Effect of Diosmin on Selected Parameters of Oxygen Homeostasis
Abstract
:1. Introduction
2. Results
2.1. Characteristic of the Participants
2.2. Basic Blood Parameters
2.3. Clinical Manifestation
2.4. Oxygen Management
2.5. Markers of Angiogenesis
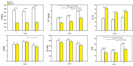
2.6. Markers of Inflamation
2.7. Correlation Analysis
3. Discussion
4. Materials and Methods
4.1. Selection of Patients
4.2. Diosmin Administration
4.3. Oedema and Pain Assessment
4.4. Blood Collection and Biochemistry Assay
4.5. Anion Gap Assessment
4.6. Pulse Oximetry Assessment
4.7. Echo-Doppler Examination
4.8. Statistical Analysis
Supplementary Materials
Author Contributions
Funding
Institutional Review Board Statement
Informed Consent Statement
Data Availability Statement
Conflicts of Interest
References
- Das, K.K. Vascular Physiology: A Bridge between Health and Disease. Indian J. Physiol. Pharmacol. 2022, 66, 155–156. [Google Scholar] [CrossRef]
- Lim, C.S.; Kiriakidis, S.; Sandison, A.; Paleolog, E.M.; Davies, A.H. Hypoxia-Inducible Factor Pathway and Diseases of the Vascular Wall. J. Vasc. Surg. 2013, 58, 219–230. [Google Scholar] [CrossRef] [PubMed]
- Nicolaides, A.N.; Labropoulos, N. Burden and Suffering in Chronic Venous Disease. Adv. Ther. 2019, 36, 1–4. [Google Scholar] [CrossRef] [PubMed]
- Farah, M.H.; Nayfeh, T.; Urtecho, M.; Hasan, B.; Amin, M.; Sen, I.; Wang, Z.; Prokop, L.J.; Lawrence, P.F.; Gloviczki, P.; et al. A Systematic Review Supporting the Society for Vascular Surgery, the American Venous Forum, and the American Vein and Lymphatic Society Guidelines on the Management of Varicose Veins. J. Vasc. Surg. Venous Lymphat. Disord. 2022, 10, 1155–1171. [Google Scholar] [CrossRef] [PubMed]
- Darvall, K.A.L.; Bate, G.R.; Adam, D.J.; Bradbury, A.W. Generic Health-Related Quality of Life Is Significantly Worse in Varicose Vein Patients with Lower Limb Symptoms Independent of Ceap Clinical Grade. Eur. J. Vasc. Endovasc. Surg. 2012, 44, 341–344. [Google Scholar] [CrossRef] [PubMed]
- Rabe, E.; Guex, J.J.; Puskas, A.; Scuderi, A.; Fernandez Quesada, F.; VCP Coordinators. Epidemiology of Chronic Venous Disorders in Geographically Diverse Populations: Results from the Vein Consult Program. Int. Angiol. J. Int. Union Angiol. 2012, 31, 105–115. [Google Scholar]
- Raffetto, J.; Khalil, R. Matrix Metalloproteinases in Venous Tissue Remodeling and Varicose Vein Formation. Curr. Vasc. Pharmacol. 2008, 6, 158–172. [Google Scholar] [CrossRef] [PubMed]
- Gawas, M.; Bains, A.; Janghu, S.; Kamat, P.; Chawla, P. A Comprehensive Review on Varicose Veins: Preventive Measures and Different Treatments. J. Am. Nutr. Assoc. 2022, 41, 499–510. [Google Scholar] [CrossRef] [PubMed]
- Ulloa, J.H. Optimising Decision Making in Chronic Venous Disease Management with Micronised Purified Flavonoid Fraction. Clin. Drug Investig. 2023, 43, 15–19. [Google Scholar] [CrossRef]
- Feldo, M.; Wójciak-Kosior, M.; Sowa, I.; Kocki, J.; Bogucki, J.; Zubilewicz, T.; Kęsik, J.; Bogucka-Kocka, A. Effect of Diosmin Administration in Patients with Chronic Venous Disorders on Selected Factors Affecting Angiogenesis. Molecules 2019, 24, 3316. [Google Scholar] [CrossRef]
- Abe, H.; Semba, H.; Takeda, N. The Roles of Hypoxia Signaling in the Pathogenesis of Cardiovascular Diseases. J. Atheroscler. Thromb. 2017, 24, 884–894. [Google Scholar] [CrossRef]
- Bouhamida, E.; Morciano, G.; Pedriali, G.; Ramaccini, D.; Tremoli, E.; Giorgi, C.; Pinton, P.; Patergnani, S. The Complex Relationship between Hypoxia Signaling, Mitochondrial Dysfunction and Inflammation in Calcific Aortic Valve Disease: Insights from the Molecular Mechanisms to Therapeutic Approaches. Int. J. Mol. Sci. 2023, 24, 11105. [Google Scholar] [CrossRef] [PubMed]
- Ghaderian, S.M.H.; Lindsey, N.J.; Graham, A.M.; Homer-Vanniasinkam, S.; Najar, R.A. Pathogenic Mechanisms in Varicose Vein Disease: The Role of Hypoxia and Inflammation. Pathology 2010, 42, 446–453. [Google Scholar] [CrossRef] [PubMed]
- Lee, J.-D.; Lai, C.-H.; Yang, W.-K.; Lee, T.-H. Increased Expression of Hypoxia-Inducible Factor-1α and Metallothionein in Varicocele and Varicose Veins. Phlebol. J. Venous Dis. 2012, 27, 409–415. [Google Scholar] [CrossRef] [PubMed]
- Liu, M.; Galli, G.; Wang, Y.; Fan, Q.; Wang, Z.; Wang, X.; Xiao, W. Novel Therapeutic Targets for Hypoxia-Related Cardiovascular Diseases: The Role of HIF-1. Front. Physiol. 2020, 11, 774. [Google Scholar] [CrossRef]
- Lim, C.S.; Gohel, M.S.; Shepherd, A.C.; Paleolog, E.; Davies, A.H. Venous Hypoxia: A Poorly Studied Etiological Factor of Varicose Veins. J. Vasc. Res. 2011, 48, 185–194. [Google Scholar] [CrossRef]
- Korbecki, J.; Kojder, K.; Kapczuk, P.; Kupnicka, P.; Gawrońska-Szklarz, B.; Gutowska, I.; Chlubek, D.; Baranowska-Bosiacka, I. The Effect of Hypoxia on the Expression of CXC Chemokines and CXC Chemokine Receptors—A Review of Literature. Int. J. Mol. Sci. 2021, 22, 843. [Google Scholar] [CrossRef]
- Lim, C.S.; Davies, A.H. Pathogenesis of Primary Varicose Veins. Br. J. Surg. 2009, 96, 1231–1242. [Google Scholar] [CrossRef] [PubMed]
- Semenza, G.L. Involvement of Oxygen-Sensing Pathways in Physiologic and Pathologic Erythropoiesis. Blood 2009, 114, 2015–2019. [Google Scholar] [CrossRef]
- Lim, C.S.; Kiriakidis, S.; Paleolog, E.M.; Davies, A.H. Increased Activation of the Hypoxia-Inducible Factor Pathway in Varicose Veins. J. Vasc. Surg. 2012, 55, 1427–1439. [Google Scholar] [CrossRef]
- Gaber, T.; Dziurla, R.; Tripmacher, R.; Burmester, G.R.; Buttgereit, F. Hypoxia Inducible Factor (HIF) in Rheumatology: Low O2! See What HIF Can Do! Ann. Rheum. Dis. 2005, 64, 971–980. [Google Scholar] [CrossRef] [PubMed]
- Misra, S.; Fu, A.A.; Rajan, D.K.; Juncos, L.A.; McKusick, M.A.; Bjarnason, H.; Mukhopadhyay, D. Expression of Hypoxia Inducible Factor-1 Alpha, Macrophage Migration Inhibition Factor, Matrix Metalloproteinase-2 and -9, and Their Inhibitors in Hemodialysis Grafts and Arteriovenous Fistulas. J. Vasc. Interv. Radiol. JVIR 2008, 19 Pt 1, 252–259. [Google Scholar] [CrossRef] [PubMed]
- Pascarella, L.; Penn, A.; Schmid-Schönbein, G.W. Venous Hypertension and the Inflammatory Cascade: Major Manifestations and Trigger Mechanisms. Angiology 2005, 56 (Suppl. S1), S3–S10. [Google Scholar] [CrossRef] [PubMed]
- Feldo, M.; Wójciak-Kosior, M.; Sowa, I.; Kocki, J.; Bogucki, J.; Zubilewicz, T.; Karakuła, W.; Bogucka-Kocka, A. Monitoring of Endostatin, TNF-a VEGFs, MMP-9, and Cathepsin-L during Three Months of Diosmin Treatment in Patients with Chronic Venous Disease (CVD). Acta Angiol. 2019, 25, 7–13. [Google Scholar] [CrossRef]
- Gupta, N.; Sahu, A.; Prabhakar, A.; Chatterjee, T.; Tyagi, T.; Kumari, B.; Khan, N.; Nair, V.; Bajaj, N.; Sharma, M.; et al. Activation of NLRP3 Inflammasome Complex Potentiates Venous Thrombosis in Response to Hypoxia. Proc. Natl. Acad. Sci. USA 2017, 114, 4763–4768. [Google Scholar] [CrossRef] [PubMed]
- Kopf, M.; Baumann, H.; Freer, G.; Freudenberg, M.; Lamers, M.; Kishimoto, T.; Zinkernagel, R.; Bluethmann, H.; Köhler, G. Impaired Immune and Acute-Phase Responses in Interleukin-6-Deficient Mice. Nature 1994, 368, 339–342. [Google Scholar] [CrossRef]
- Najem, M.Y.; Couturaud, F.; Lemarié, C.A. Cytokine and Chemokine Regulation of Venous Thromboembolism. J. Thromb. Haemost. 2020, 18, 1009–1019. [Google Scholar] [CrossRef]
- Tait Wojno, E.D.; Hunter, C.A.; Stumhofer, J.S. The Immunobiology of the Interleukin-12 Family: Room for Discovery. Immunity 2019, 50, 851–870. [Google Scholar] [CrossRef]
- Dias, S.; Boyd, R.; Balkwill, F. IL-12 Regulates VEGF and MMPs in a Murine Breast Cancer Model. Int. J. Cancer 1998, 78, 361–365. [Google Scholar] [CrossRef]
- Mitola, S.; Strasly, M.; Prato, M.; Ghia, P.; Bussolino, F. IL-12 Regulates an Endothelial Cell-Lymphocyte Network: Effect on Metalloproteinase-9 Production. J. Immunol. 2003, 171, 3725–3733. [Google Scholar] [CrossRef]
- Rüegg, C.; Yilmaz, A.; Bieler, G.; Bamat, J.; Chaubert, P.; Lejeune, F.J. Evidence for the Involvement of Endotheliai Cell Integrin AVβ3 in the Disruption of the Tumor Vascuiature Induced by TNF and IFN-γ. Nat. Med. 1998, 4, 408–414. [Google Scholar] [CrossRef] [PubMed]
- Ye, J.; Wang, Y.; Wang, Z.; Liu, L.; Yang, Z.; Wang, M.; Xu, Y.; Ye, D.; Zhang, J.; Lin, Y.; et al. Roles and Mechanisms of Interleukin-12 Family Members in Cardiovascular Diseases: Opportunities and Challenges. Front. Pharmacol. 2020, 11, 129. [Google Scholar] [CrossRef] [PubMed]
- Francis, C.; David, V. Inflammation Regulates Fibroblast Growth Factor 23 Production. Curr. Opin. Nephrol. Hypertens. 2016, 25, 325–332. [Google Scholar] [CrossRef] [PubMed]
- Hardy, R.; Cooper, M.S. Bone Loss in Inflammatory Disorders. J. Endocrinol. 2009, 201, 309–320. [Google Scholar] [CrossRef]
- Caggiati, A.; Rosi, C.; Casini, A.; Cirenza, M.; Petrozza, V.; Acconcia, M.C.; Zamboni, P. Skin Iron Deposition Characterises Lipodermatosclerosis and Leg Ulcer. Eur. J. Vasc. Endovasc. Surg. Off. J. Eur. Soc. Vasc. Surg. 2010, 40, 777–782. [Google Scholar] [CrossRef] [PubMed]
- Weiss, G.; Ganz, T.; Goodnough, L.T. Anemia of Inflammation. Blood 2019, 133, 40–50. [Google Scholar] [CrossRef]
- Czaya, B.; Faul, C. The Role of Fibroblast Growth Factor 23 in Inflammation and Anemia. Int. J. Mol. Sci. 2019, 20, 4195. [Google Scholar] [CrossRef]
- David, V.; Martin, A.; Isakova, T.; Spaulding, C.; Qi, L.; Ramirez, V.; Zumbrennen-Bullough, K.B.; Sun, C.C.; Lin, H.Y.; Babitt, J.L.; et al. Inflammation and Functional Iron Deficiency Regulate Fibroblast Growth Factor 23 Production. Kidney Int. 2016, 89, 135–146. [Google Scholar] [CrossRef]
- Oh, M.S.; Carroll, H.J. The Anion Gap. N. Engl. J. Med. 1977, 297, 814–817. [Google Scholar] [CrossRef]
- Jubran, A. Pulse Oximetry. Crit. Care 1999, 3, R11. [Google Scholar] [CrossRef]
- Sarin, S.; Sommerville, K.; Farrah, J.; Scurr, J.H.; Smith, P.D.C. Duplex Ultrasonography for Assessment of Venous Valvular Function of the Lower Limb. Br. J. Surg. 2005, 81, 1591–1595. [Google Scholar] [CrossRef] [PubMed]




| Total | CEAP | p-Value | |||
|---|---|---|---|---|---|
| 2 | 3 | 4 | |||
| Number of Patients (%) | 47 (100) | 16 (34.04) | 16 (34.04) | 15 (31.91) | |
| Sex, male (%) | 24 (51.06) | 10 (62.50) | 7 (43.75) | 7 (46.67) | p = 0.523 |
| Mean Age (year) | 44.23 | 42.25 | 42.60 | 47.75 | p = 0.044 |
| Sodium (nmol/L) | 44.23 ± 1.02 | 47.75 ± 1.77 | 42.25 ± 1.44 | 42.60 ± 1.85 | p = 0.044 |
| Potassium (mEq/L) | 137.45 ± 0.219 | 137.31 ± 0.299 | 137.51 ± 0.412 | 137.55 ± 0.439 | p = 0.896 |
| Creatinine (µmol/L) | 4.26 ± 0.052 | 4.24 ± 0.073 | 4.42 ± 0.101 | 4.104 ± 0.079 | p = 0.041 |
| Albumin (g/dL) | 70.98 ± 1.52 | 67.82 ± 2.63 | 74.69 ± 2.25 | 70.40 ± 2.88 | p = 0.171 |
| Cholesterol (mg/dL) | 4.49 ± 0.056 | 4.55 ± 0.099 | 4.55 ± 0.087 | 4.39 ± 0.107 | p = 0.424 |
| LDL (mg/dL) | 196.9 ± 1.22 | 199.4 ± 1.83 | 197.6 ± 2.38 | 193.7 ± 1.99 | p = 0.157 |
| Triglycerides (mg/dL) | 101.6 ± 1.64 | 97.9 ± 2.65 | 103.7 ± 3.37 | 103.1 ± 2.29 | p = 0.289 |
| Index Tiffeneau (%) | 113.3 ± 4.25 | 106.7 ± 6.28 | 110.5 ± 7.69 | 123.5 ± 7.69 | p = 0.252 |
| LVEF (%) | 75.74 ± 0.38 | 75.69 ± 0.55 | 75.19 ± 0.69 | 76.40 ± 0.71 | p = 0.433 |
| Patients | CEAP | p-Value | |||||||
|---|---|---|---|---|---|---|---|---|---|
| (No) | 2 | 3 | 4 | ||||||
| cramps T0, yes | 32 (68.1%) | p = 0.000 | 7 (43.7%) | p = 0.028 | 12 (75.0%) | p = 0.003 | 13 (86.7%) | p = 0.016 | p = 0.029 |
| cramps T3M, yes | 6 (12.8%) | 1 (6.3%) | 1 (6.25%) | 4 (26.7%) | 0 = 0.148 | ||||
Disclaimer/Publisher’s Note: The statements, opinions and data contained in all publications are solely those of the individual author(s) and contributor(s) and not of MDPI and/or the editor(s). MDPI and/or the editor(s) disclaim responsibility for any injury to people or property resulting from any ideas, methods, instructions or products referred to in the content. |
© 2023 by the authors. Licensee MDPI, Basel, Switzerland. This article is an open access article distributed under the terms and conditions of the Creative Commons Attribution (CC BY) license (https://creativecommons.org/licenses/by/4.0/).
Share and Cite
Feldo, M.; Wójciak, M.; Dresler, S.; Sowa, P.; Płachno, B.J.; Samborski, D.; Sowa, I. Effect of Diosmin on Selected Parameters of Oxygen Homeostasis. Int. J. Mol. Sci. 2023, 24, 12917. https://doi.org/10.3390/ijms241612917
Feldo M, Wójciak M, Dresler S, Sowa P, Płachno BJ, Samborski D, Sowa I. Effect of Diosmin on Selected Parameters of Oxygen Homeostasis. International Journal of Molecular Sciences. 2023; 24(16):12917. https://doi.org/10.3390/ijms241612917
Chicago/Turabian StyleFeldo, Marcin, Magdalena Wójciak, Sławomir Dresler, Paweł Sowa, Bartosz J. Płachno, Dariusz Samborski, and Ireneusz Sowa. 2023. "Effect of Diosmin on Selected Parameters of Oxygen Homeostasis" International Journal of Molecular Sciences 24, no. 16: 12917. https://doi.org/10.3390/ijms241612917
APA StyleFeldo, M., Wójciak, M., Dresler, S., Sowa, P., Płachno, B. J., Samborski, D., & Sowa, I. (2023). Effect of Diosmin on Selected Parameters of Oxygen Homeostasis. International Journal of Molecular Sciences, 24(16), 12917. https://doi.org/10.3390/ijms241612917

