, A.R.; Abdulle, A.E.; Pasch, A.; Sydor, S.; van den Berg, E.H.; Gansevoort, R.T.; Bakker, S.J.L.; Blokzijl, H.; Dullaart, R.P.F.; et al. Oxidative Stress is Associated with Suspected Non-Alcoholic Fatty Liver Disease and All-Cause Mortality in the General Population. Liver Int. 2020, 40, 2148–2159. [Google Scholar] [CrossRef]
- Begriche, K.; Massart, J.; Robin, M.-A.; Bonnet, F.; Fromenty, B. Mitochondrial Adaptations and Dysfunctions in Nonalcoholic Fatty Liver Disease. Hepatology 2013, 58, 1497–1507. [Google Scholar] [CrossRef]
- Ludwig, J.; Viggiano, T.R.; McGill, D.B.; Oh, B.J. Nonalcoholic Steatohepatitis: Mayo Clinic Experiences with a Hitherto Unnamed Disease. Mayo Clin. Proc. 1980, 55, 434–438. [Google Scholar]
- Sanyal, A.J.; Campbell-Sargent, C.; Mirshahi, F.; Rizzo, W.B.; Contos, M.J.; Sterling, R.K.; Luketic, V.A.; Shiffman, M.L.; Clore, J.N. Nonalcoholic Steatohepatitis: Association of Insulin Resistance and Mitochondrial Abnormalities. Gastroenterology 2001, 120, 1183–1192. [Google Scholar] [CrossRef]
- Chella Krishnan, K.; Kurt, Z.; Barrere-Cain, R.; Sabir, S.; Das, A.; Floyd, R.; Vergnes, L.; Zhao, Y.; Che, N.; Charugundla, S.; et al. Integration of Multi-Omics Data from Mouse Diversity Panel Highlights Mitochondrial Dysfunction in Non-Alcoholic Fatty Liver Disease. Cell Syst. 2018, 6, 103–115.e7. [Google Scholar] [CrossRef]
- van de Wier, B.; Balk, J.M.; Haenen, G.R.M.M.; Giamouridis, D.; Bakker, J.A.; Bast, B.C.; den Hartog, G.J.M.; Koek, G.H.; Bast, A. Elevated Citrate Levels in Non-Alcoholic Fatty Liver Disease: The Potential of Citrate to Promote Radical Production. FEBS Lett. 2013, 587, 2461–2466. [Google Scholar] [CrossRef]
- van den Berg, E.H.; Flores-Guerrero, J.L.; Gruppen, E.G.; de Borst, M.H.; Wolak-Dinsmore, J.; Connelly, M.A.; Bakker, S.J.L.; Dullaart, R.P.F. Non-Alcoholic Fatty Liver Disease and Risk of Incident Type 2 Diabetes: Role of Circulating Branched-Chain Amino Acids. Nutrients 2019, 11, 705. [Google Scholar] [CrossRef]
- Raffaella, C.; Francesca, B.; Italia, F.; Marina, P.; Giovanna, L.; Susanna, I. Alterations in Hepatic Mitochondrial Compartment in a Model of Obesity and Insulin Resistance. Obesity 2008, 16, 958–964. [Google Scholar] [CrossRef]
- Lanaspa, M.A.; Sanchez-Lozada, L.G.; Choi, Y.-J.; Cicerchi, C.; Kanbay, M.; Roncal-Jimenez, C.A.; Ishimoto, T.; Li, N.; Marek, G.; Duranay, M.; et al. Uric Acid Induces Hepatic Steatosis by Generation of Mitochondrial Oxidative Stress: Potential Role in Fructose-Dependent and -Independent Fatty Liver. J. Biol. Chem. 2012, 287, 40732–40744. [Google Scholar] [CrossRef]
- Borkum, J.M. The Tricarboxylic Acid Cycle as a Central Regulator of the Rate of Aging: Implications for Metabolic Interventions. Adv. Biol. 2023, 7, 2300095. [Google Scholar] [CrossRef] [PubMed]
- Iacobazzi, V.; Infantino, V. Citrate–New Functions for an Old Metabolite. Biol. Chem. 2014, 395, 387–399. [Google Scholar] [CrossRef] [PubMed]
- Kobayashi, K.; Lu, Y.B.; Li, M.X.; Nishi, I.; Hsiao, K.J.; Choeh, K.; Yang, Y.; Hwu, W.-L.; Reichardt, J.K.V.; Palmieri, F.; et al. Screening of Nine SLC25A13 Mutations: Their Frequency in Patients with Citrin Deficiency and High Carrier Rates in Asian Populations. Mol. Genet. Metab. 2003, 80, 356–359. [Google Scholar] [CrossRef] [PubMed]
- Komatsu, M.; Yazaki, M.; Tanaka, N.; Sano, K.; Hashimoto, E.; Takei, Y.; Song, Y.-Z.; Tanaka, E.; Kiyosawa, K.; Saheki, T.; et al. Citrin Deficiency as a Cause of Chronic Liver Disorder Mimicking Non-Alcoholic Fatty Liver Disease. J. Hepatol. 2008, 49, 810–820. [Google Scholar] [CrossRef]
- Mansouri, A.; Gattolliat, C.H.; Asselah, T. Mitochondrial dysfunction and signaling in chronic liver diseases. Gastroenterol. 2018, 155, 629–647. [Google Scholar] [CrossRef]
- Paoli, A.; Cerullo, G. Investigating the Link between Ketogenic Diet, NAFLD, Mitochondria, and Oxidative Stress: A Narrative Review. Antioxidants 2023, 12, 1065. [Google Scholar] [CrossRef]
- Costello, L.C.; Franklin, R.B. Plasma Citrate Homeostasis: How It is Regulated; And Its Physiological and Clinical Implications. An Important, But Neglected, Relationship in Medicine. HSOA J. Hum. Endocrinol. 2016, 1, 005. [Google Scholar] [CrossRef]
- Lonardo, A.; Nascimbeni, F.; Ballestri, S.; Fairweather, D.; Win, S.; Than, T.A.; Abdelmalek, M.F.; Suzuki, A. Sex Differences in Nonalcoholic Fatty Liver Disease: State of the Art and Identification of Research Gaps. Hepatology 2019, 70, 1457–1469. [Google Scholar] [CrossRef]
- Patterson, R.E.; Kalavalapalli, S.; Williams, C.M.; Nautiyal, M.; Mathew, J.T.; Martinez, J.; Reinhard, M.K.; McDougall, D.J.; Rocca, J.R.; Yost, R.A.; et al. Lipotoxicity in Steatohepatitis Occurs despite an Increase in Tricarboxylic Acid Cycle Activity. Am. J. Physiol. Endocrinol. Metab. 2016, 310, E484–E494. [Google Scholar] [CrossRef]
- Muoio, D.M.; Newgard, C.B. Mechanisms of Disease: Molecular and Metabolic Mechanisms of Insulin Resistance and Beta-Cell Failure in Type 2 Diabetes. Nat. Rev. Mol. Cell Biol. 2008, 9, 193–205. [Google Scholar] [CrossRef]
- Sunny, N.E.; Parks, E.J.; Browning, J.D.; Burgess, S.C. Excessive Hepatic Mitochondrial TCA Cycle and Gluconeogenesis in Humans with Nonalcoholic Fatty Liver Disease. Cell Metab. 2011, 14, 804–810. [Google Scholar] [CrossRef]
- Otvos, J.D.; Shalaurova, I.; May, H.T.; Muhlestein, J.B.; Wilkins, J.T.; McGarrah, R.W., 3rd; Kraus, W.E. Multimarkers of Metabolic Malnutrition and Inflammation and Their Association with Mortality Risk in Cardiac Catheterisation Patients: A Prospective, Longitudinal, Observational, Cohort Study. Lancet. Health Longev. 2023, 4, e72–e82. [Google Scholar] [CrossRef]
- Chella Krishnan, K.; Floyd, R.R.; Sabir, S.; Jayasekera, D.W.; Leon-Mimila, P.V.; Jones, A.E.; Cortez, A.A.; Shravah, V.; Péterfy, M.; Stiles, L.; et al. Liver Pyruvate Kinase Promotes NAFLD/NASH in Both Mice and Humans in a Sex-Specific Manner. Cell. Mol. Gastroenterol. Hepatol. 2021, 11, 389–406. [Google Scholar] [CrossRef]
- Norheim, F.; Hasin-Brumshtein, Y.; Vergnes, L.; Krishnan, K.C.; Pan, C.; Seldin, M.M.; Simon, T.H.; Margarete, M.; Zhou, Z.; Sonul, G.; et al. Gene-by-Sex Interactions in Mitochondrial Functions and Cardio-Metabolic Traits. Cell Metab. 2019, 29, 932–949. [Google Scholar] [CrossRef] [PubMed]
- Schneider, J.; Han, W.H.; Matthew, R.; Sauvé, Y.; Lemieux, H. Age and Sex as Confounding Factors in the Relationship between Cardiac Mitochondrial Function and Type 2 Diabetes in the Nile Grass Rat. PLoS ONE 2020, 15, e0228710. [Google Scholar] [CrossRef] [PubMed]
- Yan, L.; Ge, H.; Li, H.; Lieber, S.C.; Natividad, F.; Resuello, R.R.G.; Kim, S.-J.; Akeju, S.; Sun, A.; Loo, K.; et al. Gender-Specific Proteomic Alterations in Glycolytic and Mitochondrial Pathways in Aging Monkey Hearts. J. Mol. Cell. Cardiol. 2004, 37, 921–929. [Google Scholar] [CrossRef] [PubMed]
- Fischer, K.; Kettunen, J.; Wurtz, P.; Haller, T.; Havulinna, A.S.; Kangas, A.J.; Soininen, P.; Esko, T.; Tammesoo, M.-L.; Magi, R.; et al. Biomarker Profiling by Nuclear Magnetic Resonance Spectroscopy for the Prediction of All-Cause Mortality: An Observational Study of 17,345 Persons. PLoS Med. 2014, 11, e1001606. [Google Scholar] [CrossRef]
- Sanyal, A.J.; Van Natta, M.L.; Connelly, M.A.; Dasarathy, S.; Loomba, R.; Chalasani, N.; Abdelmalek, M.; Diehl, A.M.; Neuschwander-Tetri, B.; Kowdley, K.; et al. The Metabolic Vulnerability Index predicts the risk of mortality and liver outcomes in nonalcoholic fatty liver disease. Hepatology 2021, 74, 115. [Google Scholar]
- Taylor, R.S.; Taylor, R.J.; Bayliss, S.; Hagström, H.; Nasr, P.; Schattenberg, J.M.; Masatoshi, I.; Hidenori, T.; Wong, V.W.-S.; Noam, P.; et al. Association between fibrosis stage and outcomes of patients with nonalcoholic fatty liver disease: A systematic review and meta-analysis. Gastroenterology 2020, 158, 1611–1625. [Google Scholar] [CrossRef]
- Dulai, P.S.; Singh, S.; Patel, J.; Soni, M.; Prokop, L.J.; Younossi, Z.; Sebastiani, G.; Ekstedt, M.; Hagstrom, H.; Nasr, P.; et al. Increased risk of mortality by fibrosis stage in nonalcoholic fatty liver disease: Systematic review and meta-analysis. Hepatology 2017, 65, 1557–1565. [Google Scholar] [CrossRef] [PubMed]
- Van Schaftingen, E.; Hers, H.G. Inhibition of Fructose-1,6-Bisphosphatase by Fructose 2,6-Biphosphate. Proc. Natl. Acad. Sci. USA 1981, 78, 2861–2863. [Google Scholar] [CrossRef]
- Icard, P.; Coquerel, A.; Wu, Z.; Gligorov, J.; Fuks, D.; Fournel, L.; Lincet, H.; Simula, L. Understanding the Central Role of Citrate in the Metabolism of Cancer Cells and Tumors: An Update. Int. J. Mol. Sci. 2021, 22, 6587. [Google Scholar] [CrossRef]
- Tan, M.; Mosaoa, R.; Graham, G.T.; Kasprzyk-Pawelec, A.; Gadre, S.; Parasido, E.; Catalina-Rodriguez, O.; Foley, P.; Giaccone, G.; Cheema, A.; et al. Inhibition of the Mitochondrial Citrate Carrier, Slc25a1, Reverts Steatosis, Glucose Intolerance, and Inflammation in Preclinical Models of NAFLD/NASH. Cell Death Differ. 2020, 27, 2143–2157. [Google Scholar] [CrossRef]
- Cerullo, G.; Parimbelli, M.; Perna, S.; Pecoraro, M.; Liguori, G.; Negro, M.; D’Antona, G. Sodium citrate supplementation: An updated revision and practical recommendations on exercise performance, hydration status, and potential risks. Transl. Sports Med. 2020, 3, 518–525. [Google Scholar] [CrossRef]
- Jiang, Z.G.; Tapper, E.B.; Connelly, M.A.; Pimentel, C.F.M.G.; Feldbrügge, L.; Kim, M.; Krawczyk, S.; Afdhal, N.; Robson, S.C.; Herman, M.A.; et al. Steatohepatitis and Liver Fibrosis are Predicted by the Characteristics of Very Low Density Lipoprotein in Nonalcoholic Fatty Liver Disease. Liver Int. 2016, 36, 1213–1220. [Google Scholar] [CrossRef] [PubMed]
- O’Shea, R.S.; Dasarathy, S.; McCullough, A.J. Alcoholic Liver Disease. Hepatology 2010, 51, 307–328. [Google Scholar] [CrossRef]
- Hsueh, C.-J.; Wang, J.H.; Dai, L.; Liu, C.-C. Determination of Alanine Aminotransferase with an Electrochemical Nano Ir-C Biosensor for the Screening of Liver Diseases. Biosensors 2011, 1, 107–117. [Google Scholar] [CrossRef]
- Executive Summary of the Third Report of the National Cholesterol Education Program (NCEP) Expert Panel on Detection, Evaluation, and Treatment of High Blood Cholesterol in Adults (Adult Treatment Panel III). J. Am. Med. Assoc. 2001, 285, 2486–2497. [CrossRef] [PubMed]
- Grundy, S.M.; Cleeman, J.I.; Daniels, S.R.; Donato, K.A.; Eckel, R.H.; Franklin, B.A.; Gordon, D.J.; Krauss, R.M.; Savage, P.J.; Smith, S.C.J.; et al. Diagnosis and Management of the Metabolic Syndrome: An American Heart Association/National Heart, Lung, and Blood Institute Scientific Statement. Circulation 2005, 112, 2735–2752. [Google Scholar] [CrossRef]
- Sacks, D.B.; Arnold, M.; Bakris, G.L.; Bruns, D.E.; Horvath, A.R.; Kirkman, M.S.; Lernmark, A.; Metzger, B.E.; Nathan, D.M. Guidelines and Recommendations for Laboratory Analysis in the Diagnosis and Management of Diabetes Mellitus. Diab. Care 2011, 34, e61–e99. [Google Scholar] [CrossRef]
- Brunt, E.M.; Kleiner, D.E.; Carpenter, D.H.; Rinella, M.; Harrison, S.A.; Loomba, R.; Younossi, Z.; Neuschwander-Tetri, B.A.; Sanyal, A.J. NAFLD: Reporting Histologic Findings in Clinical Practice. Hepatology 2021, 73, 2028–2038. [Google Scholar] [CrossRef] [PubMed]
- Brunt, E.M.; Kleiner, D.E.; Wilson, L.A.; Belt, P.; Neuschwander-Tetri, B.A. Nonalcoholic Fatty Liver Disease (NAFLD) Activity Score and the Histopathologic Diagnosis in NAFLD: Distinct Clinicopathologic Meanings. Hepatology 2011, 53, 810–820. [Google Scholar] [CrossRef]
- Kleiner, D.E.; Brunt, E.M.; Van Natta, M.; Behling, C.; Contos, M.J.; Cummings, O.W.; Ferrell, L.D.; Liu, Y.-C.; Torbenson, M.S.; Unalp-Arida, A.; et al. Design and Validation of a Histological Scoring System for Nonalcoholic Fatty Liver Disease. Hepatology 2005, 41, 1313–1321. [Google Scholar] [CrossRef] [PubMed]
- Dullaart, R.P.F.; de Vries, R.; Dallinga-Thie, G.M.; Sluiter, W.J.; van Tol, A. Phospholipid Transfer Protein Activity is Determined by Type 2 Diabetes Mellitus and Metabolic Syndrome, and is Positively Associated with Serum Transaminases. Clin. Endocrinol. 2008, 68, 375–381. [Google Scholar] [CrossRef] [PubMed]
- Garcia, E.; Connelly, M.A.; Matyus, S.P.; Otvos, J.D.; Shalaurova, I. High-Throughput Nuclear Magnetic Resonance Measurement of Citrate in Serum and Plasma in the Clinical Laboratory. Pract. Lab. Med. 2021, 25, e00213. [Google Scholar] [CrossRef]
- Harrison, S.A.; Rinella, M.E.; Abdelmalek, M.F.; Trotter, J.F.; Paredes, A.H.; Arnold, H.L.; Kugelmas, M.; Bashir, M.R.; Jaros, M.J.; Ling, L.; et al. NGM282 for Treatment of Non-Alcoholic Steatohepatitis: A Multicentre, Randomised, Double-Blind, Placebo-Controlled, Phase 2 Trial. Lancet 2018, 391, 1174–1185. [Google Scholar] [CrossRef]
- Garcia, E.; Shalaurova, I.; Matyus, S.P.; Oskardmay, D.N.; Otvos, J.D.; Dullaart, R.P.F.; Connelly, M.A. Ketone Bodies are Mildly Elevated in Subjects with Type 2 Diabetes Mellitus and are Inversely Associated with Insulin Resistance as Measured by the Lipoprotein Insulin Resistance Index. J. Clin. Med. 2020, 9, 321. [Google Scholar] [CrossRef] [PubMed]


| Variables | Control Cohort (n = 98) | Metabolic Disease Cohort (n = 132) | BIDMC NAFLD Cohort (n = 187) | Control vs. Metabolic Disease p-Value | Control vs. NAFLD p-Value | Metabolic Disease vs. NAFLD p-Value |
|---|---|---|---|---|---|---|
| Age, years | 54.5 ± 7.8 | 56.9 ± 9.9 | 54.9 ± 13.0 | 0.05 | 0.73 | 0.19 |
| Female, n (%) | 38 (38.8) | 64 (48.5) | 75 (40.1) | 0.14 | 0.80 | 0.15 |
| White, n (%) | 73 (74.5) | 132 (100) | 161 (86.1) | <0.0001 | 0.012 | <0.0001 |
| Type 2 diabetes, n (%) | 0 | 76 (57.6) | 96 (51.3) | <0.0001 | <0.0001 | <0.0001 |
| Hypertension, n (%) | 0 | 73 (55.3) | 82 (43.9) | <0.0001 | <0.0001 | 0.066 |
| Hypercholesterolemia, n (%) | 56 (57.1) | 85 (64.4) | 73 (39.0) | 0.27 | 0.007 | <0.0001 |
| Obesity, n (%) | 0 | 50 (37.9) | 135 (72.2) | <0.0001 | <0.0001 | <0.0001 |
| BMI, kg/m2 | 24.7 ± 2.6 | 27.9 ± 5.1 | 34.1 ± 6.6 | <0.0001 | <0.0001 | <0.0001 |
| Waist circumference, cm | - | 95.6 ± 15.0 | 109.0 ± 14.4 | - | - | <0.0001 |
| HbA1c % | - | 6.1 ± 1.1 | 6.4 ± 1.5 | - | - | 0.21 |
| Fasting glucose, mg/dL | 94.2 ± 11.5 | 135.5 ± 42.9 | 112.1 ± 40.1 | <0.0001 | 0.0003 | <0.0001 |
| Total cholesterol, mg/dL | 209.2 ± 40.1 | 213.2 ± 36.8 | 193.0 ± 45.9 | 0.44 | 0.003 | <0.0001 |
| Triglyceride, mg/dL | 128.1 ± 128.1 | 165.1 ± 138.3 | 194.1 ± 123.4 | 0.040 | <0.0001 | 0.07 |
| LDL-C, mg/dL | 127.2 ± 36.1 | 126.8 ± 35.1 | 112.0 ± 39.2 | 0.88 | 0.0006 | <0.0001 |
| HDL-C, mg/dL | 58.4 ± 15.5 | 53.8 ± 16.2 | 45.5 ± 12.9 | 0.034 | <0.0001 | 0.0008 |
| ALT, IU/L | - | 30.9 ± 16.8 | 74.2 ± 49.5 | - | - | 0.72 |
| AST IU/L | - | 26.9 ± 10.2 | 49.7 ± 30.6 | - | - | <0.0001 |
| ALP, IU/L | - | 79.3 ± 21.8 | 79.5 ± 28.4 | - | - | <0.0001 |
| Total bilirubin, mg/dL | - | 0.59 ± 0.30 | 0.58 ± 0.55 | - | - | 0.99 |
| Platelet count 1k cells/μL | - | - | 248.3 ± 71.8 | - | - | - |
| Steatosis stage 2, 3, n (%) | - | - | 118 (63.1) | - | - | - |
| Ballooning stage 1, 2, n (%) | - | - | 156 (83.4) | - | - | - |
| Liver inflammation stage 2, 3, n (%) | - | - | 69 (36.9) | - | - | - |
| NAS | - | - | 4.5 ± 1.4 | - | - | - |
| LSM, kPa | - | - | 9.3 ± 6.5 | - | - | - |
| Significant fibrosis (F2, F3, F4), n (%) | - | - | 85 (45.5) | - | - | - |
| Advanced fibrosis (F3, F4), n (%) | - | - | 32 (17.3) | - | - | - |
| Cirrhosis (F4), n (%) | - | - | 14 (7.5) | - | - | - |
| Citrate µM | 113.6 ± 28.0 | 115.7 ± 27.1 | 121.6 ± 39.6 | 0.54 | 0.050 | 0.009 |
| Pyruvate, µM | 42.4 ± 29.4 | 38.6 ± 25.7 | 54.0 ± 26.1 | 0.33 | 0.001 | <0.0001 |
| Total ketone bodies, µM | 171.9 ± 109.7 | 219.7 ±38.6 | 229.7 ± 188.1 | 0.008 | 0.001 | 0.65 |
| Variables | Citrate Level >150 μM (n = 38) | Citrate Level ≤150 μM (n = 149) | p-Value |
|---|---|---|---|
| Age, years | 58.9 ± 13.8 | 53.9 ± 12.6 | 0.02 |
| Female, n (%) | 22 (57.9) | 53 (35.6) | 0.01 |
| White, n (%) | 34 (89.5) | 127 (85.2) | 0.66 |
| High glucose *, n (%) | 37 (97.4) | 133 (89.3) | 0.13 |
| Type 2 diabetes, n (%) | 19 (50.0) | 77 (51.7) | 0.85 |
| Hypertension, n (%) | 23 (60.5) | 59 (39.6) | 0.02 |
| Hypercholesterolemia, n (%) | 14 (36.8) | 59 (39.6) | 0.76 |
| Obesity, n (%) | 29 (76.3) | 106 (71.1) | 0.52 |
| Metabolic syndrome, n (%) | 28 (73.7) | 81 (61.8) | 0.18 |
| BMI, kg/m2 | 35.5 ± 8.0 | 33.7 ± 6.2 | 0.15 |
| Waist circumference, cm | 111.3 ± 16.4 | 108.4 ± 13.8 | 0.28 |
| HbA1c % | 6.8 ± 1.7 | 6.2 ± 1.1 | 0.09 |
| Fasting glucose, mg/dL | 121.6 ± 49.2 | 109.1 ± 36.8 | 0.25 |
| Total cholesterol, mg/dL | 173.9 ± 37.7 | 198.1 ± 46.4 | 0.01 |
| Triglycerides, mg/dL | 198.6 ± 117.9 | 192.9 ± 125.2 | 0.83 |
| LDL-C, mg/dL | 95.0 ± 34.4 | 116.2 ± 39.4 | 0.01 |
| HDL-C, mg/dL | 43.5 ± 11.4 | 46.1 ± 13.3 | 0.34 |
| ALT, IU/L | 73.9 ± 40.3 | 74.2 ± 51.7 | 0.98 |
| AST IU/L | 59.2 ± 25.9 | 47.2 ± 31.3 | 0.03 |
| ALP, IU/L | 87.4 ± 33.1 | 77.4 ± 26.8 | 0.06 |
| Total bilirubin, mg/dL | 0.60 ± 0.5 | 0.57 ± 0.6 | 0.79 |
| Platelet count, 1k cells/μL | 272.0 ± 75.5 | 242.6 ± 69.9 | 0.03 |
| Steatosis, stage 2, 3 | 27 (71.1) | 91 (61.1) | 0.25 |
| Ballooning stage, 1, 2 | 37 (97.4) | 119 (79.9) | 0.003 |
| Liver inflammation, stage 2, 3 | 19 (50.0) | 50 (33.6) | 0.06 |
| NAS | 5.0 ± 1.3 | 4.4 ± 1.4 | 0.01 |
| LSM, kPa | 12.8 ± 10.4 | 8.4 ± 4.9 | 0.003 |
| Moderate fibrosis (F ≥ 2) | 26 (68.4) | 59 (39.6) | 0.001 |
| Advanced fibrosis (F ≥ 3) | 12 (31.6) | 20 (13.6) | 0.01 |
| Cirrhosis (F4, n (%) | 5 (13.2) | 9 (6.0) | 0.16 |
| Pyruvate, µM | 65.5 ± 33.0 | 51.1 ± 23.3 | 0.002 |
| Total ketone bodies, µM | 354.2 ± 312.1 | 197.9 ± 123.0 | <0.001 |
| Variable | Univariable Association β-Coefficient and 95% CI | p-Value |
|---|---|---|
| Citrate † | 0.27 (0.10–0.45) | 0.003 |
| Pyruvate | 0.18 (0.001–0.36) | 0.049 |
| Ketone bodies | 0.08 (−0.10–0.26) | 0.36 |
| Demographics | ||
| Age | 0.02 (0.01–0.03) | 0.004 |
| Female vs. male | −0.06 (−0.43–0.30) | 0.74 |
| Comorbidities | ||
| Obesity | 0.66 (0.27–1.05) | 0.001 |
| Type 2 diabetes | 0.41 (0.06–0.78) | 0.02 |
| High glucose * | 0.22 (−0.44–0.88) | 0.52 |
| Hypertension | 0.82 (0.48–1.16) | <0.001 |
| High triglycerides * | −0.08 (−0.48–0.33) | 0.71 |
| Low HDL-C * | 0.49 (0.09–0.88) | 0.76 |
| Increased waist circumference * | 0.67 (0.24–1.10) | 0.002 |
| Metabolic syndrome * | 0.94 (0.54–1.27) | <0.001 |
| NASH severity | ||
| NAS | 0.34 (0.23–0.45) | <0.001 |
| ALT | 0.004 (0.0007–0.008) | 0.02 |
| Platelet count | −0.002 (−0.005–0.0003) | 0.10 |
| Variable | Model 1 (Age, Sex) | Model 2 (Age, Sex and Metabolic Syndrome) | Model 3 (Age, Sex, Metabolic Syndrome and NAS) | |||
|---|---|---|---|---|---|---|
| β-Coefficient (95% CI) | p-Value | β-Coefficient (95% CI) | p-Value | β-Coefficient (95% CI) | p-Value | |
| Citrate † | 0.27 (0.08–0.45) | 0.004 | 0.20 (0.02–0.38) | 0.03 | 0.19 (0.03–0.35) | 0.02 |
| Age | 0.02 (0.003–0.03) | 0.02 | 0.01 (−0.01–0.02) | 0.25 | 0.02 (0.003–0.03) | 0.02 |
| Female vs. male | −0.38 (−0.74–−0. 01) | 0.04 | −0.35 (−0.70–0.01) | 0.06 | −0.52 (−0.84–−0.20) | 0.002 |
| MetS | 0.90 (0.53–1.27) | <0.001 | 0.75 (0.40–1.07) | <0.001 | ||
| NAS | 0.37 (0.26–0.48) | <0.001 | ||||
| Variable | Male Population (n = 112) | Female Population (n = 75) | ||
|---|---|---|---|---|
| β-Coefficient (95% CI) | p-Value | β-Coefficient (95% CI) | p-Value | |
| Citrate † | 0.34 (0.10–0.57) | 0.005 | 0.09 (−0.13–0.32) | 0.41 |
| Age | 0.02 (0.002–0.04) | 0.03 | 0.01 (−0.01–0.03) | 0.39 |
| Metabolic syndrome | 0.57 (0.15–0.99) | 0.008 | 0.92 (0.35–1.50) | 0.002 |
| NAS | 0.35 (0.20–0.50) | <0.001 | 0.42 (0.25–0.59) | <0.001 |
| Variable | Univariable Association | Multivariable Association Adjusted for Age, Sex, NAS and Metabolic Factors | ||
|---|---|---|---|---|
| β-Coefficient (95% CI) | p-Value | β-Coefficient (95% CI) | p-Value | |
| Citrate † | 0.23 (0.08–0.37) | 0.002 | 0.21 (0.07–0.36) | 0.005 |
| Age | 0.02 (0.01–0.04) | 0.001 | 0.02 (0.01–0.04) | 0.002 |
| Female | −0.22 (−0.53–0.08) | 0.15 | −0.41 (−0.79–−0.04) | 0.03 |
| High glucose (≥110 mg/dL) | 0.20 (−0.15–0.55) | 0.26 | 0.05 (−0.30–0.39) | 0.80 |
| High triglycerides (≥150 mg/dL) | 0.05 (−0.23–0.34) | 0.71 | 0.15 (−0.12–0.42) | 0.27 |
Disclaimer/Publisher’s Note: The statements, opinions and data contained in all publications are solely those of the individual author(s) and contributor(s) and not of MDPI and/or the editor(s). MDPI and/or the editor(s) disclaim responsibility for any injury to people or property resulting from any ideas, methods, instructions or products referred to in the content. |
© 2023 by the authors. Licensee MDPI, Basel, Switzerland. This article is an open access article distributed under the terms and conditions of the Creative Commons Attribution (CC BY) license (https://creativecommons.org/licenses/by/4.0/).
Share and Cite
Amjad, W.; Shalaurova, I.; Garcia, E.; Gruppen, E.G.; Dullaart, R.P.F.; DePaoli, A.M.; Jiang, Z.G.; Lai, M.; Connelly, M.A. Circulating Citrate Is Associated with Liver Fibrosis in Nonalcoholic Fatty Liver Disease and Nonalcoholic Steatohepatitis. Int. J. Mol. Sci. 2023, 24, 13332. https://doi.org/10.3390/ijms241713332
Amjad W, Shalaurova I, Garcia E, Gruppen EG, Dullaart RPF, DePaoli AM, Jiang ZG, Lai M, Connelly MA. Circulating Citrate Is Associated with Liver Fibrosis in Nonalcoholic Fatty Liver Disease and Nonalcoholic Steatohepatitis. International Journal of Molecular Sciences. 2023; 24(17):13332. https://doi.org/10.3390/ijms241713332
Chicago/Turabian StyleAmjad, Waseem, Irina Shalaurova, Erwin Garcia, Eke G. Gruppen, Robin P. F. Dullaart, Alex M. DePaoli, Z. Gordon Jiang, Michelle Lai, and Margery A. Connelly. 2023. "Circulating Citrate Is Associated with Liver Fibrosis in Nonalcoholic Fatty Liver Disease and Nonalcoholic Steatohepatitis" International Journal of Molecular Sciences 24, no. 17: 13332. https://doi.org/10.3390/ijms241713332
APA StyleAmjad, W., Shalaurova, I., Garcia, E., Gruppen, E. G., Dullaart, R. P. F., DePaoli, A. M., Jiang, Z. G., Lai, M., & Connelly, M. A. (2023). Circulating Citrate Is Associated with Liver Fibrosis in Nonalcoholic Fatty Liver Disease and Nonalcoholic Steatohepatitis. International Journal of Molecular Sciences, 24(17), 13332. https://doi.org/10.3390/ijms241713332

