Enamel Matrix Derivative Decreases Pyroptosis-Related Genes in Macrophages
Abstract
1. Introduction
2. Materials and Methods
2.1. Primary Macrophages, RAW 264.7 Macrophage-like Cells, and ST2 Mesenchymal Cells
2.2. Reverse Transcription Quantitative Real-Time PCR (RT-qPCR) and Immunoassay
2.3. Western Blot
2.4. Mitochondrial Reactive Oxygen Species (ROS) Release
2.5. Statistical Analysis
3. Results
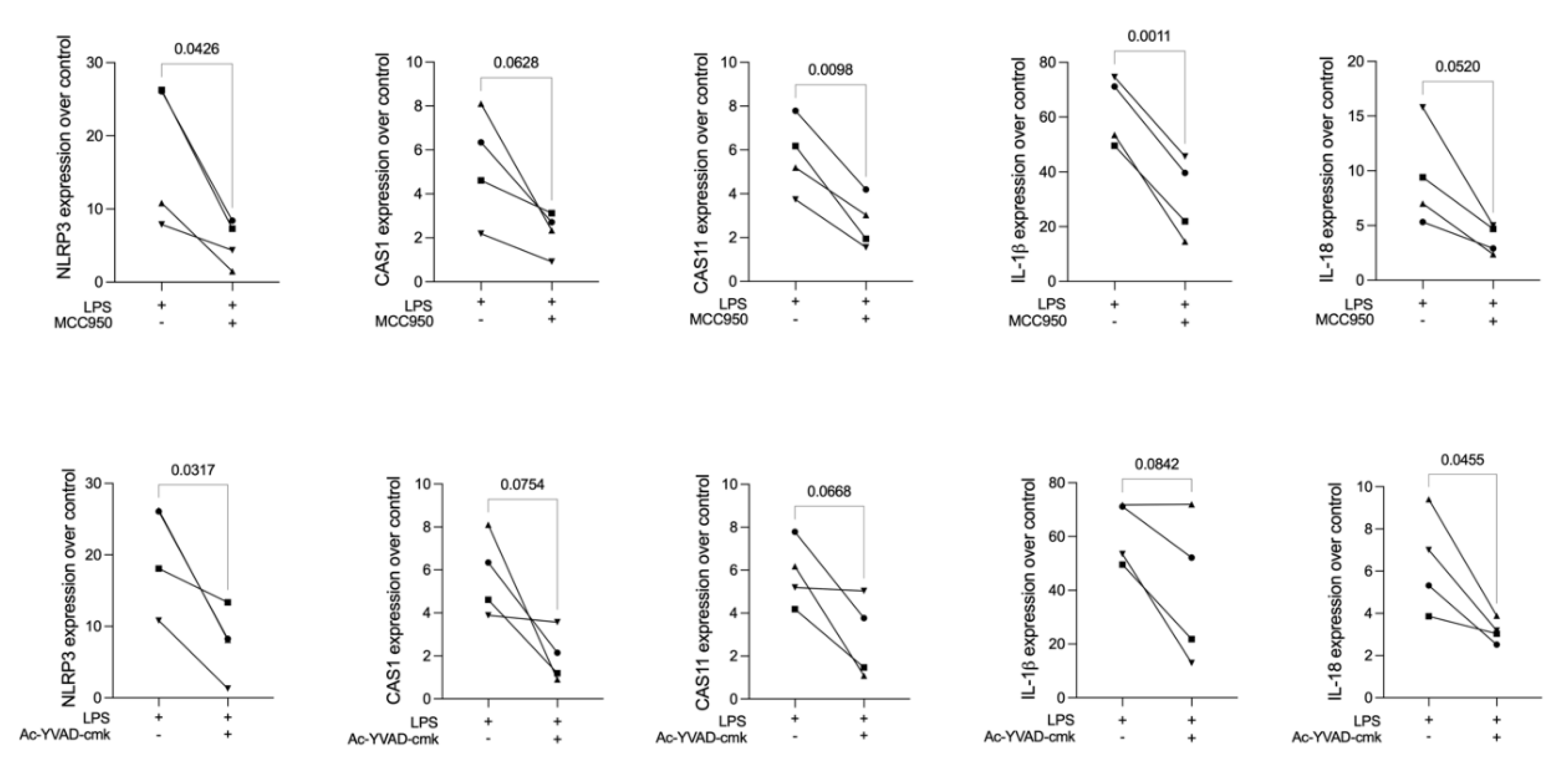
3.1. Pyroptosis Inhibitors Validate Macrophages to Serve as a Pyroptosis Model
3.2. EMD Reduces the Expression of Pyroptosis Markers in LPS-Induced Primary Macrophages
3.3. EMD Reduces the Expression of Pyroptosis Markers in LPS-Induced RAW 264.7 Macrophages
3.4. EMD Reduces Reactive Oxygen Species (ROS) in LPS-Induced RAW 264.7 Macrophages
3.5. ST2 Mesenchymal Cells Are Not Suitable to Test the Potential Role of EMD on Pyroptosis
4. Discussion
Supplementary Materials
Author Contributions
Funding
Institutional Review Board Statement
Informed Consent Statement
Acknowledgments
Conflicts of Interest
References
- Petersen, P.E.; Ogawa, H. The global burden of periodontal disease: Towards integration with chronic disease prevention and control: Global periodontal health. Periodontol. 2000. 2012, 60, 15–39. [Google Scholar] [CrossRef] [PubMed]
- Klinge, B.; Meyle, J. Soft-tissue integration of implants. Clin. Oral Implant. Res. 2006, 17, 93–96. [Google Scholar] [CrossRef] [PubMed]
- Berglundh, T.; Armitage, G.; Araujo, M.G.; Avila-Ortiz, G.; Blanco, J.; Camargo, P.M.; Chen, S.; Cochran, D.; Derks, J.; Figuero, E.; et al. Peri-implant diseases and conditions: Consensus report of workgroup 4 of the 2017 World Workshop on the Classification of Periodontal and Peri-Implant Dis-eases and Conditions. J. Clin. Periodontol. 2018, 89, S313–S318. [Google Scholar] [CrossRef] [PubMed]
- Ramanauskaite, A.; Becker, K.; Schwarz, F. Clinical characteristics of peri-implant mucositis and peri-implantitis. Clin. Oral Implant. Res. 2018, 29, 551–556. [Google Scholar] [CrossRef]
- Lindhe, J.; Meyle, J.; on behalf of Group D of the European Workshop on Periodontology. Peri-implant diseases: Consensus report of the Sixth European Workshop on Periodontology. J. Clin. Periodontol. 2008, 35 (Suppl. S8), 282–285. [Google Scholar] [CrossRef]
- Schwarz, F.; Derks, J.; Monje, A.; Wang, H.-L. Peri-implantitis. J. Clin. Periodontol. 2018, 45, S246–S266. [Google Scholar] [CrossRef]
- Yuan, X.; Pei, X.; Chen, J.; Zhao, Y.; Brunski, J.B.; Helms, J.A. Comparative analyses of the soft tissue interfaces around teeth and implants: Insights from a pre-clinical implant model. J. Clin. Periodontol. 2021, 48, 745–753. [Google Scholar] [CrossRef]
- Kinane, D.F.; Stathopoulou, P.G.; Papapanou, P.N. Periodontal diseases. Nat. Rev. Dis. Primers 2017, 3, 17038. [Google Scholar] [CrossRef]
- Kajiya, M.; Kurihara, H. Molecular Mechanisms of Periodontal Disease. Int. J. Mol. Sci. 2021, 22, 930. [Google Scholar] [CrossRef]
- Yu, C.; Zhang, C.; Kuang, Z.; Zheng, Q. The Role of NLRP3 Inflammasome Activities in Bone Diseases and Vascular Calcifica-tion. Inflammation 2021, 44, 434–449. [Google Scholar] [CrossRef]
- Chen, Q.; Liu, X.; Wang, D.; Zheng, J.; Chen, L.; Xie, Q.; Liu, X.; Niu, S.; Qu, G.; Lan, J.; et al. Periodontal Inflammation-Triggered by Periodontal Ligament Stem Cell Pyroptosis Exacerbates Periodontitis. Front. Cell Dev. Biol. 2021, 9, 663037. [Google Scholar] [CrossRef] [PubMed]
- Sordi, M.B.; de Souza Magini, R.; Panahipour, L.; Gruber, R. Pyroptosis-Mediated Periodontal Disease. Int. J. Mol. Sci. 2022, 23, 372. [Google Scholar] [CrossRef] [PubMed]
- Cheng, R.; Liu, W.; Zhang, R.; Feng, Y.; Bhowmick, N.A.; Hu, T. Porphyromonas gingivalis-Derived Lipopolysaccharide Combines Hypoxia to Induce Caspase-1 Activation in Periodontitis. Front. Cell. Infect. Microbiol. 2017, 7, 474. [Google Scholar] [CrossRef] [PubMed]
- Cecil, J.D.; O′Brien-Simpson, N.; Lenzo, J.; Holden, J.A.; Singleton, W.; Gonzalez, A.P.; Mansell, A.; Reynolds, E.C. Outer Membrane Vesicles Prime and Activate Macrophage Inflammasomes and Cytokine Secretion In Vitro and In Vivo. Front. Immunol. 2017, 8, 1017. [Google Scholar] [CrossRef] [PubMed]
- Fleetwood, A.; Lee, M.K.; Singleton, W.; Achuthan, A.; Lee, M.-C.; O′Brien-Simpson, N.; Cook, A.D.; Murphy, A.; Dashper, S.; Reynolds, E.C.; et al. Metabolic Remodeling, Inflammasome Activation, and Pyroptosis in Macrophages Stimulated by Porphyromonas gingivalis and Its Outer Membrane Vesicles. Front. Cell. Infect. Microbiol. 2017, 7, 351. [Google Scholar] [CrossRef]
- Zhang, X.; He, S.; Lu, W.; Lin, L.; Xiao, H. Glycogen synthase kinase-3β (GSK-3β) deficiency inactivates the NLRP3 inflam-masome-mediated cell pyroptosis in LPS-treated periodontal ligament cells (PDLCs). In Vitro Cell Dev. Biol. Anim. 2021, 57, 404–414. [Google Scholar] [CrossRef]
- Liu, P.; Cui, L.; Shen, L. Knockdown of TRIM52 alleviates LPS-induced inflammatory injury in human periodontal ligament cells through the TLR4/NF-κB pathway. Biosci. Rep. 2020, 40, BSR20201223. [Google Scholar] [CrossRef]
- de Andrade, K.Q.; Almeida-da-Silva, C.L.C.; Coutinho-Silva, R. Immunological Pathways Triggered by Porphyromonas gingi-valis and Fusobacterium nucleatum: Therapeutic Possibilities? Mediat. Inflamm. 2019, 2019, 7241312. [Google Scholar] [CrossRef]
- Pihlstrom, B.L.; Michalowicz, B.S.; Johnson, N.W. Periodontal diseases. Lancet 2005, 366, 1809–1820. [Google Scholar] [CrossRef]
- Esposito, M.; Grusovin, M.G.; Papanikolaou, N.; Coulthard, P.; Worthington, H.V. Enamel matrix derivative (Emdogain) for per-iodontal tissue regeneration in intrabony defects. A Cochrane systematic review. Eur. J. Oral. Implantol. 2009, 2, 247–266. [Google Scholar]
- Romanelli, M.; Dini, V.; Vowden, P.; Agren, M.S. Amelogenin, an extracellular matrix protein, in the treatment of venous leg ulcers and other hard-to-heal wounds: Experimental and clinical evidence. Clin. Interv. Aging 2008, 3, 263–272. [Google Scholar] [CrossRef] [PubMed]
- Stout, B.M.; Alent, B.J.; Pedalino, P.; Holbrook, R.; Gluhak-Heinrich, J.; Cui, Y.; Harris, M.A.; Gemperli, A.C.; Cochran, D.L.; Deas, D.E.; et al. Enamel Matrix Derivative: Protein Components and Osteoinductive Properties. J. Periodontol. 2014, 85, e9–e17. [Google Scholar] [CrossRef] [PubMed]
- Gruber, R.; Bosshardt, D.D.; Miron, R.J.; Gemperli, A.C.; Buser, D.; Sculean, A. Enamel matrix derivative inhibits adipocyte differen-tiation of 3T3-L1 cells via activation of TGF-βRI kinase activity. PLoS ONE 2013, 8, e71046. [Google Scholar] [CrossRef] [PubMed][Green Version]
- Sculean, A.; Miron, R.; Gruber, R.; Stähli, A.B.; Bosshardt, D. Common target genes of palatal and gingival fibroblasts for EMD: The microarray approach. J. Periodontal Res. 2015, 50, 103–112. [Google Scholar] [CrossRef]
- Sato, S.; Kitagawa, M.; Sakamoto, K.; Iizuka, S.; Kudo, Y.; Ogawa, I.; Miyauchi, M.; Chu, E.Y.; Foster, B.L.; Somerman, M.J.; et al. Enamel Matrix Derivative Exhibits Anti-Inflammatory Properties in Monocytes. J. Periodontol. 2008, 79, 535–540. [Google Scholar] [CrossRef]
- Myhre, A.E.; Lyngstadaas, S.P.; Dahle, M.K.; Stuestøl, J.F.; Foster, S.J.; Thiemermann, C.; Lilleaasen, P.; Wang, J.E.; Aasen, A.O. Anti-inflammatory properties of enam-el matrix derivative in human blood. J. Periodontal. Res. 2006, 41, 208–213. [Google Scholar] [CrossRef]
- Ramenzoni, L.L.; Annasohn, L.; Miron, R.J.; Attin, T.; Schmidlin, P.R. Combination of enamel matrix derivative and hyaluronic acid inhibits lipopolysaccharide-induced inflammatory response on human epithelial and bone cells. Clin. Oral Investig. 2021, 26, 1773–1783. [Google Scholar] [CrossRef]
- Oishi, S.; Takano, R.; Tamura, S.; Tani, S.; Iwaizumi, M.; Hamaya, Y.; Takagaki, K.; Nagata, T.; Seto, S.; Horii, T.; et al. M2 polarization of murine peritoneal macrophages in-duces regulatory cytokine production and suppresses T-cell proliferation. Immunology 2016, 149, 320–328. [Google Scholar] [CrossRef]
- Pourgonabadi, S.; Müller, H.-D.; Mendes, J.R.; Gruber, R. Saliva initiates the formation of pro-inflammatory macrophages in vitro. Arch. Oral Biol. 2016, 73, 295–301. [Google Scholar] [CrossRef]
- Evavold, C.L.; Ruan, J.; Tan, Y.; Xia, S.; Wu, H.; Kagan, J.C. The Pore-Forming Protein Gasdermin D Regulates Interleukin-1 Secre-tion from Living Macrophages. Immunity 2018, 48, 35–44.e6. [Google Scholar] [CrossRef]
- Lu, W.L.; Song, D.Z.; Yue, J.L.; Wang, T.T.; Zhou, X.D.; Zhang, P.; Zhang, L.; Huang, D.M. NLRP3 inflammasome may regulate inflammatory response of human periodontal ligament fibroblasts in an apoptosis-associated speck-like protein containing a CARD (ASC)-dependent manner. Int. Endod. J. 2017, 50, 967–975. [Google Scholar] [CrossRef] [PubMed]
- Yotsumoto, K.; Sanui, T.; Tanaka, U.; Yamato, H.; Alshargabi, R.; Shinjo, T.; Nakao, Y.; Watanabeet, Y.; Hayashi, C.; Taketomi, T.; et al. Amelogenin Downregulates Interferon Gam-ma-Induced Major Histocompatibility Complex Class II Expression Through Suppression of Euchromatin Formation in the Class II Transactivator Promoter IV Region in Macrophages. Front. Immunol. 2020, 11, 709. [Google Scholar] [CrossRef] [PubMed]
- Orecchioni, M.; Ghosheh, Y.; Pramod, A.B.; Ley, K. Macrophage Polarization: Different Gene Signatures in M1(LPS+) vs. Classically and M2(LPS–) vs. Alternatively Activated Macrophages. Front. Immunol. 2019, 10, 1084. [Google Scholar] [CrossRef] [PubMed]
- Gordon, S.; Martinez, F.O. Alternative Activation of Macrophages: Mechanism and Functions. Immunity 2010, 32, 593–604. [Google Scholar] [CrossRef]
- Seong, J.B.; Kim, B.; Kim, S.; Kim, M.H.; Park, Y.-H.; Lee, Y.; Lee, H.J.; Hong, C.-W.; Lee, D.-S. Macrophage peroxiredoxin 5 deficiency promotes lung cancer progression via ROS-dependent M2-like polarization. Free Radic. Biol. Med. 2021, 176, 322–334. [Google Scholar] [CrossRef]
- Gritsenko, A.; Yu, S.; Martin-Sanchez, F.; Diaz-Del-Olmo, I.; Nichols, E.-M.; Davis, D.; Brough, D.; Lopez-Castejon, G. Priming Is Dispensable for NLRP3 Inflammasome Activation in Human Monocytes In Vitro. Front. Immunol. 2020, 11. Erratum in 2021, 12, 763899. [Google Scholar] [CrossRef]
- Zeng, W.; Wu, D.; Sun, Y.; Suo, Y.; Yu, Q.; Zeng, M.; Gao, Q.; Yu, B.; Jiang, X.; Wang, Y. The selective NLRP3 inhibitor MCC950 hinders atherosclerosis develop-ment by attenuating inflammation and pyroptosis in macrophages. Sci Rep. 2021, 11, 19305. [Google Scholar] [CrossRef]
- Peng, W.; Zhang, B.; Sun, Z.; Zhang, M.; Guo, L. Targeting the Nod-like receptor protein 3 Inflammasome with inhibitor MCC950 rescues lipopolysaccharide-induced inhibition of osteogenesis in Human periodontal ligament cells. Arch. Oral Biol. 2021, 131, 105269. [Google Scholar] [CrossRef]
- Shi, F.; Wei, B.; Lan, T.; Xiao, Y.; Quan, X.; Chen, J.; Zhao, C.; Gao, J. Low NLRP3 expression predicts a better prognosis of colorectal cancer. Biosci. Rep. 2021, 41, BSR20210280. [Google Scholar] [CrossRef]
- Li, H.; Mao, X.; Liu, K.; Sun, J.; Li, B.; Malyar, R.M.; Liu, D.; Pan, C.; Gan, F.; Liu, Y.; et al. Ochratoxin A induces nephrotoxicity in vitro and in vivo via pyroptosis. Arch. Toxicol. 2021, 95, 1489–1502. [Google Scholar] [CrossRef]
- Tran, T.A.T.; Grievink, H.W.; Lipinska, K.; Kluft, C.; Burggraaf, J.; Moerland, M.; Tasev, D.; Malone, K.E. Whole blood assay as a model for in vitro evaluation of inflammasome activation and subsequent caspase-mediated interleukin-1 beta release. PLoS ONE 2019, 14, e0214999. [Google Scholar] [CrossRef] [PubMed]
- Huang, X.; Huang, Q.; He, Y.; Chen, S.; Li, T. Mycophenolic acid enhanced lipopolysaccharide-induced interleukin-18 release in THP-1 cells via activation of the NLRP3 inflammasome. Immunopharmacol. Immunotoxicol. 2019, 41, 521–526. [Google Scholar] [CrossRef] [PubMed]
- Yang, M.; Fang, J.-T.; Zhang, N.-S.; Qin, L.-J.; Zhuang, Y.-Y.; Wang, W.-W.; Zhu, H.-P.; Zhang, Y.-J.; Xia, P.; Zhang, Y. Caspase-1-Inhibitor AC-YVAD-CMK Inhibits Pyrop-tosis and Ameliorates Acute Kidney Injury in a Model of Sepsis. Biomed. Res. Int. 2021, 2021, 6636621. [Google Scholar] [CrossRef] [PubMed]
- Ni, B.; Pei, W.; Qu, Y.; Zhang, R.; Chu, X.; Wang, Y.; Huang, X.; You, H. MCC950, the NLRP3 Inhibitor, Protects against Cartilage Degradation in a Mouse Model of Osteoarthritis. Oxidative Med. Cell. Longev. 2021, 2021, 4139048. [Google Scholar] [CrossRef] [PubMed]
- Tan, S.; Sagara, Y.; Liu, Y.; Maher, P.; Schubert, D. The Regulation of Reactive Oxygen Species Production during Programmed Cell Death. J. Cell Biol. 1998, 141, 1423–1432. [Google Scholar] [CrossRef] [PubMed]
- Schulz, J.B.; Weller, M.; Klockgether, T. Potassium Deprivation-Induced Apoptosis of Cerebellar Granule Neurons: A Sequential Requirement for New mRNA and Protein Synthesis, ICE-Like Protease Activity, and Reactive Oxygen Species. J. Neurosci. 1996, 16, 4696–4706. [Google Scholar] [CrossRef] [PubMed]
- Bai, Z.; Liu, W.; He, D.; Wang, Y.; Yi, W.; Luo, C.; Shen, J.; Hu, Z. Protective effects of autophagy and NFE2L2 on reactive oxygen spe-cies-induced pyroptosis of human nucleus pulposus cells. Aging 2020, 12, 7534–7548. [Google Scholar] [CrossRef] [PubMed]
- Graziani, F.; Gennai, S.; Petrini, M.; Bettini, L.; Tonetti, M. Enamel matrix derivative stabilizes blood clot and improves clinical healing in deep pockets after flapless periodontal therapy: A Randomized Clinical Trial. J. Clin. Periodontol. 2019, 46, 231–240. [Google Scholar] [CrossRef]
- Graziani, F.; Peric, M.; Marhl, U.; Petrini, M.; Bettini, L.; Tonetti, M.; Gennai, S. Local application of enamel matrix derivative prevents acute systemic inflammation after periodontal regenerative surgery: A randomized controlled clinical trial. J. Clin. Periodontol. 2020, 47, 747–755. [Google Scholar] [CrossRef]
- Sculean, A.; Auschill, T.M.; Donos, N.; Brecx, M.; Arweiler, N.B. Effect of an enamel matrix protein derivative (Emdogain®) on ex vivo dental plaque vitality. J. Clin. Periodontol. 2008, 28, 1074–1078. [Google Scholar] [CrossRef]
- Oliveira, R.G.; Junqueira, A.; Picinini, L.S.; Montesino, A.C.; Pearce, M.; Joly, J.C.; Silva, R.C. Histological Effects of Enamel Matrix Deriv-ative Proteins (Emdogain®) on the Healing of Rats Wounds. Dent. Adv. Res. 2017, 10, 100034. Available online: https://www.gavinpublishers.com/articles/research%20arti-cle/dentistry-advanced-research-issn-2574-7347/histological-effects-of-enamel-matrix-derivative-proteins-emdogain-on-the-healing-of-rats-wounds (accessed on 24 February 2022).
- He, W.; Wan, H.; Hu, L.; Chen, P.; Wang, X.; Huang, Z.; Yang, Z.H.; Zhong, C.Q.; Han, J. Gasdermin D is an executor of pyroptosis and required for interleu-kin-1β secretion. Cell Res. 2015, 25, 1285–1298. [Google Scholar] [CrossRef] [PubMed]
- Craven, R.R.; Gao, X.; Allen, I.C.; Gris, D.; Wardenburg, J.B.; McElvania-TeKippe, E.; Ting, J.P.; Duncan, J.P. Staphylococcus aureus α-Hemolysin Acti-vates the NLRP3-Inflammasome in Human and Mouse Monocytic Cells. PLoS ONE. 2009, 4, e7446. [Google Scholar] [CrossRef]
- Muñoz-Planillo, R.; Franchi, L.; Miller, L.S.; Núñez, G. A Critical Role for Hemolysins and Bacterial Lipoproteins inStaphylococcus aureus-Induced Activation of the Nlrp3 Inflammasome. J. Immunol. 2009, 183, 3942–3948. [Google Scholar] [CrossRef] [PubMed]
- Mariathasan, S.; Weiss, D.S.; Newton, K.; McBride, J.; O′Rourke, K.; Roose-Girma, M.; Lee, W.P.; Weinrauch, Y.; Monack, D.M.; Dixit, V.M. Cryopyrin activates the inflammasome in response to toxins and ATP. Nature 2006, 440, 228–232. [Google Scholar] [CrossRef] [PubMed]
- Tsuchiya, K.; Nakajima, S.; Hosojima, S.; Nguyen, D.T.; Hattori, T.; Le, T.M.; Hori, O.; Mahib, M.R.; Yamaguchi, Y.; Miura, M.; et al. Caspase-1 initiates apoptosis in the absence of gasdermin D. Nat. Commun. 2019, 10, 2091. [Google Scholar] [CrossRef] [PubMed]






Publisher’s Note: MDPI stays neutral with regard to jurisdictional claims in published maps and institutional affiliations. |
© 2022 by the authors. Licensee MDPI, Basel, Switzerland. This article is an open access article distributed under the terms and conditions of the Creative Commons Attribution (CC BY) license (https://creativecommons.org/licenses/by/4.0/).
Share and Cite
Sordi, M.B.; Cabral da Cruz, A.C.; Panahipour, L.; Gruber, R. Enamel Matrix Derivative Decreases Pyroptosis-Related Genes in Macrophages. Int. J. Mol. Sci. 2022, 23, 5078. https://doi.org/10.3390/ijms23095078
Sordi MB, Cabral da Cruz AC, Panahipour L, Gruber R. Enamel Matrix Derivative Decreases Pyroptosis-Related Genes in Macrophages. International Journal of Molecular Sciences. 2022; 23(9):5078. https://doi.org/10.3390/ijms23095078
Chicago/Turabian StyleSordi, Mariane Beatriz, Ariadne Cristiane Cabral da Cruz, Layla Panahipour, and Reinhard Gruber. 2022. "Enamel Matrix Derivative Decreases Pyroptosis-Related Genes in Macrophages" International Journal of Molecular Sciences 23, no. 9: 5078. https://doi.org/10.3390/ijms23095078
APA StyleSordi, M. B., Cabral da Cruz, A. C., Panahipour, L., & Gruber, R. (2022). Enamel Matrix Derivative Decreases Pyroptosis-Related Genes in Macrophages. International Journal of Molecular Sciences, 23(9), 5078. https://doi.org/10.3390/ijms23095078

