Crosstalk between 5-Aminolevulinic Acid and Abscisic Acid Adjusted Leaf Iron Accumulation and Chlorophyll Synthesis to Enhance the Cold Tolerance in Solanum lycopersicum Seedlings
Abstract
1. Introduction
2. Results
2.1. Exogenous ALA Improved the Low-Temperature Stress Resistance of Tomato Seedlings
2.2. Exogenous ALA Increased Contents of Iron and Chlorophyll in Tomato Seedlings Leaves under Low Temperature
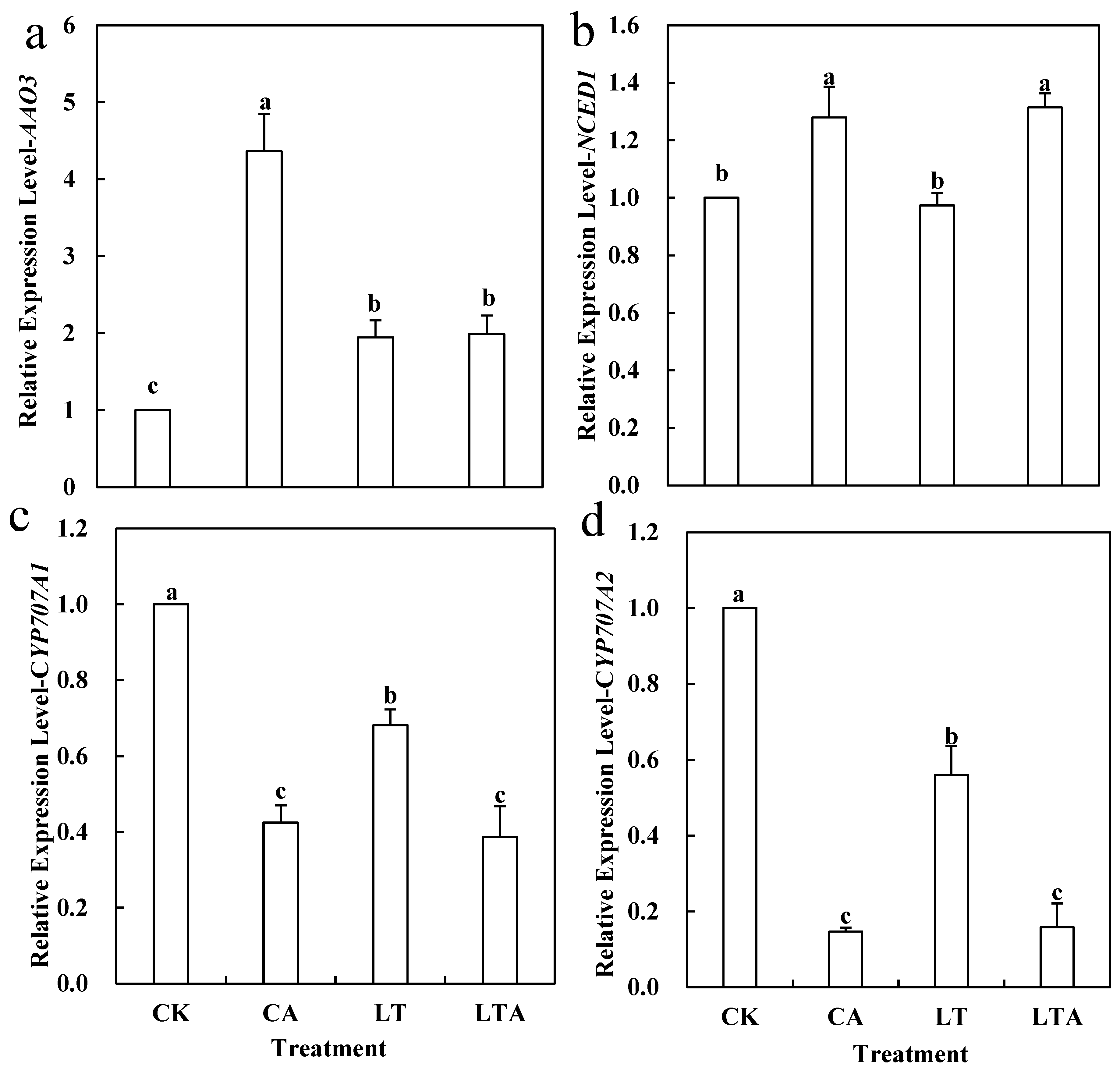
2.3. Exogenous ALA Increased ABA Content in Tomato Seedlings Leaves under Low Temperature
2.4. Exogenous ABA Promotes the Accumulation of Iron, Chlorophyll and Its Precursors, and Improves the PS II Maximum Photochemical Efficiency of Plants under Low-Temperature Stress
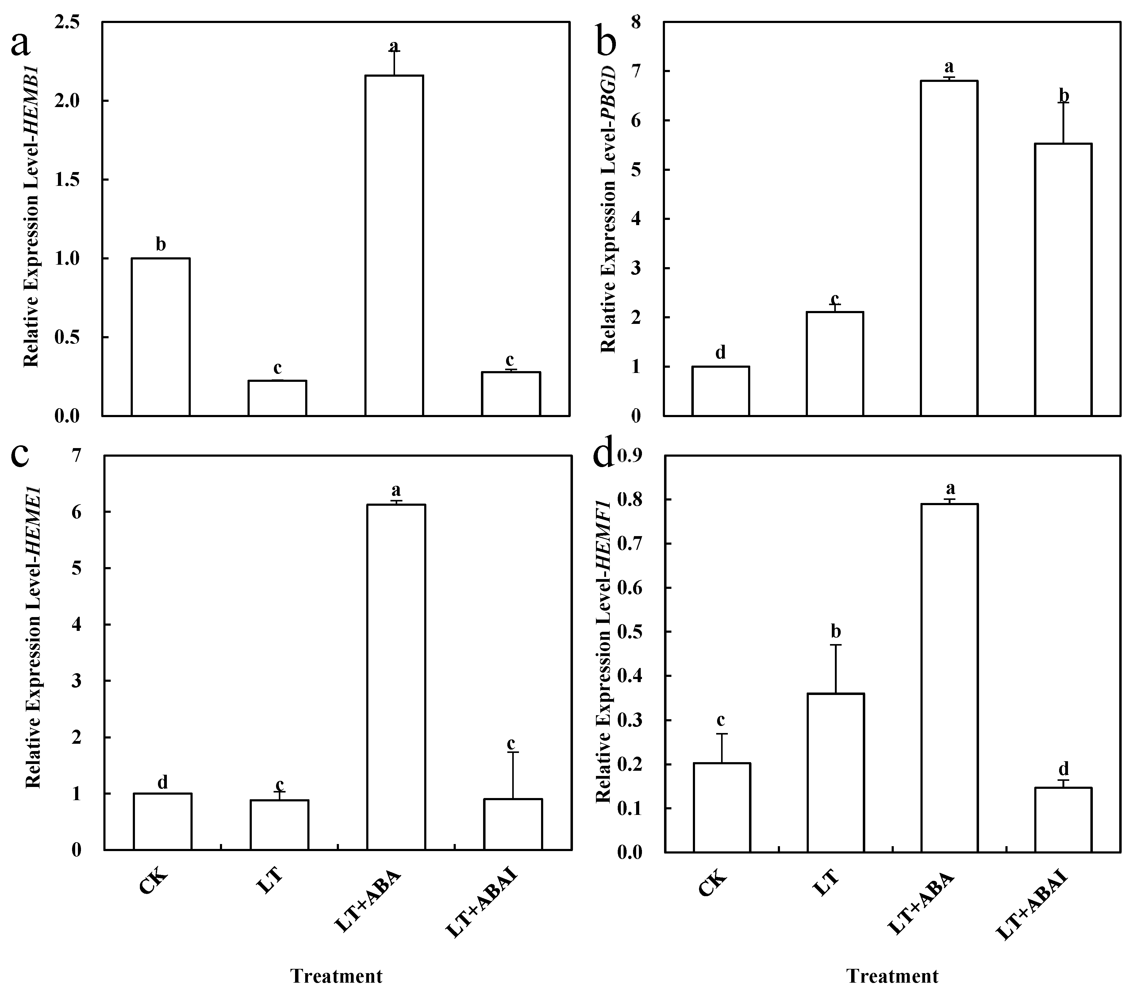
2.5. Exogenous ABA Induces the Expression of Proto IX Key Enzyme for ALA Synthesis and Reduces the Accumulation of ALA
3. Discussion
4. Materials and Methods
4.1. Plant Material and Growth Conditions
4.2. Chlorophyll Fluorescence Parameter’s
4.3. Determination of Relative Conductivity and Proline Contents
4.4. Extraction and Determination of ABA
4.5. Evaluation of Iron Accumulation Amount
4.6. Evaluation of Chlorophyll and Its Precursors Contents
4.7. RNA Extraction and Gene Expression Analyses
4.8. Promoter Element Analyses of SlPBGD, SlHEMB1, SlHEME1 and SlHEMF1
4.9. Statistical Analyses
5. Conclusions
Supplementary Materials
Author Contributions
Funding
Data Availability Statement
Acknowledgments
Conflicts of Interest
Abbreviations
References
- Liu, T.; Du, Q.J.; Li, S.Z.; Yang, J.Y.; Hu, X.H. GSTU43 gene involved in ALA-regulated redox homeostasis, to maintain coordinated chlorophyll synthesis of tomato at low temperature. BMC Plant Biol. 2019, 19, 323–346. [Google Scholar] [CrossRef] [PubMed]
- Liu, T.; Hu, X.X.; Zhang, J.; Zhang, J.H.; Du, Q.J.; Li, J.M. H2O2 mediates ALA-induced glutathione and ascorbate accumulation in the perception and resistance to oxidative stress in Solanum lycopersicum at low temperatures. BMC Plant Biol. 2018, 18, 34. [Google Scholar] [CrossRef]
- Barrero-Gil, J.; Huertas, R.; Rambla, J.L.; Granell, A.; Salinas, J. Tomato plants increase their tolerance to low temperature in a chilling acclimation process entailing comprehensive transcriptional and metabolic adjustments. Plant Cell Environ. 2016, 39, 2303–2318. [Google Scholar] [CrossRef] [PubMed]
- Lee, C.J.; Kim, S.E.; Park, S.U.; Lim, Y.H.; Choi, H.Y.; Kim, W.G.; Ji, C.Y.; Kim, H.S.; Kwak, S.S. Tuberous roots of transgenic sweetpotato overexpressing IbCAD1 have enhanced low-temperature storage phenotypes. Plant Physiol. Biochem. 2021, 166, 549–557. [Google Scholar] [CrossRef] [PubMed]
- Gatti, L.V.; Basso, L.S.; Miller, J.B.; Gloor, M.; Domingues, L.G.; Cassol, H.L.G.; Tejada, G.; Aragão, L.E.O.C.; Nobre, C.; Peters, W.; et al. Amazonia as a carbon source linked to deforestation and climate change. Nature 2021, 595, 388–393. [Google Scholar] [CrossRef]
- Li, J.; Li, J.M.; Hu, X.H.; Zhang, D.L.; Xu, F.; Zhao, Z.H. Effects of sub-low temperature and potassium fertilizer on photosynthesis and fruit quality of greenhouse tomato. Acta Bot. Boreali-Occident. Sin. 2012, 32, 2471–2478. [Google Scholar]
- Ghassemi, S.; Delangiz, N.; Lajayer, B.A.; Saghafi, D.; Maggi, F. Review and future prospects on the mechanisms related to cold stress resistance and tolerance in medicinal plants. Acta Ecol. Sin. 2021, 41, 120–129. [Google Scholar] [CrossRef]
- Aliyari Rad, S.; Dehghanian, Z.; Asgari Lajayer, B.; Nobaharan, K.; Astatkie, T. Mitochondrial respiration and energy production under some abiotic stresses. J. Plant Growth Regul. 2022, 41, 3285–3299. [Google Scholar] [CrossRef]
- Korkmaz, A. Effects of exogenous application of 5-Aminolevulinic acid in crop plants. In Abiotic Stress Responses in Plants; Springer: Cham, Switzerland, 2012; pp. 215–234. [Google Scholar]
- Kaur, G.; Meena, V.; Kumar, A.; Suman, G.; Tyagi, D.; Joon, R.; Balk, J.; Pandey, A.K. Asymmetric expression of homoeologous genes in wheat roots modulates the early phase of iron-deficiency signalling. Environ. Exp. Bot. 2023, 208, 105254. [Google Scholar] [CrossRef]
- Khobra, R.; Ahuja, S.; Singh, B. Chlorophyll biosynthesis as the basis of iron use efficiency under iron deficiency and its relationship with the phytosiderophore synthesis and release in wheat. Indian J. Plant Physiol. 2014, 19, 330–337. [Google Scholar] [CrossRef]
- Li, J.; Cao, X.M.; Jia, X.C.; Liu, L.Y.; Cao, H.W.; Qin, W.Q. Iron deficiency leads to chlorosis through impacting chlorophyll synthesis and nitrogen metabolism in Areca catechu L. Front. Plant Sci. 2021, 12, 1577. [Google Scholar] [CrossRef]
- Lopez-Millan, A.F.; Ellis, D.R.; Grusak, M.A. Identification and characterization of several new members of the ZIP family of metal ion transporters in Medicago truncatula. Plant Mol. Biol. Rep. 2004, 54, 583–596. [Google Scholar] [CrossRef] [PubMed]
- Stephens, B.W.; Cook, D.R.; Grusak, M.A. Characterization of zinc transport by divalent metal transporters of the ZIP family from the model legume Medicago truncatula. Biometals 2011, 24, 51–58. [Google Scholar] [CrossRef] [PubMed]
- Sun, X.E.; Feng, X.X.; Li, C.; Zhang, Z.P.; Wang, L.J. Study on salt tolerance with YHem1 transgenic canola (Brassica napus). Physiol. Plant. 2015, 154, 223–242. [Google Scholar] [CrossRef]
- Liu, D.; Kong, D.D.; Fu, X.K.; Ali, B.; Xu, L.; Zhou, W.J. Influence of exogenous 5-aminolevulinic acid on chlorophyll synthesis and related gene expression in oilseed rape de-etiolated cotyledons under water-deficit stress. Photosynthetica 2016, 54, 468–474. [Google Scholar] [CrossRef]
- Wang, H.; Liu, Z.; Luo, S.; Jing, L.; Zhang, J.; Li, L. 5-Aminolevulinic acid and hydrogen sulphide alleviate chilling stress in pepper (Capsicum annuum L.) seedlings by enhancing chlorophyll synthesis pathway. Plant Physiol. Biochem. 2021, 167, 567–576. [Google Scholar] [CrossRef]
- Larkin, R.M. Tetrapyrrole signaling in plants. Front. Plant Sci. 2016, 7, 1586–1602. [Google Scholar] [CrossRef]
- Niu, K.; Ma, H. The positive effects of exogenous 5-aminolevulinic acid on the chlorophyll biosynthesis, photosystem and calvin cycle of Kentucky bluegrass seedlings in response to osmotic stress. Environ. Exp. Bot. 2018, 155, 260–271. [Google Scholar] [CrossRef]
- Sun, Y.; Wang, Y.; Qu, D.Y.; Li, J.; Wei, S. Enhanced low-temperature resistance and physiological mechanism of maize seedlings by exogenous application of 5-aminolevulinic acid. Chin. J. Ecol. 2016, 35, 1737–1743. [Google Scholar]
- Anwar, A.; Yan, Y.; Liu, Y.; Li, Y.; Yu, X. 5-Aminolevulinic acid improves nutrient uptake and endogenous hormone accumulation, enhancing low-temperature stress tolerance in cucumbers. Int. J. Mol. Sci. 2018, 19, 3379. [Google Scholar] [CrossRef]
- Xiong, J.L.; Wang, H.C.; Tan, X.Y.; Zhang, C.L.; Naeem, M.S. 5-aminolevulinic acid improves salt tolerance mediated by regulation of tetrapyrrole and proline metabolism in Brassica napus L. seedlings under NaCl stress. Plant Physiol. Biochem. 2018, 124, 88–99. [Google Scholar] [CrossRef]
- Wu, Y.; Liao, W.; Dawuda, M.M.; Hu, L.; Yu, J. 5-Aminolevulinic acid (ALA) biosynthetic and metabolic pathways and its role in higher plants: A review. Plant Growth Regul. 2019, 87, 357–374. [Google Scholar] [CrossRef]
- Xu, Z.; Wang, J.; Zhen, W.; Sun, T.; Hu, X. Abscisic acid alleviates harmful effect of saline-alkaline stress on tomato seedlings. Plant Physiol. Biochem. 2022, 175, 58–67. [Google Scholar] [CrossRef] [PubMed]
- Corrêa, T.; Magalhães, P.C.; Mauro, E.; Pereira, P.E.; Marabesi, M.A. The influence of ABA on water relation, photosynthesis parameters, and chlorophyll fluorescence under drought conditions in two maize hybrids with contrasting drought resistance. Acta Physiol. Plant. 2013, 35, 515–527. [Google Scholar] [CrossRef]
- Sun, Z.; Fan, W.J.; Liu, G.L.; Tian, C.G.; Zhang, P.; Liu, H.J. Effects of exogenous ABA on photosynthetic characteristics and related physiological indexes of sweet potato seedling leaves under drought stress. Plant Physiol. J. 2017, 53, 873–888. [Google Scholar]
- Tae-Houn, K. Mechanism of ABA signal transduction: Agricultural highlights for improving drought tolerance. J. Plant Biol. 2014, 57, 1–8. [Google Scholar]
- Gough, S.P.; Westergren, T.; Hansson, M. Chlorophyll biosynthesis in higher plants. Regulatory aspects of 5-aminolevulinate formation. J. Plant Biol. 2003, 46, 135–160. [Google Scholar] [CrossRef]
- Balestrasse, K.B.; Tomaro, M.L.; Battle, A. The role of 5-aminolevulinic acid in the response to cold stress in soybean plants. Phytochemistry 2010, 71, 2038–2045. [Google Scholar] [CrossRef]
- Korlcmaz, A.; Korkmaz, Y.; Demirlciran, A.R. Enhancing chilling stress tolerance of pepper seedlings by exogenous application of 5-aminolevulinic acid. Environ. Exp. Bot. 2010, 67, 495–501. [Google Scholar] [CrossRef]
- Hu, J.; An, Y.; Cai, C.; He, S.; Wang, L. Cytoplasmic pH is involved in 5-aminolevulinic acid-induced stomatal opening in apple leaves. Hortic. J. 2019, 46, 1869–1881. [Google Scholar]
- Zhang, X.; Liu, Y.; Liu, Q.; Zong, B.; Yuan, X.; Sun, H. Nitric oxide is involved in abscisic acid-induced photosynthesis and antioxidant system of tall fescue seedlings response to low-light stress. Environ. Exp. Bot. 2018, 155, 226–238. [Google Scholar] [CrossRef]
- Hao, Y.F.; Feng, Y.Y.; Cai, L.J.; Wu, Q.; Song, L.L. Effect of ABA on photosynthesis and chlorophyll fluorescence in emmenopterys henri Oliv. under high light. Russ. J. Plant Physiol. 2021, 68, 510–518. [Google Scholar] [CrossRef]
- Pan, C.; Yang, K.; Erhunmwunsee, F.; Li, Y.H.; Liu, M.; Pan, S.Y.; Yang, D.J.; Lu, G.Q.; Ma, D.F.; Tian, J. Inhibitory effect of cinnamaldehyde on Fusarium solani and its application in postharvest preservation of sweet potato. Food Chem. 2023, 408, 135213. [Google Scholar] [CrossRef]
- Yan, F.; Qu, D.; Zhao, Y.Y.; Hu, X.H.; Zhao, Z.Y.; Zhang, Y.; Zou, Z.R. Effects of exogenous 5-aminolevulinic acid on PIP1 and NIP aquaporin gene expression in seedlings of cucumber cultivars subjected to salinity stress. Genet. Mol. Res. 2014, 13, 2563–2573. [Google Scholar] [CrossRef] [PubMed]
- Wang, Y.; Li, J.; Gu, W.; Zhang, Q.; Tian, L.; Guo, S.; Wei, S. Exogenous application of 5-aminolevulinic acid improves low-temperature stress tolerance of maize seedlings. Crop Pasture Sci. 2018, 69, 587–593. [Google Scholar] [CrossRef]
- Cao, X.Y.; Sun, H.L.; Wang, X.Q. ABA signaling mediates 5-aminolevulinic acid-induced anthocyanin biosynthesis in red pear fruits. Soc. Sci. Electron. Publ. 2022, 304, 111290. [Google Scholar]
- White, J.W.; Biembaum, J.A. Effects of root-zone heating on elemental composition of calceolaria. J. Am. Soc. Hortic. Sci. 1984, 109, 350–355. [Google Scholar] [CrossRef]
- Zhou, J.; Zhang, H.; Yang, Y.; Zhang, Z.; Zhang, H.; Hu, X.; Chen, J.; Wang, X.C.; Huang, R. Abscisic acid regulates TSRF1-mediated resistance to Ralstonia solanacearum by modifying the expression of GCC box-containing genes in tobacco. J. Exp. Bot. 2008, 59, 645–652. [Google Scholar] [CrossRef]
- Lama, K.; Yadav, S.; Rosianski, Y.; Shaya, F.; Lichter, A.; Chai, L.J.; Dahan, Y.D.; Freiman, Z.; Peer, R.; Flaishman, M. The distinct ripening processes in the reproductive and non-reproductive parts of the fig syconium are driven by ABA. J. Exp. Bot. 2019, 70, 115–131. [Google Scholar] [CrossRef]
- Pérez-Bueno, M.L.; Pineda, M.; Díaz-Casado, E.; Barón, M. Spatial and temporal dynamics of primary and secondary metabolism in phaseolus vulgaris challenged by pseudomonas syringae. Physiol. Plant. 2015, 153, 161–174. [Google Scholar] [CrossRef]
- Tan, Y.X.; Li, M.J.; Yang, Y.L.; Sun, X.; Wang, N.; Liang, B.W.; Ma, F.W. Overexpression of MpCYS4, a phytocystatin gene from Malus prunifolia (Wind.) Borkh., enhances stomatal closure to confer drought tolerance in transgenic Arabidopsis and apple. Front. Plant Sci. 2017, 8, 33. [Google Scholar] [CrossRef]
- Chouj, D.; Karwowska, R.; Ciszewska, A.; Jasińska, M. Influence of long-term drought stress on osmolyte accumulation in sugar beet (Beta vulgaris L.) plants. Acta Physiol. Plant. 2008, 30, 679. [Google Scholar] [CrossRef]
- Müller, M.; Munné-Bosch, S. Rapid and sensitive hormonal profiling of complex plant samples by liquid chromatography cou-pled to electrospray ionization tandem mass spectrometry. Plant Methods 2011, 7, 37–48. [Google Scholar] [CrossRef]
- Zhou, C.; Zhu, L.; Guo, J.; Xiao, X.; Ma, Z.; Wang, J. Bacillus subtilis STU6 ameliorates iron deficiency in tomato by enhancement of polyamine-mediated iron remobilization. J. Agric. Food Chem. 2019, 67, 320–330. [Google Scholar] [CrossRef]
- Goodwin, A.M. Mineralized volcanic complexes in the Porcupine-Kirkland Lake-Noranda region, Canada. Econ. Geol. 1965, 60, 955–971. [Google Scholar] [CrossRef]
- Arnon, D.I. Copper enzymes in isolated chloroplasts. Plant Physiol. 1949, 24, 1–15. [Google Scholar] [CrossRef]
- Hedtke, B.; Alawady, A.; Chen, S.; Brnke, F.; Grimm, B. HEMA RNAi silencing reveals a control mechanism of ALA biosynthesis on Mg chelatase and Fe chelatase. Plant Mol. Biol. 2007, 64, 733–742. [Google Scholar] [CrossRef] [PubMed]
- Livak, K.J.; Schmittgen, T.D. Analysis of relative gene expression data using real-time quantitative PCR and the 2(-Delta Delta C(T)) Method. Methods Companion Methods Enzymol. 2001, 4, 25. [Google Scholar]












| Number | Treatment |
|---|---|
| CK | normal temperature + distilled water |
| CA | normal temperature + 25 mg·L−1 ALA |
| LT | low-temperature + distilled water |
| LTA | low-temperature + 25 mg·L−1 ALA |
| LT+ABA | low-temperature + 100 µM ABA |
| LT+ABAI | low-temperature + 100 µM fluridone |
Disclaimer/Publisher’s Note: The statements, opinions and data contained in all publications are solely those of the individual author(s) and contributor(s) and not of MDPI and/or the editor(s). MDPI and/or the editor(s) disclaim responsibility for any injury to people or property resulting from any ideas, methods, instructions or products referred to in the content. |
© 2023 by the authors. Licensee MDPI, Basel, Switzerland. This article is an open access article distributed under the terms and conditions of the Creative Commons Attribution (CC BY) license (https://creativecommons.org/licenses/by/4.0/).
Share and Cite
Kang, Z.; Zhang, Y.; Cai, X.; Zhang, Z.; Xu, Z.; Meng, X.; Li, X.; Hu, X. Crosstalk between 5-Aminolevulinic Acid and Abscisic Acid Adjusted Leaf Iron Accumulation and Chlorophyll Synthesis to Enhance the Cold Tolerance in Solanum lycopersicum Seedlings. Int. J. Mol. Sci. 2023, 24, 10781. https://doi.org/10.3390/ijms241310781
Kang Z, Zhang Y, Cai X, Zhang Z, Xu Z, Meng X, Li X, Hu X. Crosstalk between 5-Aminolevulinic Acid and Abscisic Acid Adjusted Leaf Iron Accumulation and Chlorophyll Synthesis to Enhance the Cold Tolerance in Solanum lycopersicum Seedlings. International Journal of Molecular Sciences. 2023; 24(13):10781. https://doi.org/10.3390/ijms241310781
Chicago/Turabian StyleKang, Zhen, Yong Zhang, Xiongchun Cai, Zhengda Zhang, Zijian Xu, Xiangguang Meng, Xiaojing Li, and Xiaohui Hu. 2023. "Crosstalk between 5-Aminolevulinic Acid and Abscisic Acid Adjusted Leaf Iron Accumulation and Chlorophyll Synthesis to Enhance the Cold Tolerance in Solanum lycopersicum Seedlings" International Journal of Molecular Sciences 24, no. 13: 10781. https://doi.org/10.3390/ijms241310781
APA StyleKang, Z., Zhang, Y., Cai, X., Zhang, Z., Xu, Z., Meng, X., Li, X., & Hu, X. (2023). Crosstalk between 5-Aminolevulinic Acid and Abscisic Acid Adjusted Leaf Iron Accumulation and Chlorophyll Synthesis to Enhance the Cold Tolerance in Solanum lycopersicum Seedlings. International Journal of Molecular Sciences, 24(13), 10781. https://doi.org/10.3390/ijms241310781
