Long-Term Fluorescent Tissue Marking Using Tissue-Adhesive Porphyrin with Polycations Consisting of Quaternary Ammonium Salt Groups
Abstract
:1. Introduction
2. Results and Discussion
2.1. Synthesis of Tissue-Adhesive Porphyrin
2.2. Cytotoxicity of Tissue-Adhesive Porphyrin
2.3. Tissue Marking Using Tissue-Adhesive Porphyrin
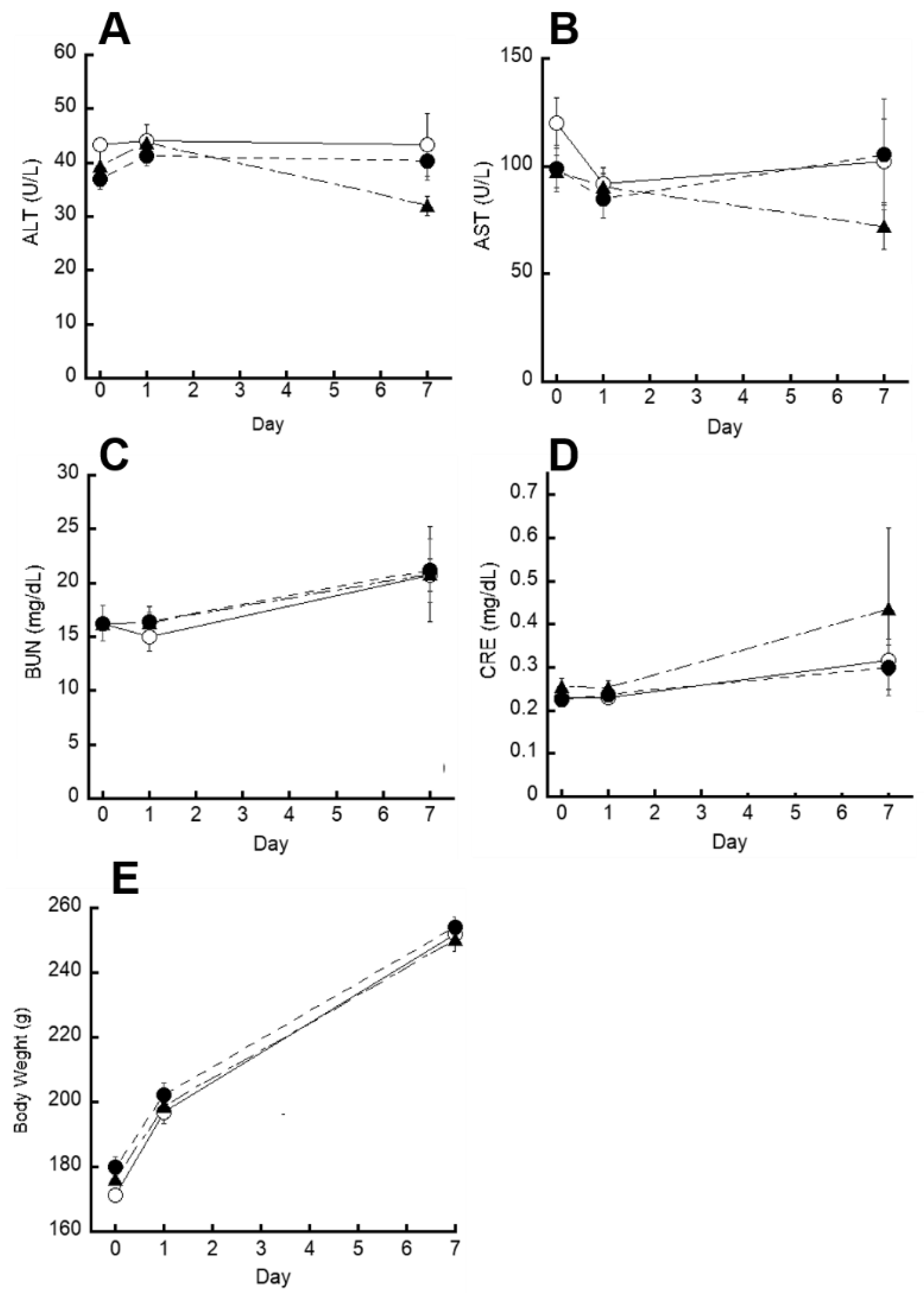
2.4. Safety of Tissue-Adhesive Porphyrin after Intraperitoneal Injection
2.5. Visuality of PMETAC-co-PAPMAA(HpD) after Local Injection into the Colon of Excised Pigs
3. Materials and Methods
3.1. Materials
3.2. Preparation of PMETAC-co-PAPMAA
3.3. Preparation of PMETAC-co-PAPMAA(HpD)
3.4. Characterizations
3.5. Cytotoxicity of PMETAC-co-PAPMAA(HpD)
3.6. Animals
3.7. Marking with Tissue-Adhesive Porphyrin and Hematoporphyrin
3.8. Safety Evaluation
3.9. Visibility Test
3.10. Statistical Analysis
4. Conclusions
Supplementary Materials
Author Contributions
Funding
Institutional Review Board Statement
Informed Consent Statement
Data Availability Statement
Acknowledgments
Conflicts of Interest
References
- Litynski, G.S. Mouret, Dubois, and Perissat: The Laparoscopic Breakthrough in Europe (1987–1988). JSLS J. Soc. Laparoendosc. Surg. 1999, 3, 163–167. [Google Scholar]
- Ballantyne, G.H. The Pitfalls of Laparoscopic Surgery: Challenges for Robotics and Telerobotic Surgery. Surg. Laparosc. Endosc. Percutaneous Tech. 2002, 12, 1–5. [Google Scholar] [CrossRef]
- Ponsky, J.L.; King, J.F. Endoscopic marking of colonic lesions. Gastrointest. Endosc. 1975, 22, 42–43. [Google Scholar] [CrossRef]
- Lane, K.L.; Vallera, R.; Washington, K.; Gottfried, M.R. Endoscopic tattoo agents in the colon: Tissue responses and clinical implications. Am. J. Surg. Pathol. 1996, 20, 1266–1270. [Google Scholar] [CrossRef]
- Zako, T.; Ito, M.; Hyodo, H.; Yoshimoto, M.; Watanabe, M.; Takemura, H.; Kishimoto, H.; Kaneko, K.; Soga, K.; Maeda, M. Extra-luminal detection of assumed colonic tumor site by near-infrared laparoscopy. Surg. Endosc. 2015, 30, 4153–4159. [Google Scholar] [CrossRef]
- Arteaga-González, I.; Martín-Malagón, A.; Fernández, E.M.L.-T.; Arranz-Durán, J.; Parra-Blanco, A.; Nicolas-Perez, D.; Quintero-Carrión, E.; Luis, H.D.; Carrillo-Pallares, A. The Use of Preoperative Endoscopic Tattooing in Laparoscopic Colorectal Cancer Surgery for Endoscopically Advanced Tumors: A Prospective Comparative Clinical Study. World J. Surg. 2006, 30, 605–611. [Google Scholar] [CrossRef]
- Satoyoshi, T.; Okita, K.; Ishii, M.; Hamabe, A.; Usui, A.; Akizuki, E.; Okuya, K.; Nishidate, T.; Yamano, H.; Nakase, H.; et al. Timing of indocyanine green injection prior to laparoscopic colorectal surgery for tumor localization: A prospective case series. Surg. Endosc. 2020, 35, 763–769. [Google Scholar] [CrossRef] [Green Version]
- Miyoshi, N.; Ohue, M.; Noura, S.; Yano, M.; Sasaki, Y.; Kishi, K.; Yamada, T.; Miyashiro, I.; Ohigashi, H.; Iishi, H.; et al. Surgical usefulness of indocyanine green as an alternative to India ink for endoscopic marking. Surg. Endosc. 2008, 23, 347–351. [Google Scholar] [CrossRef]
- Coman, E.; Brandt, L.J.; Brenner, S.; Frank, M.; Sablay, B.; Bennett, B. Fat necrosis and inflammatory pseudotumor due to endoscopic tattooing of the colon with India ink. Gastrointest. Endosc. 1991, 37, 65–68. [Google Scholar] [CrossRef]
- Park, S.I.; Genta, R.S.; Romeo, D.P.; Weesner, R.E. Colonic abscess and focal peritonitis secondary to India ink tattooing of the colon. Gastrointest. Endosc. 1991, 37, 68–71. [Google Scholar] [CrossRef]
- Dell’Abate, P.; Iosca, A.; Galimberti, A.; Piccolo, P.; Soliani, P.; Foggi, E. Endoscopic Preoperative Colonic Tattooing: A Clinical and Surgical Complication. Endoscopy 1999, 31, 271–273. [Google Scholar] [CrossRef]
- Hellmig, S.; Stuber, E.; Kiehne, K.; Folsch, U.R. Unusual course of colonic tattooing with India ink. Surg. Endosc. 2003, 17, 521. [Google Scholar] [CrossRef]
- Bahadursingh, A.M.; Driver, M.; Koenig, C.L.; Longo, W.E. Inadvertent transmural India ink tattooing simulating intestinal infarction. Am. J. Surg. 2003, 185, 88–89. [Google Scholar] [CrossRef]
- Yano, H.; Okada, K.; Monden, T. Adhesion ileus caused by tattoo-marking: Unusual complication after laparoscopic surgery for early colorectal cancer. Dis. Colon Rectum 2003, 46, 987. [Google Scholar]
- Guo, B.; Cai, X.; Xu, S.; Fateminia, S.M.A.; Liu, J.; Liang, J.; Feng, G.; Wu, W.; Liu, B. Decoration of porphyrin with tetraphenylethene: Converting a fluorophore with aggregation-caused quenching to aggregation-induced emission enhancement. J. Mater. Chem. B 2016, 4, 4690–4695. [Google Scholar] [CrossRef]
- Stummer, W.; For the European ALA Pediatric Brain Tumor Study Group; Rodrigues, F.; Schucht, P.; Preuss, M.; Wiewrodt, D.; Nestler, U.; Stein, M.; Artero, J.M.C.; Platania, N.; et al. Predicting the “usefulness” of 5-ALA-derived tumor fluorescence for fluorescence-guided resections in pediatric brain tumors: A European survey. Acta Neurochir. 2014, 156, 2315–2324. [Google Scholar] [CrossRef] [Green Version]
- Koizumi, N.; Harada, Y.; Minamikawa, T.; Tanaka, H.; Otsuji, E.; Takamatsu, T. Recent advances in photodynamic diagnosis of gastric cancer using 5-aminolevulinic acid. World J. Gastroenterol. 2016, 22, 1289–1296. [Google Scholar] [CrossRef]
- Hodde, J.P.; Badylak, S.F.; Brightman, A.O.; Voytik-Harbin, S.L. Glycosaminoglycan Content of Small Intestinal Submucosa: A Bioscaffold for Tissue Replacement. Tissue Eng. 1996, 2, 209–217. [Google Scholar] [CrossRef]
- Kobayashi, I.; Kawano, S.; Tsuji, S.; Matsui, H.; Nakama, A.; Sawaoka, H.; Masuda, E.; Takei, Y.; Nagano, K.; Fusamoto, H.; et al. RGM1, a cell line derived from normal gastric mucosa of rat. In Vitro Cell. Dev. Biol. Anim. 1996, 32, 259–261. [Google Scholar] [CrossRef]
- Bertrand, E.; Gonçalves, C.; Billiet, L.; Gomez, J.P.; Pichon, C.; Cheradame, H.; Midoux, P.; Guégan, P. Histidinylated linear PEI: A new efficient non-toxic polymer for gene transfer. Chem. Commun. 2011, 47, 12547–12549. [Google Scholar] [CrossRef]
- Tamura, A.; Oishi, M.; Nagasaki, Y. Efficient siRNA delivery based on PEGylated and partially quaternized polyamine nanogels: Enhanced gene silencing activity by the cooperative effect of tertiary and quaternary amino groups in the core. J. Control. Release 2010, 146, 378–387. [Google Scholar] [CrossRef]







Publisher’s Note: MDPI stays neutral with regard to jurisdictional claims in published maps and institutional affiliations. |
© 2022 by the authors. Licensee MDPI, Basel, Switzerland. This article is an open access article distributed under the terms and conditions of the Creative Commons Attribution (CC BY) license (https://creativecommons.org/licenses/by/4.0/).
Share and Cite
Komatsu, Y.; Yoshitomi, T.; Furuya, K.; Ikeda, T.; Terasaki, A.; Hoshi, A.; Kawazoe, N.; Chen, G.; Matsui, H. Long-Term Fluorescent Tissue Marking Using Tissue-Adhesive Porphyrin with Polycations Consisting of Quaternary Ammonium Salt Groups. Int. J. Mol. Sci. 2022, 23, 4218. https://doi.org/10.3390/ijms23084218
Komatsu Y, Yoshitomi T, Furuya K, Ikeda T, Terasaki A, Hoshi A, Kawazoe N, Chen G, Matsui H. Long-Term Fluorescent Tissue Marking Using Tissue-Adhesive Porphyrin with Polycations Consisting of Quaternary Ammonium Salt Groups. International Journal of Molecular Sciences. 2022; 23(8):4218. https://doi.org/10.3390/ijms23084218
Chicago/Turabian StyleKomatsu, Yoshiki, Toru Yoshitomi, Kinji Furuya, Takafumi Ikeda, Azusa Terasaki, Aoi Hoshi, Naoki Kawazoe, Guoping Chen, and Hirofumi Matsui. 2022. "Long-Term Fluorescent Tissue Marking Using Tissue-Adhesive Porphyrin with Polycations Consisting of Quaternary Ammonium Salt Groups" International Journal of Molecular Sciences 23, no. 8: 4218. https://doi.org/10.3390/ijms23084218
APA StyleKomatsu, Y., Yoshitomi, T., Furuya, K., Ikeda, T., Terasaki, A., Hoshi, A., Kawazoe, N., Chen, G., & Matsui, H. (2022). Long-Term Fluorescent Tissue Marking Using Tissue-Adhesive Porphyrin with Polycations Consisting of Quaternary Ammonium Salt Groups. International Journal of Molecular Sciences, 23(8), 4218. https://doi.org/10.3390/ijms23084218

