Synthesis, Structure, and Magnetic and Biological Properties of Copper(II) Complexes with 1,3,4-Thiadiazole Derivatives
Abstract
:1. Introduction
2. Results
2.1. Synthesis and Characterization
2.2. X-ray Structure Determination
2.3. EXAFS Spectroscopy Determination
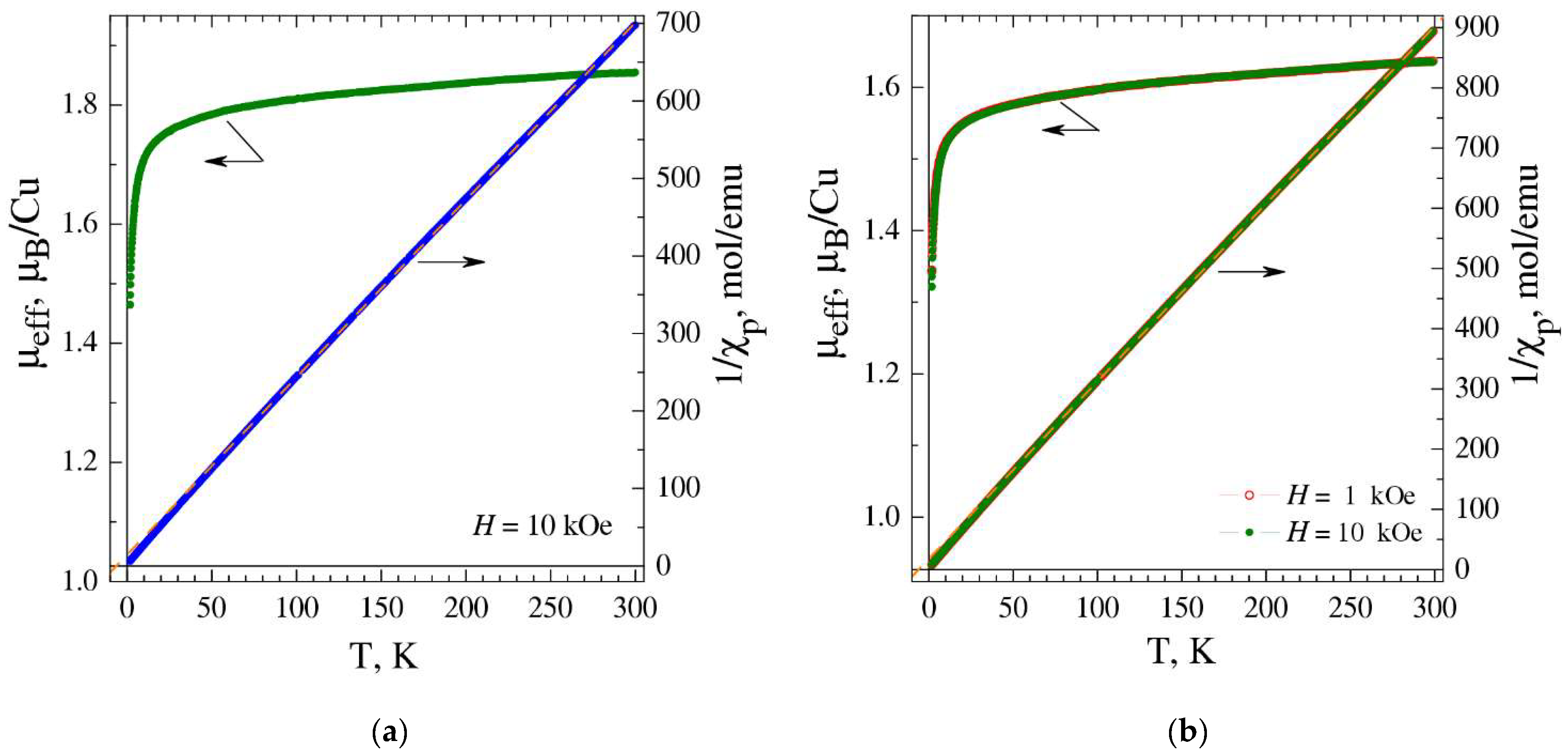
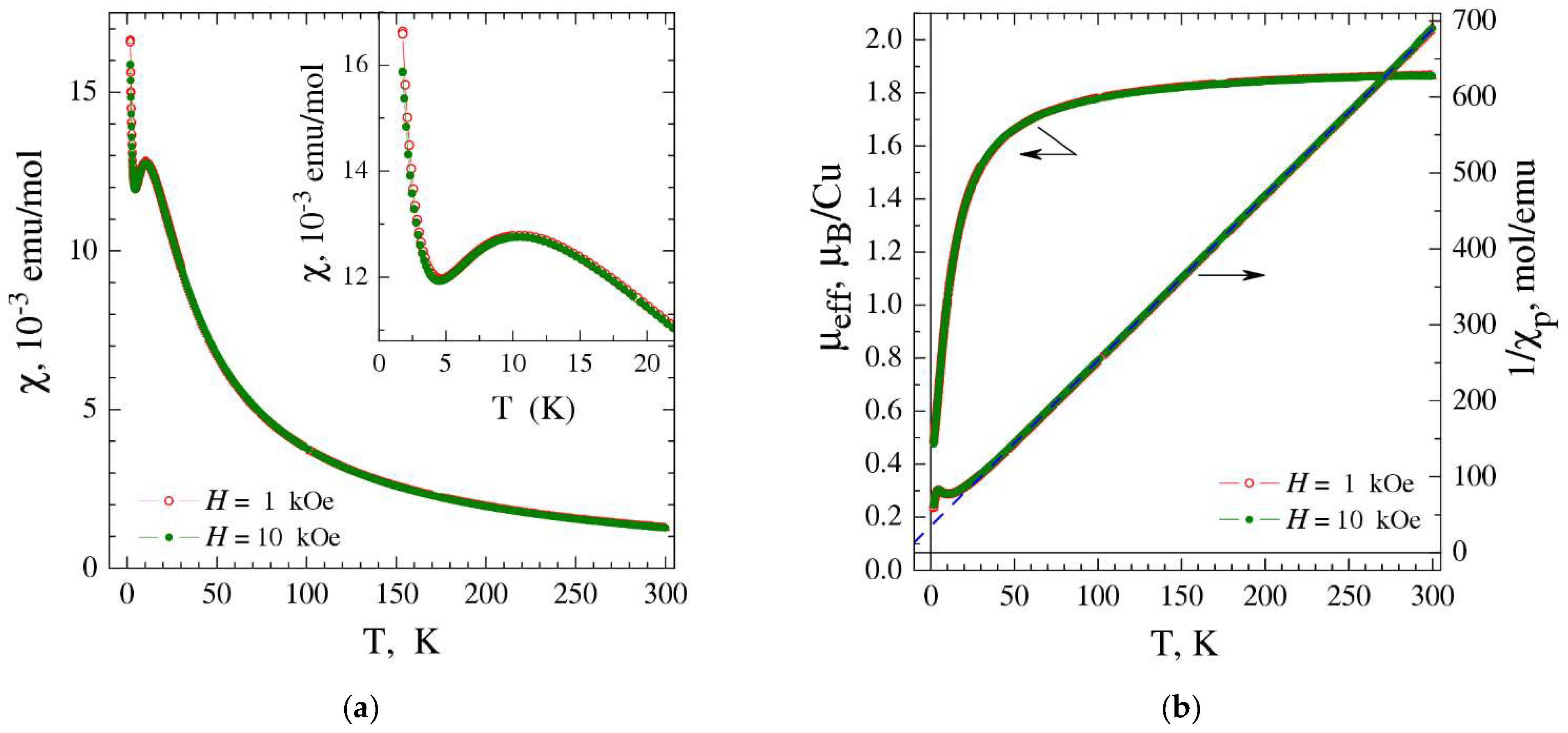
2.4. Magnetic Properties
2.5. In Vitro Cytotoxic Activity
3. Discussion
3.1. Structure of Complexes 1 and 2
3.2. Structure of Complexes 3 and 4 According to the EXAFS Data
3.3. Magnetic Properties of the Complexes
3.4. Cytotoxic Properties of the Complexes
4. Materials and Methods
4.1. Synthesis
4.1.1. Synthesis of the Ligands
4.1.2. Synthesis of Cu(L1)2Br2 (1)
4.1.3. Synthesis of Cu(L1)(C2N3)2 (2)
4.1.4. Synthesis of Cu(L2)Cl2 (3), Cu(L2)Br2 (4)
4.2. XRD
4.3. X-ray Absorption Spectroscopy
4.4. Magnetic Susceptibility
4.5. In Vitro Cytotoxicity Assay
5. Conclusions
Supplementary Materials
Author Contributions
Funding
Institutional Review Board Statement
Informed Consent Statement
Data Availability Statement
Acknowledgments
Conflicts of Interest
References
- Buchachenko, A.L. Molecular ferromagnets. Russ. Chem. Bull. 2011, 60, 2439–2442. [Google Scholar] [CrossRef]
- Halcrow, M.A. Spin-Crossover Materials: Properties and Applications; Wiley & Sons: Hoboken, NJ, USA, 2013; 562p. [Google Scholar]
- Shakirova, O.G.; Lavrenova, L.G. Spin Crossover in New Iron(II) Coordination Compounds with Tris(pyrazol-1-yl)Methane. Crystals 2020, 10, 843. [Google Scholar] [CrossRef]
- Hu, Y.; Li, C.-Y.; Wang, X.-M.; Yang, Y.-H.; Zhu, H.-L. 1,3,4-Thiadiazole: Synthesis, Reactions, and Applications in Medicinal, Agricultural, and Materials Chemistry. Chem. Rev. 2014, 114, 5572–5610. [Google Scholar] [CrossRef] [PubMed]
- Cascioferro, S.; Petri, G.L.; Parrino, B.; Carbone, D.; Funel, N.; Bergonzini, C.; Mantini, G.; Dekker, H.; Geerke, D.; Peters, G.J.; et al. Imidazo[2,1-b] [1,3,4]thiadiazoles with antiproliferative activity against primary and gemcitabine-resistant pancreatic cancer cells. Eur. J. Med. Chem. 2020, 189, 112088. [Google Scholar] [CrossRef] [PubMed]
- Hameed, S.A.; Varkey, J.; Jayasekhar, P. Schiff bases and Bicyclic derivatives comprising 1, 3, 4-thiadiazole moiety—A Review on their Pharmacological activities. Asian J. Pharm. Res. 2019, 9, 299–306. [Google Scholar] [CrossRef]
- Szeliga, M. Thiadiazole derivatives as anticancer agents. Pharmacol. Rep. 2020, 72, 1079–1100. [Google Scholar] [CrossRef] [PubMed]
- Jain, A.K.; Sharma, S.; Vaidya, A.; Ravichandran, V.; Agrawal, R.K. 1,3,4-Thiadiazole and its Derivatives: A Review on Recent Progress in Biological Activities. Chem. Biol. Drug Des. 2013, 81, 557–576. [Google Scholar] [CrossRef] [PubMed]
- Loto, R.; Loto, C.; Popoola, P. Corrosion inhibition of thiourea and thiadiazole derivatives: A Review. J. Mater. Environ. Sci. 2012, 3, 885–894. [Google Scholar]
- Tandon, S.S.; Thompson, L.K.; Manuel, M.E.; Bridson, J.N. Magnetostructural Correlations in μ2-1,1-N3 Bridged, Dinuclear Copper(II) Complexes. 1. Ferromagnetic and Antiferromagnetic Coupling Associated with the Azide Bridge. X-ray Crystal Structures of [Cu2(DMPTD)(μ2-N3)(μ2-Cl)Cl2]·CH3CN, [Cu2(DMPTD)(μ2-N3)2(N3)2], [Cu2(DIP)(μ2-N3)(μ2-Cl)Cl2]·0.5CH3OH, [Cu2(PAP46Me-H)(μ2-N3)(N3)2]·0.33H2O, [Cu2(PAP)(μ2-N3)Cl3]·CH2Cl2, [Cu2(PAP)(μ2-N3)(N3)(NO3)(CH3OH)](NO3)·CH3OH, [Cu2(PPD3Me)(μ2-N3)Cl3(H2O)1.5], and [Cu2(PPD)(μ2-N3)(NO3)3(H2O)1.6]. Inorg. Chem. 1994, 33, 5555–5570. [Google Scholar] [CrossRef]
- Tandon, S.S.; Chen, L.; Thompson, L.K.; Bridson, J.N. Dinuclear copper(II) complexes of the tetradentate thiadiazole ligands BPMTD (2,5-bis((2-pyridylmethyl)thio)thiadiazole) and BPTD (2,5-bis(2-pyridylthio)thiadiazole). X-ray structures of [Cu2(BPTD)(μ2-Br)2Br2] and [Cu(BPMTD)Cl2]n and spectroscopic, electrochemical, and magnetic studies. Inorg. Chem. 1994, 33, 490–497. [Google Scholar] [CrossRef]
- Tandon, S.S.; Thompson, L.K.; Bridson, J.N. A dinuclear copper(II) complex bridged simultaneously by end-on azido, bromo and diazole (N2) groups exhibiting strong ferromagnetic exchange. X-ray structure and magnetic properties. J. Chem. Soc. Chem. Commun. 1993, 9, 804–806. [Google Scholar] [CrossRef]
- Zhang, J.-W.; Kan, X.-M.; Liu, B.-Q.; Liu, G.-C.; Tian, A.-X.; Wang, X.-L. Systematic Investigation of Reaction-Time Dependence of Three Series of Copper–Lanthanide/Lanthanide Coordination Polymers: Syntheses, Structures, Photoluminescence, and Magnetism. Chem. Eur. J. 2015, 21, 16219–16228. [Google Scholar] [CrossRef]
- Smaili, A.; Rifai, L.A.; Esserti, S.; Koussa, T.; Bentiss, F.; Guesmi, S.; Laachir, A.; Faize, M. Copper complexes of the 1,3,4-thiadiazole derivatives modulate antioxidant defense responses and resistance in tomato plants against fungal and bacterial diseases. Pestic. Biochem. Physiol. 2017, 143, 26–32. [Google Scholar] [CrossRef] [PubMed]
- Wen, Y.-H.; Chen, Y.-Y.; Wen, H.-L.; Xie, X.-L.; Wang, L. Synthesis, crystal structure, and properties of the cadmium complex with 2,5-bis((benzoimidazol-2-yl)methylthio)-1,3,4-thiadiazole. J. Coord. Chem. 2012, 65, 2780–2792. [Google Scholar] [CrossRef]
- Slyvka, Y.I.; Ardan, B.R.; Mys’kiv, M.G. Copper(I) Chloride π-Complexes with 2,5-Bis(Allylthio)-1,3,4-Thiadiazole: Synthesis and Structural Features. J. Struct. Chem. 2018, 59, 388–394. [Google Scholar] [CrossRef]
- Bonomo, R.; Bottino, F.; Fronczek, F.R.; Mamo, A.; Pappalardo, S. Preparation, characterization, and structural aspects of transition metal complexes with 4,7,10-trioxa-1,13-dithia[13](2,5)-1,3,4-thiadiazolophane. Inorg. Chem. 1989, 28, 4593–4598. [Google Scholar] [CrossRef]
- Benny, P.D.; Fugate, G.A.; Morley, J.E.; Twamley, B.; Trabue, S. Synthesis and characterization of 2,5-bis(benzylthio)-1,3,4-thiadiazole complexes with fac-ReBr3(CO)32. Inorg. Chim. Acta 2009, 362, 1289–1294. [Google Scholar] [CrossRef]
- Frija, L.M.T.; Pombeiro, A.J.L.; Kopylovich, M.N. Coordination chemistry of thiazoles, isothiazoles and thiadiazoles. Coord. Chem. Rev. 2016, 308, 32–55. [Google Scholar] [CrossRef]
- Bentiss, F.; Lagrenée, M.; Mentré, O.; Conflant, P.; Vezin, H.; Wignacourt, J.P.; Holt, E.M. Intermolecular Magnetic Couplings in the Dinuclear Copper(II) Complex μ-Chloro-μ-[2,5-bis(2-pyridyl)-1,3,4-thiadiazole] Aqua Chlorocopper(II) Dichlorocopper(II): Synthesis, Crystal Structure, and EPR and Magnetic Characterization. Inorg. Chem. 2004, 43, 1865–1873. [Google Scholar] [CrossRef]
- Laachir, A.; Guesmi, S.; Saadi, M.; El Ammari, L.; Mentré, O.; Vezin, H.; Colis, S.; Bentiss, F. Copper(II) coordination chain complex with the 2,5-bis(2-pyridyl)-1,3,4-thiadiazole ligand and an asymmetric μ2-1,1-azido double-bridged: Synthesis, crystal structure and magnetic properties. J. Mol. Struct. 2016, 1123, 400–406. [Google Scholar] [CrossRef]
- Lavrenova, L.G.; Komarov, V.Y.; Glinskaya, L.A.; Lavrov, A.N.; Artem’ev, A.V. Synthesis, Structure, and Properties of Copper(II) Complexes with 2,5-Bis(Ethylthio)-1,3,4-Thiadiazole. J. Struct. Chem. 2023, 64, 895–905. [Google Scholar] [CrossRef]
- Groom, C.R.; Bruno, I.J.; Lightfoot, M.P.; Ward, S.C. The Cambridge Structural Database. Acta Crystallogr. Sect. B 2016, 72, 171–179. [Google Scholar] [CrossRef] [PubMed]
- Binsted, N.; Campbell, J.; Gurman, S.; Stephenson, P. SERC Daresbury Laboratory EXCURV92 Program; Daresbury Laboratory: Warrington, UK, 1991. [Google Scholar]
- Voitekhovich, S.V.; Lyakhov, A.S.; Matulis, V.E.; Ivashkevich, L.S.; Ivashkevich, O.A. Substituent-dependent coordination modes of 1-methyl-5-R-tetrazoles in their cupric chloride complexes. Polyhedron 2019, 162, 100–110. [Google Scholar] [CrossRef]
- Bleaney, B.; Bowers, K.D. Anomalous paramagnetism of copper acetate. Proc. R. Soc. London. Ser. A Math. Phys. Sci. 1997, 214, 451–465. [Google Scholar] [CrossRef]
- Bonner, J.C.; Fisher, M.E. Linear Magnetic Chains with Anisotropic Coupling. Phys. Rev. 1964, 135, A640–A658. [Google Scholar] [CrossRef]
- Hatfield, W.E. New magnetic and structural results for uniformly spaced, alternatingly spaced, and ladder-like copper (II) linear chain compounds (invited). J. Appl. Phys. 1981, 52, 1985–1990. [Google Scholar] [CrossRef]
- Johnston, D.C.; Kremer, R.K.; Troyer, M.; Wang, X.; Klümper, A.; Bud’ko, S.L.; Panchula, A.F.; Canfield, P.C. Thermodynamics of spin $S=1/2$ antiferromagnetic uniform and alternating-exchange Heisenberg chains. Phys. Rev. B 2000, 61, 9558–9606. [Google Scholar] [CrossRef]
- Lavrenova, L.G.; Ivanova, A.I.; Glinskaya, L.A.; Artem’ev, A.V.; Lavrov, A.N.; Novikov, A.S.; Abramov, P.A. Halogen Bonding Channels for Magnetic Exchange in Cu(II) Complexes with 2,5-Di(methylthio)-1,3,4-thiadiazole. Chem.—Asian J. 2023, 18, e202201200. [Google Scholar] [CrossRef]
- Carranza, J.; Sletten, J.; Lloret, F.; Julve, M. Structural analysis and magnetic properties of the copper(II) dicyanamide complexes [Cu2(dmphen)2(dca)4], [Cu(dmphen)(dca)(NO3)]n and [Cu(4,4′-dmbpy)(H2O)(dca)2] (dca=dicyanamide; dmphen=2,9-dimethyl-1,10-phenanthroline; 4,4′-dmbpy=4,4′-dimethyl-2,2′-bipyridine). Inorg. Chim. Acta 2004, 357, 3304–3316. [Google Scholar] [CrossRef]
- Ghoshal, D.; Jana, A.D.; Maji, T.K.; Mostafa, G. Formation of a supramolecular ladder using dinuclear dicyanamide bridged Cu(II) species: Synthesis, crystal structure and magnetic property. Inorg. Chim. Acta 2006, 359, 690–694. [Google Scholar] [CrossRef]
- Ivanova, A.D.; Grigoriev, Y.V.; Komarov, V.Y.; Sukhikh, T.S.; Bogomyakov, A.S.; Lavrov, A.N.; Sheludyakova, L.A.; Lavrenova, L.G. New nickel(II) and copper(II) complexes with 1-tert-butyl-1H- and 1,5-diaminotetrazoles. Inorg. Chim. Acta 2021, 524, 120452. [Google Scholar] [CrossRef]
- Griffith, J.S. On the General Theory of Magnetic Susceptibilities of Polynuclear Transition-Metal Compounds. In Structure and Bonding; Springer: Berlin/Heidelberg, Germany, 1972; pp. 87–126. [Google Scholar]
- Eggert, S.; Affleck, I.; Takahashi, M. Susceptibility of the spin 1/2 Heisenberg antiferromagnetic chain. Phys. Rev. Lett. 1994, 73, 332–335. [Google Scholar] [CrossRef] [PubMed]
- Ghoshray, K.; Pahari, B.; Bandyopadhyay, B.; Sarkar, R.; Ghoshray, A. 51V NMR study of the quasi-one-dimensional alternating chain compound BaCu2V2O8. Phys. Rev. B 2005, 71, 214401. [Google Scholar] [CrossRef]
- Hall, J.W.; Marsh, W.E.; Weller, R.R.; Hatfield, W.E. Exchange coupling in the alternating-chain compounds catena-di-μ-chloro-bis(4-methylpyridine)copper(II), catena-di-μ-bromobis(N-methylimidazole)copper(II), catena-[hexanedione)bis(thiosemicarbazonato)]copper(II), and catena-[octanedione bis (thiosemicarbazonato)]copper(II). Inorg. Chem. 1981, 20, 1033–1037. [Google Scholar] [CrossRef]
- Donato, T.M.; Jover, R.; Gómez-Lechón, J.M. Hepatic Cell Lines for Drug Hepatotoxicity Testing: Limitations and Strategies to Upgrade their Metabolic Competence by Gene Engineering. Curr. Drug Metab. 2013, 14, 946–968. [Google Scholar] [CrossRef] [PubMed]
- Wilkening, S.; Stahl, F.; Bader, A. Comparison of Primary Human Hepatocytes and Hepatoma Cell Line Hepg2 with Regard to Their Biotransformation Properties. Drug Metab. Dispos. 2003, 31, 1035. [Google Scholar] [CrossRef] [PubMed]
- Donato, M.T.; Tolosa, L.; Gómez-Lechón, M.J. Culture and Functional Characterization of Human Hepatoma HepG2 Cells. In Protocols in In Vitro Hepatocyte Research; Vinken, M., Rogiers, V., Eds.; Springer: New York, NY, USA, 2015; Volume 1250, pp. 77–93. [Google Scholar]
- Nekvindova, J.; Mrkvicova, A.; Zubanova, V.; Hyrslova Vaculova, A.; Anzenbacher, P.; Soucek, P.; Radova, L.; Slaby, O.; Kiss, I.; Vondracek, J.; et al. Hepatocellular carcinoma: Gene expression profiling and regulation of xenobiotic-metabolizing cytochromes P450. Biochem. Pharmacol. 2020, 177, 113912. [Google Scholar] [CrossRef] [PubMed]
- Shen, H.; Wu, H.; Sun, F.; Qi, J.; Zhu, Q. A novel four-gene of iron metabolism-related and methylated for prognosis prediction of hepatocellular carcinoma. Bioengineered 2021, 12, 240–251. [Google Scholar] [CrossRef]
- Wang, X.; Liao, X.; Yang, C.; Huang, K.; Yu, T.; Yu, L.; Han, C.; Zhu, G.; Zeng, X.; Liu, Z.; et al. Identification of prognostic biomarkers for patients with hepatocellular carcinoma after hepatectomy. Oncol. Rep. 2019, 41, 1586–1602. [Google Scholar] [CrossRef]
- Yan, J.; Shu, M.; Li, X.; Yu, H.; Chen, S.; Xie, S. Prognostic Score-based Clinical Factors and Metabolism-related Biomarkers for Predicting the Progression of Hepatocellular Carcinoma. Evol. Bioinform. 2020, 16, 1176934320951571. [Google Scholar] [CrossRef]
- Eremina, J.A.; Lider, E.V.; Sukhikh, T.S.; Klyushova, L.S.; Perepechaeva, M.L.; Sheven, D.G.; Berezin, A.S.; Grishanova, A.Y.; Potkin, V.I. Water-soluble copper(II) complexes with 4,5-dichloro-isothiazole-3-carboxylic acid and heterocyclic N-donor ligands: Synthesis, crystal structures, cytotoxicity, and DNA binding study. Inorg. Chim. Acta 2020, 510, 119778. [Google Scholar] [CrossRef]
- Rechitskaya, E.D.; Kuratieva, N.V.; Lider, E.V.; Eremina, J.A.; Klyushova, L.S.; Eltsov, I.V.; Kostin, G.A. Tuning of cytotoxic activity by bio-mimetic ligands in ruthenium nitrosyl complexes. J. Mol. Struct. 2020, 1219, 128565. [Google Scholar] [CrossRef]
- Zhivotova, T.S.; Bakirova, R.E.; Fazylov, S.D.; Kabieva, S.K.; Kryazheva, T.V. Synthesis and Biological Activity of 2,5-Bisubstituted Derivatives of 1,3,4-Thiadiazol-2,5-dithiol. J. Chem. 2013, 2013, 635079. [Google Scholar] [CrossRef]
- Sheldrick, G. SHELXT-Integrated space-group and crystal-structure determination. Acta Crystallogr. Sect. A 2015, 71, 3–8. [Google Scholar] [CrossRef] [PubMed]
- Sheldrick, G. Crystal structure refinement with SHELXL. Acta Crystallogr. Sect. C 2015, 71, 3–8. [Google Scholar] [CrossRef] [PubMed]
- Dolomanov, O.V.; Bourhis, L.J.; Gildea, R.J.; Howard, J.A.K.; Puschmann, H. OLEX2: A complete structure solution, refinement and analysis program. J. Appl. Crystallogr. 2009, 42, 339–341. [Google Scholar] [CrossRef]
- Piminov, P.A.; Baranov, G.N.; Bogomyagkov, A.V.; Berkaev, D.E.; Borin, V.M.; Dorokhov, V.L.; Karnaev, S.E.; Kiselev, V.A.; Levichev, E.B.; Meshkov, O.I.; et al. Synchrotron Radiation Research and Application at VEPP-4. Phys. Procedia 2016, 84, 19–26. [Google Scholar] [CrossRef]
- Klementev, K.V. Extraction of the fine structure from X-ray absorption spectra. J. Phys. D Appl. Phys. 2001, 34, 209. [Google Scholar] [CrossRef]
















| L1 | 1 | 2 | L2 | 3 | 4 | Assignment |
|---|---|---|---|---|---|---|
| 3048 | 3069 | 3049 | ν(CH) | |||
| 3008 | 3057 | |||||
| 3046 | ||||||
| 3027 | ||||||
| 2971 | 2969 | 2977 | 2976 | 2982 | 2958 | ν(CH3), ν(CH2) |
| 2929 | 2922 | 2931 | 2920 | 2963 | 2019 | |
| 2871 | 2854 | 2921 | 2855 | |||
| 2856 | ||||||
| 1681 | 1651 | 1662 | 1586 | 1599 | 1665 | Rring |
| 1560 | 1514 | 1566 | 1568 | 1597 | ||
| 1497 | 1509 | 1566 | ||||
| 1034 | 1033 | 1040 | 1039 | 1042 | 1040 | ν(S-C-S) |
| 286 | 263 | 272 | ν(Cu-N) | |||
| 259 | 300 | 249 | ν(Cu-Hal) |
| Ionized Atom–Scattering Atom | R, Å | Coordination Number (C.N.) | 2σ2, Å2 | FEXAFS * |
|---|---|---|---|---|
| Cu–N′ | 1.97 | 1.6 | 0.015 | 4.6 |
| Cu–Cl′ | 2.26 | 2.6 | 0.014 | |
| Cu–Cl″ | 2.67 | 0.8 | 0.014 | |
| Cu–N″ | 3.00 | 1.6 | 0.015 | |
| Cu–Cu | 3.30 | 1.2 | 0.024 |
| Ionized Atom–Scattering Atom | R, Å | Coordination Number (C.N.) | 2σ2, Å2 | FEXAFS * |
|---|---|---|---|---|
| Cu–N′ | 2.00 | 2.0 | 0.010 | 4.5 |
| Cu–Br | 2.43 | 2.0 | 0.014 | |
| Cu–N″ | 2.94 | 2.0 | 0.010 | |
| Cu–Cu | 3.89 | 1.0 | 0.029 |
Disclaimer/Publisher’s Note: The statements, opinions and data contained in all publications are solely those of the individual author(s) and contributor(s) and not of MDPI and/or the editor(s). MDPI and/or the editor(s) disclaim responsibility for any injury to people or property resulting from any ideas, methods, instructions or products referred to in the content. |
© 2023 by the authors. Licensee MDPI, Basel, Switzerland. This article is an open access article distributed under the terms and conditions of the Creative Commons Attribution (CC BY) license (https://creativecommons.org/licenses/by/4.0/).
Share and Cite
Lavrenova, L.G.; Sukhikh, T.S.; Glinskaya, L.A.; Trubina, S.V.; Zvereva, V.V.; Lavrov, A.N.; Klyushova, L.S.; Artem’ev, A.V. Synthesis, Structure, and Magnetic and Biological Properties of Copper(II) Complexes with 1,3,4-Thiadiazole Derivatives. Int. J. Mol. Sci. 2023, 24, 13024. https://doi.org/10.3390/ijms241613024
Lavrenova LG, Sukhikh TS, Glinskaya LA, Trubina SV, Zvereva VV, Lavrov AN, Klyushova LS, Artem’ev AV. Synthesis, Structure, and Magnetic and Biological Properties of Copper(II) Complexes with 1,3,4-Thiadiazole Derivatives. International Journal of Molecular Sciences. 2023; 24(16):13024. https://doi.org/10.3390/ijms241613024
Chicago/Turabian StyleLavrenova, Lyudmila G., Taisiya S. Sukhikh, Lyudmila A. Glinskaya, Svetlana V. Trubina, Valentina V. Zvereva, Alexander N. Lavrov, Lyubov S. Klyushova, and Alexander V. Artem’ev. 2023. "Synthesis, Structure, and Magnetic and Biological Properties of Copper(II) Complexes with 1,3,4-Thiadiazole Derivatives" International Journal of Molecular Sciences 24, no. 16: 13024. https://doi.org/10.3390/ijms241613024
APA StyleLavrenova, L. G., Sukhikh, T. S., Glinskaya, L. A., Trubina, S. V., Zvereva, V. V., Lavrov, A. N., Klyushova, L. S., & Artem’ev, A. V. (2023). Synthesis, Structure, and Magnetic and Biological Properties of Copper(II) Complexes with 1,3,4-Thiadiazole Derivatives. International Journal of Molecular Sciences, 24(16), 13024. https://doi.org/10.3390/ijms241613024

