The Wound-Healing Activity of PEDOT-PSS in Animals
Abstract
1. Introduction
2. Results
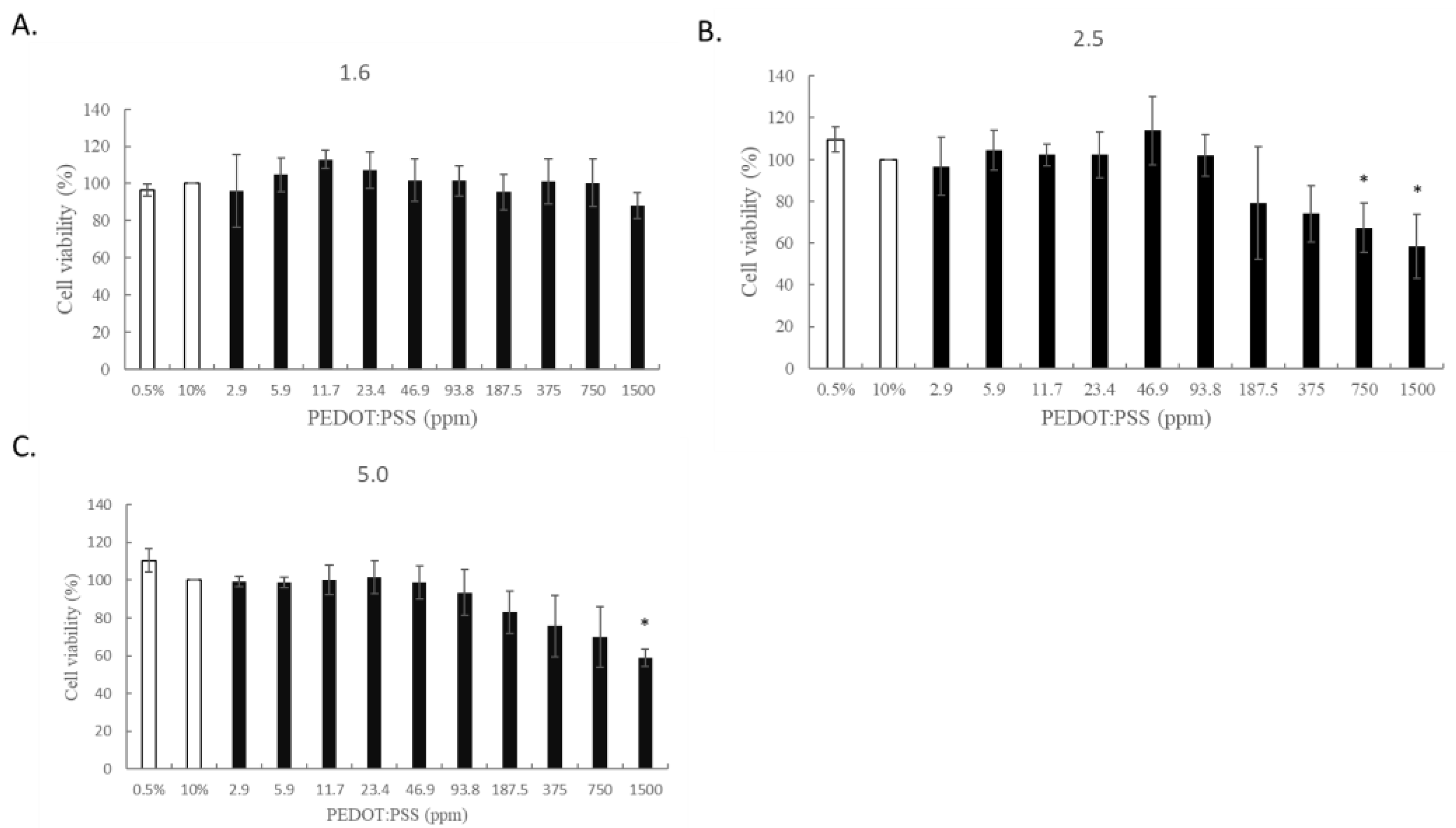
2.1. PEDOT-PSS (1.6) Is Non-Toxic to Human Macrophages
2.2. Pathological Incidences of PEDOT: PSS (1.6) on Wound Healing in the Full-Thickness-Excision Wound Model in Rats
2.3. PEDOT-PSS (1.6) Significantly Accelerates Animal Wound-Healing Behavior
2.4. PEDOT-PSS (1.6) Significantly Increased the Expression of Vascular Endothelial Growth Factor (VEGF) during the Animal Wound-Healing Process
2.5. PEDOT-PSS (1.6) in Higher Concentrations had Significant Effects on the Expression of TGF-β1 during the Animal Wound Healing Process
2.6. PEDOT-PSS (1.6) Significantly Promotes Wound Healing In Vitro
2.7. The Physical Properties of PEDOT: PSS
3. Discussion
4. Materials and Methods
4.1. Materials
4.2. Cell Culture
4.3. Cell Viability Analysis
4.4. Wound-Healing Assay
4.5. Animal Experiment
4.6. H&E Stain
4.7. Immunohistochemistry
4.8. Statistical Analysis
Author Contributions
Funding
Institutional Review Board Statement
Informed Consent Statement
Data Availability Statement
Acknowledgments
Conflicts of Interest
References
- Keskin, E.S.; Keskin, E.R.; Ozturk, M.B.; Cakan, D. The Effect of MMP-1 on Wound Healing and Scar For-mation. Aesthetic Plast. Surg. 2021, 45, 2973–2979. [Google Scholar] [CrossRef] [PubMed]
- Maver, T.; Maver, U.; Stana Kleinschek, K.; Smrke, D.M.; Kreft, S. A review of herbal medicines in wound healing. Int. J. Dermatol. 2015, 54, 740–751. [Google Scholar] [CrossRef] [PubMed]
- Zhu, S.; Yu, Y.; Ren, Y.; Xu, L.; Wang, H.; Ling, X.; Jin, L.; Hu, Y.; Zhang, H.; Miao, C.; et al. The emerging roles of neutrophil extracellular traps in wound healing. Cell Death Dis. 2021, 12, 984. [Google Scholar] [CrossRef] [PubMed]
- Obagi, Z.; Damiani, G.; Grada, A.; Falanga, V. Principles of Wound Dressings: A Review. Surg. Technol. Int. 2019, 35, 50–57. [Google Scholar] [PubMed]
- Kloc, M.; Ghobrial, R.M.; Wosik, J.; Lewicka, A.; Lewicki, S.; Kubiak, J.Z. Macrophage functions in wound healing. J. Tissue Eng. Regen. Med. 2019, 13, 99–109. [Google Scholar] [CrossRef]
- Can, N.M.; Thao, D.T.P. Wound Healing Activity of Crassocephalum crepidioides (Benth.) S. Moore. Leaf Hydroethanolic Extract. Oxid. Med. Cell Longev. 2020, 2020, 2483187. [Google Scholar]
- Lichtman, M.K.; Otero-Vinas, M.; Falanga, V. Transforming growth factor beta (TGF-beta) isoforms in wound healing and fibrosis. Wound Repair. Regen. 2016, 24, 215–222. [Google Scholar] [CrossRef]
- Zhu, Y.; Wang, Y.; Jia, Y.; Xu, J.; Chai, Y. Roxadustat promotes angiogenesis through HIF-1alpha/VEGF/VEGFR2 signaling and accelerates cutaneous wound healing in diabetic rats. Wound Repair Regen. 2019, 27, 324–334. [Google Scholar] [CrossRef]
- Rodrigues, M.; Kosaric, N.; Bonham, C.A.; Gurtner, G.C. Wound Healing: A Cellular Perspective. Physiol. Rev. 2019, 99, 665–706. [Google Scholar] [CrossRef]
- Beitz, J.M. Pharmacologic Impact (aka “Breaking Bad”) of Medications on Wound Healing and Wound De-velopment: A Literature-based Overview. Ostomy Wound Manag. 2017, 63, 18–35. [Google Scholar]
- Raja, I.S.; Jang, H.J.; Kang, M.S.; Kim, K.S.; Choi, Y.S.; Jeon, J.R.; Lee, J.H.; Han, D.W. Role of Graphene Family Nanomaterials in Skin Wound Healing and Regeneration. Adv. Exp. Med. Biol. 2022, 1351, 89–105. [Google Scholar]
- Ahmad Ruzaidi, D.A.; Mahat, M.M.; Mohamed Sofian, Z.; Nor Hashim, N.A.; Osman, H.; Nawawi, M.A.; Ramli, R.; Jantan, K.A.; Aizamddin, M.F.; Azman, H.H.; et al. Synthesis and Characterization of Porous, Electro-Conductive Chitosan-Gelatin-Agar-Based PEDOT: PSS Scaffolds for Potential Use in Tissue Engineering. Polymers 2021, 13, 2901. [Google Scholar] [CrossRef]
- Berggren, M.; Glowacki, E.D.; Simon, D.T.; Stavrinidou, E.; Tybrandt, K. In Vivo Organic Bioelectronics for Neuromodulation. Chem. Rev. 2022, 122, 4826–4846. [Google Scholar] [CrossRef] [PubMed]
- Ko, Y.; Kim, J.; Jeong, H.Y.; Kwon, G.; Kim, D.; Ku, M.; Yang, J.; Yamauchi, Y.; Kim, H.Y.; Lee, C.; et al. An-tibacterial poly (3,4-ethylenedioxythiophene):poly(styrene-sulfonate)/agarose nanocomposite hydrogels with thermo-processability and self-healing. Carbohydr. Polym. 2019, 203, 26–34. [Google Scholar] [CrossRef]
- Sharifiaghdam, M.; Shaabani, E.; Faridi-Majidi, R.; De Smedt, S.C.; Braeckmans, K.; Fraire, J.C. Macro-phages as a therapeutic target to promote diabetic wound healing. Mol. Ther. 2022, 30, 2891–2908. [Google Scholar] [CrossRef]
- Kanter, J.E.; Bornfeldt, K.E. Impact of Diabetes Mellitus. Arterioscler. Thromb. Vasc. Biol. 2016, 36, 1049–1053. [Google Scholar] [CrossRef] [PubMed]
- Brown, L.F.; Yeo, K.T.; Berse, B.; Yeo, T.K.; Senger, D.R.; Dvorak, H.F.; van de Water, L. Expression of vas-cular permeability factor (vascular endothelial growth factor) by epidermal keratinocytes during wound healing. J. Exp. Med. 1992, 176, 1375–1379. [Google Scholar] [CrossRef] [PubMed]
- Shi, Y.; Wang, S.; Zhang, W.; Zhu, Y.; Fan, Z.; Huang, Y.; Li, F.; Yang, R. Bone marrow mesenchymal stem cells facilitate diabetic wound healing through the restoration of epidermal cell autophagy via the HIF-1alpha/TGF-beta1/SMAD pathway. Stem Cell Res. Ther. 2022, 13, 314. [Google Scholar] [CrossRef]
- Wang, X.J.; Han, G.; Owens, P.; Siddiqui, Y.; Li, A.G. Role of TGF beta-mediated inflammation in cutaneous wound healing. J. Investig. Dermatol. Symp. Proc. 2006, 11, 112–117. [Google Scholar] [CrossRef]
- Hashemi, S.A.; Madani, S.A.; Abediankenari, S. The Review on Properties of Aloe Vera in Healing of Cu-taneous Wounds. Biomed. Res. Int. 2015, 2015, 714216. [Google Scholar] [CrossRef]
- Bainbridge, P. Wound healing and the role of fibroblasts. J. Wound Care 2013, 22, 407–412. [Google Scholar] [PubMed]
- Pierce, G.F.; Tarpley, J.E.; Yanagihara, D.; Mustoe, T.A.; Fox, G.M.; Thomason, A. Platelet-derived growth factor (BB homodimer), transforming growth factor-beta 1, and basic fibroblast growth factor in dermal wound healing. Neovessel and matrix formation and cessation of repair. Am. J. Pathol. 1992, 140, 1375–1388. [Google Scholar] [PubMed]
- Okur, M.E.; Ayla, S.; Cicek Polat, D.; Gunal, M.Y.; Yoltas, A.; Biceroglu, O. Novel insight into wound healing properties of methanol extract of Capparis ovata Desf. var. palaestina Zohary fruits. J. Pharm. Pharmacol. 2018, 70, 1401–1413. [Google Scholar] [CrossRef]
- Ramaswamy, P.; Goswami, K.; Dalavaikodihalli Nanjaiah, N.; Srinivas, D.; Prasad, C. TNF-alpha mediated MEK-ERK signaling in invasion with putative network involving NF-kappaB and STAT-6: A new perspec-tive in glioma. Cell Biol. Int. 2019, 43, 1257–1266. [Google Scholar] [CrossRef] [PubMed]
- Lu, B.; Yuk, H.; Lin, S.; Jian, N.; Qu, K.; Xu, J.; Zhao, X. Pure PEDOT:PSS hydrogels. Nat. Commun. 2019, 10, 1043. [Google Scholar] [CrossRef] [PubMed]
- Hung, J.N.; Kha Vo, D.N.; Thanh Ho, H.P.; Tsai, M.H. PEDOT:PSS in Solution Form Exhibits Strong Poten-tial in Inhibiting SARS-CoV-2 Infection of the Host Cells by Targeting Viruses and Also the Host Cells. Biomacromolecules 2022, 23, 3535–3548. [Google Scholar] [CrossRef]






| Wound Area (mm2) | |||||
|---|---|---|---|---|---|
| Day Post Incision | 0 | 3 | 7 | 11 | 14 |
| Control | 5142.2 ± 703.9 | 5045.2 ± 81.5 | 4928.1 ± 75.0 | 4187.2 ± 175.6 | 566.8 ± 69.5 |
| PEDOT:PSS(1.6):1.5 ppm | 5083.2 ± 315.2 | 4993.4 ± 107.2 | 3936.2 ± 136.0 | 2664.0 ± 211.4 * | 349.5 ± 51.5 * |
| “Thickness Excision Wound” | Histopathological Lesions | Day 7 | |||
|---|---|---|---|---|---|
| PEDOT: PSS | |||||
| 1 | 2 | 3 | 4 | ||
| Control | 1.5 ppm | 15 ppm | 150 ppm | ||
| Skin | |||||
| Crust, epidermis, slight to moderate/severe 1 | 5/5 3 | 5/5 | 5/5 | 5/5 | |
| Inflammation, slight to moderate/severe 1 | 5/5 | 5/5 | 5/5 | 5/5 | |
| Wound | |||||
| Angiogenesis 2 | 5/5 | 5/5 | 5/5 | 5/5 | |
| Granulation 2 | 5/5 | 5/5 | 5/5 | 5/5 | |
| Re-epithelialization 2 | 0/5 | 0/5 | 0/5 | 0/5 | |
| “Thickness Excision Wound” | Histopathological lesions | Day 14 | |||
| PEDOT: PSS | |||||
| 1 | 2 | 3 | 4 | ||
| Control | 1.5 ppm | 15 ppm | 150 ppm | ||
| Skin | |||||
| Crust, epidermis, slight to moderate/severe 1 | 2/4 | 1/5 | 1/5 | 2/5 | |
| Inflammation, slight to moderate/severe 1 | 1/4 | 0/5 | 1/5 | 0/5 | |
| Wound | |||||
| Angiogenesis 2 | 4/4 | 5/5 | 5/5 | 5/5 | |
| Granulation 2 | 4/4 | 5/5 | 5/5 | 5/5 | |
| Re-epithelialization 2 | 4/4 | 5/5 | 5/5 | 5/5 | |
| Full-Thickness Excision Wound | Immunohistopathological Scores | Group | |||
| Day 7 | |||||
| 1 | 2 | 3 | 4 | ||
| Control | PEDOT:PSS 1.5 ppm | PEDOT:PSS 15 ppm | PEDOT:PSS 150 ppm | ||
| VEGF | |||||
| Staining intensity | 1.3 ± 0.4 | 2.3 ± 0.4 * | 2.7 ± 0.5 * | 3.0 ± 0.0 * | |
| Staining frequency | 2.3 ± 0.4 | 3.5 ± 0.5 * | 3.7 ± 0.5 * | 4.2 ± 0.7 * | |
| Full-thickness excision wound | Histopathological lesions | Group | |||
| Day 14 | |||||
| 1 | 2 | 3 | 4 | ||
| Control | PEDOT:PSS 1.5 ppm | PEDOT:PSS 15 ppm | PEDOT:PSS 150 ppm | ||
| VEGF | |||||
| Staining intensity | 2.0 ± 0.0 | 2.3 ± 0.4 | 2.2 ± 0.4 | 2.0 ± 0.0 | |
| Staining frequency | 3.0 ± 0.8 | 3.0 ± 0.0 | 2.4 ± 0.8 | 2.6 ± 0.5 | |
| Full-Thickness Excision Wound | Immunohistopathological Scores | Group | |||
|---|---|---|---|---|---|
| Day 7 | |||||
| 1 | 2 | 3 | 4 | ||
| Control | PEDOT:PSS 1.5 ppm | PEDOT:PSS 15 ppm | PEDOT:PSS 150 ppm | ||
| TGF-β1 | Angiogenesis | ||||
| Staining frequency | 0.0 ± 0.0 | 0.3 ± 0.5 | 0.2 ± 0.4 | 0.8 ± 0.7 * | |
| Molar Ratio | 1: 1.6 | 1:2.5 | 1:5.0 |
|---|---|---|---|
| Conductivity (S/cm) | 480 | 320 | 160 |
Disclaimer/Publisher’s Note: The statements, opinions and data contained in all publications are solely those of the individual author(s) and contributor(s) and not of MDPI and/or the editor(s). MDPI and/or the editor(s) disclaim responsibility for any injury to people or property resulting from any ideas, methods, instructions or products referred to in the content. |
© 2023 by the authors. Licensee MDPI, Basel, Switzerland. This article is an open access article distributed under the terms and conditions of the Creative Commons Attribution (CC BY) license (https://creativecommons.org/licenses/by/4.0/).
Share and Cite
Chung, Y.-L.; Chou, P.-Y.; Sheu, M.-J. The Wound-Healing Activity of PEDOT-PSS in Animals. Int. J. Mol. Sci. 2023, 24, 12539. https://doi.org/10.3390/ijms241612539
Chung Y-L, Chou P-Y, Sheu M-J. The Wound-Healing Activity of PEDOT-PSS in Animals. International Journal of Molecular Sciences. 2023; 24(16):12539. https://doi.org/10.3390/ijms241612539
Chicago/Turabian StyleChung, Yun-Lung, Pei-Yu Chou, and Ming-Jyh Sheu. 2023. "The Wound-Healing Activity of PEDOT-PSS in Animals" International Journal of Molecular Sciences 24, no. 16: 12539. https://doi.org/10.3390/ijms241612539
APA StyleChung, Y.-L., Chou, P.-Y., & Sheu, M.-J. (2023). The Wound-Healing Activity of PEDOT-PSS in Animals. International Journal of Molecular Sciences, 24(16), 12539. https://doi.org/10.3390/ijms241612539

