The Role of Two Heart Biomarkers in IgA Nephropathy
Abstract
1. Introduction
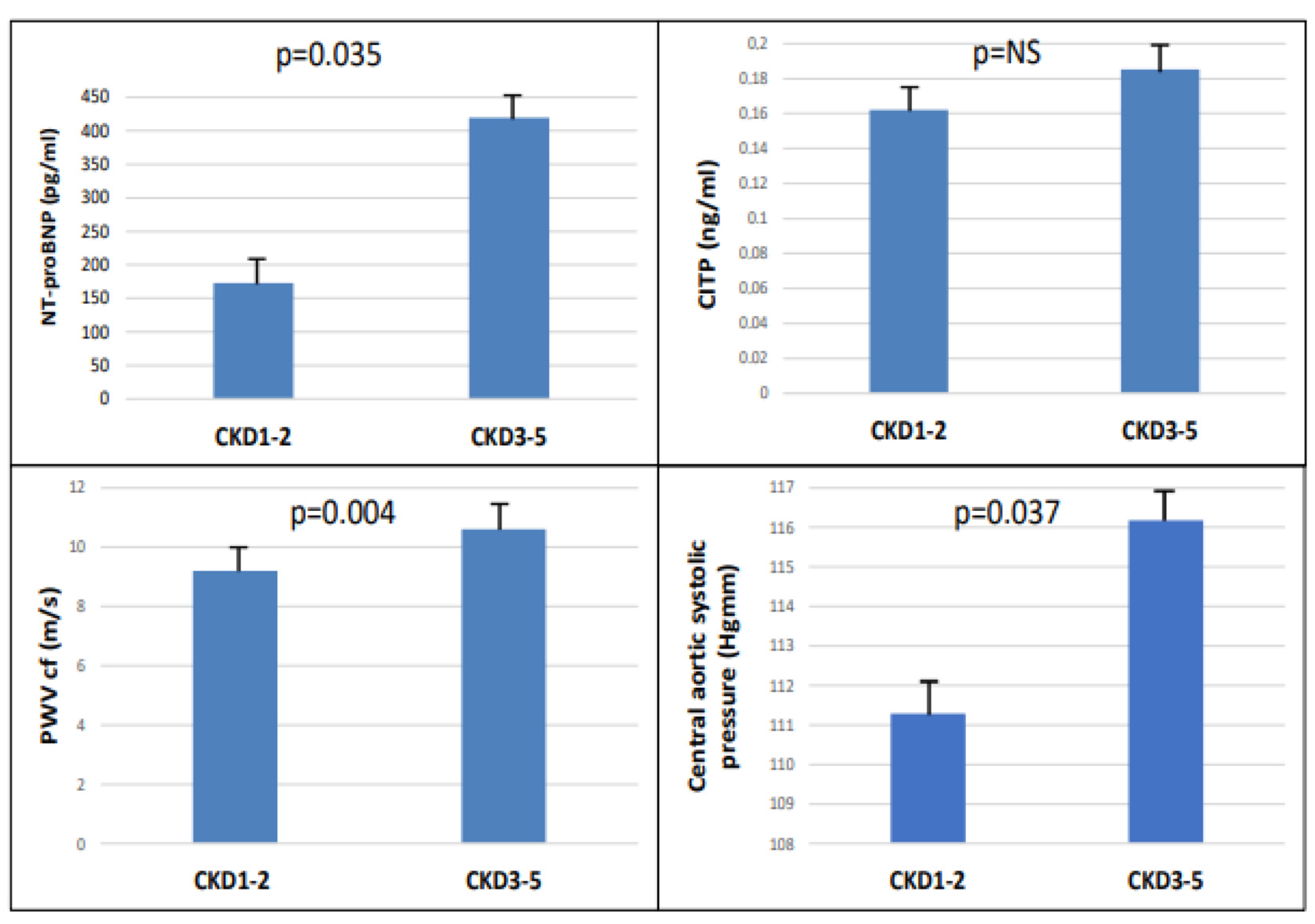
2. Results
3. Discussion
4. Materials and Methods
4.1. Biomarker Measurement
4.2. Arterial Stiffness Measurement
4.3. Echocardiographic Measurement
4.4. Statistical Analysis
5. Conclusions
Limitations of the Study
Author Contributions
Funding
Institutional Review Board Statement
Informed Consent Statement
Data Availability Statement
Acknowledgments
Conflicts of Interest
References
- Jha, V.; Garcia-Garcia, G.; Iseki, K.; Li, Z.; Naicker, S.; Plattner, B.; Saran, R.; Wang, A.Y.-M.; Yang, C.-W. Chronic kidney disease: Global dimension and perspectives. Lancet 2013, 382, 260–272. [Google Scholar] [CrossRef] [PubMed]
- Gansevoort, R.T.; Correa-Rotter, R.; Hemmelgarn, B.R.; Jafar, T.H.; Heerspink, H.J.L.; Mann, J.F.; Matsushita, K.; Wen, C.P. Chronic kidney disease and cardiovascular risk: Epidemiology, mechanisms, and prevention. Lancet 2013, 382, 339–352. [Google Scholar] [CrossRef] [PubMed]
- Kwon, C.S.; Daniele, P.; Forsythe, A.; Ngai, C. A Systematic Literature Review of the Epidemiology, Health-Related Quality of Life Impact, and Economic Burden of Immunoglobulin A Nephropathy. J. Health Econ. Outcomes Res. 2021, 8, 36–45. [Google Scholar] [CrossRef] [PubMed]
- Kouis, P.; Kousios, A.; Kanari, A.; Kleopa, D.; Papatheodorou, S.I.; Panayiotou, A.G. Association of non-invasive measures of subclinical atherosclerosis and arterial stiffness with mortality and major cardiovascular events in chronic kidney disease: Systematic review and meta-analysis of cohort studies. Clin. Kidney J. 2019, 13, 842–854. [Google Scholar] [CrossRef]
- Romero-González, G.; González, A.; López, B.; Ravassa, S.; Díez, J. Heart failure in chronic kidney disease: The emerging role of myocardial fibrosis. Nephrol. Dial. Transplant. 2022, 37, 817–824. [Google Scholar] [CrossRef]
- Mishra, R.K.; Li, Y.; Ricardo, A.C.; Yang, W.; Keane, M.; Cuevas, M.; Christenson, R.; DeFilippi, C.; Chen, J.; He, J.; et al. Association of N-Terminal Pro-B-Type Natriuretic Peptide With Left Ventricular Structure and Function in Chronic Kidney Disease (from the Chronic Renal Insufficiency Cohort [CRIC]). Am. J. Cardiol. 2013, 111, 432–438. [Google Scholar] [CrossRef]
- Defilippi, C.R.; Fink, J.C.; Nass, C.M.; Chen, H.; Christenson, R. N-Terminal Pro-B-Type Natriuretic Peptide for Predicting Coronary Disease and Left Ventricular Hypertrophy in Asymptomatic CKD Not Requiring Dialysis. Am. J. Kidney Dis. 2005, 46, 35–44. [Google Scholar] [CrossRef]
- Paoletti, E.; De Nicola, L.; Gabbai, F.B.; Chiodini, P.; Ravera, M.; Pieracci, L.; Marre, S.; Cassottana, P.; Lucà, S.; Vettoretti, S.; et al. Associations of left ventricular hypertrophy and 1986 Clinical Journal of the American Society of Nephrology geometry with adverse outcomes in patients with CKD and hypertension. Clin. J. Am. Soc. Nephrol. 2016, 11, 271–279. [Google Scholar] [CrossRef]
- Chen, S.-C.; Chang, J.-M.; Liu, W.-C.; Huang, J.-C.; Tsai, J.-C.; Lin, M.-Y.; Su, H.-M.; Hwang, S.-J.; Chen, H.-C. Echocardiographic parameters are independently associated with increased cardiovascular events in patients with chronic kidney disease. Nephrol. Dial. Transplant. 2012, 27, 1064–1070. [Google Scholar] [CrossRef]
- Eckardt, K.-U.; Scherhag, A.; Macdougall, I.C.; Tsakiris, D.; Clyne, N.; Locatelli, F.; Zaug, M.F.; Burger, H.U.; Drueke, T.B. Left Ventricular Geometry Predicts Cardiovascular Outcomes Associated with Anemia Correction in CKD. J. Am. Soc. Nephrol. 2009, 20, 2651–2660. [Google Scholar] [CrossRef]
- Kim, S.J.; Han, S.H.; Park, J.T.; Kim, J.-K.; Oh, H.J.; Yoo, D.E.; Yoo, T.-H.; Kang, S.-W.; Choi, K.H. Left atrial volume is an independent predictor of mortality in CAPD patients. Nephrol. Dial. Transplant. 2011, 26, 3732–3739. [Google Scholar] [CrossRef]
- Scheven, L.; de Jong, P.E.; Hillege, H.L.; Heerspink, H.J.L.; van Pelt, L.J.; Kootstra, J.E.; Bakker, S.J.; Gansevoort, R.T.; for the PREVEND study group. High-sensitive troponin T and N-terminal pro-B type natriuretic peptide are associated with cardiovascular events despite the cross-sectional association with albuminuria and glomerular filtration rate. Eur. Heart J. 2012, 33, 2272–2281. [Google Scholar] [CrossRef]
- Matsushita, K.; Sang, Y.; Ballew, S.H.; Astor, B.C.; Hoogeveen, R.C.; Solomon, S.D.; Ballantyne, C.M.; Woodward, M.; Coresh, J. Cardiac and Kidney Markers for Cardiovascular Prediction in Individuals with Chronic Kidney Disease: The Atherosclerosis Risk in Communities study. Arter. Thromb. Vasc. Biol. 2014, 34, 1770–1777. [Google Scholar] [CrossRef]
- Bansal, N.; Anderson, A.H.; Yang, W.; Christenson, R.H.; Defilippi, C.R.; Deo, R.; Dries, D.L.; Go, A.S.; He, J.; Kusek, J.W.; et al. High-Sensitivity Troponin T and N-Terminal Pro-B-Type Natriuretic Peptide (NT-proBNP) and Risk of Incident Heart Failure in Patients with CKD: The Chronic Renal Insufficiency Cohort (CRIC) Study. J. Am. Soc. Nephrol. 2015, 26, 946–956. [Google Scholar] [CrossRef]
- Eiros, R.; Romero-González, G.; Gavira, J.J.; Beloqui, O.; Colina, I.; Landecho, M.F.; López, B.; González, A.; Díez, J.; Ravassa, S. Does Chronic Kidney Disease Facilitate Malignant Myocardial Fibrosis in Heart Failure with Preserved Ejection Fraction of Hypertensive Origin? J. Clin. Med. 2020, 9, 404. [Google Scholar] [CrossRef]
- Querejeta, R.; Varo, N.; López, B.; Larman, M.; Artiñano, E.; Etayo, J.C.; Ubago, J.L.M.; Gutierrez-Stampa, M.; Emparanza, J.I.; Gil, M.J.; et al. Serum Carboxy-Terminal Propeptide of Procollagen Type I Is a Marker of Myocardial Fibrosis in Hypertensive Heart Disease. Circulation 2000, 101, 1729–1735. [Google Scholar] [CrossRef]
- Townsend, R.R. Arterial Stiffness in CKD: A Review. Am. J. Kidney Dis. 2019, 73, 240–247. [Google Scholar] [CrossRef]
- Késői, I.; Sági, B.; Tóth, O.I.; Vas, T.; Fazekas, A.; Kovács, T.; Pintér, T.; Wittmann, I.; Nagy, J. Different Effect of IgA Nephropathy and Polycystic Kidney Disease on Arterial Stiffness. Kidney Blood Press. Res. 2011, 34, 158–166. [Google Scholar] [CrossRef]
- Sági, B.; Késői, I.; Késői, B.; Vas, T.; Csiky, B.; Kovács, T.; Nagy, J. Arterial stiffness may predict renal and cardiovascular prognosis in autosomal-dominant polycystic kidney disease. Physiol. Int. 2018, 105, 145–156. [Google Scholar] [CrossRef]
- Ohno, Y.; Kanno, Y.; Takenaka, T. Central blood pressure and chronic kidney disease. World J. Nephrol. 2016, 5, 90–100. [Google Scholar] [CrossRef]
- Vickery, S.; Price, C.P.; John, R.I.; Abbas, N.A.; Webb, M.C.; Kempson, M.E.; Lamb, E.J. B-Type Natriuretic Peptide (BNP) and Amino-Terminal proBNP in Patients With CKD: Relationship to Renal Function and Left Ventricular Hypertrophy. Am. J. Kidney Dis. 2005, 46, 610–620. [Google Scholar] [CrossRef] [PubMed]
- Untersteller, K.; Girerd, N.; Duarte, K.; Rogacev, K.S.; Seiler-Mussler, S.; Fliser, D.; Rossignol, P.; Heine, G.H. NT-proBNP and Echocardiographic Parameters for Prediction of Cardiovascular Outcomes in Patients with CKD Stages G2–G4. Clin. J. Am. Soc. Nephrol. 2016, 11, 1978–1988. [Google Scholar] [CrossRef]
- Stakos, D.A.; Tziakas, D.N.; Chalikias, G.K.; Mitrousi, K.; Tsigalou, C.; Boudoulas, H. Associations Between Collagen Synthesis and Degradation and Aortic Function in Arterial Hypertension. Am. J. Hypertens. 2010, 23, 488–494. [Google Scholar] [CrossRef] [PubMed]
- Chatzikyriakou, S.V.; Tziakas, D.N.; Chalikias, G.K.; Stakos, D.A.; Thomaidi, A.K.; Mitrousi, K.; Lantzouraki, A.E.; Kotsiou, S.; Maltezos, E.; Boudoulas, H. Serum levels of collagen type-I degradation markers are associated with vascular stiffness in chronic heart failure patients. Eur. J. Heart Fail. 2008, 10, 1181–1185. [Google Scholar] [CrossRef] [PubMed]
- Mall, G.; Huther, W.; Schneider, J.; Lundin, P.; Ritz, E. Diffuse Intermyocardiocytic Fibrosis in Uraemic Patients. Nephrol. Dial. Transplant. 1990, 5, 39–44. [Google Scholar] [CrossRef] [PubMed]
- Charytan, D.M.; Padera, R.; Helfand, A.M.; Zeisberg, M.; Xu, X.; Liu, X.; Himmelfarb, J.; Cinelli, A.; Kalluri, R.; Zeisberg, E.M. Increased concentration of circulating angiogenesis and nitric oxide inhibitors induces endothelial to mesenchymal transition and myocardial fibrosis in patients with chronic kidney disease. Int. J. Cardiol. 2014, 176, 99–109. [Google Scholar] [CrossRef]
- Izumaru, K.; Hata, J.; Nakano, T.; Nakashima, Y.; Nagata, M.; Fukuhara, M.; Oda, Y.; Kitazono, T.; Ninomiya, T. Reduced Estimated GFR and Cardiac Remodeling: A Population-Based Autopsy Study. Am. J. Kidney Dis. 2019, 74, 373–381. [Google Scholar] [CrossRef]
- Frangogiannis, N.G.; Frodermann, V.; Nahrendorf, M.; Zhabyeyev, P.; Das, S.K.; Basu, R.; Shen, M.; Patel, V.B.; Kassiri, Z.; Oudit, G.Y.; et al. Matricellular Proteins in Cardiac Adaptation and Disease. Physiol. Rev. 2012, 92, 635–688. [Google Scholar] [CrossRef] [PubMed]
- Evangelista, A.; Flachskampf, F.; Lancellotti, P.; Badano, L.; Aguilar, R.; Monaghan, M.; Zamorano, J.; Nihoyannopoulos, P.; on behalf of the European Association of Echocardiography. European Association of Echocardiography recommendations for standardization of performance, digital storage and reporting of echocardiographic studies. Eur. J. Echocardiogr. 2008, 9, 438–448. [Google Scholar] [CrossRef]
- Troughton, R.W.; Frampton, C.M.; Yandle, T.G.; Espine, E.A.; Nicholls, M.G.; Richards, A.M. Treatment of heart failure guided by plasma aminoterminal brain natriuretic peptide (N-BNP) concentrations. Lancet 2000, 355, 1126–1130. [Google Scholar] [CrossRef]
- Berger, R.; Moertl, D.; Peter, S.; Ahmadi, R.; Huelsmann, M.; Yamuti, S.; Wagner, B.; Pacher, R. N-Terminal Pro–B-Type Natriuretic Peptide–Guided, Intensive Patient Management in Addition to Multidisciplinary Care in Chronic Heart Failure: A 3-Arm, Prospective, Randomized Pilot Study. J. Am. Coll. Cardiol. 2010, 55, 645–653. [Google Scholar] [CrossRef]
- Ledwidge, M.; Gallagher, J.; Conlon, C.; Tallon, E.; O’connell, E.; Dawkins, I.; Watson, C.; O’hanlon, R.; Bermingham, M.; Patle, A.; et al. Natriuretic Peptide–Based Screening and Collaborative Care for Heart Failure: The STOP-HF randomized trial. JAMA 2013, 310, 66–74. [Google Scholar] [CrossRef]
- Savarese, G.; Trimarco, B.; Dellegrottaglie, S.; Prastaro, M.; Gambardella, F.; Rengo, G.; Leosco, D.; Perrone-Filardi, P. Natriuretic Peptide-Guided Therapy in Chronic Heart Failure: A Meta-Analysis of 2,686 Patients in 12 Randomized Trials. PLoS ONE 2013, 8, e58287. [Google Scholar] [CrossRef]
- Liang, H.-Y.; Hsiao, Y.-L.; Yeh, H.-C.; Ting, I.-W.; Lin, C.-C.; Chiang, H.-Y.; Kuo, C.-C. Associations between Myocardial Diastolic Dysfunction and Cardiovascular Mortality in Chronic Kidney Disease: A Large Single-Center Cohort Study. J. Am. Soc. Echocardiogr. 2021, 35, 395–407. [Google Scholar] [CrossRef]
- London, G.M. Left ventricular alterations and end-stage renal disease. Nephrol. Dial. Transplant. 2002, 17, 29–36. [Google Scholar] [CrossRef]
- Levin, A.; Singer, J.; Thompson, C.R.; Ross, H.; Lewis, M. Prevalent left ventricular hypertrophy in the predialysis population: Identifying opportunities for intervention. Am. J. Kidney Dis. 1996, 27, 347–354. [Google Scholar] [CrossRef]
- Tyralla, K.; Amann, K. Morphology of the heart and arteries in renal failure. Kidney Int. Suppl. 2003, 63, S80–S83. [Google Scholar] [CrossRef]
- Díez, J.; Laviades, C. Hypertensive heart disease in the patient with chronic kidney disease. Nefrologia 2008, 28, 135–142. [Google Scholar]
- López, B.; González, A.; Hermida, N.; Laviades, C.; Díez, J. Myocardial fibrosis in chronic kidney disease: Potential benefits of torasemide. Kidney Int. Suppl. 2008, 74, S19–S23. [Google Scholar] [CrossRef] [PubMed]
- Glassock, R.J.; Pecoits-Filho, R.; Barberato, S.H. Left Ventricular Mass in Chronic Kidney Disease and ESRD. Clin. J. Am. Soc. Nephrol. 2009, 4 (Suppl. S1), S79–S91. [Google Scholar] [CrossRef] [PubMed]




| Clinical Data | All Patients (n = 90) | CKD 1-2 (n = 42) | CKD 3-5 (n = 48) | p |
|---|---|---|---|---|
| Male/female (n, %) | 50/40 (56/44) | 25/17 (60/40) | 25/23 (52/48) | NS |
| Age (year) | 54.92 ± 14.47 | 49.69 ± 14.80 | 59.68 ± 12.69 | <0.001 |
| Systolic/diastolic blood pressure (Hgmm) | 124/78 ± 13/8 | 122/77 ± 14/8 | 125/78 ± 13/7 | NS |
| cfPWV (m/s) | 9.9 ± 2.33 | 9.2 ± 2.18 | 10.6 ± 2.29 | 0.004 |
| Augmentation index (%) | 26.5 ± 13.68 | 25.7 ± 15.74 | 27.9 ± 11.63 | NS |
| Aortic PP (Hgmm) | 38.4 ± 6.99 | 35.0 ± 3.46 | 43.5 ± 7.94 | NS |
| Aortic Pressure (Hgmm) | 113.88 ± 12.8 | 111.33 ± 13,01 | 117.02 ± 12.72 | 0.044 |
| Biomarkers | ||||
| NT-proBNP (pg/mL) | 256.22 ± 404.72 | 173.22 ± 382.22 | 419.03 ± 775.07 | 0.035 |
| CITP (ng/mL) | 0.185 ± 0.21 | 0.162 ± 0.13 | 0.185 ± 0.25 | NS |
| Metabolic parameters | ||||
| BMI (kg/m2) | 28.51 ± 5.75 | 27.57 ± 5.21 | 29.34 ± 6.17 | NS |
| Obesity (n, %) | 60 (67) | 25 (60) | 35 (73) | NS |
| Hypertension (n, %) | 78 (87) | 28 (67) | 43 (90) | 0.005 |
| Diabetes mellitus (n, %) | 16 (18) | 3 (7) | 12 (25) | 0.013 |
| Dyslipidemia (n, %) | 32 (36) | 16 (38) | 16 (33) | NS |
| Metabolic syndrome (n, %) | 66 (73) | 16 (38) | 23 (48) | NS |
| Echocardiographic parameters | ||||
| LV EF(%) | 63.42 ± 5.86 | 65.25 ± 5.39 | 63.18 ± 6.02 | NS |
| LVMI (g/m2) | 102.76 ± 27.8 | 100.63 ± 22.37 | 111.07 ± 23.21 | 0.022 |
| LVM (g) | 214.68 ± 62.2 | 234.4 ± 75.6 | 238.0 ± 51.26 | NS |
| RWT | 0.436 ± 0.07 | 0.468 ± 0.08 | 0.472 ± 0.07 | NS |
| LVH (n, %) | 41 (45) | 16 (38) | 25 (52) | NS |
| DD (n/%) | 44 (49) | 18 (43) | 26 (54) | NS |
| E/A | 1.03 ± 0.38 | 1.11 ± 0.39 | 0.98 ± 0.37 | NS |
| Laboratory results | ||||
| eGFR (mL/min) | 47.57 ± 23.24 | 72.61 ± 7.11 | 34.5 ± 16.32 | <0.001 |
| MAU (mg/L) | 247.62 ± 312.78 | 111.32 ± 204.06 | 341.63 ± 345.01 | <0.001 |
| Uric acid (umol/L) | 314.23 ± 83.72 | 300.79 ± 61.4 | 326.38 ± 98.92 | NS |
| Total cholesterol (mmol/L) | 4.93 ± 1.31 | 4.98 ± 1.36 | 4.89 ± 1.3 | NS |
| HDL (mmol/L) | 1.34 ± 0.42 | 1.42 ± 0.43 | 1.28 ± 0.41 | NS |
| LDL (mmol) | 2.90 ± 1.14 | 2.94 ± 1.21 | 2.85 ± 1.09 | NS |
| TG (mmol) | 1.85 ± 1.36 | 1.73 ± 1.47 | 1.97 ± 1.27 | NS |
| Hb (g/dL) | 133.71 ± 28.68 | 144.16 ± 14.47 | 124.88 ± 34.65 | 0.001 |
| eGFR | LVMI | Aortic PP | Central Aortic Systolic Pressure | PWVcf | Hb | |||||||
|---|---|---|---|---|---|---|---|---|---|---|---|---|
| r | p | r | p | r | p | r | p | r | p | r | p | |
| NT-proBNP | −0.428 | <0.001 | 0.354 | <0.01 | 0.409 | <0.001 | 0.325 | <0.01 | 0.469 | 0.034 | 0.242 | 0.001 |
| CITP | 0.048 | NS | 0.295 | <0.01 | 0.478 | <0.01 | 0.152 | NS | 0.312 | 0.011 | 0.102 | NS |
| UNIVARIATE | MULTIVARIATE | |||||||||||||
|---|---|---|---|---|---|---|---|---|---|---|---|---|---|---|
| Parameter | B | Std. Error | Beta | t | p | Lower Bound 95% CI | Upper Bound 95% CI | B | Std. Error | Beta | t | p | Lower Bound 95% CI | Upper Bound 95% CI |
| Age | 4.768 | 0.719 | 0.577 | 6.632 | 0.001 | 3.339 | 6.196 | −1.819 | 2.789 | −0.220 | −0.652 | 0.517 | −7.391 | 3.753 |
| Gender | 159.748 | 64.864 | 0.254 | 2.463 | 0.016 | 30.844 | 288.652 | −228.633 | 73.573 | −0.363 | −3.108 | 0.003 | −375.612 | −81.654 |
| HT | 268.648 | 44.819 | 0.543 | 5.994 | 0.001 | 179.551 | 357.744 | 23.082 | 126.902 | 0.047 | 0.182 | 0.856 | −230.434 | 276.598 |
| DM | 267.687 | 115.015 | 0.243 | 2.327 | 0.022 | 39.046 | 496.328 | −19.403 | 102.033 | −0.018 | −0.190 | 0.850 | −223.239 | 184.432 |
| BMI | 8.618 | 1.470 | 0.534 | 5.862 | 0.001 | 5.695 | 11.540 | −5.238 | 6.455 | −0.325 | −0.811 | 0.420 | −18.134 | 7.658 |
| Dyslipidemia | 130.828 | 95.219 | 0.148 | 1.374 | 0.173 | −58.525 | 320.182 | −166.289 | 82.867 | −0.188 | −2.007 | 0.049 | −331.834 | −0.743 |
| eGFR | 2.614 | 0.774 | 0.344 | 3.375 | 0.001 | 1.074 | 4.154 | −5.673 | 1.527 | −0.746 | −3.715 | 0.001 | −8.723 | −2.622 |
| MAU | 0.453 | 0.123 | 0.385 | 3.688 | 0.001 | 0.208 | 0.697 | −0.130 | 0.138 | −0.111 | −0.944 | 0.349 | −0.406 | 0.145 |
| PWVao | 30.825 | 5.149 | 0.549 | 5.987 | 0.001 | 20.584 | 41.065 | 14.585 | 18.203 | 0.260 | 0.801 | 0.426 | −21.779 | 50.949 |
| DD | 196.064 | 41.935 | 0.461 | 4.675 | 0.001 | 112.626 | 279.502 | 62.255 | 92.598 | 0.146 | 0.672 | 0.504 | −122.731 | 247.241 |
| LVMI | 2.665 | 0.370 | 0.623 | 7.206 | 0.001 | 1.929 | 3.401 | 7.725 | 1.513 | 1.805 | 5.107 | 0.001 | 4.703 | 10.748 |
| UNIVARIATE | MULTIVARIATE | |||||||||||||
|---|---|---|---|---|---|---|---|---|---|---|---|---|---|---|
| Parameter | B | Std. Error | Beta | t | p | Lower Bound 95% CI | Upper Bound 95% CI | B | Std. Error | Beta | t | p | Lower Bound 95% CI | Upper Bound 95% CI |
| Age | 0.003 | 0.001 | 0.638 | 6.980 | 0.001 | 0.002 | 0.004 | 0.001 | 0.002 | 0.242 | 0.556 | 0.580 | −0.003 | 0.006 |
| Gender | 0.157 | 0.041 | 0.416 | 3.857 | 0.001 | 0.076 | 0.238 | −0.065 | 0.057 | −0.172 | −1.143 | 0.258 | −0.179 | 0.049 |
| HT | 0.182 | 0.028 | 0.616 | 6.537 | 0.001 | 0.127 | 0.238 | 0.037 | 0.098 | 0.125 | 0.379 | 0.706 | −0.159 | 0.234 |
| DM | 0.155 | 0.076 | 0.235 | 2.020 | 0.047 | 0.002 | 0.307 | −0.010 | 0.079 | −0.015 | −0.123 | 0.903 | −0.168 | 0.148 |
| BMI | 0.006 | 0.001 | 0.625 | 6.704 | 0.001 | 0.004 | 0.008 | −0.002 | 0.005 | −0.256 | −0.496 | 0.622 | −0.012 | 0.008 |
| Dyslipdemia | 0.165 | 0.061 | 0.312 | 2.687 | 0.009 | 0.042 | 0.287 | −0.044 | 0.064 | −0.083 | −0.685 | 0.496 | −0.172 | 0.084 |
| eGFR | 0.003 | 0.001 | 0.609 | 6.329 | 0.001 | 0.002 | 0.004 | 0.001 | 0.001 | 0.172 | 0.664 | 0.509 | −0.002 | 0.003 |
| MAU | 0.001 | 0.001 | 0.370 | 3.191 | 0.002 | 0.001 | 0.000 | <−0.001 | 0.000 | −0.008 | −0.054 | 0.957 | 0.001 | 0.001 |
| PWVao | 0.021 | 0.003 | 0.615 | 6.379 | 0.001 | 0.014 | 0.027 | −0.016 | 0.014 | −0.479 | −1.146 | 0.257 | −0.044 | 0.012 |
| DD | 0.164 | 0.024 | 0.645 | 6.866 | 0.001 | 0.117 | 0.212 | 0.111 | 0.072 | 0.435 | 1.549 | 0.127 | −0.033 | 0.254 |
| LVMI | 0.002 | 0.001 | 0.655 | 7.154 | 0.001 | 0.001 | 0.002 | 0.002 | 0.001 | 0.656 | 1.438 | 0.156 | −0.001 | 0.004 |
Disclaimer/Publisher’s Note: The statements, opinions and data contained in all publications are solely those of the individual author(s) and contributor(s) and not of MDPI and/or the editor(s). MDPI and/or the editor(s) disclaim responsibility for any injury to people or property resulting from any ideas, methods, instructions or products referred to in the content. |
© 2023 by the authors. Licensee MDPI, Basel, Switzerland. This article is an open access article distributed under the terms and conditions of the Creative Commons Attribution (CC BY) license (https://creativecommons.org/licenses/by/4.0/).
Share and Cite
Sági, B.; Vas, T.; Jakabfi-Csepregi, R.; Horváth-Szalai, Z.; Kőszegi, T.; Csiky, B.; Nagy, J.; Kovács, T.J. The Role of Two Heart Biomarkers in IgA Nephropathy. Int. J. Mol. Sci. 2023, 24, 10336. https://doi.org/10.3390/ijms241210336
Sági B, Vas T, Jakabfi-Csepregi R, Horváth-Szalai Z, Kőszegi T, Csiky B, Nagy J, Kovács TJ. The Role of Two Heart Biomarkers in IgA Nephropathy. International Journal of Molecular Sciences. 2023; 24(12):10336. https://doi.org/10.3390/ijms241210336
Chicago/Turabian StyleSági, Balázs, Tibor Vas, Rita Jakabfi-Csepregi, Zoltán Horváth-Szalai, Tamás Kőszegi, Botond Csiky, Judit Nagy, and Tibor József Kovács. 2023. "The Role of Two Heart Biomarkers in IgA Nephropathy" International Journal of Molecular Sciences 24, no. 12: 10336. https://doi.org/10.3390/ijms241210336
APA StyleSági, B., Vas, T., Jakabfi-Csepregi, R., Horváth-Szalai, Z., Kőszegi, T., Csiky, B., Nagy, J., & Kovács, T. J. (2023). The Role of Two Heart Biomarkers in IgA Nephropathy. International Journal of Molecular Sciences, 24(12), 10336. https://doi.org/10.3390/ijms241210336

