A Competition between Hydrogen, Stacking, and Halogen Bonding in N-(4-((3-Methyl-1,4-dioxo-1,4-dihydronaphthalen-2-yl)selanyl)phenyl)acetamide: Structure, Hirshfeld Surface Analysis, 3D Energy Framework Approach, and DFT Calculation
Abstract
1. Introduction
2. Material and Methods
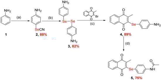
2.1. Synthesis of Organoselenium Compound 5
2.2. Biological Evaluation
2.3. Crystal Structure Measurement
2.4. Theoretical Calculations
3. Results and Discussion
3.1. Design and Synthesis of Compound 5
3.2. Biology
3.3. Analysis of the Molecular Packing
3.4. Hirshfeld Surface Analysis
3.5. Energy Framework
3.6. DFT Calculations
3.6.1. Geometric Structures
3.6.2. Surfaces with Molecular Electrostatic Potential (MEP)
3.6.3. Study of Overall Global Reactivities
4. Conclusions
Supplementary Materials
Author Contributions
Funding
Institutional Review Board Statement
Informed Consent Statement
Data Availability Statement
Acknowledgments
Conflicts of Interest
References
- Xu, J.; Gong, Y.; Sun, Y.; Cai, J.; Liu, Q.; Bao, J.; Yang, J.; Zhang, Z. Impact of selenium deficiency on inflammation, oxidative stress, and phagocytosis in mouse macrophages. Biol. Trace Elem. Res. 2020, 194, 237–243. [Google Scholar] [CrossRef] [PubMed]
- Li, B.; Li, W.; Tian, Y.; Guo, S.; Qian, L.; Xu, D.; Cao, N. Selenium-Alleviated Hepatocyte Necrosis and DNA Damage in Cyclophosphamide-Treated Geese by Mitigating Oxidative Stress. Biol. Trace Elem. Res. 2020, 193, 508–516. [Google Scholar] [CrossRef] [PubMed]
- Schomburg, L. The other view: The trace element selenium as a micronutrient in thyroid disease, diabetes, and beyond. Hormones 2020, 19, 15–24. [Google Scholar] [CrossRef] [PubMed]
- Lenardão, E.J.; Santi, C.; Sancineto, L. New Frontiers in Organoselenium Compounds; Springer: Cham, Switzerland, 2018. [Google Scholar]
- Álvarez-Pérez, M.; Ali, W.; Marć, M.A.; Handzlik, J.; Domínguez-Álvarez, E. Selenides and diselenides: A review of their anticancer and chemopreventive activity. Molecules 2018, 23, 628. [Google Scholar] [CrossRef]
- Jain, V.K. An overview of organoselenium chemistry: From fundamentals to synthesis. In Organoselenium Compounds in Biology and Medicine: Synthesis, Biological and Therapeutic Treatments; Royal Society of Chemistry: London, UK, 2017; pp. 1–33. [Google Scholar]
- Barbosa, N.V.; Nogueira, C.W.; Nogara, P.A.; De Bem, A.F.; Aschner, M.; Rocha, J.B. Organoselenium compounds as mimics of selenoproteins and thiol modifier agents. Metallomics 2017, 9, 1703–1734. [Google Scholar] [CrossRef]
- Duarte, L.F.B.; Oliveira, R.L.; Rodrigues, K.C.; Voss, G.T.; Godoi, B.; Schumacher, R.F.; Perin, G.; Wilhelm, E.A.; Luchese, C.; Alves, D. Organoselenium compounds from purines: Synthesis of 6-arylselanylpurines with antioxidant and anticholinesterase activities and memory improvement effect. Bioorg. Med. Chem. 2017, 25, 6718–6723. [Google Scholar] [CrossRef]
- Wirth, T. Small organoselenium compounds: More than just glutathione peroxidase mimics. Angew. Chem. Int. Ed. 2015, 54, 10074–10076. [Google Scholar] [CrossRef]
- Nogueira, C.W.; Rocha, J.B. Toxicology and pharmacology of selenium: Emphasis on synthetic organoselenium compounds. Arch. Toxicol. 2011, 85, 1313–1359. [Google Scholar] [CrossRef]
- Koyama, H.; Mutakin; Abdulah, R.; Yamazaki, C.; Kameo, S. Selenium supplementation trials for cancer prevention and the subsequent risk of type 2 diabetes mellitus: Selenium and vitamin E cancer prevention trial and after. Nihon Eiseigaku Zasshi 2013, 68, 1–10. [Google Scholar] [CrossRef]
- Van Noord, P.A.; Maas, M.J.; Van der Tweel, I.; Collette, C. Selenium and the risk of postmenopausal breast cancer in the DOM cohort. Breast Cancer Res. Treat. 1993, 25, 11–19. [Google Scholar] [CrossRef]
- Berr, C.; Nicole, A.; Godin, J.; Ceballos-Picot, I.; Thevenin, M.; Dartigues, J.F.; Alperovitch, A. Selenium and oxygen-metabolizing enzymes in elderly community residents: A pilot epidemiological study. J. Am. Geriatr. Soc. 1993, 41, 143–148. [Google Scholar] [CrossRef]
- Thompson, I., Jr.; Kristal, A.; Platz, E.A. Prevention of prostate cancer: Outcomes of clinical trials and future opportunities. Am. Soc. Clin. Oncol. Educ. Book 2014, 34, e76–e80. [Google Scholar] [CrossRef]
- Bueno, D.C.; Meinerz, D.F.; Allebrandt, J.; Waczuk, E.P.; Dos Santos, D.B.; Mariano, D.O.; Rocha, J.B. Cytotoxicity and genotoxicity evaluation of organochalcogens in human leucocytes: A comparative study between ebselen, diphenyl diselenide, and diphenyl ditelluride. BioMed Res. Int. 2013, 2013, 537279. [Google Scholar]
- Bhattacharya, A. Methylselenocysteine: A promising antiangiogenic agent for overcoming drug delivery barriers in solid malignancies for therapeutic synergy with anticancer drugs. Expert Opin. Drug Deliv. 2011, 8, 749–763. [Google Scholar] [CrossRef]
- Papp, L.V.; Lu, J.; Holmgren, A.; Khanna, K.K. From selenium to selenoproteins: Synthesis, identity, and their role in human health. Antioxid. Redox Signal. 2007, 9, 775–806. [Google Scholar] [CrossRef]
- Levander, O.A.; Alfthan, G.; Arvilommi, H.; Gref, C.G.; Huttunen, J.K.; Kataja, M.; Koivistoinen, P.; Pikkarainen, J. Bioavailability of selenium to Finnish men as assessed by platelet glutathione peroxidase activity and other blood parameters. Am. J. Clin. Nutr. 1983, 37, 887–897. [Google Scholar] [CrossRef]
- Mugesh, G.; Du Mont, W.W.; Sies, H. Chemistry of biologically important synthetic organoselenium compounds. Chem. Rev. 2001, 101, 2125–2179. [Google Scholar] [CrossRef]
- Nogueira, C.W.; Zeni, G.; Rocha, J.B. Organoselenium and organotellurium compounds: Toxicology and pharmacology. Chem. Rev. 2004, 104, 6255–6285. [Google Scholar] [CrossRef]
- Soriano-Garcia, M. Organoselenium compounds as potential therapeutic and chemopreventive agents: A review. Curr. Med. Chem. 2004, 11, 1657–1669. [Google Scholar] [CrossRef]
- Soares, F.A.; Farina, M.; Boettcher, A.C.; Braga, A.L.; Rocha, J.B.T. Organic and inorganic forms of selenium inhibited differently fish (Rhamdia quelen) and rat (Rattus norvergicus albinus) delta-aminolevulinate dehydratase. Environ. Res. 2005, 98, 46–54. [Google Scholar] [CrossRef]
- Plano, D.; Sanmartin, C.; Moreno, E.; Prior, C.; Calvo, A.; Palop, J.A. Novel potent organoselenium compounds as cytotoxic agents in prostate cancer cells. Bioorg. Med. Chem. Lett. 2007, 17, 6853–6859. [Google Scholar] [CrossRef]
- Naithani, R. Organoselenium compounds in cancer chemoprevention. Mini Rev. Med. Chem. 2008, 8, 657–668. [Google Scholar] [CrossRef]
- Doering, M.; Ba, L.A.; Lilienthal, N.; Nicco, C.; Scherer, C.; Abbas, M.; Zada, A.A.; Coriat, R.; Burkholz, T.; Wessjohann, L.; et al. Synthesis and selective anticancer activity of organochalcogen based redox catalysts. J. Med. Chem. 2010, 53, 6954–6963. [Google Scholar] [CrossRef]
- Krief, A.; Hevesi, L. Organoselenium Chemistry I: Functional Group Transformations; Springer Science & Business Media: Berlin, Germany, 2012. [Google Scholar]
- Ibrahim, M.; Muhammad, N.; Naeem, M.; Deobald, A.M.; Kamdem, J.P.; Rocha, J.B. In vitro evaluation of glutathione peroxidase (GPx)-like activity and antioxidant properties of an organoselenium compound. Toxicol. In Vitro 2015, 29, 947–952. [Google Scholar] [CrossRef]
- Luo, Z.; Liang, L.; Sheng, J.; Pang, Y.; Li, J.; Huang, L.; Li, X. Synthesis and biological evaluation of a new series of ebselen derivatives as glutathione peroxidase (GPx) mimics and cholinesterase inhibitors against Alzheimer’s disease. Bioorg. Med. Chem. 2014, 22, 1355–1361. [Google Scholar] [CrossRef]
- Giles, N.M.; Gutowski, N.J.; Giles, G.I.; Jacob, C. Redox catalysts as sensitisers towards oxidative stress. FEBS Lett. 2003, 535, 179–182. [Google Scholar] [CrossRef]
- Nascimento, V.; Alberto, E.E.; Tondo, D.W.; Dambrowski, D.; Detty, M.R.; Nome, F.; Braga, A.L. GPx-Like activity of selenides and selenoxides: Experimental evidence for the involvement of hydroxy perhydroxy selenane as the active species. J. Am. Chem. Soc. 2012, 134, 138–141. [Google Scholar] [CrossRef]
- Krehl, S.; Loewinger, M.; Florian, S.; Kipp, A.P.; Banning, A.; Wessjohann, L.A.; Brauer, M.N.; Iori, R.; Esworthy, R.S.; Chu, F.; et al. Glutathione peroxidase-2 and selenium decreased inflammation and tumors in a mouse model of inflammation-associated carcinogenesis whereas sulforaphane effects differed with selenium supply. Carcinogenesis 2012, 33, 620–628. [Google Scholar] [CrossRef]
- Sarma, B.K.; Mugesh, G. Glutathione peroxidase (GPx)-like antioxidant activity of the organoselenium drug ebselen: Unexpected complications with thiol exchange reactions. J. Am. Chem. Soc. 2005, 127, 11477–11485. [Google Scholar] [CrossRef]
- Weglarz-Tomczak, E.; Tomczak, J.M.; Talma, M.; Brul, S. Ebselen as a highly active inhibitor of PLProCoV2. BioRxiv 2020. [Google Scholar] [CrossRef]
- Parnham, M.J.; Sies, H. The early research and development of ebselen. Biochem. Pharmacol. 2013, 86, 1248–1253. [Google Scholar] [CrossRef] [PubMed]
- Satheeshkumar, K.; Mugesh, G. Synthesis and antioxidant activity of peptide-based ebselen analogues. Chemistry 2011, 17, 4849–4857. [Google Scholar] [CrossRef] [PubMed]
- Wang, L.; Yang, Z.; Fu, J.; Yin, H.; Xiong, K.; Tan, Q.; Jin, H.; Li, J.; Wang, T.; Tang, W.; et al. Ethaselen: A potent mammalian thioredoxin reductase 1 inhibitor and novel organoselenium anticancer agent. Free. Radic. Biol. Med. 2012, 52, 898–908. [Google Scholar] [CrossRef] [PubMed]
- Ali, W.; Álvarez-Pérez, M.; Marć, M.A.; Salardón-Jiménez, N.; Handzlik, J.; Domínguez-Álvarez, E. The anticancer and chemopreventive activity of selenocyanate-containing compounds. Curr. Pharmacol. Rep. 2018, 4, 468–481. [Google Scholar] [CrossRef]
- Shaaban, S.; Negm, A.; Sobh, M.A.; Wessjohann, L.A. Organoselenocyanates and symmetrical diselenides redox modulators: Design, synthesis and biological evaluation. Eur. J. Med. Chem. 2015, 97, 190–201. [Google Scholar] [CrossRef]
- Chakraborty, P.; Roy, S.S.; Bhattacharya, S. Molecular mechanism behind the synergistic activity of diphenylmethyl selenocyanate and Cisplatin against murine tumor model. Anti-Cancer Agents Med. Chem. 2015, 15, 501–510. [Google Scholar] [CrossRef]
- Shaaban, S.; Arafat, M.A.; Gaffer, H.E.; Hamama, W.S. Synthesis and anti-tumor evaluation of novel organoselenocyanates and symmetrical diselenides dyestuffs. Pharma Chem. 2014, 6, 186–193. [Google Scholar]
- Shaaban, S.; Abdel-Wahab, B.F. Groebke–Blackburn–Bienaymé multicomponent reaction: Emerging chemistry for drug discovery. Mol. Divers. 2016, 20, 233–254. [Google Scholar] [CrossRef]
- Shaaban, S.; Arafat, M.A.; Hamama, W.S. Vistas in the domain of organo selenocyanates. ARKIVOC 2014, 2014, 470–505. [Google Scholar] [CrossRef]
- Plano, D.; Baquedano, Y.; Moreno-Mateos, D.; Font, M.; Jiménez-Ruiz, A.; Palop, J.A.; Sanmartín, C. Selenocyanates and diselenides: A new class of potent antileishmanial agents. Eur. J. Med. Chem. 2011, 46, 3315–3323. [Google Scholar] [CrossRef]
- Garud, D.R.; Koketsu, M.; Ishihara, H. Isoselenocyanates: A powerful tool for the synthesis of selenium-containing heterocycles. Molecules 2007, 12, 504–535. [Google Scholar] [CrossRef]
- Mecklenburg, S.; Shaaban, S.; Ba, L.A.; Burkholz, T.; Schneider, T.; Diesel, B.; Kiemer, A.K.; Röseler, A.; Becker, K.; Reichrath, J. Exploring synthetic avenues for the effective synthesis of selenium-and tellurium-containing multifunctional redox agents. Org. Biomol. Chem. 2009, 7, 4753–4762. [Google Scholar] [CrossRef]
- Shaaban, S. Synthesis and Biological Activity of Multifunctional Sensor/Effector Catalysts. Ph.D. Thesis, Universität des Saarlandes, Saarbrücken, Germany, 2011. [Google Scholar]
- Shaaban, S.; Diestel, R.; Hinkelmann, B.; Muthukumar, Y.; Verma, R.P.; Sasse, F.; Jacob, C. Novel peptidomimetic compounds containing redox active chalcogens and quinones as potential anticancer agents. Eur. J. Med. Chem. 2012, 58, 192–205. [Google Scholar] [CrossRef]
- Shaaban, S.; Sasse, F.; Burkholz, T.; Jacob, C. Sulfur, selenium and tellurium pseudopeptides: Synthesis and biological evaluation. Bioorg. Med. Chem. 2014, 22, 3610–3619. [Google Scholar] [CrossRef]
- Shaaban, S.; Shabana, S.M.; Al-Faiyz, Y.S.; Manolikakes, G.; El-Senduny, F.F. Enhancing the chemosensitivity of HepG2 cells towards cisplatin by organoselenium pseudopeptides. Bioorg. Chem. 2021, 109, 104713. [Google Scholar] [CrossRef]
- El-Senduny, F.F.; Shabana, S.M.; Rösel, D.; Brabek, J.; Althagafi, I.; Angeloni, G.; Manolikakes, G.; Shaaban, S. Urea-functionalized organoselenium compounds as promising anti-HepG2 and apoptosis-inducing agents. Future Med. Chem. 2021, 13, 1655–1677. [Google Scholar] [CrossRef]
- Al-Janabi, A.S.; Zaky, R.; Yousef, T.A.; Nomi, B.S.; Shaaban, S. Synthesis, characterization, computational simulation, biological and anticancer evaluation of Pd (II), Pt (II), Zn (II), Cd (II), and Hg (II) complexes with 2-amino-4-phenyl-5-selenocyanatothiazol ligand. J. Chin. Chem. Soc. 2020, 67, 1032–1044. [Google Scholar] [CrossRef]
- Shaaban, S.; Ashmawy, A.M.; Negm, A.; Wessjohann, L.A. Synthesis and biochemical studies of novel organic selenides with increased selectivity for hepatocellular carcinoma and breast adenocarcinoma. Eur. J. Med. Chem. 2019, 179, 515–526. [Google Scholar] [CrossRef]
- Shaaban, S.; Negm, A.; Ibrahim, E.E.; Elrazak, A.A. Chemotherapeutic agents for the treatment of hepatocellular carcinoma: Efficacy and mode of action. Oncol. Rev. 2014, 17, 25–35. [Google Scholar] [CrossRef][Green Version]
- Shaaban, S.; Vervandier-Fasseur, D.; Andreoletti, P.; Zarrouk, A.; Richard, P.; Negm, A.; Manolikakes, G.; Jacob, C.; Cherkaoui-Malki, M. Cytoprotective and antioxidant properties of organic selenides for the myelin-forming cells, oligodendrocytes. Bioorg. Chem. 2018, 80, 43–56. [Google Scholar] [CrossRef]
- Shaaban, S.; Negm, A.; Ashmawy, A.M.; Ahmed, D.M.; Wessjohann, L.A. Combinatorial synthesis, in silico, molecular and biochemical studies of tetrazole-derived organic selenides with increased selectivity against hepatocellular carcinoma. Eur. J. Med. Chem. 2016, 122, 55–71. [Google Scholar] [CrossRef]
- Shaaban, S.; Gaffer, E.H.; Jabar, Y.; Elmorsy, S.S. Cytotoxic naphthalene based-symmetrical diselenides with increased selectivity against MCF-7 breast cancer cells. Int. J. Pharm. 2015, 5, 738–746. [Google Scholar]
- Shaaban, S.; Gaffer, E.H.; Alshahd, M.; Elmorsy, S.S. Cytotoxic Symmetrical Thiazolediselenides with Increased Selectivity Against MCF-7 Breast Cancer Cells. Int. J. Res. Develp. Pharm Life Sci. 2015, 4, 1654–1668. [Google Scholar]
- Shaaban, S.; Zarrouk, A.; Vervandier-Fasseur, D.; Al-Faiyz, Y.S.; El-Sawy, H.; Althagafi, I.; Andreoletti, P.; Cherkaoui-Malki, M. Cytoprotective organoselenium compounds for oligodendrocytes. Arab. J. Chem. 2021, 14, 103051. [Google Scholar] [CrossRef]
- Kachanov, V.A.; Slabko, Y.O.; Baranova, V.O.; Shilova, V.E.; Kaminskii, A.V. Triselenium dicyanide from malononitrile and selenium dioxide. One-pot synthesis of selenocyanates. Tetrahedron Lett. 2004, 45, 4461–4463. [Google Scholar] [CrossRef]
- Bruker. APEX3 and SAINT; Bruker AXS Inc.: Madison, WI, USA, 2017. [Google Scholar]
- Sheldrick, G.M. SADABS; Bruker AXS Inc.: Madison, WI, USA, 2017. [Google Scholar]
- Dolomanov, O.V.; Bourhis, L.J.; Gildea, R.J.; Howard, J.A.K.; Puschmann, H. OLEX2: A complete structure solution, refinement and analysis program. J. Appl. Cryst. 2009, 42, 339–341. [Google Scholar] [CrossRef]
- Sheldrick, G.M. Crystal structure refinement with SHELXL. Acta Cryst. 2015, 71 Pt 1, 3–8. [Google Scholar]
- Parsons, S. Determination of absolute configuration using X-ray diffraction. Tetrahedron Asymmetry 2017, 28, 1304–1313. [Google Scholar] [CrossRef]
- Spek, A. Structure validation in chemical crystallography. Acta Crystallogr. Sect. D 2009, 65, 148–155. [Google Scholar] [CrossRef]
- Macrae, C.F.; Sovago, I.; Cottrell, S.J.; Galek, P.T.A.; McCabe, P.; Pidcock, E.; Platings, M.; Shields, G.P.; Stevens, J.S.; Towler, M.; et al. Mercury 4.0: From visualization to analysis, design and prediction. J. Appl. Crystallogr. 2020, 53, 226–235. [Google Scholar] [CrossRef]
- Frisch, M.J.; Trucks, G.W.; Schlegel, H.B.; Scuseria, G.E.; Robb, M.A.; Cheeseman, J.R.; Scalmani, G.; Barone, V.; Mennucci, B.; Petersson, G.A.; et al. Gaussian 09; Gaussian Inc.: Wallingford, CT, USA, 2009. [Google Scholar]
- Becke, A.D. Density-functional thermochemistry. III. The role of exact exchange. J. Chem. Phys. 1993, 98, 5648. [Google Scholar] [CrossRef]
- Fiolhais, C.; Nogueira, F.; Marques, M. (Eds.) A Primer of Density Functional Theory; Springer: Berlin/Heidelberg, Germany; New York, NY, USA, 2003; pp. 218–256. [Google Scholar]
- Grimme, S.; Muck-Lichtenfeld, C.; Antony, J. Noncovalent interactions between graphene sheets and in multishell (hyper) fullerenes. J. Phys. Chem. C 2007, 111, 11199–11207. [Google Scholar] [CrossRef]
- Shaaban, S.; Ferjani, H.; Althagafi, I.; Yousef, T. Crystal structure, Hirshfeld surface analysis, and DFT calculations of methyl (Z)-4-((4-((4-bromobenzyl) selanyl) phenyl) amino)-4-oxobut-2-enoate. J. Mol. Struct. 2021, 1245, 131072. [Google Scholar] [CrossRef]
- Bouraoui, H.; Boudjada, A.; Hamdouni, N.; Mechehoud, Y.; Meinnel, J. Crystal structure of 1,10-[selanediylbis(4,1-phenylene)]bis(2-chloroethan-1-one). Acta Cryst. 2015, 71, o935–o936. [Google Scholar] [CrossRef]
- Bouraoui, H.; Mechehoud, Y.; Chetioui, S.; Touzani, R.; Benmilat, M.M.A.; Boudjada, A. Crystal structure and Hirshfeld surface analysis of (2E,20E)-1,10- [selenobis(4,1-phenylene)]bis[3 -(4-chlorophenyl)prop-2-en-1-one]. Acta Cryst. 2019, 75, 1724–1728. [Google Scholar] [CrossRef]
- Bouraoui, H.; Boudjada, A.; Bouacida, S.; Mechehoud, Y.; Meinnel, J. Bis(4-acetylphenyl) selenide. Acta Cryst. 2011, 67, o941. [Google Scholar] [CrossRef]
- Seredyuk, M.; Pavlenko, V.A.; Znovjyak, K.O.; Gumienna-Kontecka, E.; Penkova, L. Bis {4-[(3, 5-dimethyl-1H-pyrazol-4-yl) selanyl]-3, 5-dimethyl-1H-pyrazol-2-ium} chloride monohydrate. Acta Cryst. 2012, 68, o2068. [Google Scholar] [CrossRef]
- Wolff, M.; Grimwood, D.J.; McKinnon, J.J.; Turner, M.J.; Jayatilaka, D.; Spackman, M.A. Crystal Explorer 17.5; University of Western Australia: Perth, Australia, 2012. [Google Scholar]
- Spackman, M.A.; Jayatilaka, D. Hirshfeld surface analysis. CrystEngComm 2009, 11, 19–32. [Google Scholar] [CrossRef]
- Turner, M.J.; McKinnon, J.J.; Wolff, S.K.; Grimwood, D.J.; Spackman, P.R.; Laka, D.J.; Spackman, M.A. CrystalExplorer17; The University of Western Australia: Perth, Australia, 2017; Available online: http://hirshfeldsurface.net (accessed on 23 January 2022).
- Klocker, J.; Karpfen, A.; Wolschann, P. Surprisingly regular structure–property relationships between C–O bond distances and methoxy group torsional potentials: An ab initio and density functional study. J. Mol. Struct. 2003, 635, 141–150. [Google Scholar] [CrossRef]
- Zhi, H.; Zheng, J.; Chang, Y.; Li, Q.; Liao, G.; Wang, Q.; Sun, P. QSAR studies on triazole derivatives as sglt inhibitors via CoMFA and CoMSIA. J. Mol. Struct. 2015, 1090, 199–205. [Google Scholar] [CrossRef]
- Ebersol, E.E.; Arslan, T.; Kandemirli, F.; Love, I.; Ogretir, C.; Saracoglu, M.; Umoren, S.A. Theoretical studies of some sulphonamides as corrosion inhibitors for mild steel in acidic medium. Int. J. Quantum. Chem. 2010, 110, 2614–2636. [Google Scholar]
- Rezania, J.; Behzadi, H.; Shockravi, A.; Ehsani, M.; Akbarzadeh, E. Synthesis and DFT calculations of some 2-aminothiazoles. J. Mol. Struct. 2018, 1157, 300–305. [Google Scholar] [CrossRef]
- Rajan, V.K.; Muraleedharan, K. A computational investigation on the structure, global parameters and antioxidant capacity of a polyphenol, Gallic acid. Food Chem. 2017, 220, 93–99. [Google Scholar] [CrossRef] [PubMed]
- Narayanankutty, A.; Job, J.T.; Narayanankutty, V. Glutathione, an antioxidant tripeptide: Dual roles in Carcinogenesis and Chemoprevention. Curr. Protein Pept. Sci. 2019, 20, 907–917. [Google Scholar] [CrossRef]













| Empirical Formula | C19H15NO3Se |
|---|---|
| Mr | 384.28 |
| Temperature (K) | 115 |
| Crystal system | monoclinic |
| Space group | P21 |
| a (Å) | 5.0878 (5) |
| b (Å) | 24.111 (2) |
| c (Å) | 6.6263 (7) |
| a (°) | 90 |
| β (°) | 97.826 (3) |
| γ (°) | 90 |
| Volume (Å3) | 805.30 (14) |
| Z | 2 |
| ρcalc (g/cm3) | 1.585 |
| Μ(mm−1) | 2.348 |
| F(000) | 388.0 |
| Crystal size (mm3) | 0.25 × 0.15 × 0.15 |
| θmin/θmax (deg) | 6.206/55.106 |
| Reflections collected | 10,389 |
| Independent reflections | 3699 |
| Data/restraints/parameters | 3699/1/220 |
| GOOF=S | 1.001 |
| R1 [F2 > 2 σ (F2)] | 0.0211 |
| wR2 (F2) | 0.0468 |
| ρmax/ρmin (e.Å−3) | 0.28/−0.20 |
| Flack parameter | 0.017 (8) |
| Bond Distances (Å) | |||
|---|---|---|---|
| Se-C1 | 1.912 (3) | C4-C9 | 1.392 (4) |
| Se-C12 | 1.923 (3) | C5-C6 | 1.382 (5) |
| O1-C3 | 1.219 (4) | C6-C7 | 1.386 (5) |
| O2-C10 | 1.216 (3) | C7-C8 | 1.375 (4) |
| O3-C18 | 1.236 (3) | C8-C9 | 1.385 (4) |
| N-C15 | 1.418 (3) | C9-C10 | 1.490 (4) |
| N-C18 | 1.355 (3) | C12-C13 | 1.389 (4) |
| C1-C2 | 1.353 (4) | C12-C17 | 1.390 (4) |
| C1-C10 | 1.486 (4) | C13-C14 | 1.385 (4) |
| C2-C3 | 1.497 (4) | C14-C15 | 1.398 (4) |
| C2-C11 | 1.503 (4) | C15-C16 | 1.388 (4) |
| C3-C4 | 1.482 (4) | C16-C17 | 1.394 (4) |
| C4-C5 | 1.394 (4) | C18-C19 | 1.496 (4) |
| Bond Angles (°) | |||
| C12-Se-C1 | 97.36 (11) | C10-C9-C4 | 120.6 (2) |
| C18-N-C15 | 125.9 (2) | C10-C9-C8 | 119.4 (2) |
| C2-C1-Se | 121.0 (2) | C1-C10-O2 | 121.9 (3) |
| C10-C1-Se | 117.46 (19) | C9-C10-O2 | 120.3 (3) |
| C10-C1-C2 | 121.4 (3) | C9-C10-C1 | 117.8 (2) |
| C3-C2-C1 | 120.5 (3) | C13-C12-Se | 120.3 (2) |
| C11-C2-C1 | 123.6 (3) | C17-C12-Se | 119.1 (2) |
| C11-C2-C3 | 115.9 (2) | C17-C12-C13 | 120.5 (2) |
| C2-C3-O1 | 119.8 (3) | C14-C13-C12 | 120.2 (2) |
| C4-C3-O1 | 121.4 (3) | C15-C14-C13 | 119.9 (2) |
| C4-C3-C2 | 118.7 (3) | C14-C15-N | 121.8 (2) |
| C5-C4-C3 | 120.6 (3) | C16-C15-N | 118.6 (2) |
| C9-C4-C3 | 120.0 (3) | C16-C15-C14 | 119.6 (2) |
| C9-C4-C5 | 119.4 (3) | C17-C16-C15 | 120.7 (2) |
| C6-C5-C4 | 120.2 (3) | C16-C17-C12 | 119.1 (3) |
| C7-C6-C5 | 119.9 (3) | N-C18-O3 | 122.7 (2) |
| C8-C7-C6 | 120.3 (3) | C19-C18-O3 | 121.2 (2) |
| C9-C8-C7 | 120.2 (3) | C19-C18-N | 116.2 (2) |
| C8-C9-C4 | 120.0 (3) | ||
| D-H···A | D-H | H···A | D···A | D-H···A |
|---|---|---|---|---|
| N-H···O(3) i | 0.88 | 2.10 | 2.9413(3) | 160 |
| C(13)-H(13)···O(2) ii | 0.95 | 2.48 | 3.4259(4) | 177 |
| C(19)-H(19A)···O(1) iii | 0.98 | 2.57 | 3.5377(4) | 170 |
| Distance | X-ray | DFT | Valence Angles | X-ray | DFT |
|---|---|---|---|---|---|
| Se-C15 | 1.916 (3) | 1.938 | C8- Se- C15 | 97.31 (11) | 99.78 |
| Se-C12 | 1.924 (3) | 1.931 | C18- N- C22 | 125.7 (2) | 129.25 |
| O10-C11 | 1.219 (4) | 1.221 | C20- C15- Se | 120.9 (2) | 120.01 |
| O7-C12 | 1.213 (3) | 1.216 | C7- C8- C9 | 121.7 (3) | 121.91 |
| O23-C22 | 1.237 (3) | 1.217 | C7- C8- Se | 117.28 (19) | 117.31 |
| N-C18 | 1.423 (3) | 1.410 | C8- C9- C10 | 120.5 (3) | 120.26 |
| N-C22 | 1.355 (3) | 1.380 | C8- C9- C13 | 123.6 (3) | 123.85 |
| C8-C9 | 1.353 (4) | 1.359 | C10- C9- C13 | 115.9 (2) | 115.88 |
| C7-C8 | 1.486 (4) | 1.499 | O11- C10- C9 | 120.0 (3) | 120.48 |
| C9-C10 | 1.499 (4) | 1.498 | O11- C10- C5 | 121.4 (3) | 120.91 |
| C9-C13 | 1.502 (4) | 1.501 | C5- C10- C9 | 118.6 (3) | 115.58 |
| C5-C10 | 1.484 (4) | 1.489 | C6- C5- C18 | 120.7 (3) | 119.77 |
| C5-C6 | 1.396 (4) | 1.397 | C4- C5- C10 | 119.9 (3) | 120.34 |
| C5-C4 | 1.393 (4) | 1.400 | C4- C5- C6 | 119.4 (3) | 119.88 |
| C6-C1 | 1.377 (5) | 1.391 | C1- C6- C5 | 120.2 (3) | 119.90 |
| C1-C2 | 1.389 (5) | 1.397 | C6- C1- C2 | 120.1 (3) | 120.17 |
| C2-C3 | 1.377 (4) | 1.391 | C3- C2- C1 | 120.1 (3) | 120.16 |
| C3-C4 | 1.388 (4) | 1.397 | C2- C3- C4 | 120.3 (3) | 119.84 |
| C4-C7 | 1.493 (4) | 1.491 | C5- C4- C7 | 120.9 (2) | 120.45 |
| C15-C20 | 1.382 (4) | 1.395 | O23- C22- N | 122.9 (2) | 123.94 |
| C15-C16 | 1.392 (4) | 1.392 | O23- C22- C24 | 121.1 (2) | 121.40 |
| C19-C20 | 1.388 (4) | 1.388 | N- C22- C24 | 115.9 (2) | 114.65 |
| C18-C19 | 1.400 (4) | 1.402 | C19- C18- N | 121.5 (2) | 117.20 |
| C17-C18 | 1.383 (4) | 1.401 | C17- C18- N | 118.4 (2) | 123.53 |
| C16-C17 | 1.395 (4) | 1.392 | C16- C15- Se | 119.0 (2) | 120.36 |
| C18-C19 | 1.500 (4) | 1.403 | C20- C15- Se | 120.4 (2) | 120.00 |
| Electronic Energy (eV) | −92,936.56 |
| EHOMO (eV) | −6.18 |
| ELUMO (eV) | −3.32 |
| Gap, ∆E | 2.86 |
| Dipole moment, (Debye) | 4.97 |
| Chemical potential (eV) | −4.75 |
| Electronegativity | 4.75 |
| Hardness | 1.43 |
| Softness | 0.72 |
| Global Softness | 0.69 |
| Electrophilicity index | 7.89 |
| Vertical Ionizatio potential (VIP) | 3.40 |
| Vertical Electron Affinity (VEA) | 1.22 |
Publisher’s Note: MDPI stays neutral with regard to jurisdictional claims in published maps and institutional affiliations. |
© 2022 by the authors. Licensee MDPI, Basel, Switzerland. This article is an open access article distributed under the terms and conditions of the Creative Commons Attribution (CC BY) license (https://creativecommons.org/licenses/by/4.0/).
Share and Cite
Gouda, M.; Ferjani, H.; Abd El-Lateef, H.M.; Khalaf, M.M.; Shaaban, S.; Yousef, T.A. A Competition between Hydrogen, Stacking, and Halogen Bonding in N-(4-((3-Methyl-1,4-dioxo-1,4-dihydronaphthalen-2-yl)selanyl)phenyl)acetamide: Structure, Hirshfeld Surface Analysis, 3D Energy Framework Approach, and DFT Calculation. Int. J. Mol. Sci. 2022, 23, 2716. https://doi.org/10.3390/ijms23052716
Gouda M, Ferjani H, Abd El-Lateef HM, Khalaf MM, Shaaban S, Yousef TA. A Competition between Hydrogen, Stacking, and Halogen Bonding in N-(4-((3-Methyl-1,4-dioxo-1,4-dihydronaphthalen-2-yl)selanyl)phenyl)acetamide: Structure, Hirshfeld Surface Analysis, 3D Energy Framework Approach, and DFT Calculation. International Journal of Molecular Sciences. 2022; 23(5):2716. https://doi.org/10.3390/ijms23052716
Chicago/Turabian StyleGouda, Mohamed, Hela Ferjani, Hany M. Abd El-Lateef, Mai M. Khalaf, Saad Shaaban, and Tarek A. Yousef. 2022. "A Competition between Hydrogen, Stacking, and Halogen Bonding in N-(4-((3-Methyl-1,4-dioxo-1,4-dihydronaphthalen-2-yl)selanyl)phenyl)acetamide: Structure, Hirshfeld Surface Analysis, 3D Energy Framework Approach, and DFT Calculation" International Journal of Molecular Sciences 23, no. 5: 2716. https://doi.org/10.3390/ijms23052716
APA StyleGouda, M., Ferjani, H., Abd El-Lateef, H. M., Khalaf, M. M., Shaaban, S., & Yousef, T. A. (2022). A Competition between Hydrogen, Stacking, and Halogen Bonding in N-(4-((3-Methyl-1,4-dioxo-1,4-dihydronaphthalen-2-yl)selanyl)phenyl)acetamide: Structure, Hirshfeld Surface Analysis, 3D Energy Framework Approach, and DFT Calculation. International Journal of Molecular Sciences, 23(5), 2716. https://doi.org/10.3390/ijms23052716

