Furoquinoline Alkaloids: Insights into Chemistry, Occurrence, and Biological Properties
Abstract
1. Introduction
2. Biogenesis, Chemical Structure, and Occurrence of Furoquinoline Alkaloids
3. Pharmacological Properties
3.1. Antibacterial Activity
3.2. Antiviral Activity
3.3. Antifungal Activity
3.4. Antifouling Activity
3.5. Antiprotozoal and Anti-Insect Activity
3.6. Anticancer and Cytotoxic Activity
3.7. Anti-Inflammatory and Antioxidant Activity
3.8. Anticholinesterase and Neuroprotective Activity
3.9. Cardiovascular and Antiplatelet Activity
3.10. Antiosteoporosis Activity
3.11. Antinociceptive Action
3.12. 5-HT2 Receptor Inhibition
3.13. Anti-Anaphylactoid Activity
3.14. Estrogenic Activity
3.15. Hepatoprotective Activity
4. Discussion
5. Conclusions
Author Contributions
Funding
Institutional Review Board Statement
Informed Consent Statement
Data Availability Statement
Conflicts of Interest
References
- Adamska-Szewczyk, A.; Glowniak, K.; Baj, T. Furochinoline alkaloids in plants from Rutaceae family—A review. Curr. Issues Pharm. Med. Sci. 2016, 29, 33–38. [Google Scholar] [CrossRef]
- Robinson, T. The Biochemistry of Alkaloids; Springer: New York, NY, USA, 1981; pp. 137–143. [Google Scholar]
- Mohammed, M.M.D.; El-Sharkawy, E.R. Cytotoxic new furoquinoline alkaloid isolated from Ammi majus L. growing in Egypt. Nat. Prod. Res. 2017, 31, 645–652. [Google Scholar] [CrossRef]
- Kodirova, D.R.; Rasulova, K.A.; Sagdullaev, S.S.; Aisa, H.A. Haplophyllum griffithianum as a Source of Quinoline Alkaloids. Chem. Nat. Compd. 2018, 54, 213–214. [Google Scholar] [CrossRef]
- Bessonova, I.A. Components of Haplophyllum bucharicum. Chem. Nat. Compd. 2000, 36, 323–324. [Google Scholar] [CrossRef]
- Xu, X.; Chen, H.; Tang, T.; Chen, B.; Li, C.; Li, A.; Zheng, K. Phytochemical Profiles, Antioxidant and Nitric Oxide Inhibitory Activities of Cajanus cajan Seeds at Different Ripening Stages. Chem. Nat. Compd. 2023, 59, 374–377. [Google Scholar] [CrossRef]
- Deng, Y.; Ding, T.; Deng, L.; Hao, X.; Mu, S. Active constituents of Zanthoxylum nitidium from Yunnan Province against leukaemia cells in vitro. BMC Chem. 2021, 15, 44. [Google Scholar] [CrossRef]
- Tan, S.-B.; Guo, T.; Tang, X.-F.; Song, T.-T.; Wang, Y. Chemical Constituents of Zanthoxylum armatum. II. Chem. Nat. Compd. 2018, 54, 1027–1028. [Google Scholar] [CrossRef]
- Chen, S.-S.; Xie, T.-Z.; He, Y.-J.; Liu, Y.-Y.; Li, L.; Zhao, L.-X.; Luo, X.-D. Alkaloids of Toddalia asiatica (Rutaceae). Biochem. Syst. Ecol. 2021, 95, 104244. [Google Scholar] [CrossRef]
- Mafezoli, J.; de Souza, E.D.; Silva-Junior, J.N.; Oliveira, M.C.; Barbosa, F.G.; Andrade-Neto, M. Chemical constituents of Sigmatanthus trifoliatus Huber ex Emmerich (Rutaceae). Biochem. Syst. Ecol. 2020, 93, 104139. [Google Scholar] [CrossRef]
- Tian, M.-Y.; Bao, J.; Li, X.; Zhang, Q.-R.; Li, S.-S.; Gan, M.-L.; Wang, S.-J. Antimicrobial alkaloids from the root bark of Dictamnus dasycarpus. J. Asian Nat. Prod. Res. 2021, 24, 483–489. [Google Scholar] [CrossRef]
- Sichaem, J.; Jirasirichote, A.; Sapasuntikul, K.; Khumkratok, S.; Sawasdee, P.; Do, T.M.L.; Tip-Pyang, S. New furoquinoline alkaloids from the leaves of Evodia lepta. Fitoterapia 2014, 92, 270–273. [Google Scholar] [CrossRef] [PubMed]
- Nganou, B.K.; Mbaveng, A.; Fobofou, S.A.; Fankam, A.G.; Bitchagno, G.T.M.; Mpetga, J.D.S.; Wessjohann, L.A.; Kuete, V.; Efferth, T.; Tane, P. Furoquinolines and dihydrooxazole alkaloids with cytotoxic activity from the stem bark of Araliopsis soyauxii. Fitoterapia 2019, 133, 193–199. [Google Scholar] [CrossRef] [PubMed]
- Kozioł, E.; Luca, S.V.; Marcourt, L.; Nour, M.; Hnawia, E.; Jakubowicz-Gil, J.; Paduch, R.; Mroczek, T.; Wolfender, J.-L.; Skalicka-Woźniak, K. Efficient extraction and isolation of skimmianine from New Caledonian plant Medicosma leratii and evaluation of its effects on apoptosis, necrosis, and autophagy. Phytochem. Lett. 2019, 30, 224–230. [Google Scholar] [CrossRef]
- Xia, H.-M.; Qu, Y.-W.; Wang, L.; Guo, W.; Zhang, D.-M. Chemical constituents and biological activities of stems of Clausena emarginata. Chin. Tradit. Herb. Drugs 2021, 52, 630–634. [Google Scholar]
- Chang, P.T.; Aynilian, G.H.; Cordell, G.A.; Tin-Wa, M.; Fong, H.H.; Perdue, R.E., Jr.; Farnsworth, N.R. Isolation of flindersiamine, isoflindersiamine, and a new alkaloid, heliparvifoline, from Helietta parvifolia (Rutaceae). J. Pharm. Sci. 1976, 65, 561–563. [Google Scholar] [CrossRef] [PubMed]
- Langat, M.K.; Kami, T.; Cheek, M. Chemistry, taxonomy and ecology of the potentially chimpanzee-dispersed Vepris teva sp. nov. (Rutaceae) endangered in coastal thicket in the Congo Republic. PeerJ 2022, 10, e13926. [Google Scholar] [CrossRef]
- Al-Rehaily, A.J.; Al-Howiriny, T.A.; Ahmad, M.S.; Al-Yahya, M.A.; El-Feraly, F.S.; Hufford, C.D.; McPhail, A.T. Alkaloids from Haplophyllum tuberculatum. Phytochemistry 2001, 57, 597–602. [Google Scholar] [CrossRef]
- Kouam, A.D.K.; Bissoue, A.N.; Tcho, A.T.; Happi, E.N.; Waffo, A.F.K.; Sewald, N.; Wansi, J.D. Antimicrobial Furoquinoline Alkaloids from Vepris lecomteana (Pierre) Cheek & T. Heller (Rutaceae). Molecules 2017, 23, 13. [Google Scholar] [CrossRef]
- Shang, X.-F.; Morris-Natschke, S.L.; Liu, Y.-Q.; Guo, X.; Xu, X.-S.; Goto, M.; Li, J.-C.; Yang, G.-Z.; Lee, K.-H. Biologically active quinoline and quinazoline alkaloids part I. Med. Res. Rev. 2017, 38, 775–828. [Google Scholar] [CrossRef]
- Rasamison, V.E.; Brodie, P.J.; Merino, E.F.; Cassera, M.B.; Ratsimbason, M.A.; Rakotonandrasana, S.; Rakotondrafara, A.; Rafidinarivo, E.; Kingston, D.G.I.; Rakotondraibe, H.L. Furoquinoline Alkaloids and Methoxyflavones from the Stem Bark of Melicope madagascariensis (Baker) T.G. Hartley. Nat. Prod. Bioprospect. 2016, 6, 261–265. [Google Scholar] [CrossRef]
- Wahjoedi, R.A.; Saputri, R.D.; Tjahjandarie, T.S.; Tandjung, M. Melicope moluccana Antimalarial Activity of Furoquinoline Alkaloids from the Leaves of Melicope moluccana. J. Trop. Pharm. Chem. 2020, 5, 138–142. [Google Scholar] [CrossRef]
- Onguéné, P.A.; Ntie-Kang, F.; Lifongo, L.L.; Ndom, J.C.; Sippl, W.; Mbaze, L.M. The potential of anti-malarial compounds derived from African medicinal plants. Part I: A pharmacological evaluation of alkaloids and terpenoids. Malar. J. 2013, 12, 449. [Google Scholar] [CrossRef]
- Azimova, S.S.; Yunusov, M.S. (Eds.) Natural Compounds; Springer: New York, NY, USA,, 2013. [Google Scholar] [CrossRef]
- Wu, T.-S.; Li, C.-Y.; Leu, Y.-L.; Hu, C.-Q. Limonoids and alkaloids of the root bark of Dictamnus angustifolius. Phytochemistry 1999, 50, 509–512. [Google Scholar] [CrossRef]
- Shang, X.-F.; Morris-Natschke, S.L.; Yang, G.-Z.; Liu, Y.-Q.; Guo, X.; Xu, X.-S.; Goto, M.; Li, J.-C.; Zhang, J.-Y.; Lee, K.-H. Biologically active quinoline and quinazoline alkaloids part II. Med. Res. Rev. 2018, 38, 1614–1660. [Google Scholar] [CrossRef] [PubMed]
- Chen, J.-J.; Duh, C.-Y.; Huang, H.-Y.; Chen, I.-S. Furoquinoline Alkaloids and Cytotoxic Constituents from the Leaves of Melicope semecarpifolia. Planta Medica 2003, 69, 542–546. [Google Scholar] [CrossRef]
- Njogu, M.K.; Matasyoh, J.C.; Kibor, A.C. Isolation of four Furoquinoline alkaloids from Teclea nobilis and their activity against Schistosoma mansoni miracidia. J. Biomed. Pharm. Res. 2014, 3, 87–93. [Google Scholar]
- Ayele, T.T.; Gurmessa, G.T.; Abdissa, Z.; Melaku, Y.; Garg, A.; Bedane, K.G.; Abdissa, N. Furoquinoline and bisindole alkaloids from the roots of Teclea nobilis and their in-silico molecular docking analysis. Z. Naturforsch. 2022, 78, 217–227. [Google Scholar] [CrossRef] [PubMed]
- Al-Majmaie, S.; Nahar, L.; Rahman, M.M.; Nath, S.; Saha, P.; Talukdar, A.D.; Sharples, G.P.; Sarker, S.D. Anti-MRSA constituents from Ruta chalepensis (Rutaceae) grown in Iraq, and in silico studies on two of most active compounds, chalepensin and 6-hydroxy-rutin 3′,7-dimethyl ether. Molecules 2021, 26, 1114. [Google Scholar] [CrossRef]
- Gómez-Calvario, V.; Ramírez-Cisneros, M.Á.; Acevedo-Quiroz, M.M.; Rios, M.Y. Quinoline Alkaloids Isolated from Choisya Aztec-Pearl and Their Contribution to the Overall Antinociceptive Activity of This Plant. Nat. Prod. Res. 2019, 33, 889–892. [Google Scholar] [CrossRef]
- Sun, J.-B.; Wang, P.; Liang, J.-Y.; Chen, L. Phytochemical and chemotaxonomic study on Dictamnus angustifolius G. Don ex Sweet (Rutaceae). Biochem. Syst. Ecol. 2016, 68, 74–76. [Google Scholar] [CrossRef]
- Zhao, L.-N.; Guo, X.-X.; Liu, S.; Feng, L.; Bi, Q.-R.; Wang, Z.; Tan, N.-H. (±)-Zanthonitidine A, a Pair of Enantiomeric Furoquinoline Alkaloids from Zanthoxylum nitidum with Antibacterial Activity. Nat. Prod. Bioprospect. 2018, 8, 361–367. [Google Scholar] [CrossRef] [PubMed]
- Fernandes, T.S.; Copetti, D.; Carmo, G.D.; Neto, A.T.; Pedroso, M.; Silva, U.F.; Mostardeiro, M.A.; Burrow, R.E.; Dalcol, I.I.; Morel, A.F. Phytochemical analysis of bark from Helietta apiculata Benth and antimicrobial activities. Phytochemistry 2017, 141, 131–139. [Google Scholar] [CrossRef]
- El-Sawy, E.R.; Abdelwahab, A.B.; Kirsch, G. Maculine: A furoquinoline alkaloid from the family Rutaceae: Sources, syntheses and biological activities. Arkivoc 2020, 2020, 82–93. [Google Scholar] [CrossRef]
- Séron, K.; Sahuc, M.E.; Rouillé, Y. Natural Products and Hepatitis C Virus. In Natural Antimicrobial Agents; Mérillon, J.M., Riviere, C., Eds.; Sustainable Development and Biodiversity; Springer: Cham, Switzerland, 2018; p. 19. [Google Scholar] [CrossRef]
- Bechlem, H.; Benayache, F.; Benouchenne, D.; Labed, A. DNA intercalators alkaloids as Potential candidates to fight COVID-19 disease: Systematic review. J. Res. Pharm. 2022, 26, 1102–1111. [Google Scholar] [CrossRef]
- Wink, M. Potential of DNA Intercalating Alkaloids and Other Plant Secondary Metabolites against SARS-CoV-2 Causing COVID-19. Diversity 2020, 12, 175. [Google Scholar] [CrossRef]
- Galanakis, C.M.; Aldawoud, T.M.; Rizou, M.; Rowan, N.J.; Ibrahim, S.A. Food Ingredients and Active Compounds against the Coronavirus Disease (COVID-19) Pandemic: A Comprehensive Review. Foods 2020, 9, 1701. [Google Scholar] [CrossRef] [PubMed]
- Samad, A.; Adeel, M.; Khan, D.; Badshah, S.; Muhammad, Z.; Khan, S.; Han, J.H. Two New Bioactive Furoquinoline Alkaloids from Zanthoxylum armatum. Asian J. Chem. 2015, 27, 2468–2472. [Google Scholar] [CrossRef]
- Pérez, M.; Diez, C.M.P.; Valdez, M.B.; García, M.; Paola, A.; Avigliano, E.; Palermo, J.A.; Blustein, G. Isolation and Antimacrofouling Activity of Indole and Furoquinoline Alkaloids from ‘Guatambú’ Trees (Aspidosperma austral and Balfourodendron riedelianum). Chem. Biodivers. 2019, 16, e1900349. [Google Scholar] [CrossRef]
- Bekono, B.D.; Ntie-Kang, F.; Onguéné, P.A.; Lifongo, L.L.; Sippl, W.; Fester, K.; Owono, L.C.O. The potential of anti-malarial compounds derived from African medicinal plants: A review of pharmacological evaluations from 2013 to 2019. Malar. J. 2020, 19, 183. [Google Scholar] [CrossRef]
- Ombito, J.O.; Chi, G.F.; Wansi, J.D. Ethnomedicinal uses, phytochemistry, and pharmacology of the genus Vepris (Rutaceae): A review. J. Ethnopharmacol. 2021, 267, 113622. [Google Scholar] [CrossRef]
- Costa, R.S.; Filho, O.P.S.; Júnior, O.C.D.; Silva, J.J.; Le Hyaric, M.; Santos, M.A.; Velozo, E.S. In vitro antileishmanial and antitrypanosomal activity of compounds isolated from the roots of Zanthoxylum tingoassuiba. Rev. Bras. De Farm. 2018, 28, 551–558. [Google Scholar] [CrossRef]
- Gokmen, A.A.; Can, H.; Kayalar, H.; Pektaş, B.; Kaya, S. In vitro anti-Trichomonas vaginalis activity of Haplophyllum myrtifolium. J. Infect. Dev. Ctries. 2019, 13, 240–244. [Google Scholar] [CrossRef]
- Liu, Y.; Kang, L.; Shi, S.-M.; Li, B.-J.; Zhang, Y.; Zhang, X.-Z.; Guo, X.-W.; Fu, G.; Zheng, G.-N.; Hao, H.; et al. Skimmianine as a novel therapeutic agent suppresses proliferation and migration of human esophageal squamous cell carcinoma via blocking the activation of ERK1/2. Neoplasma 2022, 69, 571–582. [Google Scholar] [CrossRef] [PubMed]
- Yu, J.; Zhang, L.; Peng, J.; Ward, R.; Hao, P.; Wang, J.; Zhang, N.; Yang, Y.; Guo, X.; Xiang, C.; et al. Dictamnine, a novel c-Met inhibitor, suppresses the proliferation of lung cancer cells by downregulating the PI3K/AKT/mTOR and MAPK signaling pathways. Biochem. Pharmacol. 2022, 195, 114864. [Google Scholar] [CrossRef] [PubMed]
- Eze, F.I.; Siwe-Noundou, X.; Isaacs, M.; Osadebe, P.O.; Krause, R.W.M. Anti-cancer and anti-trypanosomal properties of alkaloids from the root bark of Zanthoxylum leprieurii Guill and Perr. Trop. J. Pharm. Res. 2020, 19, 2377–2383. [Google Scholar]
- Ogunrinade, F.A.; Iwuanyanwu, V.U.; Sarker, S.D.; Olajide, O.A. Neuroprotection by Skimmianine in Lipopolysaccharide-Activated BV-2 Microglia. Molecules 2023, 28, 1317. [Google Scholar] [CrossRef]
- Huang, A.; Xu, H.; Zhan, R.; Chen, W.; Liu, J.; Chi, Y.; Chen, D.; Ji, X.; Luo, C. Metabolic Profile of Skimmianine in Rats Determined by Ultra-Performance Liquid Chromatography Coupled with Quadrupole Time-of-Flight Tandem Mass Spectrometry. Molecules 2017, 22, 489. [Google Scholar] [CrossRef] [PubMed]
- Sichaem, J.; Rojpitikul, T.; Sawasdee, P.; Lugsanangarm, K.; Tip-Pyang, S. Furoquinoline Alkaloids from the Leaves of Evodia Lepta as Potential Cholinesterase Inhibitors and their Molecular Docking. Nat. Prod. Commun. 2015, 10, 1359–1362. [Google Scholar] [CrossRef]
- Cheng, J.T.; Chang, S.S.; Chen, I.S. Cardiovascular effect of skimmianine in rats. Arch. Int. Pharmacodyn. Ther. 1990, 306, 65–74. [Google Scholar]
- Wong, P.; Lv, Z.; Li, J.; Wei, Q.; Xu, L.; Fang, B.; Luo, Y.; He, M. A Novel Rankl-Targeted Furoquinoline Alkaloid Ameliorates Bone Loss in Ovariectomized Osteoporosis through Inhibiting the NF-κB Signal Pathway and Reducing Reactive Oxygen Species. Oxidative Med. Cell. Longev. 2022, 2022, 5982014. [Google Scholar] [CrossRef]
- Donald, G.R.; de Carvalho, P.R.; Fernandes, P.D.; Boylan, F. Antinociceptive activity of puberulin and choisyine from ethanol extract of Choisya ternata Kunth var. Sundance. Biomed. Pharmacother. 2021, 141, 111926. [Google Scholar] [CrossRef] [PubMed]
- Liu, R.; Hu, S.; Ding, Y.; Wang, J.; Wang, Y.; Gao, J.; He, L. Dictamnine is an effective anti-anaphylactoid compound acting via the MrgX2 receptor located on mast cells. Phytother. Res. 2021, 35, 3181–3193. [Google Scholar] [CrossRef] [PubMed]
- Yang, W.; Liu, P.; Chen, Y.; Lv, Q.; Wang, Z.; Huang, W.; Jiang, H.; Zheng, Y.; Jiang, Y.; Sun, L. Dictamnine Inhibits the Adhesion to and Invasion of Uropathogenic Escherichia coli (UPEC) to Urothelial Cells. Molecules 2022, 27, 272. [Google Scholar] [CrossRef] [PubMed]
- Zhang, Z.-Q.; Xuan, W.-L.; Huang, Y.; Ren, S.; Wulan, T.-Y.; Song, Y.; Xue, D.-B.; Zhang, W.-H. Dictamnine inhibits pancreatic cancer cell growth and epithelial-mesenchymal transition by blocking the PI3K/AKT signaling pathway. Neoplasma 2022, 69, 603–619. [Google Scholar] [CrossRef]
- Zuo, Y.; Pu, J.; Chen, G.; Shen, W.; Wang, B. Study on the activity and mechanism of skimmianine against human non-small cell lung cancer. Nat. Prod. Res. 2019, 33, 759–762. [Google Scholar] [CrossRef]
- Chen, H.; Li, S.; Wang, S.; Li, W.; Bao, N.; Ai, W. The inhibitory effect of kokusaginine on the growth of human breast cancer cells and MDR-resistant cells is mediated by the inhibition of tubulin assembly. Bioorganic Med. Chem. Lett. 2018, 28, 2490–2492. [Google Scholar] [CrossRef]
- Schempp, C.M.; Sonntag, M.; Schöpf, E.; Simon, J.C. Dermatitis bullosa striata pratensis caused by Dictamnus albus L. (burning bush). Der Hautarzt; Z. Für Dermatol. Venerol. Und Verwandte Geb. 1996, 47, 708–710. [Google Scholar] [CrossRef]
- Du, Y.; Huang, L.; Wang, N.; Li, X.; Zhou, X.; Zhang, L.; Huang, S.; Walsh, P.J.; Gao, F. Rhodium-Catalyzed Direct Arylation of Furopyridine: Synthesis and the Cardiac Effects of Dictamnine Derivatives. Adv. Synth. Catal. 2022, 364, 1002–1008. [Google Scholar] [CrossRef]
- Valdez, M.B.; Giménez, D.M.B.; Fernández, L.R.; Musikant, A.D.; Ferri, G.; Sáenz, D.; Di Venosa, G.; Casas, A.; Avigliano, E.; Edreira, M.M.; et al. Antiparasitic Derivatives of the Furoquinoline Alkaloids Kokusaginine and Flindersiamine. Chemmedchem 2022, 17, e202100784. [Google Scholar] [CrossRef]
- Baumert, A.; Kuzovkina, I.N.; Reisch, J.; Gröger, D. Secondary metabolites produced by callus cultures of various Ruta species. Plant Cell Tissue Organ Cult. 1992, 28, 159–162. [Google Scholar] [CrossRef]
- Szewczyk, A.; Marino, A.; Molinari, J.; Ekiert, H.; Miceli, N. Phytochemical Characterization, and Antioxidant and Antimicrobial Properties of Agitated Cultures of Three Rue Species: Ruta chalepensis, Ruta corsica, and Ruta graveolens. Antioxidants 2022, 11, 592. [Google Scholar] [CrossRef] [PubMed]
- Szewczyk, A.; Marino, A.; Taviano, M.F.; Cambria, L.; Davì, F.; Trepa, M.; Grabowski, M.; Miceli, N. Studies on the Accumulation of Secondary Metabolites and Evaluation of Biological Activity of In Vitro Cultures of Ruta montana L. in Temporary Immersion Bioreactors. Int. J. Mol. Sci. 2023, 24, 7045. [Google Scholar] [CrossRef] [PubMed]
- Szewczyk, A.; Grabowski, M.; Zych, D. Ruta chalepensis L. In Vitro Cultures as a Source of Bioactive Furanocoumarins and Furoquinoline Alkaloids. Life 2023, 13, 457. [Google Scholar] [CrossRef] [PubMed]




| No. | Compound | Source | Activity | References |
|---|---|---|---|---|
| 1 | Dictamnine | Ruta sp., Dictamnus sp., Haplophyllum sp., Zanthoxylum sp., Esenbeckia sp., Euodia sp., Flindersia sp., Geijera sp., Teclea afzeli, Cajanus cajan, Toddalia asiatica, Sigmatanthus trifoliatus | Antibacterial, Antiviral, Antifungal, Antiprotozoal, Anticancer, Anti-inflammatory, Antioxidant, Cardiovascular, Antiplatelet, Antiosteoporosis, Anti-anaphylactoid | [1,4,5,6,7,8,9,10] |
| 2 | Skimmianine | Zanthoxylum nitidum, Esenbeckia leiocarpa, Ruta graveolens, Zanthoxylum avicennae, T. asiatica, Tetradium ruticarpum, Dictamnus dasycarpus, Monnieria trifolia, Esenbeckia febrifuga, Allophylus bucharicum, Haplophyllum griffithianum, Evodia lepta, Araliopsis soyauxii, Medicosma fareana, S. trifoliatus | Antibacterial, Antiviral, Antifungal, Antiprotozoal, Anticancer, Anti-inflammatory, Antioxidant, Neuroprotective, Cardiovascular, Antiplatelet, 5-HT receptor inhibition, Estrogenic | [1,4,5,7,9,10,11,12,13,14] |
| 3 | γ-Fagarine | Ruta sp., D. dasycarpus, M. trifolia, E. febrifuga, Haplophyllum bucharicum, Z. nitidum, T. asiatica, Clausena emarginata, S. trifoliatus | Antibacterial, Antiviral, Antifungal, Antiprotozoal, Anticancer, Anti-inflammatory, Cardiovascular, Antiplatelet, Estrogenic, Hepatoprotective | [1,5,7,9,10,15] |
| 4 | 4-Hydro-7-hydroxy-8-methoxyfuroquinoline | Ammi majus | Anticancer | [3] |
| 5 | 4-Hydro-7-hydroxy-8-prenyloxyfuroquinoline | A. majus | Anticancer | [3] |
| 6 | Haplopine | Helietta parvifolia, H. bucharicum, T. asiatica | Antibacterial, Antiviral, Antiprotozoal, Anticancer, Anti-inflammatory, Cardiovascular, Antiplatelet, Estrogenic | [5,9,16] |
| 7 | Isohaplopine | Teclea simplicifolia | Antibacterial, Antifungal | [1] |
| 8 | Kokusaginine | Balfourodendron riedelianum, Melicope bonickii, Haplophylum sp., E. leiocarpa, T. afzelii, Teclea nobilis, H. parvifolia, M. trifolia, E. febrifuga, A. soyauxii, Vepris sp. | Antibacterial, Antiviral, Antifungal, Antifouling, Antiprotozoal, Anticancer, Neuroprotective, Cardiovascular, Antiplatelet, 5-HT receptor inhibition | [1,13,16,17,18] |
| 9 | Pteleine | D. dasycarpus | Antibacterial, Anticancer, Antiplatelet | [11] |
| 10 | Lecomtequinoline A | Vepris lecomteana | Antibacterial | [19] |
| 11 | Robustine | D. dasycarpus, H. bucharicum, Z. nitidum | Antibacterial, Antifungal, Antiprotozoal, Anticancer, Antioxidant, Cardiovascular, Antiplatelet | [5,7] |
| 12 | 5-(1,1-Dimethylallyl)-8-hydroxyfuro[2-3-b] quinolone | Ruta chalepensis | Antifungal, Antiprotozoal | [1] |
| 13 | Acronycidine | Teclea amaniensis | Antiprotozoal | [1] |
| 14 | Confusadine | Melicope semecarpifolia | Antiplatelet | [20] |
| 15 | Leptanoine C | E. lepta | Antiprotozoal | [12] |
| 16 | Heliparvifoline | Melicope madagascariensis | Antiprotozoal | [21] |
| 17 | Haplopine-3,3′-dimethylallyl ether | Melicope moluccana | Antiprotozoal, Antioxidant | [22] |
| 18 | Evolitrine | D. dasycarpus, S. trifoliatus | Anticancer, Anti-inflammatory, Neuroprotective, Cardiovascular, Antiplatelet | [10,11] |
| 19 | Maculosidine | Vepris uguenensis, Ptelea trifoliata | Anticancer | [23,24] |
| 20 | 7-(2′-Hydroxy-3′-chloroprenyloxy)-4-methoxyfuroquinoline | Melicope sp. | Anticancer | [20] |
| 21 | 4,5,6,7,8-Pentamethoxyfuroquinoline | Vepris punctate | Anticancer | [20] |
| 22 | 5-Methoxyrobustine | Dictamnus angustifolius | Anticancer | [25] |
| 23 | Aegelbine A | Aegle marmelos | Anticancer | [26] |
| 24 | Aegelbine B | A. marmelos | Anticancer | [26] |
| 25 | 7-Isopentenyloxy-γ-fagarine | Haplophyllum ferganicum, H. latifolium, H. perforatum | Anticancer | [24] |
| 26 | Confusameline | M. semecarpifolia | Anticancer, Cardiovascular, Antiplatelet, 5-HT receptor inhibition | [27] |
| 27 | Clausenaside F | Clausena lansium | Antioxidant | [26] |
| 28 | Melineurine | E. lepta | Neuroprotective | [12] |
| 29 | Leptanoine A | E. lepta | Neuroprotective | [12] |
| 30 | Leptanoine B | E. lepta | Neuroprotective | [12] |
| 31 | Tecleamaniensine A | Teclea amanuensis | Anti-insect | [1] |
| 32 | 4-Hydroxyl-7,8-dimethoxy-furoquinoline | Z. nitidum | - | [7] |
| 33 | Evoxine | Teclea gerrardii | Antiprotozoal | [20] |
| 34 | Nkolbisine | T. nobilis, M. trifolia | Antibacterial, Antiparasitic | [28,29] |
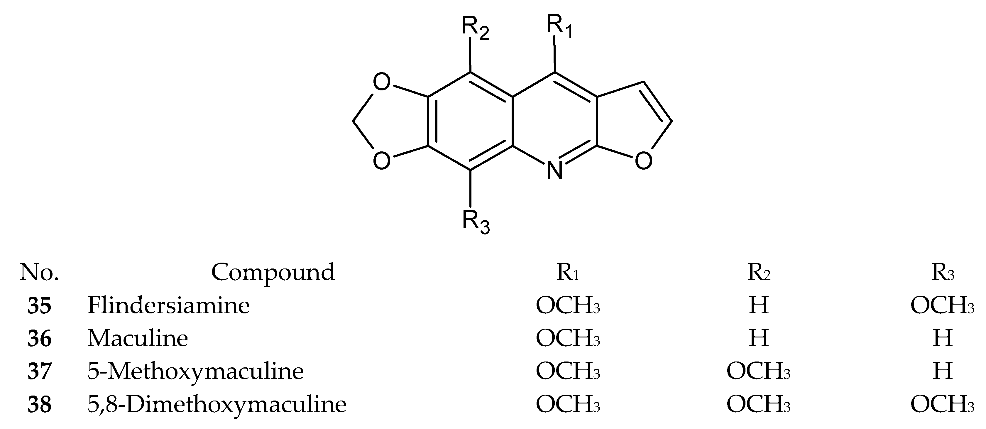
| 35 | Flindersiamine | B. riedelianum, H. parvifolia, Vepris sp. (without V. glomerata), E. febrifuga, A. soyauxii | Antibacterial, Antifungal, Antifouling, Antiprotozoal, Anticancer | [1,13,16,17] |
| 36 | Maculine | T. nobilis, Vepris sp. (without V. glomerata), A. soyauxii | Antibacterial, Antifungal, Antiprotozoal, Anticancer | [13,17] |
| 37 | 5-Methoxymaculine | V. punctate | Anticancer | [20] |
| 38 | 5,8-Dimethoxymaculine | V. punctate | Anticancer | [20] |
| 39 | Isodictamnine | Glycosmis arborea | Anticancer, Antiplatelet | [20] |
| 40 | Iso-γ-fagarine | D. angustifolius | Anticancer, Anti-inflammatory | [25] |
| 41 | Isopteleine | D. angustifolius, D. caucasicus | Anticancer, Antiplatelet | [24] |
| 42 | Dictangustine-A | D. dasycarpus | Anti-inflammatory | [26] |
| 43 | Isomaculosidine | D. angustifolius, D. caucasicus, D. dasycarpus | Anti-inflammatory | [24,26] |
| 44 | 8-Hydroxy-9-methyl-furo[2,3-b]quinolin-4(9H)-one | D. angustifolius | Antiplatelet | [26] |
| 45 | Isokokusaginine | R. chalepensis | - | [30] |
| 46 | Isoflindersiamine | H. parvifolia | - | [16] |
| 47 | Megistoquinone I | Sarcomelicope megistophylla | Antibacterial | [20] |
| 48 | Zanthonitidine A | Z. nitidum | Antibacterial | [7] |
| 49 | R-(+)-platydesmine | Z. nitidum | Antiviral, Antifungal | [7] |
| 50 | Acronydine | T. amaniensis | Antiprotozoal | [1] |
| 51 | Furomegistine I | S. megistophylla | Anticancer | [20] |
| 52 | Furomegistine II | S. megistophylla | Anticancer | [20] |
| 53 | Megistosarconine | S. megistophylla | Anticancer | [20] |
| 54 | 7-(2′,3′-Epoxyprenyloxy)-4-methoxyfuroquinoline | Melicope sp. | Anticancer | [20] |
| 55 | (+)-7,8-Dimethoxymyrtopsine | Melicope sp. | Anticancer | [20] |
| 56 | Medicosmine | Boronella konambiensis | Anticancer | [20] |
| 57 | Perfamine | Haplophyllum acutifolium, H. perforatum | Anticancer | [24] |
| 58 | Choisyine | Choisya ternata, Choisya dumosa var. Arizonica | Antinociceptive | [31] |
| 59 | Anstifoline A | D. angustifolius | Anticancer | [32] |
| 60 | Anstifoline B | D. angustifolius | Anticancer | [32] |
| 61 | Tecleamaniensine B | T. amanuensis | Anti-insect | [1] |
| 62 | 1′-Oxo-isoplatydesmine | D. dasycarpus | - | [11] |
Disclaimer/Publisher’s Note: The statements, opinions and data contained in all publications are solely those of the individual author(s) and contributor(s) and not of MDPI and/or the editor(s). MDPI and/or the editor(s) disclaim responsibility for any injury to people or property resulting from any ideas, methods, instructions or products referred to in the content. |
© 2023 by the authors. Licensee MDPI, Basel, Switzerland. This article is an open access article distributed under the terms and conditions of the Creative Commons Attribution (CC BY) license (https://creativecommons.org/licenses/by/4.0/).
Share and Cite
Szewczyk, A.; Pęczek, F. Furoquinoline Alkaloids: Insights into Chemistry, Occurrence, and Biological Properties. Int. J. Mol. Sci. 2023, 24, 12811. https://doi.org/10.3390/ijms241612811
Szewczyk A, Pęczek F. Furoquinoline Alkaloids: Insights into Chemistry, Occurrence, and Biological Properties. International Journal of Molecular Sciences. 2023; 24(16):12811. https://doi.org/10.3390/ijms241612811
Chicago/Turabian StyleSzewczyk, Agnieszka, and Filip Pęczek. 2023. "Furoquinoline Alkaloids: Insights into Chemistry, Occurrence, and Biological Properties" International Journal of Molecular Sciences 24, no. 16: 12811. https://doi.org/10.3390/ijms241612811
APA StyleSzewczyk, A., & Pęczek, F. (2023). Furoquinoline Alkaloids: Insights into Chemistry, Occurrence, and Biological Properties. International Journal of Molecular Sciences, 24(16), 12811. https://doi.org/10.3390/ijms241612811

