Efficient Photocatalytic Degradation of Tetracycline on the MnFe2O4/BGA Composite under Visible Light
Abstract
1. Introduction
2. Results and Discussion
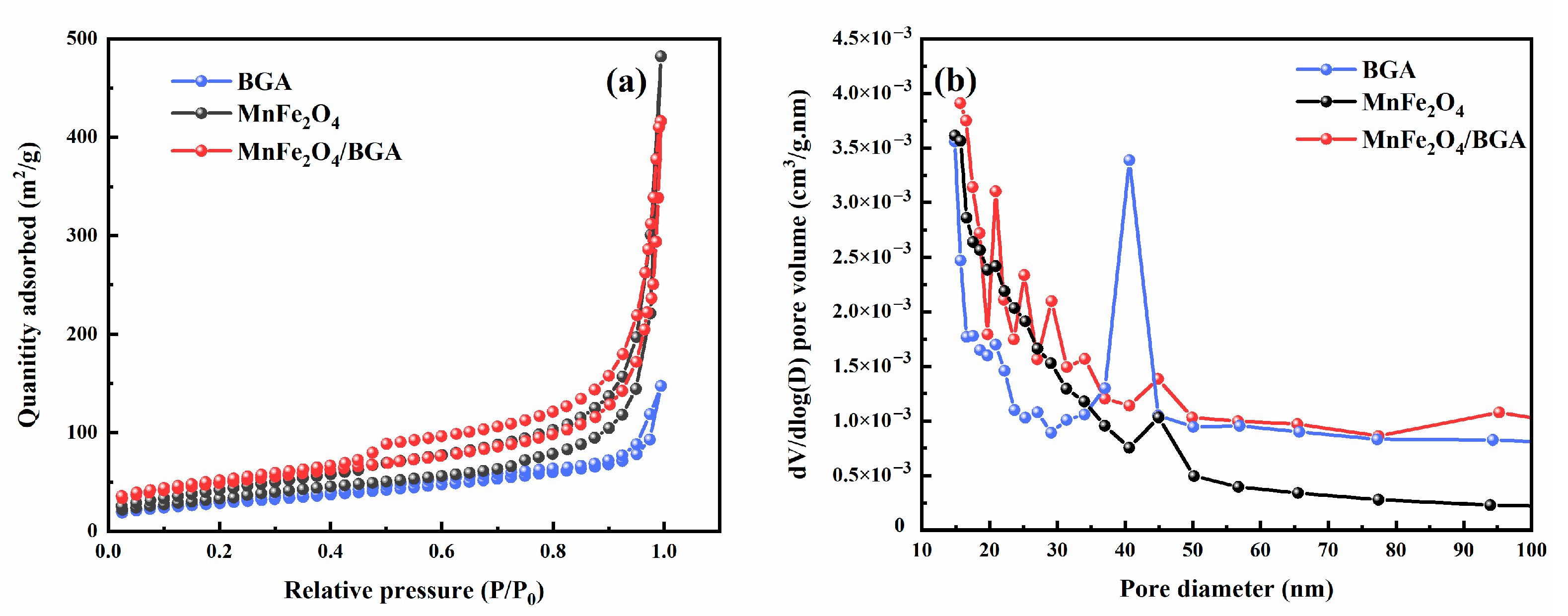
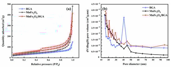
2.1. Materials Characterizations
2.2. Catalytic Performance
2.3. Activation Mechanism
3. Materials and Methods
3.1. Materials
3.2. Preparation of the MnFe2O4/BGA Composite
3.3. Degradation of TC on the MnFe2O4/BGA Composite
3.4. Characterization Methods
4. Conclusions
Author Contributions
Funding
Institutional Review Board Statement
Informed Consent Statement
Data Availability Statement
Conflicts of Interest
References
- Guo, P.; Zhao, F.; Hu, X. Fabrication of a direct Z-scheme heterojunction between MoS2 and B/Eu-g-C3N4 for an enhanced photocatalytic performance toward tetracycline degradation. J. Alloys Compd. 2021, 867, 159044. [Google Scholar] [CrossRef]
- Chen, Y.; Cui, K.; Huang, Q.; Guo, Z.; Huang, Y.; Yu, K.; He, Y. Comprehensive insights into the occurrence, distribution, risk assessment and indicator screening of antibiotics in a large drinking reservoir system. Sci. Total Environ. 2020, 716, 137060. [Google Scholar] [CrossRef]
- Brown, E.D.; Wright, G.D. Antibacterial drug discovery in the resistance era. Nature 2016, 529, 336–343. [Google Scholar] [CrossRef] [PubMed]
- Mandal, B.; Panda, J.; Paul, P.K.; Sarkar, R.; Tudu, B. MnFe2O4 decorated reduced graphene oxide heterostructures: Nanophotocatalyst for methylene blue dye degradation. Vacuum 2020, 173, 109150. [Google Scholar] [CrossRef]
- Wu, Y.; Ren, W.; Li, Y.; Gao, J.; Yang, X.; Yao, J. Zeolitic imidazolate framework-67@cellulose aerogel for rapid and efficient degradation of organic pollutants. J. Solid State Chem. 2020, 291, 121621. [Google Scholar] [CrossRef]
- Tang, S.; Zhao, M.; Yuan, D.; Li, X.; Zhang, X.; Wang, Z.; Jiao, T.; Wang, K. MnFe2O4 nanoparticles promoted electrochemical oxidation coupling with persulfate activation for tetracycline degradation. Sep. Purif. Technol. 2021, 255, 117690. [Google Scholar] [CrossRef]
- Liu, J.; Zhong, S.; Song, Y.; Wang, B.; Zhang, F. Degradation of tetracycline hydrochloride by electro-activated persulfate oxidation. J. Electroanal. Chem. 2018, 809, 74–79. [Google Scholar] [CrossRef]
- Ji, Y.; Shi, Y.; Dong, W.; Wen, X.; Jiang, M.; Lu, J. Thermo-activated persulfate oxidation system for tetracycline antibiotics degradation in aqueous solution. Chem. Eng. J. 2016, 298, 225–233. [Google Scholar] [CrossRef]
- Liu, Y.; He, X.; Fu, Y.; Dionysiou, D.D. Kinetics and mechanism investigation on the destruction of oxytetracycline by UV-254 nm activation of persulfate. J. Hazard. Mater. 2016, 305, 229–239. [Google Scholar] [CrossRef]
- Soltani, R.D.C.; Mashayekhi, M.; Naderi, M.; Boczkaj, G.; Jorfi, S.; Safari, M. Sonocatalytic degradation of tetracycline antibiotic using zinc oxide nanostructures loaded on nano-cellulose from waste straw as nanosonocatalyst. Ultrason. Sonochem. 2019, 55, 117–124. [Google Scholar] [CrossRef]
- He, D.; Zhu, K.; Huang, J.; Shen, Y.; Lei, L.; He, H.; Chen, W. N, S co-doped magnetic mesoporous carbon nanosheets for activating peroxymonosulfate to rapidly degrade tetracycline: Synergistic effect and mechanism. J. Hazard. Mater. 2022, 424, 127569. [Google Scholar] [CrossRef]
- Pulicharla, R.; Drouinaud, R.; Brar, S.K.; Drogui, P.; Proulx, F.; Verma, M.; Surampalli, R.Y. Activation of persulfate by homogeneous and heterogeneous iron catalyst to degrade chlortetracycline in aqueous solution. Chemosphere 2018, 207, 543–551. [Google Scholar] [CrossRef]
- Wang, L.; Jiang, J.; Pang, S.-Y.; Zhou, Y.; Li, J.; Sun, S.; Gao, Y.; Jiang, C. Oxidation of bisphenol A by nonradical activation of peroxymonosulfate in the presence of amorphous manganese dioxide. Chem. Eng. J. 2018, 352, 1004–1013. [Google Scholar] [CrossRef]
- Deonikar, V.G.; Rathod, P.V.; Pornea, A.M.; Kim, H. Superior decontamination of toxic organic pollutants under solar light by reduced graphene oxide incorporated tetrapods-like Ag3PO4/MnFe2O4 hierarchical composites. J. Environ. Manag. 2020, 256, 109930. [Google Scholar] [CrossRef]
- Ren, W.; Gao, J.; Lei, C.; Xie, Y.; Cai, Y.; Ni, Q.; Yao, J. Recyclable metal-organic framework/cellulose aerogels for activating peroxymonosulfate to degrade organic pollutants. Chem. Eng. J. 2018, 349, 766–774. [Google Scholar] [CrossRef]
- Abroshan, E.; Farhadi, S.; Zabardasti, A. Novel magnetically separable Ag3PO4/MnFe2O4 nanocomposite and its high photocatalytic degradation performance for organic dyes under solar-light irradiation. Sol. Energy Mater. Sol. Cells 2018, 178, 154–163. [Google Scholar] [CrossRef]
- Huang, X.; Liu, L.; Xi, Z.; Zheng, H.; Dong, W.; Wang, G. One-pot solvothermal synthesis of magnetically separable rGO/MnFe2O4 hybrids as efficient photocatalysts for degradation of MB under visible light. Mater. Chem. Phys. 2019, 231, 68–74. [Google Scholar] [CrossRef]
- Wang, G.; Ma, Y.; Zhang, L.; Mu, J.; Zhang, Z.; Zhang, X.; Che, H.; Bai, Y.; Hou, J. Facile synthesis of manganese ferrite/graphene oxide nanocomposites for controlled targeted drug delivery. J. Magn. Magn. Mater. 2016, 401, 647–650. [Google Scholar] [CrossRef]
- Sakho, E.H.M.; Jose, J.; Thomas, S.; Kalarikkal, N.; Oluwafemi, O.S. Antimicrobial properties of MFe2O4 (M=Mn, Mg)/reduced graphene oxide composites synthesized via solvothermal method. Mater. Sci. Eng. C Mater. Biol. Appl. 2019, 95, 43–48. [Google Scholar] [CrossRef]
- Wang, X.; Wang, A.; Ma, J. Visible-light-driven photocatalytic removal of antibiotics by newly designed C(3)N(4)@MnFe(2)O(4)-graphene nanocomposites. J. Hazard. Mater. 2017, 336, 81–92. [Google Scholar] [CrossRef]
- Zhou, X.; Kong, L.; Jing, Z.; Wang, S.; Lai, Y.; Xie, M.; Ma, L.; Feng, Z.; Zhan, J. Facile synthesis of superparamagnetic beta-CD-MnFe2O4 as a peroxymonosulfate activator for efficient removal of 2,4- dichlorophenol: Structure, performance, and mechanism. J. Hazard. Mater. 2020, 394, 122528. [Google Scholar] [CrossRef]
- Okla, M.K.; Harini, G.; Dawoud, T.M.; Akshhayya, C.; Mohebaldin, A.; Al-ghamdi, A.A.; Soufan, W.; Abdel-Maksoud, M.A.; AbdElgawad, H.; Raju, L.L.; et al. Fabrication of MnFe2O4 spheres modified CeO2 nano-flakes for sustainable photodegradation of MB dye and antimicrobial activity: A brief computational investigation on reactive sites and degradation pathway. Colloids Surf. A Physicochem. Eng. Asp. 2022, 641, 128566. [Google Scholar] [CrossRef]
- He, Y.; Qian, J.; Wang, P.; Wu, J.; Lu, B.; Tang, S.; Gao, P. Acceleration of levofloxacin degradation by combination of multiple free radicals via MoS2 anchored in manganese ferrite doped perovskite activated PMS under visible light. Chem. Eng. J. 2022, 431, 133933. [Google Scholar] [CrossRef]
- Yao, Y.; Cai, Y.; Lu, F.; Wei, F.; Wang, X.; Wang, S. Magnetic recoverable MnFe(2)O(4) and MnFe(2)O(4)-graphene hybrid as heterogeneous catalysts of peroxymonosulfate activation for efficient degradation of aqueous organic pollutants. J. Hazard. Mater. 2014, 270, 61–70. [Google Scholar] [CrossRef]
- Deng, M.; Huang, Y. The phenomena and mechanism for the enhanced adsorption and photocatalytic decomposition of organic dyes with Ag3PO4/graphene oxide aerogel composites. Ceram. Int. 2020, 46, 2565–2570. [Google Scholar] [CrossRef]
- Sun, X.; Ji, S.; Wang, M.; Dou, J.; Yang, Z.; Qiu, H.; Kou, S.; Ji, Y.; Wang, H. Fabrication of porous TiO2-RGO hybrid aerogel for high-efficiency, visible-light photodegradation of dyes. J. Alloys Compd. 2020, 819, 153033. [Google Scholar] [CrossRef]
- Qiao, H.; Huang, Z.; Liu, S.; Tao, Y.; Zhou, H.; Li, M.; Qi, X. Novel mixed-dimensional photocatalysts based on 3D graphene aerogel embedded with TiO2/MoS2 hybrid. J. Phys. Chem. C 2019, 123, 10949–10955. [Google Scholar] [CrossRef]
- Maouche, C.; Zhou, Y.; Peng, J.; Wang, S.; Sun, X.; Rahman, N.; Yongphet, P.; Liu, Q.; Yang, J. A 3D nitrogen-doped graphene aerogel for enhanced visible-light photocatalytic pollutant degradation and hydrogen evolution. RSC Adv. 2020, 10, 12423–12431. [Google Scholar] [CrossRef]
- Ren, F.; Zhu, W.; Zhao, J.; Liu, H.; Zhang, X.; Zhang, H.; Zhu, H.; Peng, Y.; Wang, B. Nitrogen-doped graphene oxide aerogel anchored with spinel CoFe2O4 nanoparticles for rapid degradation of tetracycline. Sep. Purif. Technol. 2020, 241, 116690. [Google Scholar] [CrossRef]
- Chowdhury, S.; Jiang, Y.; Muthukaruppan, S.; Balasubramanian, R. Effect of boron doping level on the photocatalytic activity of graphene aerogels. Carbon 2018, 128, 237–248. [Google Scholar] [CrossRef]
- Li, Q.; Jiang, X.; Lian, Y. The efficient photocatalytic degradation of organic pollutants on the MnFe2O4/BGA composite under visible light. Nanomaterials 2021, 11, 1276. [Google Scholar] [CrossRef] [PubMed]
- Rajalakshmi, R.; Ponpandian, N. Morphological design of MnFe2O4 facets (cube, flakes and capsules) for their role in electrical, magnetic and photocatalytic activity. Mater. Res. Bull. 2023, 164, 112242. [Google Scholar] [CrossRef]
- Tang, Z.R.; Zhang, Y.; Zhang, N.; Xu, Y.J. New insight into the enhanced visible light photocatalytic activity over boron-doped reduced graphene oxide. Nanoscale 2015, 7, 7030–7034. [Google Scholar] [CrossRef] [PubMed]
- Khai, T.V.; Na, H.G.; Kwak, D.S.; Kwon, Y.J.; Ham, H.; Shim, K.B.; Kim, H.W. Comparison study of structural and optical properties of boron-doped and undoped graphene oxide films. Chem. Eng. J. 2012, 211–212, 369–377. [Google Scholar] [CrossRef]
- Ge, S.; He, J.; Ma, C.; Liu, J.; Xi, F.; Dong, X. One-step synthesis of boron-doped graphene quantum dots for fluorescent sensors and biosensor. Talanta 2019, 199, 581–589. [Google Scholar] [CrossRef]
- Chen, G.; Zhang, X.; Gao, Y.; Zhu, G.; Cheng, Q.; Cheng, X. Novel magnetic MnO2/MnFe2O4 nanocomposite as a heterogeneous catalyst for activation of peroxymonosulfate (PMS) toward oxidation of organic pollutants. Sep. Purif. Technol. 2019, 213, 456–464. [Google Scholar] [CrossRef]
- Yong Lee, S.; Kim, H.; Jang, H.; Hwang, M.-J.; Bong Lee, K.; Choi, J.-W.; Jung, K.-W. Fabrication of manganese ferrite (MnFe2O4) microsphere-coated magnetic biochar composite for antimonate sequestration: Characterization, adsorption behavior, and mechanistic understanding. Appl. Surf. Sci. 2022, 578, 152005. [Google Scholar] [CrossRef]
- Zhu, L.; Shi, Z.; Deng, L. Enhanced heterogeneous degradation of sulfamethoxazole via peroxymonosulfate activation with novel magnetic MnFe2O4/GCNS nanocomposite. Colloids Surf. A Physicochem. Eng. Asp. 2021, 621, 126531. [Google Scholar] [CrossRef]
- Niu, L.; Li, Z.; Hong, W.; Sun, J.; Wang, Z.; Ma, L.; Wang, J.; Yang, S. Pyrolytic synthesis of boron-doped graphene and its application as electrode material for supercapacitors. Electrochim. Acta 2013, 108, 666–673. [Google Scholar] [CrossRef]
- Jin, C.; Kang, J.; Li, Z.; Wang, M.; Wu, Z.; Xie, Y. Enhanced visible light photocatalytic degradation of tetracycline by MoS2/Ag/g-C3N4 Z-scheme composites with peroxymonosulfate. Appl. Surf. Sci. 2020, 514, 146076. [Google Scholar] [CrossRef]
- Wang, J.; Wang, M.; Kang, J.; Tang, Y.; Liu, J.; Li, S.; Xu, Z.; Tang, P. The promoted tetracycline visible-light-driven photocatalytic degradation efficiency of g-C3N4/FeWO4 Z-scheme heterojunction with peroxymonosulfate assisting and mechanism. Sep. Purif. Technol. 2022, 296, 121440. [Google Scholar] [CrossRef]
- Wang, Y.; Ding, L.; Liu, C.; Lu, Y.; Wu, Q.; Wang, C.; Hu, Q. 0D/2D/2D ZnFe2O4/Bi2O2CO3/BiOBr double Z-scheme heterojunctions for the removal of tetracycline antibiotics by permonosulfate activation: Photocatalytic and non-photocatalytic mechanisms, radical and non-radical pathways. Sep. Purif. Technol. 2022, 283, 120164. [Google Scholar] [CrossRef]
- Jiang, X.; Xiao, K.; Liu, Z.; Xu, W.; Liang, F.; Mo, S.; Wu, X.; Beiyuan, J. Novel 0D-1D-2D nanostructured MCN/NCDs recyclable composite for boosted peroxymonosulfate activation under visible light toward tetracycline degradation. Sep. Purif. Technol. 2022, 296, 121328. [Google Scholar] [CrossRef]
- Chen, R.; Xia, J.; Chen, Y.; Shi, H. S-scheme-enhanced PMS activation for rapidly degrading tetracycline using CuWO4−x/Bi12O17Cl2 heterostructures. Acta Phys. Chim. Sin. 2022, 39, 2209012. [Google Scholar] [CrossRef]
- Li, Y.; Wu, Y.; Jiang, H.; Wang, H. In Situ stable growth of Bi2WO6 on natural hematite for efficient antibiotic wastewater purification by photocatalytic activation of peroxymonosulfate. Chem. Eng. J. 2022, 446, 136704. [Google Scholar] [CrossRef]
- Xiao, S.; Zhou, J.; Liu, D.; Liu, W.; Li, L.; Liu, X.; Sun, Y. Efficient degradation of tetracycline hydrochloride by peroxymonosulfate activated by composite materials FeSe2/Fe3O4 under visible light. Chem. Phys. Lett. 2022, 805, 139944. [Google Scholar] [CrossRef]
- Tan, J.; Wei, G.; Wang, Z.; Su, H.; Liu, L.; Li, C.; Bian, J. Application of Zn1−xCdxS photocatalyst for degradation of 2-CP and TC, catalytic nechanism. Catalysts 2022, 12, 1100. [Google Scholar] [CrossRef]
- Li, Y.; Chen, L.; Zhang, J.; Zhu, C.; Liu, L. Synergistic photocatalytic degradation of TC-HCl by Mn3+/Co2+/Bi2O3 and PMS. Inorg. Chem. Commun. 2023, 150, 110468. [Google Scholar] [CrossRef]
- Yuan, X.; Leng, Y.; Fang, C.; Gao, K.; Liu, C.; Song, J.; Guo, Y. The synergistic effect of PMS activation by LaCoO3/g-C3N4 for degradation of tetracycline hydrochloride: Performance, mechanism and phytotoxicity evaluation. New J. Chem. 2022, 46, 12217–12228. [Google Scholar] [CrossRef]
- Guo, H.; Niu, H.-Y.; Liang, C.; Niu, C.-G.; Liu, Y.; Tang, N.; Yang, Y.; Liu, H.-Y.; Yang, Y.-Y.; Wang, W.-J. Few-layer graphitic carbon nitride nanosheet with controllable functionalization as an effective metal-free activator for peroxymonosulfate photocatalytic activation: Role of the energy band bending. Chem. Eng. J. 2020, 401, 126072. [Google Scholar] [CrossRef]
- Wang, R.; Su, S.; Ren, X.; Guo, W. Polyoxometalate intercalated La-doped NiFe-LDH for efficient removal of tetracycline via peroxymonosulfate activation. Sep. Purif. Technol. 2021, 274, 119113. [Google Scholar] [CrossRef]
- Jin, C.; Wang, M.; Li, Z.; Kang, J.; Zhao, Y.; Han, J.; Wu, Z. Two dimensional Co3O4/g-C3N4 Z-scheme heterojunction: Mechanism insight into enhanced peroxymonosulfate-mediated visible light photocatalytic performance. Chem. Eng. J. 2020, 398, 125569. [Google Scholar] [CrossRef]
- Wang, A.; Chen, Y.; Zheng, Z.; Wang, H.; Li, X.; Yang, Z.; Qiu, R.; Yan, K. In situ N-doped carbon-coated mulberry-like cobalt manganese oxide boosting for visible light driving photocatalytic degradation of pharmaceutical pollutants. Chem. Eng. J. 2021, 411, 128497. [Google Scholar] [CrossRef]
- Tang, R.; Gong, D.; Deng, Y.; Xiong, S.; Zheng, J.; Li, L.; Zhou, Z.; Su, L.; Zhao, J. Pi-pi stacking derived from graphene-like biochar/g-C(3)N(4) with tunable band structure for photocatalytic antibiotics degradation via peroxymonosulfate activation. J. Hazard. Mater. 2022, 423, 126944. [Google Scholar] [CrossRef]
- Chen, J.; Rasool, R.T.; Ashraf, G.A.; Guo, H. The stimulation of peroxymonosulfate via novel Co0.5Cu0.5Fe2O4 heterogeneous photocatalyst in aqueous solution for organic contaminants removal. Mater. Sci. Semicond. Process. 2023, 157, 107321. [Google Scholar] [CrossRef]
- Dou, X.; Chen, Y.; Shi, H. CuBi2O4/BiOBr composites promoted PMS activation for the degradation of tetracycline: S-scheme mechanism boosted Cu2+/Cu+ cycle. Chem. Eng. J. 2022, 431, 134054. [Google Scholar] [CrossRef]
- Judith Vijaya, J.; Sekaran, G.; Bououdina, M. Effect of Cu2+ doping on structural, morphological, optical and magnetic properties of MnFe2O4 particles/sheets/flakes-like nanostructures. Ceram. Int. 2015, 41, 15–26. [Google Scholar] [CrossRef]
- Yang, J.; Gao, M.; Yang, L.; Zhang, Y.; Lang, J.; Wang, D.; Wang, Y.; Liu, H.; Fan, H. Low-temperature growth and optical properties of Ce-doped ZnO nanorods. Appl. Surf. Sci. 2008, 255, 2646–2650. [Google Scholar] [CrossRef]
- Dang, H.; Qiu, Y.; Cheng, Z.; Yang, W.; Wu, H.; Fan, H.; Dong, X. Hydrothermal preparation and characterization of nanostructured CNTs/ZnFe2O4 composites for solar water splitting application. Ceram. Int. 2016, 42, 10520–10525. [Google Scholar] [CrossRef]
- Liao, G.; Chen, S.; Quan, X.; Yu, H.; Zhao, H. Graphene oxide modified g-C3N4hybrid with enhanced photocatalytic capability under visible light irradiation. J. Mater. Chem. 2012, 22, 2721–2726. [Google Scholar] [CrossRef]












| Catalysts | Concentration of TC (mg·L−1) | Catalyst Dosage (g·L−1) | Time (min) | Concentration of PMS (mM) | Degradation Rate (%) | Ref. |
|---|---|---|---|---|---|---|
| MoS2/Ag/g-C3N4 | 20 | 0.2 | 50 | 0.1 | 98.9 | [40] |
| g-C3N4/FeWO4 | 20 | 0.2 | 60 | 0.6 | 100 | [41] |
| ZnFe2O4/Bi2O2CO3/BiOBr | 20 | 0.5 | 20 | 0.8 | 93.0 | [42] |
| MCN/NCDs | 10 | 0.5 | 60 | 0.5 | 98.4 | [43] |
| CuWO4−x/Bi12O17Cl2 | 10 | 0.3 | 30 | 0.2 | 94.7 | [44] |
| Bi2WO6/natural hematite | 50 | 0.5 | 100 | 0.8 | 91.0 | [45] |
| FeSe2/Fe3O4 | 50 | 0.4 | 60 | 2.0 | 87.8 | [46] |
| Zn1−xCdxS | 40 | 0.5 | 120 | 0.3 | 90.0 | [47] |
| Mn3+-Co2+-Bi2O3 | 30 | 0.5 | 60 | 1.0 | 88.0 | [48] |
| LaCoO3/g-C3N4 | 30 | 0.2 | 30 | 0.2 | 69.2 | [49] |
| FCN-12 | 30 | 0.6 | 120 | 0.6 | 83.4 | [50] |
| La-doped NiFe-LDH | 20 | 0.04 | 60 | 2.0 | 90.0 | [51] |
| Co3O4/g-C3N4 | 20 | 0.2 | 60 | 0.1 | 90.2 | [52] |
| H-CoMnOx@NC | 13 | 0.1 | 30 | 0.3 | 88.9 | [53] |
| graphene-like biochar/g-C3N4 | 10 | 0.2 | 60 | 0.3 | ~90 | [54] |
| Co0.5Cu0.5Fe2O4 | 10 | 0.06 | 40 | 0.1 | 86.0 | [55] |
| CuBi2O4/BiOBr | 10 | 0.2 | 35 | 2.0 | 90.3 | [56] |
| MnFe2O4/BGA | 20 | 0.2 | 60 | 0.1 | 92.2 | This work |
Disclaimer/Publisher’s Note: The statements, opinions and data contained in all publications are solely those of the individual author(s) and contributor(s) and not of MDPI and/or the editor(s). MDPI and/or the editor(s) disclaim responsibility for any injury to people or property resulting from any ideas, methods, instructions or products referred to in the content. |
© 2023 by the authors. Licensee MDPI, Basel, Switzerland. This article is an open access article distributed under the terms and conditions of the Creative Commons Attribution (CC BY) license (https://creativecommons.org/licenses/by/4.0/).
Share and Cite
Jiang, X.; Zhou, Q.; Lian, Y. Efficient Photocatalytic Degradation of Tetracycline on the MnFe2O4/BGA Composite under Visible Light. Int. J. Mol. Sci. 2023, 24, 9378. https://doi.org/10.3390/ijms24119378
Jiang X, Zhou Q, Lian Y. Efficient Photocatalytic Degradation of Tetracycline on the MnFe2O4/BGA Composite under Visible Light. International Journal of Molecular Sciences. 2023; 24(11):9378. https://doi.org/10.3390/ijms24119378
Chicago/Turabian StyleJiang, Xiaoyu, Qin Zhou, and Yongfu Lian. 2023. "Efficient Photocatalytic Degradation of Tetracycline on the MnFe2O4/BGA Composite under Visible Light" International Journal of Molecular Sciences 24, no. 11: 9378. https://doi.org/10.3390/ijms24119378
APA StyleJiang, X., Zhou, Q., & Lian, Y. (2023). Efficient Photocatalytic Degradation of Tetracycline on the MnFe2O4/BGA Composite under Visible Light. International Journal of Molecular Sciences, 24(11), 9378. https://doi.org/10.3390/ijms24119378

