The Effect of Montmorillonites on the Physicochemical Properties of Potato Starch Films Plasticized with Deep Eutectic Solvent
Abstract
:1. Introduction
2. Results and Discussion
2.1. Modulated Differential Scanning Calorimetry (MDSC)
2.2. Dynamic Mechanical Thermal Analysis (DMTA)
2.3. Fourier Transform Infrared Spectroscopy (FTIR-ATR)
2.4. X-ray Diffraction (XRD)
2.5. Moisture Absorption
2.6. Water Vapor Transmission Rate (WVTR)
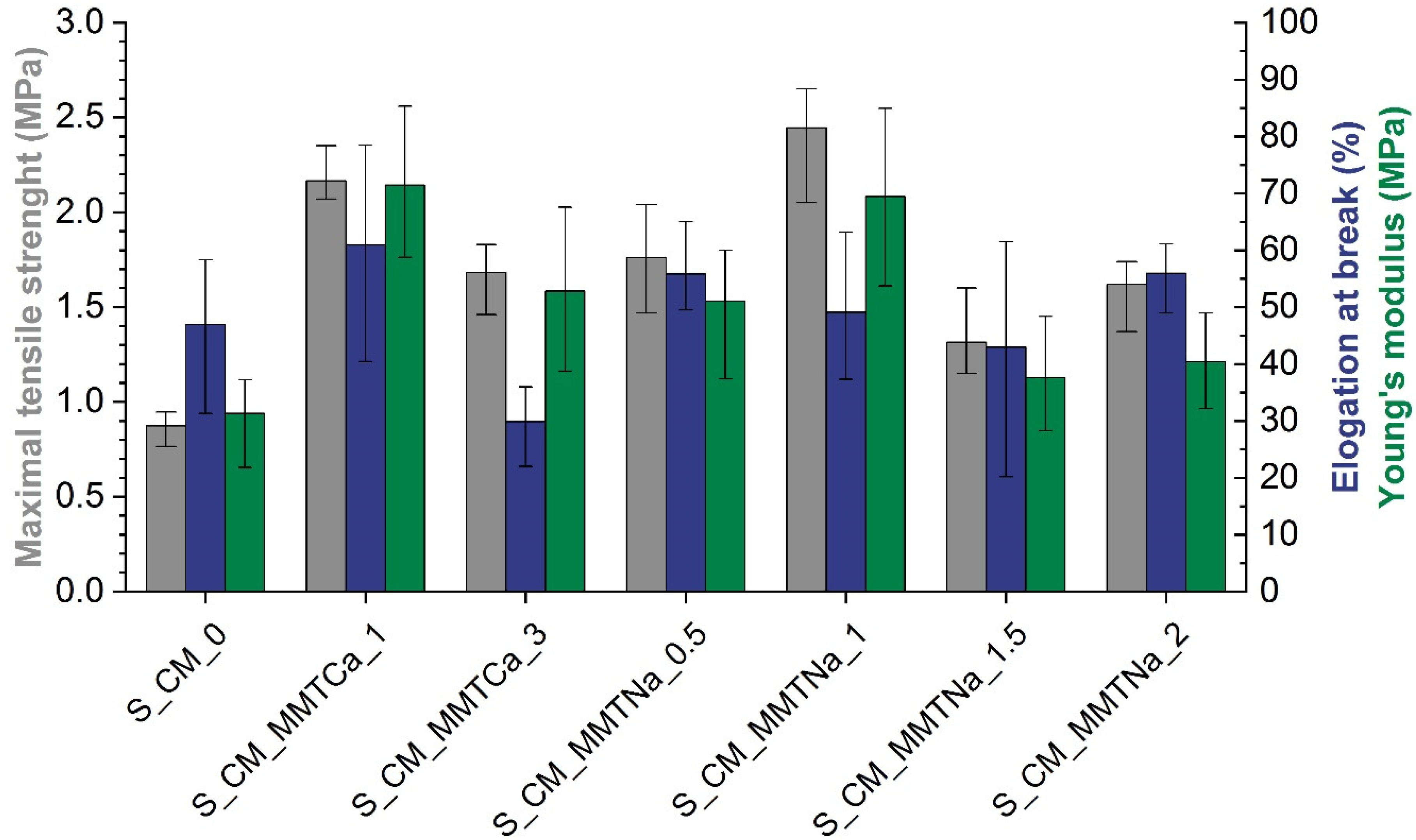
2.7. Mechanical Properties Test
2.8. Laser Scanning Microscopy (LSM)
3. Materials and Methods
3.1. Materials
3.1.1. Deep Eutectic Solvent Preparation
3.1.2. Films Preparation
3.2. Methods
3.2.1. Modulated Differential Scanning Calorimetry (MDSC)
3.2.2. Dynamic Mechanical Thermal Analysis (DMTA)
3.2.3. Fourier Transform Infrared Spectroscopy with Attenuated Total Reflection (ATR-FTIR)
3.2.4. X-ray Diffraction (XRD)
3.2.5. Moisture Absorption
3.2.6. Water Vapor Transmission Rate (WVTR)
3.2.7. Mechanical Properties
3.2.8. Laser Scanning Microscopy (LSM)
4. Conclusions
Author Contributions
Funding
Data Availability Statement
Conflicts of Interest
References
- Ellen MacArthur Foundation. The New Plastics Economy—Rethinking the Future of Plastics; Ellen MacArthur Foundation: Cowes, UK, 2016; Available online: www.ellenmacarthurfoundation.org (accessed on 13 December 2022).
- Inamuddin (Ed.) Starch. In Green Polymer Composites Technology: Properties and Application; CRC Press: Boca Raton, FL, USA, 2016; ISBN 9781498715478. [Google Scholar]
- Ebnesajjad, S. Starch: Major Sources, Properties and Applications as Thermoplastic Materials. In Handbook of Biopolymers and Biodegradable Plastics: Properties, Processing and Applications; Ebnesajjad, S., Ed.; Elsevier: Amsterdam, The Netherlands, 2013; pp. 129–152. ISBN 978-1-4557-3003-2. [Google Scholar]
- Montilla-Buitrago, C.E.; Gómez-López, R.A.; Solanilla-Duque, J.F.; Serna-Cock, L.; Villada-Castillo, H.S. Effect of Plasticizers on Properties, Retrogradation, and Processing of Extrusion-Obtained Thermoplastic Starch: A Review. Starch-Stärke 2021, 73, 2100060. [Google Scholar] [CrossRef]
- Skowrońska, D.; Wilpiszewska, K. Deep Eutectic Solvents for Starch Treatment. Polymers 2022, 14, 220. [Google Scholar] [CrossRef] [PubMed]
- Hansen, B.B.; Spittle, S.; Chen, B.; Poe, D.; Zhang, Y.; Klein, J.M.; Horton, A.; Adhikari, L.; Zelovich, T.; Doherty, B.W.; et al. Deep Eutectic Solvents: A Review of Fundamentals and Applications. Chem. Rev. 2021, 121, 1232–1285. [Google Scholar] [CrossRef] [PubMed]
- Raghavendra, N.V.; Krishnamurthy, L. 17.2.2 Classification of Nanostructures. In Engineering Metrology and Measurements; Oxford University Press: Oxford, UK, 2013; pp. 415–416. [Google Scholar]
- Schulz, M.J.; Shanov, V.; Yin, Z.; Cahay, M. 1.3. Properties of CNT Fibres and Films. In Nanotube Superfiber Materials—Science, Manufacturing, Commercialization, 2nd ed.; Elsevier: Amsterdam, The Netherlands, 2019; ISBN 978-0-1281-2695-0. [Google Scholar]
- Koch, C.C. 5.1 Introduction. In Nanostructured Materials—Processing, Properties, and Applications, 2nd ed.; William Andrew Publishing: Norwich, NY, USA, 2007; pp. 173–174. ISBN 978-1-68015-133-6. [Google Scholar]
- Naito, M.; Yokoyama, T.; Hosokawa, K.; Nogi, K. 79.2 Synthesis of Functional Nanosheets. In Nanoparticle Technology Handbook, 3rd ed.; Elsevier: Amsterdam, The Netherlands, 2018; p. 797. ISBN 978-0-444-64110-6. [Google Scholar]
- Rivadeneira-Velasco, K.E.; Utreras-Silva, C.A.; Díaz-Barrios, A.; Sommer-Márquez, A.E.; Tafur, J.P.; Michell, R.M. Green Nanocomposites Based on Thermoplastic Starch: A Review. Polymers 2021, 13, 3227. [Google Scholar] [CrossRef]
- Park, H.-M.; Li, X.; Jin, C.-Z.; Park, C.-Y.; Cho, W.-J.; Ha, C.-S. Preparation and Properties of Biodegradable Thermoplastic Starch/Clay Hybrids. Macromol. Mater. Eng. 2002, 287, 553–558. [Google Scholar] [CrossRef]
- Park, H.M.; Lee, W.K.; Park, C.Y.; Cho, W.J.; Ha, C.S. Environmentally Friendly Polymer Hybrids Part I Mechanical, Thermal, and Barrier Properties of Thermoplastic Starch/Clay Nanocomposites. J. Mater. Sci. 2003, 38, 909–915. [Google Scholar] [CrossRef]
- Huang, M.F.; Yu, J.G.; Ma, X.F. Studies on the Properties of Montmorillonite-Reinforced Thermoplastic Starch Composites. Polymer 2004, 45, 7017–7023. [Google Scholar] [CrossRef]
- Pandey, J.K.; Singh, R.P. Green Nanocomposites from Renewable Resources: Effect of Plasticizer on the Structure and Material Properties of Clay-Filled Starch. Starch-Stärke 2005, 57, 8–15. [Google Scholar] [CrossRef]
- Cyras, V.P.; Manfredi, L.B.; Ton-That, M.T.; Vázquez, A. Physical and Mechanical Properties of Thermoplastic Starch/Montmorillonite Nanocomposite Films. Carbohydr. Polym. 2008, 73, 55–63. [Google Scholar] [CrossRef]
- Mondragón, M.; Mancilla, J.E.; Rodríguez-González, F.J. Nanocomposites from Plasticized High-Amylopectin, Normal and High-Amylose Maize Starches. Polym. Eng. Sci. 2008, 48, 1261–1267. [Google Scholar] [CrossRef]
- Romero-Bastida, C.A.; Bello-Pérez, L.A.; Velazquez, G.; Alvarez-Ramirez, J. Effect of the Addition Order and Amylose Content on Mechanical, Barrier and Structural Properties of Films Made with Starch and Montmorillonite. Carbohydr. Polym. 2015, 127, 195–201. [Google Scholar] [CrossRef] [PubMed]
- Romero-Bastida, C.A.; Tapia-Blácido, D.R.; Méndez-Montealvo, G.; Bello-Pérez, L.A.; Velázquez, G.; Alvarez-Ramirez, J. Effect of Amylose Content and Nanoclay Incorporation Order in Physicochemical Properties of Starch/Montmorillonite Composites. Carbohydr. Polym. 2016, 152, 351–360. [Google Scholar] [CrossRef] [PubMed]
- Zhang, H.; Zhang, J.; Gao, Y.; Wang, W.; Dong, H.; Hou, H.; Liu, X. Effect of Modification Extent of Montmorillonite on the Performance of Starch Nanocomposite Films. Starch-Stärke 2017, 69, 1700088. [Google Scholar] [CrossRef]
- Staroszczyk, H.; Gottfried, K.; Malinowska-Pańczyk, E.; Kołodziejska, I. Clay-Filled Starch Films. Part I: Effect of Clay Kind and Glycerol Concentration on Functional Properties of Composites. Starch-Stärke 2017, 69, 1500325. [Google Scholar] [CrossRef]
- Ma, X.; Yu, J.; Wang, N. Production of Thermoplastic Starch/MMT-Sorbitol Nanocomposites by Dual-Melt Extrusion Processing. Macromol. Mater. Eng. 2007, 292, 723–728. [Google Scholar] [CrossRef]
- Chivrac, F.; Pollet, E.; Dole, P.; Avérous, L. Starch-Based Nano-Biocomposites: Plasticizer Impact on the Montmorillonite Exfoliation Process. Carbohydr. Polym. 2010, 79, 941–947. [Google Scholar] [CrossRef]
- Schlemmer, D.; Angélica, R.S.; Sales, M.J.A. Morphological and Thermomechanical Characterization of Thermoplastic Starch/Montmorillonite Nanocomposites. Compos. Struct. 2010, 92, 2066–2070. [Google Scholar] [CrossRef]
- Islam, H.B.M.Z.; Susan, M.A.B.H.; Imran, A. bin Effects of Plasticizers and Clays on the Physical, Chemical, Mechanical, Thermal, and Morphological Properties of Potato Starch-Based Nanocomposite Films. ACS Omega 2020, 5, 17543–17552. [Google Scholar] [CrossRef]
- Zdanowicz, M.; Johansson, C. Impact of Additives on Mechanical and Barrier Properties of Starch-Based Films Plasticized with Deep Eutectic Solvents. Starch-Stärke 2017, 69, 1700030. [Google Scholar] [CrossRef]
- Titow, W.V. Plasticisers 5.1 General definition and nature of plasticisers. In PVC Plastics, Properties, Processing, and Applications; Springer: Dordrecht, The Netherlands, 1990; pp. 177–257. [Google Scholar]
- Capron, I.; Robert, P.; Colonna, P.; Brogly, M.; Planchot, V. Starch in Rubbery and Glassy States by FTIR Spectroscopy. Carbohydr. Polym. 2007, 68, 249–259. [Google Scholar] [CrossRef]
- Wang, N.; Zhang, X.; Han, N.; Bai, S. Effect of Citric Acid and Processing on the Performance of Thermoplastic Starch/Montmorillonite Nanocomposites. Carbohydr. Polym. 2009, 76, 68–73. [Google Scholar] [CrossRef]









| Sample Acronym | Tgel (°C) | Tr (°C) |
|---|---|---|
| S_CM_0 | 77.8 | 170.6 |
| S_CM_MMTCa_1 | 130.6 | 177.6 |
| S_CM_MMTNa_1 | 121.6 | 180.1 |
| Sample Acronym | Tβ (°C) | Tα (°C) |
|---|---|---|
| S_CM_0 | −29.5 | 20.4 |
| S_CM_MMTCa_1 | −40.6 | 10.6 |
| S_CM_MMTCa_3 | −35.6 | 16.0 |
| S_CM_MMTCa_5 | −35.6 | 14.3 |
| S_CM_MMTCa_7 | −31.5 | 23.0 |
| S_CM_MMTNa_0.5 | −32.7 | 21.2 |
| S_CM_MMTNa_1 | −29.6 | 20.0 |
| S_CM_MMTNa_1.5 | −32.1 | 22.9 |
| S_CM_MMTNa_2 | −27.1 | 17.2 |
Publisher’s Note: MDPI stays neutral with regard to jurisdictional claims in published maps and institutional affiliations. |
© 2022 by the authors. Licensee MDPI, Basel, Switzerland. This article is an open access article distributed under the terms and conditions of the Creative Commons Attribution (CC BY) license (https://creativecommons.org/licenses/by/4.0/).
Share and Cite
Skowrońska, D.; Wilpiszewska, K. The Effect of Montmorillonites on the Physicochemical Properties of Potato Starch Films Plasticized with Deep Eutectic Solvent. Int. J. Mol. Sci. 2022, 23, 16008. https://doi.org/10.3390/ijms232416008
Skowrońska D, Wilpiszewska K. The Effect of Montmorillonites on the Physicochemical Properties of Potato Starch Films Plasticized with Deep Eutectic Solvent. International Journal of Molecular Sciences. 2022; 23(24):16008. https://doi.org/10.3390/ijms232416008
Chicago/Turabian StyleSkowrońska, Dorota, and Katarzyna Wilpiszewska. 2022. "The Effect of Montmorillonites on the Physicochemical Properties of Potato Starch Films Plasticized with Deep Eutectic Solvent" International Journal of Molecular Sciences 23, no. 24: 16008. https://doi.org/10.3390/ijms232416008
APA StyleSkowrońska, D., & Wilpiszewska, K. (2022). The Effect of Montmorillonites on the Physicochemical Properties of Potato Starch Films Plasticized with Deep Eutectic Solvent. International Journal of Molecular Sciences, 23(24), 16008. https://doi.org/10.3390/ijms232416008

