Synthesis and Anti-Proliferative Activity of 5-Benzoyl and 5-Benzylhydroxy Derivatives of 3-Amino-2-Arylcarboxamido-Thieno[2-3-b]Pyridines
Abstract
1. Introduction
2. Results and Discussion
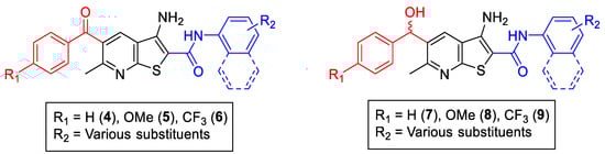
2.1. Synthesis of Benzoylthieno[2,3-b]Pyridines and Alcohol Derivatives
2.2. Anti-Proliferative Assessment of Novel Thieno[2-3-b]Pyridines 4a–j, 5a–j, 6a,b, 7a–j and 8a–j
2.2.1. Anti-Proliferative Activity of Benzoylthieno[2-3-b]Pyridine Analogues 4a–j, 5a–j and 6a,b
2.2.2. Anti-Proliferative Activity of Alcohol Thieno[2-3-b]Pyridine Analogues 7a–j and 8a–j
3. Materials and Methods
3.1. General Experimental Details
3.2. General Synthetic Procedures
3.2.1. General Procedure for Synthesis of Enamines 11a–c
3.2.2. General Procedure for Synthesis of Carbonitriles 12a–c
3.2.3. General Procedure for Synthesis of 2-Chloroacetamides 14a–j
3.2.4. General Procedure for Synthesis of Benzoyl Thieno[2-3-b]Pyridine Derivatives 4a–j, 5a–j and 6a–b
3.2.5. General Procedure for Synthesis of Alcohol Thieno[2-3-b]Pyridine Derivatives 7a–j and 8a–j
3.3. Cell Proliferation Testing
Cell Proliferation Assay
3.4. Molecular Docking Experiments
4. Conclusions
Supplementary Materials
Author Contributions
Funding
Institutional Review Board Statement
Informed Consent Statement
Data Availability Statement
Conflicts of Interest
References
- Haverkate, N.A.; Leung, E.; Pilkington, L.I.; Barker, D. Tethered Aryl Groups Increase the Activity of Anti-Proliferative Thieno[2-3-b]Pyridines by Targeting a Lipophilic Region in the Active Site of PI-PLC. Pharmaceutics 2021, 13, 2020. [Google Scholar] [CrossRef] [PubMed]
- Pervan, M.; Marijan, S.; Markotić, A.; Pilkington, L.I.; Haverkate, N.A.; Barker, D.; Reynisson, J.; Meić, L.; Radan, M.; Čikeš Čulić, V. Novel Thieno [2-3-b]Pyridine Anticancer Compound Lowers Cancer Stem Cell Fraction Inducing Shift of Lipid to Glucose Metabolism. Int. J. Mol. Sci. 2022, 23, 11457. [Google Scholar] [CrossRef] [PubMed]
- Marijan, S.; Markotić, A.; Mastelić, A.; Režić-Mužinić, N.; Pilkington, L.I.; Reynisson, J.; Čulić, V.Č. Glycosphingolipid Expression at Breast Cancer Stem Cells after Novel Thieno[2-3-b]Pyridine Anticancer Compound Treatment. Sci. Rep. 2020, 10, 11876. [Google Scholar] [CrossRef]
- Reynisson, J.; Jaiswal, J.K.; Barker, D.; D’Mello, S.A.N.; Denny, W.A.; Baguley, B.C.; Leung, E.Y. Evidence That Phospholipase C Is Involved in the Antitumour Action of NSC768313, a New Thieno[2-3-b]Pyridine Derivative. Cancer Cell Int. 2016, 16, 18. [Google Scholar] [CrossRef]
- Arabshahi, H.J.; van Rensburg, M.; Pilkington, L.I.; Jeon, C.Y.; Song, M.; Gridel, L.-M.; Leung, E.; Barker, D.; Vuica-Ross, M.; Volcho, K.P.; et al. A Synthesis, in Silico, in Vitro and in Vivo Study of Thieno[2-3-b]Pyridine Anticancer Analogues. Med. Chem. Commun. 2015, 6, 1987–1997. [Google Scholar] [CrossRef]
- Bernlochner, I.; Sibbing, D. Thienopyridines and Other ADP-Receptor Antagonists. In Antiplatelet Agents; Gresele, P., Born, G.V.R., Patrono, C., Page, C.P., Eds.; Handbook of Experimental Pharmacology; Springer: Berlin/Heidelberg, Germany, 2012; pp. 165–198. [Google Scholar] [CrossRef]
- Katritch, V.; Jaakola, V.-P.; Lane, J.R.; Lin, J.; IJzerman, A.P.; Yeager, M.; Kufareva, I.; Stevens, R.C.; Abagyan, R. Structure-Based Discovery of Novel Chemotypes for Adenosine A2A Receptor Antagonists. J. Med. Chem. 2010, 53, 1799–1809. [Google Scholar] [CrossRef]
- Eurtivong, C.; Semenov, V.; Semenova, M.; Konyushkin, L.; Atamanenko, O.; Reynisson, J.; Kiselyov, A. 3-Amino-Thieno[2-3-b]Pyridines as Microtubule-Destabilising Agents: Molecular Modelling and Biological Evaluation in the Sea Urchin Embryo and Human Cancer Cells. Bioorg. Med. Chem. 2017, 25, 658–664. [Google Scholar] [CrossRef]
- Romagnoli, R.; Baraldi, P.G.; Kimatrai Salvador, M.; Preti, D.; Aghazadeh Tabrizi, M.; Bassetto, M.; Brancale, A.; Hamel, E.; Castagliuolo, I.; Bortolozzi, R.; et al. Synthesis and Biological Evaluation of 2-(Alkoxycarbonyl)-3-Anilinobenzo[b]Thiophenes and Thieno[2-3-b]Pyridines as New Potent Anticancer Agents. J. Med. Chem. 2013, 56, 2606–2618. [Google Scholar] [CrossRef]
- van Rensburg, M.; Leung, E.; Haverkate, N.A.; Eurtivong, C.; Pilkington, L.I.; Reynisson, J.; Barker, D. Synthesis and Antiproliferative Activity of 2-Chlorophenyl Carboxamide Thienopyridines. Bioorg. Med. Chem. Lett. 2017, 27, 135–138. [Google Scholar] [CrossRef]
- Haverkate, N.A.; Leung, E.; Pilkington, L.I.; Barker, D. Disruption of Crystal Packing in Thieno[2-3-b]Pyridines Improves Anti-Proliferative Activity. Molecules 2022, 27, 836. [Google Scholar] [CrossRef]
- Kumar, D.; Kommi, D.N.; Chopra, P.; Ansari, M.I.; Chakraborti, A.K. L-Proline-Catalyzed Activation of Methyl Ketones or Active Methylene Compounds and DMF-DMA for Syntheses of (2E)-3-Dimethylamino-2- Propen-1-Ones. Eur. J. Org. Chem. 2012, 32, 6407–6413. [Google Scholar] [CrossRef]
- Li, D.-Y.; Lou, Y.-J.; Xu, J.; Chen, X.-Y.; Lin, X.-F.; Wu, Q. Electronic Effect-Guided Rational Design of Candida Antarctica Lipase B for Kinetic Resolution Towards Diarylmethanols. Adv. Synth. Catal. 2021, 363, 1867–1872. [Google Scholar] [CrossRef]
- Noyori, R.; Tomino, I.; Tanimoto, Y.; Nishizawa, M. Asymmetric Synthesis via Axially Dissymmetric Molecules. 6. Rational Designing of Efficient Chiral Reducing Agents. Highly Enantioselective Reduction of Aromatic Ketones by Binaphthol-Modified Lithium Aluminium Hydride Reagents. J. Am. Chem. Soc. 1984, 106, 6709–6716. [Google Scholar] [CrossRef]
- Noyori, R.; Tomino, I.; Yamada, M.; Nishizawa, M. Asymmetric Synthesis via Axially Dissymmetric Molecules. 7. Synthetic Applications of the Enantioselective Reduction by Binaphthol-Modified Lithium Aluminium Hydride Reagents. J. Am. Chem. Soc. 1984, 106, 6717–6725. [Google Scholar] [CrossRef]
- Corey, E.J.; Helal, C.J. Reduction of Carbonyl Compounds with Chiral Oxazaborolidine Catalysts: A New Paradigm for Enantioselective Catalysis and a Powerful New Synthetic Method. Angew. Chem. Int. Ed. 1998, 37, 1986–2012. [Google Scholar] [CrossRef]
- Rees, S.W.P.; Leung, E.; Reynisson, J.; Barker, D.; Pilkington, L.I. Development of 2-Morpholino-N-Hydroxybenzamides as Anti-Proliferative PC-PLC Inhibitors. Bioorg. Chem. 2021, 114, 105152. [Google Scholar] [CrossRef]
- Leung, E.; Kim, J.E.; Rewcastle, G.W.; Finlay, G.J.; Baguley, B.C. Comparison of the Effects of the PI3K/MTOR Inhibitors NVP-BEZ235 and GSK2126458 on Tamoxifen-Resistant Breast Cancer Cells. Cancer Biol. Ther. 2011, 11, 938–946. [Google Scholar] [CrossRef]
- Leung, E.; Pilkington, L.I.; van Rensburg, M.; Jeon, C.Y.; Song, M.; Arabshahi, H.J.; De Zoysa, G.H.; Sarojini, V.; Denny, W.A.; Reynisson, J.; et al. Synthesis and Cytotoxicity of Thieno[2-3-b]Quinoline-2-Carboxamide and Cycloalkyl[b]Thieno[3,2-e]Pyridine-2-Carboxamide Derivatives. Bioorg. Med. Chem. 2016, 24, 1142–1154. [Google Scholar] [CrossRef]
- Essen, L.-O.; Perisic, O.; Katan, M.; Wu, Y.; Roberts, M.F.; Williams, R.L. Structural Mapping of the Catalytic Mechanism for a Mammalian Phosphoinositide-Specific Phospholipase C. Biochemistry 1997, 36, 1704–1718. [Google Scholar] [CrossRef]
- Reynisson, J.; Court, W.; O’Neill, C.; Day, J.; Patterson, L.; McDonald, E.; Workman, P.; Katan, M.; Eccles, S.A. The Identification of Novel PLC-γ Inhibitors Using Virtual High Throughput Screening. Bioorg. Med. Chem. 2009, 17, 3169–3176. [Google Scholar] [CrossRef]
- Liebeschuetz, J.W.; Cole, J.C.; Korb, O. Pose Prediction and Virtual Screening Performance of GOLD Scoring Functions in a Standardized Test. J. Comput. Aided Mol. Des. 2012, 26, 737–748. [Google Scholar] [CrossRef] [PubMed]
- Obydennov, D.L.; Goncharov, A.O.; Sosnovskikh, V.Y. Preparative Synthesis of Ethyl 5-Acyl-4-Pyrone-2-Carboxylates and 6-Aryl-, 6-Alkyl-, and 5-Acylcomanic Acids on Their Basis. Russ. Chem. Bull. 2016, 65, 2233–2242. [Google Scholar] [CrossRef]
- Abu-Shanab, F.A.; Hessen, A.M.; Mousa, S.a.S. Dimethylformamide Dimethyl Acetal in Heterocyclic Synthesis: Synthesis of Polyfunctionally Substituted Pyridine Derivatives as Precursors to Bicycles and Polycycles. J. Heterocycl. Chem. 2007, 44, 787–791. [Google Scholar] [CrossRef]
- Baraldi, P.G.; Preti, D.; Tabrizi, M.A.; Fruttarolo, F.; Saponaro, G.; Baraldi, S.; Romagnoli, R.; Moorman, A.R.; Gessi, S.; Varani, K.; et al. N6-[(Hetero)Aryl/(Cyclo)Alkyl-Carbamoyl-Methoxy-Phenyl]-(2-Chloro)-5′-N-Ethylcarboxamido-Adenosines: The First Example of Adenosine-Related Structures with Potent Agonist Activity at the Human A2B Adenosine Receptor. Bioorg. Med. Chem. 2007, 15, 2514–2527. [Google Scholar] [CrossRef] [PubMed]
- Pace, V.; Castoldi, L.; Holzer, W. Addition of Lithium Carbenoids to Isocyanates: A Direct Access to Synthetically Useful N-Substituted 2-Haloacetamides. Chem. Commun. 2013, 49, 8383–8385. [Google Scholar] [CrossRef]
- Wang, G.-B.; Wang, L.-F.; Li, C.-Z.; Sun, J.; Zhou, G.-M.; Yang, D.-C. A Facile and Efficient Method for the Selective Deacylation of N-Arylacetamides and 2-Chloro-N-Arylacetamides Catalyzed by SOCl2. Res. Chem. Intermed. 2012, 38, 77–89. [Google Scholar] [CrossRef]
- Ghosh, K.; Sen, T. Naphthalene Appended 2,5-Diketopiperazine towards Fluorometric Response of Dihydrogenphosphate. J. Incl. Phenom. Macrocycl. Chem. 2010, 68, 447–452. [Google Scholar] [CrossRef]





![]() | ||||
|---|---|---|---|---|
| Compound | Mean Relative Growth (%) 1 μM | IC50 (nM) | ||
| HCT-116 | MDA-MB-231 | HCT-116 | MDA-MB-231 | |
| 4a | 116.8 ± 14.5 | 106.6 ± 11.2 | - | - |
| 4b | 114.4 ± 6.1 | 108.4 ± 13.3 | - | - |
| 4c | 113.9 ± 5.7 | 107.5 ± 6.2 | - | - |
| 4d | 112.0 ± 3.1 | 109.4 ± 2.5 | - | - |
| 4e | 109.7 ± 1.3 | 105.4 ± 1.2 | - | - |
| 4f | 108.4 ± 3.6 | 106.3 ± 1.0 | - | - |
| 4g | 108.9 ± 0.1 | 106.6 ± 1.3 | - | - |
| 4h | 5.3 ± 1.0 | 20.4 ± 1.7 | 497.8 ± 10.9 | 541.8 ± 7.6 |
| 4i | 5.3 ± 2.0 | 28.6 ± 6.4 | 513.3 ± 4.7 | 598.6 ± 64.4 |
| 4j | 122.6 ± 17.8 | 108.7 ± 4.7 | - | - |
| 5a | 6.4 ± 1.7 | 12.8 ± 1.9 | 719.4 ± 227.7 | 709.5 ± 162.5 |
| 5b | 106.9 ± 5.0 | 106.9 ± 1.4 | - | - |
| 5c | 107.2 ± 3.5 | 103.7 ± 6.7 | - | - |
| 5d | 108.4 ± 1.7 | 96.9 ± 0.1 | - | - |
| 5e | 96.9 ± 1.4 | 102.9 ± 4.1 | - | - |
| 5f | 104.1 ± 1.3 | 105.8 ± 3.6 | - | - |
| 5g | 116.3 ± 11.8 | 105.4 ± 9.5 | - | - |
| 5h | 3.4 ± 1.2 | 10.2 ± 2.9 | 236.8 ± 98.0 | 303.5 ± 64.5 |
| 5i | 1.7 ± 0.8 | 4.4 ± 0.1 | 120.9 ± 2.0 | 128.6 ± 5.2 |
| 5j | 2.0 ± 0.1 | 7.6 ± 1.6 | 253.0 ± 115.8 | 353.9 ± 84.9 |
| 6a | 101.8 ± 3.5 | 96.6 ± 3.0 | - | - |
| 6b | 96.9 ± 6.0 | 97.3 ± 1.6 | - | - |
Examples of highly active cinnamyl compounds (2a–c) from previous generation [1]:![]() | ||||
| 2a | 3.0 | 5.8 | 154 | 182 |
| 2b | 1.6 | 2.6 | 461 | 436 |
| 2c | 1.4 | 2.0 | 137 | 103 |
![]() | ||||
|---|---|---|---|---|
| Compound | Mean Relative Growth (%) 1 μM | IC50 (nM) | ||
| HCT-116 | MDA-MB-231 | HCT-116 | MDA-MB-231 | |
| 7a | 3.0 ± 0.5 | 10.7 ± 2.8 | 468.1 ± 1.9 | 453.9 ± 3.2 |
| 7b | 108.9 ± 9.7 | 104.6 ± 0.8 | - | - |
| 7c | 105.5 ± 7.5 | 99.6 ± 7.5 | - | - |
| 7d | 107.9 ± 5.3 | 101.4 ± 2.6 | - | - |
| 7e | 107.9 ± 5.2 | 105.1 ± 1.3 | - | - |
| 7f | 97.4 ± 10.3 | 87.8 ± 7.9 | - | - |
| 7g | 3.7 ± 1.4 | 11.8 ± 2.6 | 193.1 ± 14.4 | 139.7 ± 30.7 |
| 7h | 2.0 ± 0.8 | 4.8 ± 0.5 | 49.9 ± 8.3 | 111.1 ± 4.9 |
| 7i | 0.6 ± 0.2 | 3.4 ± 0.1 | 31.6 ± 0.8 | 35.8 ± 0.8 |
| 7j | 1.9 ± 0.5 | 4.7 ± 0.5 | 125.6 ± 3.8 | 157.8 ± 17.8 |
| 8a | 0.8 ± 0.2 | 5.4 ± 0.2 | 122.3 ± 5.7 | 124.0 ± 12.0 |
| 8b | 2.9 ± 0.4 | 14.3 ± 1.3 | 455.7 ± 43.9 | 591.0 ± 135.8 |
| 8c | 97.6 ± 1.9 | 83.3 ± 1.3 | - | - |
| 8d | 99.2 ± 0.5 | 89.1 ± 3.1 | - | - |
| 8e | 1.5 ± 0.2 | 13.7 ± 0.9 | 378.3 ± 81.8 | 540.0 ± 16.3 |
| 8f | 0.6 ± 0.1 | 8.1 ± 0.3 | 344.3 ± 82.6 | 551.3 ± 48.2 |
| 8g | 0.4 ± 0.1 | 3.3 ± 0.4 | 111.0 ± 6.7 | 111.0 ± 12.5 |
| 8h | 0.4 ± 0.1 | 3.0 ± 0.3 | 69.5 ± 11.5 | 78.6 ± 38.9 |
| 8i | 0.2 ± 0.1 | 2.3 ± 0.3 | 51.0 ± 21.5 | 222.0 ± 119.1 |
| 8j | 0.2 ± 0.1 | 2.4 ± 0.1 | 103.0 ± 19.0 | 119.5 ± 19.5 |
Examples of highly active allylic alcohols (3) from previous generation [1]:![]() | ||||
| 3a | 1.6 | 3.9 | 55 | 92 |
| 3b | 1.1 | 2.9 | 32 | 36 |
| 3c | 1.8 | 4.5 | 50 | 104 |
Disclaimer/Publisher’s Note: The statements, opinions and data contained in all publications are solely those of the individual author(s) and contributor(s) and not of MDPI and/or the editor(s). MDPI and/or the editor(s) disclaim responsibility for any injury to people or property resulting from any ideas, methods, instructions or products referred to in the content. |
© 2023 by the authors. Licensee MDPI, Basel, Switzerland. This article is an open access article distributed under the terms and conditions of the Creative Commons Attribution (CC BY) license (https://creativecommons.org/licenses/by/4.0/).
Share and Cite
Morphet, B.; Rees, S.W.P.; Haverkate, N.A.; Aziz, H.; Leung, E.; Pilkington, L.I.; Barker, D. Synthesis and Anti-Proliferative Activity of 5-Benzoyl and 5-Benzylhydroxy Derivatives of 3-Amino-2-Arylcarboxamido-Thieno[2-3-b]Pyridines. Int. J. Mol. Sci. 2023, 24, 11407. https://doi.org/10.3390/ijms241411407
Morphet B, Rees SWP, Haverkate NA, Aziz H, Leung E, Pilkington LI, Barker D. Synthesis and Anti-Proliferative Activity of 5-Benzoyl and 5-Benzylhydroxy Derivatives of 3-Amino-2-Arylcarboxamido-Thieno[2-3-b]Pyridines. International Journal of Molecular Sciences. 2023; 24(14):11407. https://doi.org/10.3390/ijms241411407
Chicago/Turabian StyleMorphet, Bailey, Shaun W. P. Rees, Natalie A. Haverkate, Hamid Aziz, Euphemia Leung, Lisa I. Pilkington, and David Barker. 2023. "Synthesis and Anti-Proliferative Activity of 5-Benzoyl and 5-Benzylhydroxy Derivatives of 3-Amino-2-Arylcarboxamido-Thieno[2-3-b]Pyridines" International Journal of Molecular Sciences 24, no. 14: 11407. https://doi.org/10.3390/ijms241411407
APA StyleMorphet, B., Rees, S. W. P., Haverkate, N. A., Aziz, H., Leung, E., Pilkington, L. I., & Barker, D. (2023). Synthesis and Anti-Proliferative Activity of 5-Benzoyl and 5-Benzylhydroxy Derivatives of 3-Amino-2-Arylcarboxamido-Thieno[2-3-b]Pyridines. International Journal of Molecular Sciences, 24(14), 11407. https://doi.org/10.3390/ijms241411407





