Next Article in Journal
SDS-PAGE-Based Quantitative Assay of Hemolymph Proteins in Honeybees: Progress and Prospects for Field Application
Next Article in Special Issue
Synthetic Study of Natural Metabolites Containing a Benzo[c]oxepine Skeleton: Heterocornol C and D
Previous Article in Journal
Maintaining Genome Integrity: Protein Kinases and Phosphatases Orchestrate the Balancing Act of DNA Double-Strand Breaks Repair in Cancer
Previous Article in Special Issue
Synthesis and hLDH Inhibitory Activity of Analogues to Natural Products with 2,8-Dioxabicyclo[3.3.1]nonane Scaffold
 
 
Font Type:
Arial Georgia Verdana
Font Size:
Aa Aa Aa
Line Spacing:
Column Width:
Background:
Article

A New, Convenient Way to Fully Substituted α,β-Unsaturated γ-Hydroxy Butyrolactams

by
Alexander V. Aksenov
*,
Dmitrii A. Aksenov
,
Igor A. Kurenkov
,
Alexander V. Leontiev
and
Nicolai A. Aksenov
Department of Chemistry, North Caucasus Federal University, 1a Pushkin St., 355009 Stavropol, Russia
*
Author to whom correspondence should be addressed.
Int. J. Mol. Sci. 2023, 24(12), 10213; https://doi.org/10.3390/ijms241210213
Submission received: 31 May 2023 / Revised: 13 June 2023 / Accepted: 13 June 2023 / Published: 16 June 2023
(This article belongs to the Special Issue Development and Synthesis of Biologically Active Compounds)

Abstract

The synthesis of novel, highly functionalized 5-hydroxy 3-pyrrolin-2-ones via a two-step procedure involving an addition reaction between KCN and corresponding chalcones, followed by ring condensation of the obtained β-cyano ketones with het(aryl)aldehydes under basic conditions is described. This protocol enables the preparation of various 3,5-di-aryl/heteroaryl-4-benzyl substituted α,β-unsaturated γ-hydroxy butyrolactams, which are subjects of significant interest to synthetic organic and medicinal chemistry.

Graphical Abstract

1. Introduction

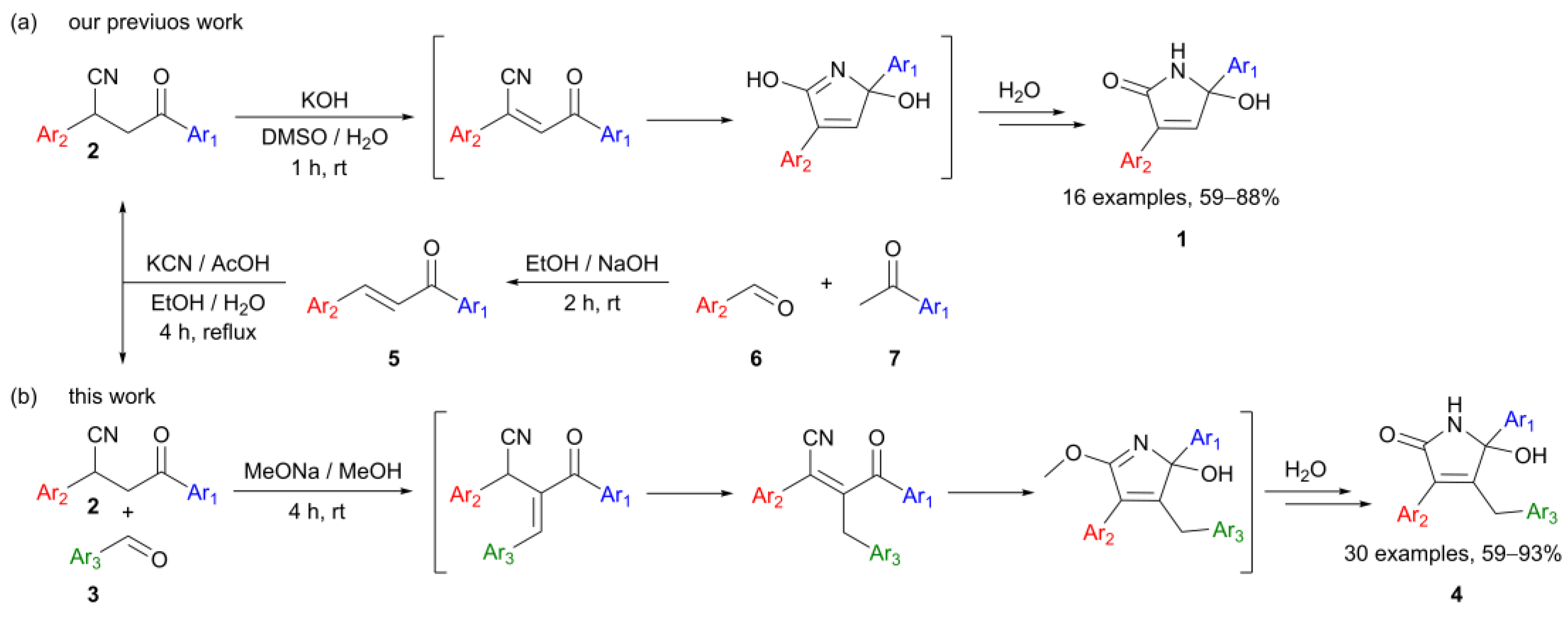
Recently, we reported [1] the synthesis of a variety of 3,5-diaryl substituted 5-hydroxy 3-pyrrolin-2-ones 1 (referred therein for simplicity as γ-hydroxy-γ-lactams, γ-hydroxy butyrolactams or γ-hydroxy lactams) from readily available 3-cyanoketones 2 through a base-assisted intramolecular cyclization (Scheme 1a). As a continuation of this work, we envisioned that the core of those α,β-unsaturated γ-hydroxy lactams could be easily functionalized further at the C4-position by introducing into the reaction mixture a non-enolizable aldehyde 3 as an electrophilic component (Scheme 1b). In this case, in a similar manner to that described for the preparation of γ-hydroxy butenolides [2], an aldol condensation followed by double-bond isomerization and a base catalyzed cyclization should happen in one pot affording corresponding 3,4,5-trisubstituted 5-hydroxy-3-pyrrolin-2-ones 4. Such highly functionalized γ-hydroxy butyrolactams, being an important subclass of 3-pyrrolin-2-ones [3,4], were found in the large number of biologically active natural products [5] either as simple heterocycles or as a part of more complex systems, including fused polycyclic ones. On the other hand, in addition to a hydroxyl group at the C5 quaternary carbon center, the skeleton of the herein-described lactams bears unsubstituted NH and conjugated enone moieties, meaning that these compounds can still be conveniently modified further [1,6] and, therefore, serve as useful synthetic intermediates in the preparation of other heterocyclic structures possessing interesting pharmacological properties.
It should be noticed that while numerous synthetic approaches to 5-hydroxy-3-pyrrolin-2-one derivatives have been reported [7,8,9,10,11,12], to our best knowledge, to date, there are just a few methods leading to 3,5-diaryl substituted γ-hydroxy butyrolactams 1 [1,13,14], and none that would afford the herein-described 3,5-di-aryl/heteroaryl-4-benzyl pattern. Thus, the developed procedures greatly expand the chemical space [15] of available 5-hydroxy 3-pyrrolin-2-ones which, in turn, could be used among other things for a convenient access to other heterocyclic systems [16].

2. Results and Discussion

By the time we embarked on this project, well-functioning reaction conditions (KOH/DMSO/H2O, rt, 1 h) for the ring closure of β-ketonitriles 2 to 3,5 disubstituted γ-hydroxy lactams 1 had been established [1]. Additionally, the feasibility of preparation of 3,4,5-trisubstituted lactams 4 (Scheme 1b) was demonstrated earlier [16] with indole-4-carbaldehyde as a non-enolizable carbonyl component 3 (Scheme 2). Still, the scope and limitations of the proposed method as well as optimized conditions for the expected cascade transformation—aldol condensation, double bond isomerization and successive cyclization—were yet to be found. Therefore, a number of experiments probing the effects of solvents, bases, concentrations and reaction time were carried out (Table 1).
As can be seen above, the highest yield was achieved through simple stirring of the staring materials in methanol at room temperature for 4 h in the presence of a 4-fold excess of sodium methoxide (entry 1). The latter can be reduced to just one equivalent (entry 3), although at the expense of the reaction time (28 vs. 4 h). Additionally, it seems that the given combination—4 equiv. of MeONa in methanol—is superior both in terms of yields and experiment duration to the other studied systems (entries 5–12) utilizing different bases or/and solvents. This result is in agreement with our previous finding [16] where the herein-discussed synthetic methodology towards highly functionalized γ-hydroxy lactams were used to construct the LSD-like polycyclic indoles (Scheme 2).
Thus, with the optimized reaction conditions in hand, we synthesized a focused, 30-substance-strong collection of novel 3,5-diaryl/heteroaryl-4-benzyl substituted 5-hydroxy 3-pyrrolin-2-ones 4 (Table 2 and Scheme 3). Its distinguished features are its generally good yields (59–93%) and its versatility in regard to the starting (hetero)aromatic aldehydes 3 and β-ketonitriles 2. The latter can be conveniently prepared [1,2] from the corresponding substituted chalcones 5 which in turn are the products of typical cross aldol condensation between aldehydes 6 and acetophenones 7 (Scheme 1).
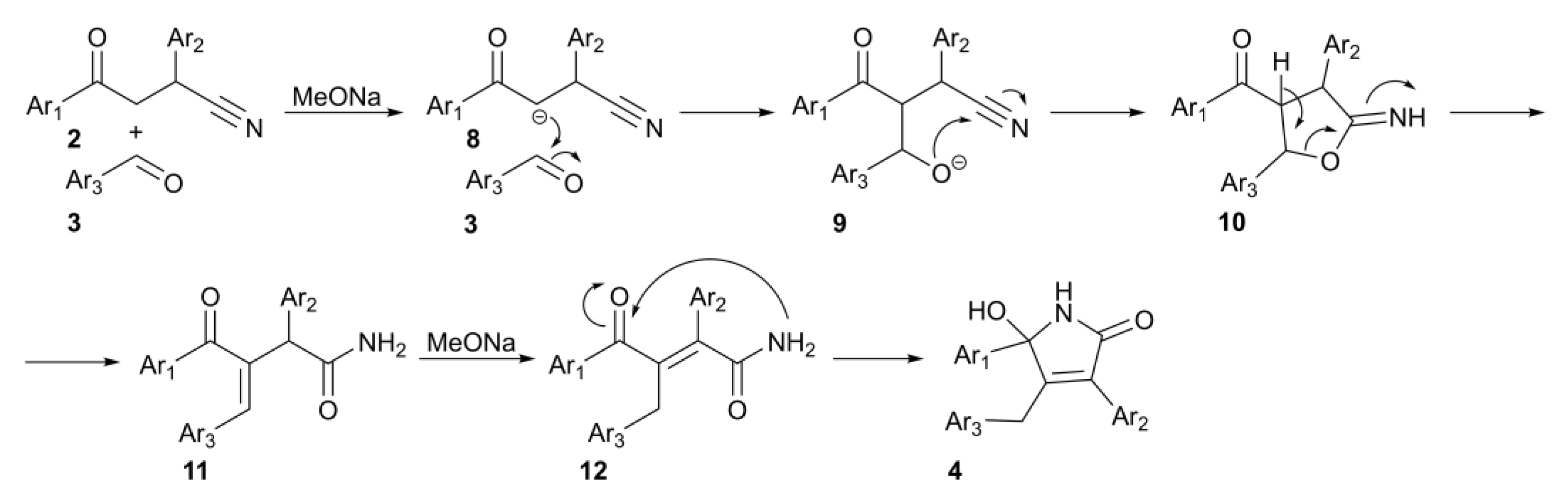
As for a mechanism of this cascade transformation, we assume it (Scheme 4) likely runs through the deprotonation of a cyanoketone 2 to a corresponding enolate 8, that reacts further with an aldehyde 3 to give an intermediate 9. The following intramolecular cycloaddition of the alkoxide ion into the nitrile group leads to an iminofuran 10. The latter undergoes the ring-opening reaction to give chalcone 11, which in turn under basic conditions is easily isomerized to an acrylamide 12. The nucleophilic attack of the amide group at the carbonyl carbon furnishes target lactams 4.
In addition, we tried to run this reaction with a non-aromatic enolizable aldehyde, bearing an α-protons. For certain reasons, first we took the d-glucose 13, and a γ-hydroxy lactam 4 indeed was obtained but not the one we expected (Scheme 5a).
It looks like the d-glucose served as a synthetic analog of glycolaldehyde. To address this observation, we propose the following mechanism (Scheme 5b) that in fact is very similar to that of Scheme 4. Thus, the condensation of a ketonitrile 2 with the glucose 13 gives an intermediate 14 which should further form an iminofuran 15. At this stage, opposite to that shown in the Scheme 4, the ring opening of 15 is accompanied not by the elimination of a proton but by the loss of d-eritrose 17 fragment. Further transformation of 18 to 19 ends up eventually in the observed, seemingly unusual product 4-(2-OHCH2CH2). It should be noticed that the examples of glucose cleavage to glycolaldehyde and other small oxygenates, although in the rather harsh conditions (thermal cracking, hydrothermal pyrolysis, supercritical water, etc.), are known [17,18,19]; however, to our best knowledge, no precedents of such a transformation in a mild basic media have been reported. On the other hand, none of our attempts to use other aliphatic aldehydes as butyraldehyde, isobutyraldehyde and octanal were successful, probably due to the preferential self-condensation of the latter.

3. Materials and Methods

3.1. General Information

NMR spectra, 1H, 13C and 19F were measured in solutions of CDCl3 or DMSO-d6 on a Bruker AVANCE-III HD instrument (at 400, 101 and 376 MHz, respectively). Residual solvent signals were used as internal standards, in DMSO-d6 (2.50 ppm for 1H, and 40.45 ppm for 13C nuclei) or in CDCl3 (7.26 ppm for 1H, and 77.16 ppm for 13C nuclei). HRMS spectra was measured on a Bruker maXis impact (electrospray ionization, in MeCN solutions, employing HCO2Na–HCO2H for calibration). IR spectra was measured on an FT-IR spectrometer Shimadzu IRAffinity-1S equipped with an ATR sampling module. See Supplementary Materials for NMR (Figures S1–S73) spectral charts. Reaction progress, purity of isolated compounds, and Rf values were monitored with TLC on Silufol UV-254 plates. Column chromatography was performed on silica gel (32–63 μm, 60 Å pore size). Melting points were measured with Stuart SMP30 apparatus. All 3-cyanoketones 2 and chalcones 5 except 5ce, 5df, 5de, 2ce, 2df and 2de were synthesized according to the previously reported procedures and were identical to those described [1]. All reagents and solvents were purchased from commercial venders and used as received.

3.2. Preparation of Chalcones 5ce, 5df and 5de (General Procedure)

These compounds were prepared in analogy to the method described in [2]. The corresponding substituted benzaldehyde 6 (5.00 mmol) and acetophenone 7 (5.00 mmol) were dissolved in 5 mL of 96% ethanol then treated with 10% aqueous NaOH solution (0.2 mL). The mixture was stirred at room temperature for 2–4 h (TLC control) then concentrated in vacuo and crude material was purified by column chromatography (EtOAc/Hexane, v/v).
(E)-3-(4-Ethylphenyl)-1-(4-methoxyphenyl)prop-2-en-1-one (5ce): this compound was prepared employing 1-(4-methoxyphenyl)ethanone (750 mg, 5.00 mmol) and 4-ethylbenzaldehyde (670 mg, 5.00 mmol) in a yield of 891 mg (3.35 mmol, 67%). Purification was performed by column chromatography (EtOAc/Hexane = 1:4). The titled compound was obtained as yellow solid, m.p. 59.5–60.3 °C, Rf 0.31 (EtOAc/Hexane = 1:4). 1H NMR (400 MHz, CDCl3) δ 8.09–8.00 (m, 2H), 7.80 (d, J = 15.7 Hz, 1H), 7.57 (d, J = 8.2 Hz, 2H), 7.52 (d, J = 15.7 Hz, 1H), 7.24 (d, J = 8.2 Hz, 2H), 7.02–6.94 (m, 2H), 3.87 (s, 3H), 2.68 (q, J = 7.6 Hz, 2H), 1.26 (t, J = 7.6 Hz, 3H); 13C{1H} NMR (101 MHz, CDCl3) δ 188.9, 163.4, 147.2, 144.2, 132.6, 131.3, 130.9 (2C), 128.6 (4C), 120.9, 113.9 (2C), 55.6, 28.9, 15.5; FTIR, vmax: 2969, 1653, 1595, 1509, 1416, 1331, 1261, 1222, 1176, 1112, 989 cm−1; HRMS (ESI TOF) m/z: calculated for C18H18Na1O2 [M + Na]+: 289.1199, found 289.1207 (−2.8 ppm).
(E)-3-(4-Methoxyphenyl)-1-(5,6,7,8-tetrahydronaphthalen-2-yl)prop-2-en-1-one (5df): this compound was prepared employing 1-(5,6,7,8-tetrahydronaphthalen-2-yl)ethanone (870 mg, 5.00 mmol) and 4-methoxybenzaldehyde (680 mg, 5.00 mmol) in a yield of 1154 mg (3.95 mmol, 79%). Purification was performed by column chromatography (EtOAc/Hexane = 1:4). The titled compound was obtained as yellow solid, m.p. 94.3–95.8 °C, Rf 0.31 (EtOAc/Hexane = 1:4). 1H NMR (400 MHz, CDCl3) δ 7.82–7.71 (m, 3H), 7.61 (d, J = 8.8 Hz, 2H), 7.42 (d, J = 15.7 Hz, 1H), 7.17 (d, J = 8.4 Hz, 1H), 6.93 (d, J = 7.6 Hz, 2H), 3.85 (s, 3H), 2.84 (d, J = 6.8 Hz, 4H), 1.83 (s, 4H); 13C{1H} NMR (101 MHz, CDCl3) δ 190.4, 161.6, 144.2, 142.9, 137.6, 136.0, 130.3 (2C), 129.5 (2C), 127.9, 125.7, 120.0, 114.5 (2C), 55.5, 29.8, 29.6, 23.1, 23.0; FTIR, vmax: 2919, 1647, 1562, 1511, 1420, 1290, 1244, 1220, 1141, 1046, 984 cm−1; HRMS (ESI TOF) m/z: calculated for C20H20Na1O2 [M + Na]+: 315.1356, found 315.1364 (−2.5 ppm).
(E)-3-(4-Ethylphenyl)-1-(5,6,7,8-tetrahydronaphthalen-2-yl)prop-2-en-1-one (5de-a): this compound was prepared employing 1-(5,6,7,8-tetrahydronaphthalen-2-yl)ethanone (870 mg, 5.00 mmol) and 4-ethylbenzaldehyde (670 mg, 5.00 mmol) in a yield of 1030 mg (3.55 mmol, 71%). Purification was performed by column chromatography (EtOAc/Hexane = 1:10). The titled compound was obtained as yellow oil, Rf 0.49 (EtOAc/Hexane = 1:10). 1H NMR (400 MHz, CDCl3) δ 7.79 (d, J = 15.6 Hz, 1H), 7.76–7.74 (m, 2H), 7.59–7.57 (m, 2H), 7.50 (d, J = 15.8 Hz, 1H), 7.25 (d, J = 6.8 Hz, 2H), 7.19–7.17 (m, 1H), 2.86–2.82 (m, 4H), 2.69 (q, J = 7.6 Hz, 2H), 1.86–1.81 (m, 4H), 1.26 (t, J = 7.6 Hz, 3H); 13C{1H} NMR (101 MHz, CDCl3) δ 190.5, 147.3, 144.4, 143.0, 137.6, 135.9, 132.7, 129.50, 129.46, 128.7 (2C), 128.6 (2C), 125.7, 121.4, 29.8, 29.5, 29.0, 23.1, 23.0, 15.5; FTIR, vmax: 2930, 1913, 1659, 1595, 1564, 1515, 1424, 1323, 1226, 987 cm−1; HRMS (ESI TOF) m/z: calculated for C21H22Na1O1 [M + Na]+: 313.1563, found 313.1568 (−1.6 ppm).

3.3. Preparation of 3-cyanoketones 2ce, 2df and 2de (General Procedure)

These compounds were prepared according to the method described in [1]. A 25 mL round bottom flask was charged with a corresponding chalcones 5 (3.00 mmol), KCN (4.5 mmol), EtOH (8 mL), water (0.5 mL) and acetic acid (0.17 mL). The reaction mixture was heated to reflux for 2–5 h (TLC control) then allowed to cool down to room temperature. The precipitated product was collected by filtration, washed with water and after drying at the open air purified if necessary by column chromatography (EtOAc/Hexane, v/v).
2-(4-Ethylphenyl)-4-(4-methoxyphenyl)-4-oxobutanenitrile (2ce): this compound was prepared employing (E)-3-(4-ethylphenyl)-1-(4-methoxyphenyl)prop-2-en-1-one (5ce) (798 mg, 3.00 mmol) in a yield of 759 mg (2.59 mmol, 86%). Purification was performed by column chromatography (EtOAc/Hexane = 1:2). The titled compound was obtained as white solid, m.p. 75.2–76.5 °C, Rf 0.46 (EtOAc/Hexane = 1:2). 1H NMR (400 MHz, CDCl3) δ 7.90 (d, J = 8.9 Hz, 2H), 7.34 (d, J = 8.2 Hz, 2H), 7.21 (d, J = 8.3 Hz, 2H), 6.93 (d, J = 9.0 Hz, 2H), 4.53 (dd, J = 8.1, 6.0 Hz, 1H), 3.87 (s, 3H), 3.66 (dd, J = 17.7, 8.1 Hz, 1H), 3.44 (dd, J = 17.7, 6.1 Hz, 1H), 2.64 (q, J = 7.6 Hz, 2H), 1.23 (t, J = 7.6 Hz, 3H); 13C{1H} NMR (101 MHz, CDCl3) δ 193.3, 164.2, 144.6, 132.7, 130.6 (2C), 128.9, 128.8 (2C), 127.6 (2C), 121.1, 114.1 (2C), 55.7, 44.4, 31.7, 28.6, 15.6; FTIR, vmax: 2243, 1676, 1604, 1568, 1513, 1364, 1316, 1260, 1214, 1173, 1023 cm−1; HRMS (ESI TOF) m/z: calculated for C19H19N1Na1O2 [M + Na]+: 316.1308, found 316.1302 (1.9 ppm).
2-(4-Methoxyphenyl)-4-oxo-4-(5,6,7,8-tetrahydronaphthalen-2-yl)butanenitrile (2df): this compound was prepared employing (E)-3-(4-methoxyphenyl)-1-(5,6,7,8-tetrahydronaphthalen-2-yl)prop-2-en-1-one (5df) (876 mg, 3.00 mmol) in a yield of 862 mg (2.70 mmol, 90%). Purification was performed by column chromatography (EtOAc/Hexane = 1:4). The titled compound was obtained as yellow oil, Rf 0.34 (EtOAc/Hexane = 1:4). 1H NMR (400 MHz, CDCl3) δ 7.62 (d, J = 4.9 Hz, 2H), 7.34 (d, J = 8.8 Hz, 2H), 7.13 (d, J = 8.6 Hz, 1H), 6.90 (d, J = 8.9 Hz, 2H), 4.55–4.47 (m, 1H), 3.80 (s, 3H), 3.65 (dd, J = 17.8, 7.6 Hz, 1H), 3.45 (dd, J = 17.8, 6.4 Hz, 1H), 2.79 (d, J = 4.2 Hz, 4H), 1.86–1.74 (m, 4H); 13C{1H} NMR (101 MHz, CDCl3) δ 194.8, 159.5, 144.3, 137.8, 133.3, 129.7, 129.1, 128.8 (2C), 127.4, 125.2, 121.2, 114.6 (2C), 55.5, 44.5, 31.2, 29.8, 29.4, 23.0, 22.8; FTIR, vmax: 2247, 1678, 1608, 1509, 1415, 1348, 1248, 1181, 1029 cm−1; HRMS (ESI TOF) m/z: calculated for C21H21N1Na1O2 [M + Na]+: 342.1464, found 342.1466 (−0.4 ppm).
2-(4-Ethylphenyl)-4-oxo-4-(5,6,7,8-tetrahydronaphthalen-2-yl)butanenitrile (2de): this compound was prepared employing (E)-3-(4-ethylphenyl)-1-(5,6,7,8-tetrahydronaphthalen-2-yl)prop-2-en-1-one (5de) (870 mg, 3.00 mmol) in a yield of 637 mg (2.01 mmol, 67%). Purification was performed by column chromatography (EtOAc/Hexane = 1:2). The titled compound was obtained as yellow oil, Rf 0.23 (EtOAc/Hexane = 1:2). 1H NMR (400 MHz, CDCl3) δ 7.63 (d, J = 6.5 Hz, 2H), 7.34 (d, J = 8.2 Hz, 2H), 7.22 (d, J = 8.4 Hz, 2H), 7.14 (d, J = 8.4 Hz, 1H), 4.53 (dd, J = 8.0, 6.1 Hz, 1H), 3.67 (dd, J = 17.9, 7.9 Hz, 1H), 3.46 (dd, J = 17.9, 6.0 Hz, 1H), 2.79 (d, J = 5.5 Hz, 4H), 2.65 (q, J = 7.6 Hz, 2H), 1.81 (s, 4H), 1.23 (t, J = 7.6 Hz, 3H); 13C{1H} NMR (101 MHz, CDCl3) δ 194.7, 144.5, 144.2, 137.8, 133.3, 132.7, 129.6, 129.1, 128.8 (2C), 127.5 (2C), 125.2, 121.1, 44.5, 31.6, 29.8, 29.4, 28.6, 22.9, 22.8, 15.6; FTIR, vmax: 2247, 1676, 1602, 1515, 1419, 1354, 1258, 1139, 1020 cm−1; HRMS (ESI TOF) m/z: calculated for C22H23N1Na1O1 [M + Na]+: 340.1672, found 340.1670 (0.5 ppm).

3.4. Preparation of γ-hydroxy Butyrolactams 4 (General Procedure)

A 5 mL round bottom flask was charged with a corresponding cyanoketone 2 (1.00 mmol), benzaldehyde 3 (1.05 mmol), methanol (2 mL) and sodium methoxide (4 mmol). The mixture was stirred at room temperature for 4 h (TLC control) then diluted with ethyl acetate (10 mL), washed with water (2 mL), 10% solution of NaHCO3 (2 mL) and brine (2 mL). After drying over sodium sulfate, the solution was concentrated in vacuo and the obtained residue was purified by column chromatography (EtOAc/Hexane, v/v).
4-Benzyl-3-(4-chlorophenyl)-5-hydroxy-5-phenyl-1H-pyrrol-2(5H)-one (4ab-a): this compound was prepared employing 2-(4-chlorophenyl)-4-oxo-4-phenylbutanenitrile 2ab [1] (269 mg, 1.00 mmol) and benzaldehyde 3a (111 mg, 1.05 mmol) in a yield of 259 mg (0.69 mmol, 69%). Purification was performed by column chromatography (EtOAc/Hexane = 1:2). The titled compound was obtained as colorless oil, Rf 0.49 (EtOAc/Hexane = 1:2). 1H NMR (400 MHz, DMSO-d6) δ 9.13 (s, 1H), 7.50–7.43 (m, 2H), 7.43–7.37 (m, 2H), 7.35–7.21 (m, 5H), 6.99–6.90 (m, 3H), 6.81–6.75 (m, 2H), 6.70 (s, 1H), 3.63 (d, J = 16.3 Hz, 1H), 3.58 (d, J = 16.3 Hz, 1H); 13C{1H} NMR (101 MHz, DMSO-d6) δ 170.9, 157.9, 140.0, 137.2, 132.4, 130.8 (2C), 130.1, 129.5 (2C), 128.5, 128.2, 127.9 (2C), 127.8 (2C), 127.7 (2C), 126.1 (2C), 125.7, 88.3, 30.8; FTIR, vmax: 3308, 3062, 1695, 1491, 1453, 1372, 1236, 1093 cm−1; HRMS (ESI TOF) m/z: calculated for C23H18N1NaO2 [M + Na]+: 398.0918, found 398.0919 (−0.2 ppm).
4-Benzyl-5-hydroxy-3,5-diphenyl-1H-pyrrol-2(5H)-one (4ac-a): this compound was prepared employing 4-oxo-2,4-diphenylbutanenitrile 2ac [1] (235 mg, 1.00 mmol) and benzaldehyde 3a (111 mg, 1.05 mmol) in a yield of 290 mg (0.85 mmol, 85%). Purification was performed by column chromatography (EtOAc/Hexane = 1:2). The titled compound was obtained as a yellow amorphous solid, m.p. 218.5–220.0 °C, Rf 0.57 (EtOAc/Hexane = 1:2). 1H NMR (400 MHz, DMSO-d6) δ 9.10 (d, J = 1.8 Hz, 1H), 7.47–7.42 (m, 2H), 7.40–7.35 (m, 2H), 7.32–7.20 (m, 6H), 6.99–6.90 (m, 3H), 6.79–6.62 (m, 3H), 3.58 (t, J = 15.7 Hz, 2H); 13C{1H} NMR (101 MHz, DMSO-d6) δ 171.2, 157.0, 140.3, 137.5, 131.3, 130.8, 129.0 (2C), 128.4 (2C), 128.1 (2C), 127.8 (2C), 127.7 (4C), 126.1 (2C), 125.6, 88.2, 30.8; FTIR, vmax: 3329, 3062, 1698, 1489, 1443, 1374, 1125, 1057 cm−1; HRMS (ESI TOF) m/z: calculated for C23H19N1Na1O2 [M + Na]+: 364.1308, found 364.1312 (−1.2 ppm).
4-(4-Ethylbenzyl)-5-hydroxy-3,5-diphenyl-1H-pyrrol-2(5H)-one (4ac-b): this compound was prepared employing 4-oxo-2,4-diphenylbutanenitrile 2ac [1] (235 mg, 1.00 mmol) and 4-ethylbenzaldehyde 3b (141 mg, 1.05 mmol) in a yield of 273 mg (0.74 mmol, 74%). Purification was performed by column chromatography (EtOAc/Hexane = 1:2). The titled compound was obtained as a yellow amorphous solid, m.p. 175.5–177.3 °C, Rf 0.51 (EtOAc/Hexane = 1:2). 1H NMR (400 MHz, DMSO-d6) δ 9.02 (s, 1H), 7.46–7.34 (m, 4H), 7.34–7.18 (m, 6H), 6.77 (d, J = 7.9 Hz, 2H), 6.65 (d, J = 7.8 Hz, 2H), 6.59 (s, 1H), 3.55 (d, J = 16.5 Hz, 2H), 3.51 (d, J = 16.5 Hz, 2H), 2.40 (q, J = 7.6 Hz, 2H), 1.04 (t, J = 7.6 Hz, 3H); 13C{1H} NMR (101 MHz, DMSO-d6) δ 171.2, 157.2, 140.8, 140.2, 134.6, 131.4, 130.7, 129.0 (2C), 128.4 (2C), 128.1 (2C), 127.8 (2C), 127.7 (2C), 127.1 (2C), 126.0 (2C), 88.2, 30.5, 27.7, 15.7; FTIR, vmax: 3396, 3277, 2970, 1690, 1510, 1493, 1447, 1195, 1121, 1063 cm−1; HRMS (ESI TOF) m/z: calculated for C25H23N1Na1O2 [M + Na]+: 392.1621, found 392.1621 (0.1 ppm).
5-Hydroxy-4-(4-methylbenzyl)-3,5-diphenyl-1H-pyrrol-2(5H)-one (4ac-c): this compound was prepared employing 4-oxo-2,4-diphenylbutanenitrile 2ac [1] (235 mg, 1.00 mmol) and 4-methylbenzaldehyde 3c (126 mg, 1.05 mmol) in a yield of 305 mg (0.86 mmol, 86%). Purification was performed by column chromatography (EtOAc/Hexane = 1:2). The titled compound was obtained as white amorphous solid, m.p. 214.1–215.4 °C, Rf 0.57 (EtOAc/Hexane = 1:2). 1H NMR (400 MHz, DMSO-d6) δ 9.02 (s, 1H), 7.47–7.40 (m, 2H), 7.40–7.34 (m, 2H), 7.34–7.22 (m, 6H), 6.75 (d, J = 7.8 Hz, 2H), 6.62 (d, J = 7.8 Hz, 2H), 6.58 (s, 1H), 3.55 (d, J = 15.9 Hz, 1H), 3.49 (d, J = 15.8 Hz, 1H), 2.10 (s, 3H); 13C{1H} NMR (101 MHz, DMSO-d6) δ 171.2, 157.2, 140.2, 134.4 (2C), 131.4, 130.7, 129.0 (2C), 128.3 (4C), 128.1 (2C), 127.8 (2C), 127.7 (2C), 126.1 (2C), 88.2, 30.4, 20.5; FTIR, vmax: 3535, 3193, 3074, 1699, 1513, 1489, 1447, 1370, 1244, 1119, 1053 cm−1; HRMS (ESI TOF) m/z: calculated for C24H21N1Na1O2 [M + Na]+: 378.1464, found 378.1455 (2.5 ppm).
4-(3-Chlorobenzyl)-5-hydroxy-3,5-diphenyl-1H-pyrrol-2(5H)-one (4ac-d): this compound was prepared employing 4-oxo-2,4-diphenylbutanenitrile 2ac [1] (235 mg, 1.00 mmol) and 3-chlorobenzaldehyde 3d (147 mg, 1.05 mmol) in a yield of 345 mg (0.92 mmol, 92%). Purification was performed by column chromatography (EtOAc/Hexane = 1:2). The titled compound was obtained as a yellow amorphous solid, m.p. 139.0–140.6 °C, Rf 0.49 (EtOAc/Hexane = 1:2). 1H NMR (400 MHz, DMSO-d6) δ 9.08 (s, 1H), 7.46–7.40 (m, 2H), 7.37–7.22 (m, 8H), 7.00–6.92 (m, 2H), 6.73 (dt, J = 8.7, 1.8 Hz, 2H), 6.70 (s, 1H), 3.59 (t, J = 16.7 Hz, 2H); 13C{1H} NMR (101 MHz, DMSO-d6) δ 171.0, 156.4, 140.0, 139.8, 132.4, 131.1, 131.0, 129.3, 129.0 (2C), 128.4, 128.2 (2C), 127.9 (3C), 127.8, 127.2, 126.0 (2C), 125.6, 88.1, 30.3; FTIR, vmax: 3396, 3273, 3062, 1696, 1598, 1489, 1451, 1429, 1199, 1101, 1069 cm−1; HRMS (ESI TOF) m/z: calculated for C23H18Cl1N1Na1O2 [M + Na]+: 398.0918, found 398.0917 (0.3 ppm).
4-(2-Chlorobenzyl)-5-hydroxy-3,5-diphenyl-1H-pyrrol-2(5H)-one (4ac-e): this compound was prepared employing 4-oxo-2,4-diphenylbutanenitrile 2ac [1] (235 mg, 1.00 mmol) and 2-chlorobenzaldehyde 3e (147 mg, 1.05 mmol) in a yield of 289 mg (0.77 mmol, 77%). Purification was performed by column chromatography (EtOAc/Hexane = 1:2). The titled compound was obtained as a white amorphous solid, m.p. 155.0–156.0 °C, Rf 0.46 (EtOAc/Hexane = 1:2). 1H NMR (400 MHz, DMSO-d6) δ 9.12 (s, 1H), 7.45–7.39 (m, 2H), 7.35–7.18 (m, 8H), 7.14 (d, J = 7.9 Hz, 1H), 6.97 (t, J = 7.6 Hz, 1H), 6.89 (t, J = 7.5 Hz, 1H), 6.82 (d, J = 7.7 Hz, 1H), 6.69 (d, J = 1.0 Hz, 1H), 3.69 (d, J = 17.0 Hz, 1H), 3.61 (d, J = 17.0 Hz, 1H); 13C{1H} NMR (101 MHz, DMSO-d6) δ 170.9, 155.3, 140.0, 134.4, 132.8, 131.6, 131.1, 130.1, 128.7 (2C), 128.6, 128.1 (2C), 127.8 (4C), 127.7, 126.5, 125.9 (2C), 88.1, 28.6; FTIR, vmax: 3404, 3273, 1695, 1672, 1447, 1423, 1195, 1069 cm−1; HRMS (ESI TOF) m/z: calculated for C23H18Cl1N1Na1O2 [M + Na]+: 398.0918, found 398.0921 (−0.6 ppm).
4-(4-Chlorobenzyl)-5-hydroxy-3,5-diphenyl-1H-pyrrol-2(5H)-one (4ac-f): this compound was prepared employing 4-oxo-2,4-diphenylbutanenitrile 2ac [1] (235 mg, 1.00 mmol) and 4-chlorobenzaldehyde 3f (147 mg, 1.05 mmol) in a yield of 330 mg (0.88 mmol, 88%). Purification was performed by column chromatography (EtOAc/Hexane = 1:2). The titled compound was obtained as a white amorphous solid, m.p. 217.4–218.4 °C, Rf 0.57 (EtOAc/Hexane = 1:2). 1H NMR (400 MHz, DMSO-d6) δ 9.07 (s, 1H), 7.43 (d, J = 7.5 Hz, 2H), 7.37 (d, J = 6.4 Hz, 2H), 7.29 (q, J = 6.5 Hz, 6H), 6.98 (d, J = 8.1 Hz, 2H), 6.79 (d, J = 8.1 Hz, 2H), 6.66 (s, 1H), 3.57 (t, J = 17.1 Hz, 2H); 13C{1H} NMR (101 MHz, DMSO-d6) δ 171.0, 156.6, 140.1, 136.4, 131.11, 131.0, 130.3 (2C), 130.2, 129.0 (2C), 128.2 (2C), 127.9 (2C), 127.8 (2C), 127.5 (2C), 126.0 (2C), 88.1, 30.1; FTIR, vmax: 3521, 3193, 1701, 1490, 1449, 1360, 1246, 1204, 1051 cm−1; HRMS (ESI TOF) m/z: calculated for C23H18Cl1N1Na1O2 [M + Na]+: 398.0918, found 398.0916 (0.4 ppm).
4-(2-Fluorobenzyl)-5-hydroxy-3,5-diphenyl-1H-pyrrol-2(5H)-one (4ac-g): this compound was prepared employing 4-oxo-2,4-diphenylbutanenitrile 2ac [1] (235 mg, 1.00 mmol) and 2-fluorobenzaldehyde 3g (130 mg, 1.05 mmol) in a yield of 330 mg (0.92 mmol, 92%). Purification was performed by column chromatography (EtOAc/Hexane = 1:2). The titled compound was obtained as colorless oil, Rf 0.51 (EtOAc/Hexane = 1:2). 1H NMR (400 MHz, DMSO-d6) δ 9.08 (s, 1H), 7.44–7.38 (m, 2H), 7.37–7.32 (m, 2H), 7.32–7.17 (m, 7H), 7.03–6.94 (m, 1H), 6.86–6.78 (m, 1H), 6.78–6.72 (m, 2H), 3.72–3.42 (m, 2H); 13C{1H} NMR (101 MHz, DMSO-d6) δ 171.0, 160.0 (d, J = 243.6 Hz), 155.6, 140.0, 131.5, 131.1, 130.4 (d, J = 4.0 Hz), 128.9 (2C), 128.1 (2C), 127.9 (d, J = 7.9 Hz), 127.9 (2C), 127.8 (2C), 125. 9 (2C), 123.8 (d, J = 15.2 Hz), 123.7 (d, J = 3.4 Hz), 114.5 (d, J = 21.9 Hz), 88.1, 23.7 (d, J = 4.1 Hz); 19F NMR (376 MHz, DMSO-d6) δ −117.23; FTIR, vmax: 3332, 3058, 1690, 1497, 1447, 1232, 1095 cm−1; HRMS (ESI TOF) m/z: calculated for C23H18F1N1Na1O2 [M + Na]+: 382.1214, found 382.1215 (−0.4 ppm).
4-(4-Fluorobenzyl)-5-hydroxy-3,5-diphenyl-1H-pyrrol-2(5H)-one (4ac-h): this compound was prepared employing 4-oxo-2,4-diphenylbutanenitrile 2ac [1] (235 mg, 1.00 mmol) and 4-fluorobenzaldehyde 3h (130 mg, 1.05 mmol) in a yield of 327 mg (0.91 mmol, 91%). Purification was performed by column chromatography (EtOAc/Hexane = 1:2). The titled compound was obtained as a white solid, m.p. 215.2–216.0 °C, Rf 0.43 (EtOAc/Hexane = 1:2). 1H NMR (400 MHz, DMSO-d6) δ 9.05 (d, J = 2.1 Hz, 1H), 7.51–7.19 (m, 10H), 6.84–6.68 (m, 4H), 6.65 (d, J = 2.1 Hz, 1H), 3.59 (t, J = 16.3 Hz, 2H); 13C{1H} NMR (101 MHz, DMSO-d6) δ 171.5, 160.7 (d, J = 241.4 Hz), 157.4, 140.6, 133.9 (d, J = 2.9 Hz), 131.6, 131.3, 130.6 (2C, d, J = 8.1 Hz), 129.5 (2C), 128.6 (2C), 128.3 (2C), 128.2 (2C), 126.5 (2C), 114.7 (2C, d, J = 21.1 Hz), 88.5, 30.4; FTIR, vmax: 3444, 3352, 3093, 2855, 194, 1504, 1451, 1218, 1153, 1153, 1091, 1061 cm−1; HRMS (ESI TOF) m/z: calculated for C23H18F1N1Na1O2 [M + Na]+: 382.1214, found 382.1220 (−1.7 ppm).
5-Hydroxy-4-(4-methoxybenzyl)-3,5-diphenyl-1H-pyrrol-2(5H)-one (4ac-i): this compound was prepared employing 4-oxo-2,4-diphenylbutanenitrile 2ac [1] (235 mg, 1.00 mmol) and 4-methoxybenzaldehyde 3i (143 mg, 1.05 mmol) in a yield of 341 mg (0.92 mmol, 92%). Purification was performed by column chromatography (EtOAc/Hexane = 1:2). The titled compound was obtained as a white solid, m.p. 176.5–177.7 °C, Rf 0.42 (EtOAc/Hexane = 1:2). 1H NMR (400 MHz, DMSO-d6) δ 9.03 (s, 1H), 7.46–7.41 (m, 2H), 7.41–7.37 (m, 2H), 7.33–7.22 (m, 6H), 6.66 (d, J = 8.3 Hz, 2H), 6.61 (s, 1H), 6.50 (d, J = 8.5 Hz, 2H), 3.58 (s, 3H), 3.52 (t, J = 16.3 Hz, 2H); 13C{1H} NMR (101 MHz, DMSO-d6) δ 171.22, 157.48, 140.26, 131.37, 130.58, 129.39 (2C), 129.31 (2C), 129.03 (2C), 128.11 (2C), 127.82, 127.73 (2C), 127.70, 126.06 (2C), 113.10 (2C), 88.19, 54.87, 29.95; FTIR, vmax: 3332, 1692, 1502, 1455, 1415, 1240, 1171, 1107, 1061 cm−1; HRMS (ESI TOF) m/z: calculated for C24H21N1Na1O3 [M + Na]+: 394.1414, found 394.1412 (0.4 ppm).
5-Hydroxy-3,5-diphenyl-4-(pyridin-2-ylmethyl)-1H-pyrrol-2(5H)-one (4ac-j): this compound was prepared employing 4-oxo-2,4-diphenylbutanenitrile 2ac [1] (235 mg, 1.00 mmol) and pyridine-2-carbaldehyde 3j (112 mg, 1.05 mmol) in a yield of 243 mg (0.71 mmol, 71%). Purification was performed by column chromatography (EtOAc/Hexane = 1:2). The titled compound was obtained as a white solid, m.p. 224.8–226.7 °C, Rf 0.34 (EtOAc/Hexane = 1:2). 1H NMR (400 MHz, DMSO-d6) δ 9.08 (s, 1H), 8.33 (dd, J = 4.9, 1.8 Hz, 1H), 7.56–7.52 (m, 2H), 7.46 (td, J = 7.7, 1.9 Hz, 1H), 7.42–7.16 (m, 9H), 7.06 (dd, J = 7.5, 4.9 Hz, 1H), 6.95 (d, J = 7.8 Hz, 1H), 3.77 (d, J = 15.8 Hz, 1H), 3.62 (d, J = 15.7 Hz, 1H); 13C{1H} NMR (101 MHz, DMSO-d6) δ 170.9, 157.5, 155.1, 148.5, 140.4, 136.5, 131.4, 131.0, 129.0 (2C), 128.0 (3C), 127.9 (2C), 127.6, 126.0 (2C), 123.3, 121.4, 88.0, 33.9; FTIR, vmax: 3209, 3062, 2815, 1696, 1491, 1361, 1202, 1113, 1065 cm−1; HRMS (ESI TOF) m/z: calculated for C22H18N2Na1O2 [M + Na]+: 365.1260, found 365.1261 (−0.2 ppm).
5-Hydroxy-3,5-diphenyl-4-(pyridin-3-ylmethyl)-1H-pyrrol-2(5H)-one (4ac-k): this compound was prepared employing 4-oxo-2,4-diphenylbutanenitrile 2ac [1] (235 mg, 1.00 mmol) and pyridine-3-carbaldehyde (112 mg, 1.05 mmol) in a yield of 270 mg (0.79 mmol, 79%). Purification was performed by column chromatography (EtOAc). The titled compound was obtained as a white solid, m.p. 199.1–200.7 °C, Rf 0.3 (EtOAc). 1H NMR (400 MHz, DMSO-d6) δ 9.08 (s, 1H), 8.11 (dd, J = 4.8, 1.6 Hz, 1H), 7.98 (d, J = 2.2 Hz, 1H), 7.48–7.41 (m, 2H), 7.38–7.22 (m, 8H), 7.08 (dt, J = 7.9, 2.0 Hz, 1H), 6.92 (dd, J = 7.7, 4.8 Hz, 1H), 6.70 (s, 1H), 3.59 (t, J = 16.7 Hz, 2H); 13C{1H} NMR (101 MHz, DMSO-d6) δ 171.0, 156.3, 149.6, 146.8, 140.0, 135.6, 133.0, 131.0 (2C), 129.0 (2C), 128.2 (2C), 127.9 (3C), 127.8, 126.0 (2C), 122.7, 88.1, 28.0; FTIR, vmax: 3412, 3300, 2998, 1709, 1485, 1441, 1254, 1204, 1095, 1047 cm−1; HRMS (ESI TOF) m/z: calculated for C22H19N2O2 [M + H]+: 343.1441, found 343.1446 (−1.3 ppm).
5-Hydroxy-3,5-diphenyl-4-(pyridin-4-ylmethyl)-1H-pyrrol-2(5H)-one (4ac-l): this compound was prepared employing 4-oxo-2,4-diphenylbutanenitrile 2ac [1] (235 mg, 1.00 mmol) and pyridine-4-carbaldehyde 3l (112 mg, 1.05 mmol) in a yield of 311 mg (0.91 mmol, 91%). Purification was performed by column chromatography (EtOAc). The titled compound was obtained as a white solid, m.p. 216.9–217.9 °C, Rf 0.34 (EtOAc). 1H NMR (400 MHz, DMSO-d6) δ 9.13 (s, 1H), 8.11 (d, J = 5.3 Hz, 2H), 7.44 (d, J = 7.2 Hz, 2H), 7.38 (d, J = 6.9 Hz, 2H), 7.34–7.18 (m, 6H), 6.78 (d, J = 5.2 Hz, 2H), 6.70 (s, 1H), 3.60 (t, J = 17.9 Hz, 2H); 13C{1H} NMR (101 MHz, DMSO-d6) δ 170.9, 155.4, 148.8 (2C), 146.4, 139.8, 131.4, 131.0, 128.9 (2C), 128.2 (2C), 127.9 (3C), 127.9, 126.1 (2C), 123.8 (2C), 88.0, 30.1; FTIR, vmax: 3193, 3065, 2819, 1705, 1602, 1423, 1361, 1248, 1208, 1103, 1061 cm−1; HRMS (ESI TOF) m/z: calculated for C22H19N2O2 [M + H]+: 343.1441, found 343.1449 (−2.4 ppm).
5-Hydroxy-3,5-diphenyl-4-(thiophen-2-ylmethyl)-1H-pyrrol-2(5H)-one (4ac-m): this compound was prepared employing 4-oxo-2,4-diphenylbutanenitrile 2ac [1] (235 mg, 1.00 mmol) and thiophene-2-carbaldehyde 3m (118 mg, 1.05 mmol) in a yield of 291 mg (0.84 mmol, 84%). Purification was performed by column chromatography (EtOAc/Hexane = 1:2). The titled compound was obtained as a white solid, m.p. 193.2–194.5 °C, Rf 0.46 (EtOAc/Hexane = 1:2). 1H NMR (400 MHz, DMSO-d6) δ 9.06 (s, 1H), 7.48–7.40 (m, 4H), 7.39–7.23 (m, 6H), 7.04 (dd, J = 5.1, 1.2 Hz, 1H), 6.67 (s, 1H), 6.58 (dd, J = 5.2, 3.4 Hz, 1H), 6.28 (dd, J = 3.5, 1.2 Hz, 1H), 3.74 (s, 2H); 13C{1H} NMR (101 MHz, DMSO-d6) δ 171.0, 156.3, 139.9, 139.6, 131.2, 130.7, 129.0 (2C), 128.2 (2C), 128.0 (3C), 127.9, 126.2, 126.1 (2C), 125.8, 124.0, 88.0, 25.1; FTIR, vmax: 3444, 3292, 1694, 1511, 1459, 1370, 1244, 1059 cm−1; HRMS (ESI TOF) m/z: calculated for C21H17N1Na1O2S1 [M + Na]+: 370.0872, found 370.0877 (−1.2 ppm).
5-Hydroxy-4-(4-isopropylbenzyl)-3,5-diphenyl-1H-pyrrol-2(5H)-one (4ac-n): this compound was prepared employing 4-oxo-2,4-diphenylbutanenitrile 2ac [1] (235 mg, 1.00 mmol) and 4-isopropylbenzaldehyde 3n (155 mg, 1.05 mmol) in a yield of 314 mg (0.82 mmol, 82%). Purification was performed by column chromatography (EtOAc/Hexane = 1:2). The titled compound was obtained as a yellow amorphous solid, m.p. 142.9–144.7 °C, Rf 0.46 (EtOAc/Hexane = 1:2). 1H NMR (400 MHz, DMSO-d6) δ 9.01 (s, 1H), 7.44–7.34 (m, 4H), 7.33–7.18 (m, 6H), 6.79 (d, J = 8.0 Hz, 2H), 6.65 (d, J = 7.9 Hz, 2H), 6.60 (s, 1H), 3.53 (s, 2H), 2.75–2.60 (m, 1H), 1.06 (d, J = 6.9 Hz, 6H); 13C{1H} NMR (101 MHz, DMSO-d6) δ 171.1, 157.3, 145.4, 140.3, 134.7, 131.4, 130.8, 129.0 (2C), 128.4 (2C), 128.0 (2C), 127.8 (2C), 127.7, 127.6, 126.0 (2C), 125.5 (2C), 88.2, 32.9, 30.5, 23.9 (2C); FTIR, vmax: 3395, 3261, 1670, 1443,1204, 1097, 1055 cm−1; HRMS (ESI TOF) m/z: calculated for C26H25N1Na1O2 [M + Na]+: 406.1784, found 406.1777 (−1.6 ppm).
5-Hydroxy-4-(2-methylbenzyl)-3,5-diphenyl-1H-pyrrol-2(5H)-one (4ac-o): this compound was prepared employing 4-oxo-2,4-diphenylbutanenitrile 2ac [1] (235 mg, 1.00 mmol) and 2-methylbenzaldehyde 3o (126 mg, 1.05 mmol) in a yield of 280 mg (0.79 mmol, 79%). Purification was performed by column chromatography (EtOAc/Hexane = 1:2). The titled compound was obtained as a white solid, m.p. 215.2–216.3 °C, Rf 0.57 (EtOAc/Hexane = 1:2). 1H NMR (400 MHz, DMSO-d6) δ 9.06 (s, 1H), 7.43–7.39 (m, 2H), 7.34–7.17 (m, 8H), 6.88–6.81 (m, 2H), 6.79–6.72 (m, 1H), 6.69 (d, J = 7.6 Hz, 1H), 6.62 (s, 1H), 3.55 (d, J = 16.6 Hz, 1H), 3.46 (d, J = 16.6 Hz, 1H), 1.98 (s, 3H);13C{1H} NMR (101 MHz, DMSO-d6) δ 171.1, 156.7, 140.3, 135.4, 135.3, 131.3(2C), 129.4, 128.8 (2C), 128.3, 128.0 (2C), 127.8 (2C), 127.7, 127.6, 125.9 (2C), 125.7, 125.2, 88.2, 28.6, 19.4; FTIR, vmax: 3547, 3169, 3066, 1711, 1497, 1449, 1364, 1290, 1177, 1107, 1049 cm−1; HRMS (ESI TOF) m/z: calculated for C24H21N1Na1O2 [M + Na]+: 378.1464, found 378.1461 (0.9 ppm).
4-(3,4-Dimethoxybenzyl)-5-hydroxy-3,5-diphenyl-1H-pyrrol-2(5H)-one (4ac-p): this compound was prepared employing 4-oxo-2,4-diphenylbutanenitrile 2ac [1] (235 mg, 1.00 mmol) and 3,4-dimethoxybenzaldehyde 3p (173 mg, 1.05 mmol) in a yield of 349 mg (0.87 mmol, 87%). Purification was performed by column chromatography (EtOAc/Hexane = 1:1). The titled compound was obtained as a white solid, m.p. 197.0–198.8 °C, Rf 0.42 (EtOAc/Hexane = 1:1). 1H NMR (400 MHz, DMSO-d6) δ 9.02 (s, 1H), 7.45 (d, J = 7.2 Hz, 2H), 7.38 (t, J = 6.2 Hz, 2H), 7.34–7.22 (m, 6H), 6.64 (s, 1H), 6.53–6.46 (m, 1H), 6.29–6.18 (m, 2H), 3.57 (s, 3H), 3.53 (d, J = 15.8 Hz, 1H), 3.49 (d, J = 15.8 Hz, 1H), 3.43 (s, 3H);13C{1H} NMR (101 MHz, DMSO-d6) δ 171.3, 157.5, 147.9, 146.6, 140.2, 131.5, 130.6, 129.8, 129.1 (2C), 128.1 (2C), 127.8 (3C), 127.7, 126.1 (2C), 120.5, 112.2, 111.2, 88.2, 55.4, 55.0, 30.2; FTIR, vmax: 3527, 3285, 1695, 1672, 1510, 1451, 1260, 1232, 1145, 1029 cm−1; HRMS (ESI TOF) m/z: calculated for C25H23N1Na1O4 [M + Na]+: 424.1519, found 424.1512 (1.8 ppm).
5-Hydroxy-4-(2-hydroxyethyl)-3,5-diphenyl-1H-pyrrol-2(5H)-one (4ac-(2-OHCH2CH2): this compound was prepared employing 4-oxo-2,4-diphenylbutanenitrile 2ac [1] (235 mg, 1.00 mmol) and d-glucose (189 mg, 1.05 mmol) in a yield of 103 mg (0.35 mmol, 35%). Purification was performed by column chromatography (EtOAc/Hexane = 1:1). The titled compound was obtained as a white solid, m.p. 181.0–182.4 °C, Rf 0.28 (EtOAc/Hexane = 1:1). 1H NMR (400 MHz, DMSO-d6) δ 8.95 (s, 1H), 7.67–7.27 (m, 10H), 6.59 (s, 1H), 4.61 (t, J = 5.4 Hz, 1H), 3.36–3.24 (m, 1H), 3.13–2.99 (m, 1H), 2.49–2.37 (m, 1H), 2.20 (ddd, J = 12.9, 9.8, 5.7 Hz, 1H);13C{1H} NMR (101 MHz, DMSO-d6) δ 171.0, 155.9, 140.4, 131.5, 130.9, 129.1 (2C), 128.3 (2C), 128.1 (2C), 127.9 (2C), 125.8 (2C), 88.0, 58.9, 29.8; FTIR, vmax: 3380, 3169, 1680, 1495, 1447, 1419, 1242, 1191, 1121, 1049, 1033 cm−1; HRMS (ESI TOF) m/z: calculated for C18H17N1Na1O3 [M + Na]+: 318.1101, found 318.1094 (2.0 ppm).
4-Benzyl-5-hydroxy-5-phenyl-3-(p-tolyl)-1H-pyrrol-2(5H)-one (4ad-a): this compound was prepared employing 4-oxo-4-phenyl-2-(p-tolyl)butanenitrile 2ad [1] (249 mg, 1.00 mmol) and benzaldehyde 3a (111 mg, 1.05 mmol) in a yield of 320 mg (0.9 mmol, 90%). Purification was performed by column chromatography (EtOAc/Hexane = 2:3). The titled compound was obtained as a white amorphous solid, m.p. 171.0–172.1 °C, Rf 0.23 (EtOAc/Hexane = 2:3). 1H NMR (400 MHz, DMSO-d6) δ 9.01 (s, 1H), 7.45–7.38 (m, 2H), 7.32–7.19 (m, 5H), 7.11 (d, J = 8.0 Hz, 2H), 6.95 (dd, J = 5.0, 1.9 Hz, 3H), 6.77 (dd, J = 7.0, 2.5 Hz, 2H), 6.58 (s, 1H), 3.65–3.51 (m, 2H), 2.26 (s, 3H);13C{1H} NMR (101 MHz, DMSO-d6) δ 171.3, 156.3, 140.3, 137.6, 137.0, 130.7, 128.9 (2C), 128.5 (2C), 128.4, 128.3 (2C), 128.1 (2C), 127.7 (3C), 126.1 (2C), 125.5, 88.1, 30.8, 20.9; FTIR, vmax: 3432, 1702, 1600, 1459, 1381, 1286, 1200, 1173, 1063 cm−1; HRMS (ESI TOF) m/z: calculated for C24H21N1Na1O2 [M + Na]+: 378.1464, found 378.1469 (−1.2 ppm).
4-Benzyl-3-(4-ethylphenyl)-5-hydroxy-5-phenyl-1H-pyrrol-2(5H)-one (4ae-a): this compound was prepared employing 2-(4-ethylphenyl)-4-oxo-4-phenylbutanenitrile 2ae [1] (263 mg, 1.00 mmol) and benzaldehyde 3a (111 mg, 1.05 mmol) in a yield of 339 mg (0.92 mmol, 92%). Purification was performed by column chromatography (EtOAc/Hexane = 1:1). The titled compound was obtained as a yellowish amorphous solid, m.p. 62.6–64.1 °C, Rf 0.37 (EtOAc/Hexane = 1:1). 1H NMR (400 MHz, DMSO-d6) δ 9.01 (s, 1H), 7.41 (d, J = 7.0 Hz, 2H), 7.33–7.21 (m, 5H), 7.13 (d, J = 8.6 Hz, 2H), 6.95 (dd, J = 5.1, 1.9 Hz, 3H), 6.81–6.72 (m, 2H), 6.58 (s, 1H), 3.64–3.50 (m, 2H), 2.56 (q, J = 7.6 Hz, 2H), 1.14 (t, J = 7.6 Hz, 3H);13C{1H} NMR (101 MHz, DMSO-d6) δ 171.7, 156.7, 143.8, 140.7, 138.0, 131.2, 129.4 (2C), 129.1, 128.8 (2C), 128.5 (2C), 128.1 (3C), 127.7 (2C), 126.5 (2C), 126.0, 88.6, 31.3, 28.4, 16.0; FTIR, vmax: 1698, 1602, 1453, 1254, 1171, 1097, 1057, 964 cm−1; HRMS (ESI TOF) m/z: calculated for C25H23N1Na1O2 [M + Na]+: 392.1621, found 392.1628 (−1.8 ppm).
4-Benzyl-5-hydroxy-3-(4-methoxyphenyl)-5-phenyl-1H-pyrrol-2(5H)-one (4af-a): this compound was prepared employing 2-(4-methoxyphenyl)-4-oxo-4-phenylbutanenitrile 2af [1] (264 mg, 1.00 mmol) and benzaldehyde 3a (111 mg, 1.05 mmol) in a yield of 288 mg (0.78 mmol, 78%). Purification was performed by column chromatography (EtOAc/Hexane = 2:3). The titled compound was obtained as a yellowish amorphous solid, m.p. 70.7–72.3 °C, Rf 0.23 (EtOAc/Hexane = 2:3). 1H NMR (400 MHz, DMSO-d6) δ 9.00 (s, 1H), 7.42 (d, J = 7.0 Hz, 2H), 7.36 (d, J = 8.8 Hz, 2H), 7.31–7.21 (m, 3H), 7.02–6.90 (m, 3H), 6.85 (d, J = 8.8 Hz, 2H), 6.79 (dd, J = 7.2, 2.3 Hz, 2H), 6.55 (s, 1H), 3.72 (s, 3H), 3.66–3.51 (m, 2H);13C{1H} NMR (101 MHz, DMSO-d6) δ 171.4, 158.8, 155.4, 140.3, 137.6, 130.2 (3C), 128.3 (2C), 128.1 (2C), 127.7 (3C), 126.1 (2C), 125.6, 123.5, 113.3 (2C), 88.1, 55.1, 30.9; FTIR, vmax: 1694, 1604, 1509, 1451, 1302, 1242, 1171, 1105, 1029 cm−1; HRMS (ESI TOF) m/z: calculated for C24H21N1Na1O3 [M + Na]+: 394.1414, found 394.1408 (1.4 ppm).
4-Benzyl-3-(3-chlorophenyl)-5-hydroxy-5-phenyl-1H-pyrrol-2(5H)-one (4ag-a): this compound was prepared employing 2-(3-chlorophenyl)-4-oxo-4-phenylbutanenitrile 2ag [1] (269 mg, 1.00 mmol) and benzaldehyde 3a (111 mg, 1.05 mmol) in a yield of 323 mg (0.86 mmol, 86%). Purification was performed by column chromatography (EtOAc/Hexane = 1:1). The titled compound was obtained as a yellowish amorphous solid, m.p. 60.9–62.8 °C, Rf 0.4 (EtOAc/Hexane = 1:1). 1H NMR (400 MHz, DMSO-d6) δ 9.14 (s, 1H), 7.48 (d, J = 7.0 Hz, 2H), 7.37–7.30 (m, 3H), 7.30–7.24 (m, 4H), 7.00–6.89 (m, 3H), 6.77 (dd, J = 7.3, 2.2 Hz, 2H), 6.70 (s, 1H), 3.66–3.49 (m, 2H);13C{1H} NMR (101 MHz, DMSO-d6) δ 170.7, 158.6, 139.8, 137.1, 133.3, 132.3, 129.5, 129.2, 128.8, 128.5 (2C), 128.2 (2C), 127.9, 127.7 (2C), 127.6, 127.5, 126.1 (2C), 125.7, 88.2, 30.9; FTIR, vmax: 1698, 1602, 1495, 1451, 1274, 1103, 970 cm−1; HRMS (ESI TOF) m/z: calculated for C23H18ClN1Na1O2 [M + Na]+: 398.0918, found 398.0922 (−0.9 ppm).
4-Benzyl-3-(2-fluorophenyl)-5-hydroxy-5-phenyl-1H-pyrrol-2(5H)-one (4ah-a): this compound was prepared employing 2-(2-fluorophenyl)-4-oxo-4-phenylbutanenitrile 2ah [1] (253 mg, 1.00 mmol) and benzaldehyde 3a (111 mg, 1.05 mmol) in a yield of 335 mg (0.93 mmol, 93%). Purification was performed by column chromatography (EtOAc/Hexane = 2:3). The titled compound was obtained as a yellowish amorphous solid, m.p. 61.2–63.5 °C, Rf 0.23 (EtOAc/Hexane = 2:3). 1H NMR (400 MHz, DMSO-d6) δ 9.05 (s, 1H), 7.48 (d, J = 7.1 Hz, 2H), 7.36 (t, J = 7.6 Hz, 2H), 7.32–7.25 (m, 2H), 7.14 (t, J = 6.5 Hz, 1H), 7.06 (t, J = 8.1 Hz, 2H), 6.90–6.85 (m, 3H), 6.78 (s, 1H), 6.71–6.64 (m, 2H), 3.55–3.26 (m, 2H);13C{1H} NMR (101 MHz, DMSO-d6) δ 170.5, 160.3, 159.6 (d, J = 245.8 Hz), 140.0, 136.7, 131.4 (d, J = 3.7 Hz), 130.0 (d, J = 8.4 Hz), 128.5 (2C), 128.3 (2C), 127.9, 127.5 (2C), 126.6, 125.9 (2C), 125.6, 123.7 (d, J = 3.3 Hz), 119.3 (d, J = 16.5 Hz), 115.1 (d, J = 21.6 Hz), 88.6, 31.3 (d, J = 2.1 Hz); FTIR, vmax: 1698, 1495, 1447, 1216, 1103, 1067, 964 cm−1; HRMS (ESI TOF) m/z: calculated for C23H18FN1Na1O2 [M + Na]+: 382.1214, found 382.1224 (−2.7 ppm).
4-Benzyl-3-(4-fluorophenyl)-5-hydroxy-5-phenyl-1H-pyrrol-2(5H)-one (4ai-a): this compound was prepared employing 2-(4-fluorophenyl)-4-oxo-4-phenylbutanenitrile 2ai [1] (253 mg, 1.00 mmol) and benzaldehyde 3a (111 mg, 1.05 mmol) in a yield of 331 mg (0.92 mmol, 92%). Purification was performed by column chromatography (EtOAc/Hexane = 2:3). The titled compound was obtained as a yellowish amorphous solid, m.p. 58.5–60.8 °C, Rf 0.29 (EtOAc/Hexane = 2:3). 1H NMR (400 MHz, DMSO-d6) δ 9.08 (s, 1H), 7.46 (d, J = 6.9 Hz, 2H), 7.39 (m, 2H), 7.34–7.23 (m, 3H), 7.09 (t, J = 9.0 Hz, 2H), 6.94 (dd, J = 5.1, 1.9 Hz, 3H), 6.82–6.72 (m, 2H), 6.66 (s, 1H), 3.65–3.51 (m, 2H);13C{1H} NMR (101 MHz, DMSO-d6) δ 171.1, 161.5 (d, J = 244.7 Hz), 157.2, 140.1, 137.2, 131.1 (2C, d, J = 8.4 Hz), 129.6, 128.5 (2C), 128.2 (2C), 127.8, 127.7 (2C), 127.6 (d, J = 3.2 Hz), 126.1 (2C), 125.6, 114.7 (2C, d, J = 21.3 Hz), 88.2, 30.8 FTIR, vmax: 1702, 1598, 1505, 1451, 1232, 1161, 1063 cm−1; HRMS (ESI TOF) m/z: calculated for C23H18FN1Na1O2 [M + Na]+: 382.1214, found 382.1225 (−3.0 ppm).
4-Benzyl-3-(4-(dimethylamino)phenyl)-5-hydroxy-5-phenyl-1H-pyrrol-2(5H)-one (4aj-a): this compound was prepared employing 2-(4-(dimethylamino)phenyl)-4-oxo-4-phenylbutanenitrile 2aj [1] (278 mg, 1.00 mmol) and benzaldehyde 3a (111 mg, 1.05 mmol) in a yield of 277 mg (0.72 mmol, 72%). Purification was performed by column chromatography (EtOAc/Hexane = 1:1). The titled compound was obtained as an orange amorphous solid, m.p. 189.3–191.0 °C, Rf 0.17 (EtOAc/Hexane = 1:1). 1H NMR (400 MHz, DMSO-d6) δ 8.93 (s, 1H), 7.39 (d, J = 6.8 Hz, 2H), 7.34 (d, J = 8.9 Hz, 2H), 7.27–7.18 (m, 3H), 7.03–6.91 (m, 3H), 6.82 (d, J = 5.4 Hz, 2H), 6.62 (d, J = 9.2 Hz, 2H), 6.45 (s, 1H), 3.68–3.51 (m, 2H), 2.87 (s, 6H);13C{1H} NMR (101 MHz, DMSO-d6) δ 171.8, 153.2, 149.7, 140.7, 138.0, 130.4, 129.6 (2C), 128.2 (2C), 128.0 (2C), 127.7 (2C), 127.5, 126.0 (2C), 125.5, 118.7, 111.4 (2C), 88.0, 39.9 (2C), 31.0; FTIR, vmax: 3273, 1668, 1608, 1525, 1447, 1372, 1276, 1204, 1101, 1053, 998 cm−1; HRMS (ESI TOF) m/z: calculated for C23H18FN1Na1O2 [M+H]+: 385.1911, found 385.1905 (1.5 ppm).
3-(Benzo[d][1,3]dioxol-5-yl)-4-benzyl-5-hydroxy-5-phenyl-1H-pyrrol-2(5H)-one (4ak-a): this compound was prepared employing (E)-3-(benzo[d][1,3]dioxol-5-yl)-1-phenylprop-2-en-1-one 2ak [1] (252 mg, 1.00 mmol) and benzaldehyde 3a (111 mg, 1.05 mmol) in a yield of 328 mg (0.85 mmol, 85%). Purification was performed by column chromatography (EtOAc/Hexane = 1:1). The titled compound was obtained as a white amorphous solid, m.p. 152.6–153.7 °C, Rf 0.23 (EtOAc/Hexane = 1:1). 1H NMR (400 MHz, DMSO-d6) δ 9.03 (s, 1H), 7.42 (d, J = 7.0 Hz, 2H), 7.35–7.18 (m, 3H), 7.01–6.95 (m, 3H), 6.92–6.87 (m, 2H), 6.82 (d, J = 8.4 Hz, 1H), 6.79 (dd, J = 7.3, 2.2 Hz, 2H), 6.59 (s, 1H), 5.97 (s, 2H), 3.57 (s, 2H);13C{1H} NMR (101 MHz, DMSO-d6) δ 171.2, 156.0, 146.7 (2C), 140.2, 137.5, 130.21, 128.4 (2C), 128.1 (2C), 127.7 (3C), 126.1 (2C), 125.6, 124.9, 122.9, 109.2, 107.9, 101.0, 88.1, 30.8; FTIR, vmax: 1696, 1602, 1499, 1455, 1439, 1336, 1254, 1097, 1065, 1041 cm−1; HRMS (ESI TOF) m/z: calculated for C24H19N1Na1O4 [M + Na]+: 408.1215, found 408.1206 (−2.1 ppm).
4-Benzyl-5-hydroxy-3-phenyl-5-(p-tolyl)-1H-pyrrol-2(5H)-one (4bc-a): this compound was prepared employing 4-oxo-2-phenyl-4-(p-tolyl)butanenitrile 2bc [1] (249 mg, 1.00 mmol) and benzaldehyde 3a (111 mg, 1.05 mmol) in a yield of 290 mg (0.82 mmol, 82%). Purification was performed by column chromatography (EtOAc/Hexane = 1:1). The titled compound was obtained as a white amorphous solid, m.p. 192.1–192.9 °C, Rf 0.31 (EtOAc/Hexane = 1:1). 1H NMR (400 MHz, DMSO-d6) δ 8.99 (s, 1H), 7.39–7.19 (m, 7H), 7.11 (d, J = 8.2 Hz, 2H), 6.95 (dd, J = 4.9, 2.0 Hz, 3H), 6.84–6.74 (m, 2H), 6.54 (s, 1H), 3.55 (m, 2H), 2.26 (s, 3H);13C{1H} NMR (101 MHz, DMSO-d6) δ 171.2, 157.1, 137.5, 137.2, 136.9, 131.3, 130.6, 129.0 (2C), 128.7 (2C), 128.5 (2C), 127.8 (2C), 127.6 (3C), 126.0 (2C), 125.5, 88.2, 30.8, 20.7; FTIR, vmax: 3531, 1710, 1604, 1495, 1366, 1254, 1101, 1051, 1031, 965 cm−1; HRMS (ESI TOF) m/z: calculated for C24H21N1Na1O2 [M + Na]+: 378.1464, found 378.1467 (−0.7 ppm).
4-Benzyl-3-(4-ethylphenyl)-5-hydroxy-5-phenyl-1H-pyrrol-2(5H)-one (4ce-a): this compound was prepared employing 2-(4-ethylphenyl)-4-(4-methoxyphenyl)-4-oxobutanenitrile 2ce (293 mg, 1.00 mmol) and benzaldehyde 3a (111 mg, 1.05 mmol) in a yield of 308 mg (0.77 mmol, 77%). Purification was performed by column chromatography (EtOAc/Hexane = 1:1). The titled compound was obtained as a yellowish amorphous solid, m.p. 68.8–71.1 °C, Rf 0.29 (EtOAc/Hexane = 1:1). 1H NMR (400 MHz, DMSO-d6) δ 8.94 (s, 1H), 7.30 (m, 4H), 7.12 (d, J = 8.1 Hz, 2H), 7.01–6.93 (m, 3H), 6.87–6.74 (m, 4H), 6.49 (s, 1H), 3.70 (s, 3H), 3.63–3.49 (m, 2H), 2.55 (q, J = 7.6 Hz, 2H), 1.14 (t, J = 7.6 Hz, 3H);13C{1H} NMR (101 MHz, DMSO-d6) δ 171.2, 158.9, 156.5, 143.3, 137.7, 132.0, 130.4, 128.9 (2C), 128.7, 128.4 (2C), 127.7 (2C), 127.3 (2C), 127.2 (2C), 125.5, 113.4 (2C), 88.0, 55.1, 30.8, 28.0, 15.6; FTIR, vmax: 1698, 1602, 1511, 1451, 1244, 1171, 1025, 964 cm−1; HRMS (ESI TOF) m/z: calculated for C26H25N1Na1O3 [M + Na]+: 422.1727, found 422.1730 (−0.9 ppm).
4-Benzyl-5-hydroxy-3-(4-ethylphenyl)-5-(5,6,7,8-tetrahydronaphthalen-2-yl)-1H-pyrrol-2(5H)-one (4de-a): this compound was prepared employing 2-(4-ethylphenyl)-4-oxo-4-(5,6,7,8-tetrahydronaphthalen-2-yl)butanenitrile 2de (317 mg, 1.00 mmol) and benzaldehyde 3a (111 mg, 1.05 mmol) in a yield of 262 mg (0.62 mmol, 62%). Purification was performed by column chromatography (EtOAc/Hexane = 1:1). The titled compound was obtained as a yellowish amorphous solid, m.p. 79.1–80.6 °C, Rf 0.4 (EtOAc/Hexane = 1:1). 1H NMR (400 MHz, DMSO-d6) δ 8.90 (s, 1H), 7.31 (d, J = 8.2 Hz, 2H), 7.13 (d, J = 8.4 Hz, 2H), 7.08 (dd, J = 7.9, 2.1 Hz, 1H), 7.02 (s, 1H), 6.98–6.90 (m, 4H), 6.79 (dd, J = 7.0, 2.6 Hz, 2H), 6.45 (s, 1H), 3.56 (s, 2H), 2.65–2.51 (m, 6H), 1.67 (s, 4H), 1.14 (t, J = 7.6 Hz, 3H);13C{1H} NMR (101 MHz, DMSO-d6) δ 171.7, 156.9, 143.7, 138.1, 137.5, 136.4 (2C), 130.9, 129.6 (2C), 129.2, 129.0, 128.8 (2C), 128.0 (2C), 127.7 (2C), 127.1, 125.8, 123.5, 88.5, 31.4, 29.4, 29.0, 28.4, 23.2 (2C), 16.0; FTIR, vmax: 1698, 1505, 1457, 1244, 1155, 1057, 968 cm−1; HRMS (ESI TOF) m/z: calculated for C29H29N1Na1O2 [M + Na]+: 446.2090, found 446.2097 (−1.4 ppm).
4-Benzyl-5-hydroxy-3-(4-methoxyphenyl)-5-(5,6,7,8-tetrahydronaphthalen-2-yl)-1H-pyrrol-2(5H)-one (4df-a): this compound was prepared employing 2-(4-methoxyphenyl)-4-oxo-4-(5,6,7,8-tetrahydronaphthalen-2-yl)butanenitrile 2df (319 mg, 1.00 mmol) and benzaldehyde 3a (111 mg, 1.05 mmol) in a yield of 249 mg (0.59 mmol, 59%). Purification was performed by column chromatography (EtOAc/Hexane = 1:1). The titled compound was obtained as a yellowish amorphous solid, m.p. 76.2–78.0 °C, Rf 0.23 (EtOAc/Hexane = 1:1). 1H NMR (400 MHz, DMSO-d6) δ 8.90 (s, 1H), 7.36 (d, J = 8.9 Hz, 2H), 7.08 (dd, J = 7.9, 2.1 Hz, 1H), 7.02 (s, 1H), 7.00–6.95 (m, 3H), 6.92 (d, J = 8.1 Hz, 1H), 6.85 (d, J = 8.9 Hz, 2H), 6.83–6.80 (m, 2H), 6.42 (s, 1H), 3.72 (s, 3H), 3.57 (s, 2H), 2.61 (d, J = 14.5 Hz, 4H), 1.67 (t, J = 3.2 Hz, 4H);13C{1H} NMR (101 MHz, DMSO-d6) δ 171.4, 158.7, 155.6, 137.7, 137.2, 136.0, 135.9, 130.2 (2C), 129.8, 128.6, 128.4 (2C), 127.6 (2C), 126.7, 125.4, 123.6, 123.1, 113.3 (2C), 88.0, 55.1, 31.0, 28.9, 28.5, 22.8 (2C); FTIR, vmax: 1698, 1606, 1511, 1455, 1246, 1175, 1059, 966 cm−1; HRMS (ESI TOF) m/z: calculated for C28H27N1Na1O3 [M + Na]+: 448.1883, found 448.1891 (−1.8 ppm).

4. Conclusions

An easy, low-cost synthetic pathway to a variety of novel, fully substituted 5-hydroxy 3-pyrrolin-2-ones was developed. These compounds are of interest to medicinal and organic synthetic chemists as they are analogous (structurally similar) to many naturally occurring bioactive γ-hydroxy butyrolactams. On the other hand, the richness and diversity of functional groups make those 3-pyrrolin-2-one derivatives a convenient starting point for the synthesis of other, more complex heterocyclic systems possessing, potentially, interesting pharmacological properties as well.

Supplementary Materials

The following supporting information can be downloaded at: https://www.mdpi.com/article/10.3390/ijms241210213/s1.

Author Contributions

A.V.A., conceptualization, supervision, data analysis; D.A.A., investigation; I.A.K., investigation; A.V.L., writing (original draft, review, and editing); N.A.A., funding acquisition, conceptualization, supervision, data analysis. All authors have read and agreed to the published version of the manuscript.

Funding

This work was supported by grants from the Russian Science Foundation (grant #21-73-10029, https://rscf.ru/project/21-73-10029/, last accessed on 15 June 2023).

Institutional Review Board Statement

Not applicable.

Informed Consent Statement

Not applicable.

Data Availability Statement

The supporting information includes NMR spectral charts.

Conflicts of Interest

The authors declare no conflict of interest.

References

  1. Aksenov, N.A.; Aksenov, D.A.; Kurenkov, I.A.; Aksenov, A.V.; Skomorokhov, A.A.; Prityko, L.A.; Rubin, M. Preparation of 3,5-Diarylsubstituted 5-Hydroxy-1,5-Dihydro-2 H-Pyrrol-2-Ones via Base-Assisted Cyclization of 3-Cyanoketones. RSC Adv. 2021, 11, 16236–16245. [Google Scholar] [CrossRef] [PubMed]
  2. Patt, W.C.; Edmunds, J.J.; Repine, J.T.; Berryman, K.A.; Reisdorph, B.R.; Lee, C.; Plummer, M.S.; Shahripour, A.; Haleen, S.J.; Keiser, J.A.; et al. Structure−Activity Relationships in a Series of Orally Active γ-Hydroxy Butenolide Endothelin Antagonists. J. Med. Chem. 1997, 40, 1063–1074. [Google Scholar] [CrossRef] [PubMed]
  3. Pelkey, E.T.; Pelkey, S.J.; Greger, J.G. De Novo Synthesis of 3-Pyrrolin-2-Ones. In Advances in Heterocyclic Chemistry; Elsevier Ltd.: Amsterdam, The Netherlands, 2015; Volume 115, pp. 151–285. [Google Scholar] [CrossRef]
  4. Sajadikhah, S.S. Synthesis of 1H-Pyrrol-2(5H)-Ones (Microreview). Chem. Heterocycl. Compd. 2018, 54, 122–124. [Google Scholar] [CrossRef]
  5. Nay, B.; Riache, N.; Evanno, L. Chemistry and Biology of Non-Tetramic γ-Hydroxy-γ-Lactams and γ-Alkylidene-γ-Lactams from Natural Sources. Nat. Prod. Rep. 2009, 26, 1044–1062. [Google Scholar] [CrossRef] [PubMed]
  6. Pelkey, E.T.; Pelkey, S.J.; Greger, J.G. Reactions of 3-Pyrrolin-2-Ones. In Advances in Heterocyclic Chemistry; Elsevier Inc.: Amsterdam, The Netherlands, 2019; Volume 128, pp. 433–565. [Google Scholar] [CrossRef]
  7. Mardjan, M.I.D.; Parrain, J.-L.; Commeiras, L. Strategies to Access γ-Hydroxy-γ-Butyrolactams. Synthesis 2018, 50, 1175–1198. [Google Scholar] [CrossRef]
  8. Chen, T.; Zheng, X.; Wang, W.; Feng, Y.; Wang, Y.; Shen, J. C–C Bond Cleavage Initiated Cascade Reaction of β-Enaminones: One-Pot Synthesis of 5-Hydroxy-1 H-Pyrrol-2(5 H)-Ones. J. Org. Chem. 2021, 86, 2917–2928. [Google Scholar] [CrossRef] [PubMed]
  9. Mardjan, M.I.D.; Mayooufi, A.; Parrain, J.-L.L.; Thibonnet, J.; Commeiras, L. Straightforward Access to a Great Diversity of Complex Biorelevant γ-Lactams Thanks to a Tunable Cascade Multicomponent Process. Org. Process Res. Dev. 2020, 24, 606–614. [Google Scholar] [CrossRef]
  10. Mardjan, M.I.D.; Parrain, J.L.; Commeiras, L. Copper-Catalyzed-Multicomponent Reaction towards the Synthesis of γ-Hydroxybutyrolactams. Mater. Sci. Forum 2022, 1061, 151–156. [Google Scholar] [CrossRef]
  11. Vaishanv, N.K.; Zaheer, M.K.; Kumar, S.; Kant, R.; Mohanan, K. Base-Mediated Intramolecular Cyclization of α-Nitroethylallenic Esters as a Synthetic Route to 5-Hydroxy-3-Pyrrolin-2-Ones. J. Org. Chem. 2021, 86, 5630–5638. [Google Scholar] [CrossRef] [PubMed]
  12. Mallik, S.; Bhajammanavar, V.; Baidya, M. Regioselective Nitrosocarbonyl Aldol Reaction of Deconjugated Butyrolactams: Synthesis of Γ-Heterosubstituted α,Β-Unsaturated Γ-Lactams. Asian J. Org. Chem. 2021, 10, 1419–1423. [Google Scholar] [CrossRef]
  13. Li, C.; Jiang, K.; Ouyang, Q.; Liu, T.-Y.; Chen, Y.-C. [3 + 1]- and [3 + 2]-Cycloadditions of Azaoxyallyl Cations and Sulfur Ylides. Org. Lett. 2016, 18, 2738–2741. [Google Scholar] [CrossRef] [PubMed]
  14. Liao, F.-M.; Cao, Z.-Y.; Yu, J.-S.; Zhou, J. Highly Stereoselective Gold-Catalyzed Coupling of Diazo Reagents and Fluorinated Enol Silyl Ethers to Tetrasubstituted Alkenes. Angew. Chem. Int. Ed. 2017, 56, 2459–2463. [Google Scholar] [CrossRef] [PubMed]
  15. Saldívar-González, F.I.; Lenci, E.; Trabocchi, A.; Medina-Franco, J.L. Exploring the Chemical Space and the Bioactivity Profile of Lactams: A Chemoinformatic Study. RSC Adv. 2019, 9, 27105–27116. [Google Scholar] [CrossRef] [PubMed]
  16. Abaev, V.T.; Aksenov, N.A.; Aksenov, D.A.; Aleksandrova, E.V.; Akulova, A.S.; Kurenkov, I.A.; Leontiev, A.V.; Aksenov, A.V. One-Pot Synthesis of Polynuclear Indole Derivatives by Friedel–Crafts Alkylation of γ-Hydroxybutyrolactams. Molecules 2023, 28, 3162. [Google Scholar] [CrossRef] [PubMed]
  17. Schandel, C.B.; Høj, M.; Osmundsen, C.M.; Jensen, A.D.; Taarning, E. Thermal Cracking of Sugars for the Production of Glycolaldehyde and Other Small Oxygenates. ChemSusChem 2020, 13, 688–692. [Google Scholar] [CrossRef] [PubMed]
  18. Kostetskyy, P.; Coile, M.W.; Terrian, J.M.; Collins, J.W.; Martin, K.J.; Brazdil, J.F.; Broadbelt, L.J. Selective Production of Glycolaldehyde via Hydrothermal Pyrolysis of Glucose: Experiments and Microkinetic Modeling. J. Anal. Appl. Pyrolysis 2020, 149, 104846. [Google Scholar] [CrossRef]
  19. Sasaki, M.; Goto, K.; Tajima, K.; Adschiri, T.; Arai, K. Rapid and Selective Retro-Aldol Condensation of Glucose to Glycolaldehyde in Supercritical Water. Green Chem. 2002, 4, 285–287. [Google Scholar] [CrossRef]
Scheme 1. Synthesis of 3,5- and 3,4,5-substituted 5-hydroxy 3-pyrrolin-2-ones (1 and 4, correspondingly) by ring closure of 3-cyanoketones 2.
Scheme 1. Synthesis of 3,5- and 3,4,5-substituted 5-hydroxy 3-pyrrolin-2-ones (1 and 4, correspondingly) by ring closure of 3-cyanoketones 2.
Ijms 24 10213 sch001
Scheme 2. One-pot synthesis of polynuclear indoles based on intramolecular Friedel–Crafts alkylation with γ-hydroxy butyrolactams.
Scheme 2. One-pot synthesis of polynuclear indoles based on intramolecular Friedel–Crafts alkylation with γ-hydroxy butyrolactams.
Ijms 24 10213 sch002
Scheme 3. The library of novel 3,5-di-aryl/heteroaryl-4-benzyl-5-hydroxy 3-pyrrolin-2-ones 4 prepared by given procedure.
Scheme 3. The library of novel 3,5-di-aryl/heteroaryl-4-benzyl-5-hydroxy 3-pyrrolin-2-ones 4 prepared by given procedure.
Ijms 24 10213 sch003
Scheme 4. Plausible mechanism of a ring closure reaction between β-ketonitrile 2 and aromatic aldehyde 3.
Scheme 4. Plausible mechanism of a ring closure reaction between β-ketonitrile 2 and aromatic aldehyde 3.
Ijms 24 10213 sch004
Scheme 5. An unusual 5-hydroxy 3-pyrrolin-2-ones 4ac-(2-OHCH2CH2) isolated after reaction of cyanoketone 2ac with d-glucose 13 and a speculative mechanism of its formation.
Scheme 5. An unusual 5-hydroxy 3-pyrrolin-2-ones 4ac-(2-OHCH2CH2) isolated after reaction of cyanoketone 2ac with d-glucose 13 and a speculative mechanism of its formation.
Ijms 24 10213 sch005
Table 1. Screening of reaction parameters for synthesis of the γ-hydroxy butyrolactams 4ac-i.
Table 1. Screening of reaction parameters for synthesis of the γ-hydroxy butyrolactams 4ac-i.
Ijms 24 10213 i001
#Base, eqSolvent, M/LTime, hYield a, %
1MeONa, 4MeOH, 0.5489
2MeONa, 2MeOH, 0.5885
3MeONa, 1MeOH, 0.52881
4MeONa, 4MeOH, 11.584
5Et3N, 4MeOH, 124NR
6DBU, 4 MeOH, 12471
7KOH, 4MeOH, 11.567
8MeONa, 4MeCN, 11.50
9MeONa, 4DMF, 120
10MeONa, 4EtOH 96%, 1 1.565
11MeONa, 4EtOH 96%, 0.5475
12MeONa, 4DMSO, 120
a The reactions were performed on 0.5 mmol scales and equimolar quantities of reactants. Isolated yields of purified materials are provided.
Table 2. The reaction scope and yields a of obtained 3,4,5-trisubstituted γ-hydroxy lactams 4.
Table 2. The reaction scope and yields a of obtained 3,4,5-trisubstituted γ-hydroxy lactams 4.
Ijms 24 10213 i002
3-cyanoketone 2aldehyde 3γ-lactams 4
R1R2#R3##%#% a
H4-Cl2abH3a4ab-a694ak-a85
HH2ac4-Et3b4ac-b744ce-a77
4-MeH2bc4-Me3c4bc-a824df-a59
H4-Me2ad3-Cl3d4ad-a904de-a62
H4-Et2ae2-Cl3e4ae-a924ac-i92
H4-OMe2af4-Cl3f4af-a784ac-j71
H3-Cl2ag2-F3g4ac-c864ac-k79
H2-F2ah4-F3h4ac-d924ac-l91
H4-F2ai4-OMe3i4ac-e774ac-m84
H4-(NMe)22aj2-Py3j4ag-a864ac-a85
H3,4-(OCH2O)2ak3-Py3k4ah-a934ac-n82
4-OMe4-Et2ce4-Py3l4ai-a924ac-o79
tetralin4-OMe2df2-thiophene3m4aj-a724ac-p85
tetralin4-Et2de4-(i-Pr)3n4ac-f88
2-Me3o4ac-g92
3,4-(OMe)23p4ac-h91
a Isolated yields of purified materials are provided.
Disclaimer/Publisher’s Note: The statements, opinions and data contained in all publications are solely those of the individual author(s) and contributor(s) and not of MDPI and/or the editor(s). MDPI and/or the editor(s) disclaim responsibility for any injury to people or property resulting from any ideas, methods, instructions or products referred to in the content.

Share and Cite

MDPI and ACS Style

Aksenov, A.V.; Aksenov, D.A.; Kurenkov, I.A.; Leontiev, A.V.; Aksenov, N.A. A New, Convenient Way to Fully Substituted α,β-Unsaturated γ-Hydroxy Butyrolactams. Int. J. Mol. Sci. 2023, 24, 10213. https://doi.org/10.3390/ijms241210213

AMA Style

Aksenov AV, Aksenov DA, Kurenkov IA, Leontiev AV, Aksenov NA. A New, Convenient Way to Fully Substituted α,β-Unsaturated γ-Hydroxy Butyrolactams. International Journal of Molecular Sciences. 2023; 24(12):10213. https://doi.org/10.3390/ijms241210213

Chicago/Turabian Style

Aksenov, Alexander V., Dmitrii A. Aksenov, Igor A. Kurenkov, Alexander V. Leontiev, and Nicolai A. Aksenov. 2023. "A New, Convenient Way to Fully Substituted α,β-Unsaturated γ-Hydroxy Butyrolactams" International Journal of Molecular Sciences 24, no. 12: 10213. https://doi.org/10.3390/ijms241210213

APA Style

Aksenov, A. V., Aksenov, D. A., Kurenkov, I. A., Leontiev, A. V., & Aksenov, N. A. (2023). A New, Convenient Way to Fully Substituted α,β-Unsaturated γ-Hydroxy Butyrolactams. International Journal of Molecular Sciences, 24(12), 10213. https://doi.org/10.3390/ijms241210213

Note that from the first issue of 2016, this journal uses article numbers instead of page numbers. See further details here.

Article Metrics

Back to TopTop