Design, Synthesis and Pharmacological Evaluation of Novel C2,C3-Quinoxaline Derivatives as Promising Anxiolytic Agents
Abstract
1. Introduction
2. Results
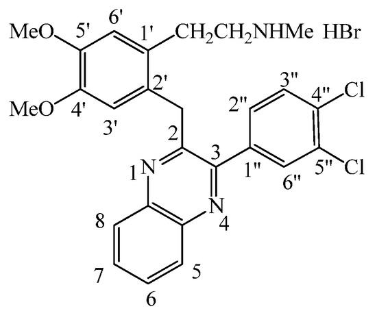
2.1. Chemistry
2.2. Behavioral Tests
2.2.1. Elevated plus Maze
2.2.2. Open Field
2.2.3. Light/Dark Box
2.3. In Silico
2.3.1. Pharmacophore Feature Prediction
2.3.2. ADMET Properties
2.4. Acute Oral Toxicity of Leader Compounds
3. Discussion
4. Materials and Methods
4.1. General Procedure for the Synthesis of Compounds 2b, 2f, 2g, 4b
4.1.1. 2-(2-{[3-(4-(Tert-butyl)phenyl]quinoxalin-2-yl]methyl}-4,5-dimethoxyphenyl)-N-methylethanamine hydrochloride (2b)
4.1.2. 2-(2-{[3-(3,4-Dichlorophenyl)quinoxalin-2-yl]methyl}-4,5-dimethoxyphenyl)-N-methylethanamine hydrobromide (2d)
4.1.3. 1-(4,5-Dimethoxy-2-{[3-methylquinoxalin-2-yl]methyl}phenyl)-N,2-dimethylpropan-2-amine hydrochloride (2f)
4.1.4. 1-(2-{[3-(4-Bromophenyl)quinoxalin-2-y])methyl}phenyl)-N,2-dimethylpropan-2-amine hydrochloride (2g)
4.1.5. 2-(2-{[3-(3,4-Dichlorophenyl)quinoxalin-2-yl]methyl}-1H-indol-3-yl)-N-methylethan-1-amine hydrochloride (4b)
4.2. Experimental Animals
4.3. Drugs and Treatment
4.4. Experimental Design
4.5. Behavioral Tests
4.5.1. Elevated Plus Maze
4.5.2. Light/Dark Box
4.5.3. Open Field
4.6. Statistical Analysis of In Vivo Experiments
4.7. In Silico
4.7.1. Input Query
Pharmacophore Feature Prediction
4.7.2. ADMET
4.8. Acute Oral Toxicity of Leader Compounds
5. Conclusions
Supplementary Materials
Author Contributions
Funding
Institutional Review Board Statement
Informed Consent Statement
Conflicts of Interest
References
- Rehm, J.; Shield, K.D. Global Burden of Disease and the Impact of Mental and Addictive Disorders. Curr. Psychiatry Rep. 2019, 21, 10. [Google Scholar] [CrossRef]
 - Botturi, A.; Ciappolino, V.; Delvecchio, G.; Boscutti, A.; Viscardi, B.; Brambilla, P. The Role and the Effect of Magnesium in Mental Disorders: A Systematic Review. Nutrients 2020, 12, 1661. [Google Scholar] [CrossRef] [PubMed]
 - Christensen, M.K.; Lim, C.C.W.; Saha, S.; Plana-Ripoll, O.; Cannon, D.; Presley, F.; Weye, N.; Momen, N.C.; Whiteford, H.A.; Iburg, K.M.; et al. The cost of mental disorders: A systematic review. Epidemiol. Psychiatry Sci. 2020, 29, e161. [Google Scholar] [CrossRef] [PubMed]
 - Rössler, W. The stigma of mental disorders: A millennia-long history of social exclusion and prejudices. EMBO Rep. 2016, 17, 1250–1253. [Google Scholar] [CrossRef] [PubMed]
 - Doran, C.M.; Kinchin, I. A review of the economic impact of mental illness. Aust. Health Rev. 2019, 43, 43–48. [Google Scholar] [CrossRef]
 - Bandelow, B.; Michaelis, S. Epidemiology of anxiety disorders in the 21st century. Dialogues Clin. Neurosci. 2015, 17, 327–335. [Google Scholar] [CrossRef] [PubMed]
 - Shastry, R.; Ullal, S.D.; Karkala, S.; Rai, S.; Gadgade, A. Anxiolytic activity of aqueous extract of Camellia sinensis in rats. Indian J. Pharmacol. 2016, 48, 681–686. [Google Scholar] [CrossRef] [PubMed]
 - Sher, L. COVID-19, anxiety, sleep disturbances and suicide. Sleep Med. 2020, 70, 124. [Google Scholar] [CrossRef] [PubMed]
 - Peteet, J.R. COVID-19 Anxiety. J. Relig. Health 2020, 59, 2203–2204. [Google Scholar] [CrossRef]
 - Rothmore, J. Antidepressant-induced sexual dysfunction. Med. J. Aust. 2020, 212, 329–334. [Google Scholar] [CrossRef] [PubMed]
 - Massabki, I.; Abi-Jaoude, E. Selective serotonin reuptake inhibitor ‘discontinuation syndrome’ or withdrawal. Br. J. Psychiatry 2021, 218, 168–171. [Google Scholar] [CrossRef] [PubMed]
 - Beakley, B.D.; Kaye, A.M.; Kaye, A.D. Tramadol, Pharmacology, Side Effects, and Serotonin Syndrome: A Review. Pain Physician 2015, 18, 395–400. [Google Scholar]
 - Thibaut, F. Anxiety disorders: A review of current literature. Dialogues Clin. Neurosci. 2017, 19, 87–88. [Google Scholar] [CrossRef] [PubMed]
 - Malyshev, A.V.; Sukhanova, I.A.; Zlobin, A.S.; Gedzun, V.R.; Pavshintsev, V.V.; Vasileva, E.V.; Zalevsky, A.O.; Doronin, I.I.; Mitkin, N.A.; Golovin, A.V.; et al. In silico Screening and Behavioral Validation of a Novel Peptide, LCGA-17, with Anxiolytic-Like Properties. Front. Neurosci. 2021, 15, 705590. [Google Scholar] [CrossRef] [PubMed]
 - Maltsev, D.V.; Spasov, A.A.; Miroshnikov, M.V.; Skripka, M.O. Current Approaches to the Search of Anxiolytic Drugs. Russ. J. Bioorg. Chem. 2021, 47, 622–652. [Google Scholar] [CrossRef]
 - Nachammai, V.; Jeyabalan, S.; Muthusamy, S. Anxiolytic effects of silibinin and naringenin on zebrafish model: A preclinical study. Indian J. Pharmacol. 2021, 53, 457–464. [Google Scholar] [CrossRef]
 - da Silva, D.M.; Sanz, G.; Vaz, B.G.; de Carvalho, F.S.; Lião, L.M.; de Oliveira, D.R.; Moreira, L.; Cardoso, C.S.; de Brito, A.F.; da Silva, D.; et al. Tert-butyl 4-((1-phenyl-1H-pyrazol-4-yl) methyl) piperazine-1-carboxylate (LQFM104)-New piperazine derivative with antianxiety and antidepressant-like effects: Putative role of serotonergic system. Biomed. Pharmacother. 2018, 103, 546–552. [Google Scholar] [CrossRef]
 - Bhatt, S.; Mahesh, R.; Devadoss, T.; Jindal, A. Neuropharmacological evaluation of a novel 5-HT3 receptor antagonist (4-benzylpiperazin-1-yl)(3-methoxyquinoxalin-2-yl) methanone (6g) on lipopolysaccharide-induced anxiety models in mice. J. Basic Clin. Physiol. Pharmacol. 2017, 28, 101–106. [Google Scholar] [CrossRef] [PubMed]
 - Kurhe, Y.; Mahesh, R.; Gupta, D.; Thangaraj, D. Effect of (4a) a novel 5-HT3 receptor antagonist on chronic unpredictable mild stress induced depressive-like behavior in mice: An approach using behavioral tests battery. J. Basic Clin. Physiol. Pharmacol. 2015, 26, 25–33. [Google Scholar] [CrossRef]
 - Pandey, D.K.; Devadoss, T.; Modak, N.; Mahesh, R. Antidepressant & anxiolytic activities of N-(pyridin-3-yl) quinoxalin-2-carboxamide: A novel serotonin type 3 receptor antagonist in behavioural animal models. Indian J. Med. Res. 2016, 144, 614–621. [Google Scholar] [CrossRef] [PubMed]
 - Turski, L.; Jacobsen, P.; Honoré, T.; Stephens, D.N. Relief of experimental spasticity and anxiolytic/anticonvulsant actions of the alpha-amino-3-hydroxy-5-methyl-4-isoxazolepropionate antagonist 2,3-dihydroxy-6-nitro-7-sulfamoyl-benzo(F)quinoxaline. J. Pharmacol. Exp. Ther. 1992, 260, 742–747. [Google Scholar] [PubMed]
 - Lin, P.; Chang, L.; Edmondson, S.D. Pyrrolidine-Derived Beta 3 Adrenergic Receptor Agonists. U.S. Patent WO2010/129326 A1, 11 November 2010. [Google Scholar]
 - Morrow, B.J.; Foitzik, R.C.; Camerino, M.A.; Lagiakos, H.R.; Walker, S.R.; Bozikis, Y.E.B.; Stevenson, G.I.; Cuzzupe, A.N.; Stupple, P.A. Fused [1,2,4]thiadiazine Derivatives Which Act as Kat Inhibitors of the Myst Family. UK Patent WO2019/43139 A1, 7 March 2019. [Google Scholar]
 - Cinelli, M.A.; Reidl, C.T.; Li, H.; Chreifi, G.; Poulos, T.L.; Silverman, R.B. First Contact: 7-Phenyl-2-Aminoquinolines, Potent and Selective Neuronal Nitric Oxide Synthase Inhibitors That Target an Isoform-Specific Aspartate. J. Med. Chem. 2020, 63, 4528–4554. [Google Scholar] [CrossRef] [PubMed]
 - Kasserra, C.E.; Khattri, R.; Krishna, G.; Ringheim, G.E. Substituted Diaminopyrimidyl Compounds, Compositions Thereof, and Methods of Treatment Therewith. U.S. Patent WO2016/205304 A1, 22 December 2016. [Google Scholar]
 - Papa, P.; Cathers, B.E.; Calabrese, A.A.; Whitefield, B.W.; Bennett, B.; Cashion, D.; Mortensen, D.; Huang, D.; Torres, E.; Parnes, J.; et al. Conductive Connections Recessed in Through-Holes of a Dielectric and Corresponding Manufacturing Methods. U.S. Patent 2015/175557 A1, 19 November 2015. [Google Scholar]
 - McKay, D.J.; Arbour, M.; Aspiotis, R.; Chen, A.; Dolman, S.J.; Fournier, P.-A.; Gallant, M.; Han, Y.; Hughes, G.; Janey, J.; et al. Renin Inhibitors. U.S. Patent WO2010/114978 A1, 7 October 2010. [Google Scholar]
 - Kers, I.; Macsari, I.; Csjernyik, G.; Nylӧf, M.; Skogholm, K.; Sandberg, L.; Minidis, A.; Bueters, T.; Malmborg, J.; Eriksson, A.B.; et al. Phenethyl nicotinamides, a novel class of Na (V1.7) channel blockers: Structure and activity relationship. Bioorg. Med. Chem. Lett. 2012, 22, 6108–6115. [Google Scholar] [CrossRef] [PubMed]
 - Tintori, C.; Magnani, M.; Schenone, S.; Botta, M. Docking, 3D-QSAR studies and in silico ADME prediction on c-Src tyrosine kinase inhibitors. Eur. J. Med. Chem. 2009, 44, 990–1000. [Google Scholar] [CrossRef] [PubMed]
 - Pruitt, J.R.; Pinto, D.J.P.; Galemmo, R.A., Jr.; Alexander, R.S.; Rossi, K.A.; Wells, B.L.; Drummond, S.; Bostrom, L.L.; Burdick, D.; Bruckner, R.; et al. Discovery of 1-(2-Aminomethylphenyl)-3-trifluoromethyl-N-[3-fluoro-2′-(aminosulfonyl)[1,1′-biphenyl)]-4-yl]-1H-pyrazole-5-carboxyamide (DPC602), a potent, selective, and orally bioavailable factor Xa Inhibitor. J. Med. Chem. 2003, 46, 5298–5315. [Google Scholar] [CrossRef]
 - Bui, M.H.T.; Dukes, A.O.; Han, X.; Hu, D.X.; Jackson, J.J.; Ko, Y.M.; Leger, P.R.; Ma, A.; Maung, J.; Ng, A.A.; et al. Pyrazolo-pyrimidin-amino-cycloalkyl Compounds and Their Therapeutic Uses. U.S. Patent WO2019/236631, 12 December 2019. [Google Scholar]
 - Zubenko, A.A.; Morkovnik, A.S.; Divaeva, L.N.; Demidov, O.P.; Sochnev, V.S.; Borodkina, I.G.; Drobin, Y.D.; Spasov, A.A. New route to bioactive 2-(hetero)arylethylamines via nucleophilic ring opening in fused 7-acyl-2,3-dihydroazepines. Mendeleev Commun. 2020, 30, 28–30. [Google Scholar] [CrossRef]
 - NMR Solvent Reference Shift. Available online: http://chem.ch.huji.ac.il/nmr/software/solvent.html (accessed on 15 May 2022).
 - Giacobbe, P.; Flint, A. Diagnosis and Management of Anxiety Disorders. Contin. Lifelong Learn. Neurol. 2018, 24, 893–919. [Google Scholar] [CrossRef]
 - Rosen, J.B.; Schulkin, J. From normal fear to pathological anxiety. Psychol. Rev. 1998, 105, 325–350. [Google Scholar] [CrossRef]
 - Gelenberg, A.J. Psychiatric and Somatic Markers of Anxiety: Identification and Pharmacologic Treatment. Prim. Care Companion J. Clin. Psychiatry 2000, 2, 49–54. [Google Scholar] [CrossRef]
 - Maltsev, D.V.; Spasov, A.A.; Vassiliev, P.M.; Skripka, M.O.; Miroshnikov, M.V.; Kochetkov, A.N.; Eliseeva, N.V.; Lifanova, Y.V.; Kuzmenko, T.A.; Divaeva, L.N.; et al. Synthesis and Pharmacological Evaluation of Novel 2,3,4,5-tetrahydro[1,3]diazepino[1,2-a]benzimidazole Derivatives as Promising Anxiolytic and Analgesic Agents. Molecules 2021, 26, 6049. [Google Scholar] [CrossRef]
 - Choi, K.W.; Kim, Y.K.; Jeon, H.J. Comorbid Anxiety and Depression: Clinical and Conceptual Consideration and Transdiagnostic Treatment. Adv. Exp. Med. Biol. 2020, 1191, 219–235. [Google Scholar] [CrossRef] [PubMed]
 - Michaelides, A.; Zis, P. Depression, anxiety and acute pain: Links and management challenges. Postgrad. Med. 2019, 131, 438–444. [Google Scholar] [CrossRef] [PubMed]
 - Radulovic, J.; Ivkovic, S.; Adzic, M. From chronic stress and anxiety to neurodegeneration: Focus on neuromodulation of the axon initial segment. Handb. Clin. Neurol. 2022, 184, 481–495. [Google Scholar] [CrossRef]
 - Tyrer, P. Recent Advances in the Understanding and Treatment of Health Anxiety. Curr. Psychiatry Rep. 2018, 20, 49. [Google Scholar] [CrossRef]
 - Kraeuter, A.-K.; Guest, P.C.; Sarnyai, Z. The Elevated Plus Maze Test for Measuring Anxiety-Like Behavior in Rodents. In Pre-Clinical Models; Humana Press: New York, NY, USA, 2018; pp. 69–74. [Google Scholar] [CrossRef]
 - Takao, K.; Miyakawa, T. Light/dark transition test for mice. J. Vis. Exp. 2006, 1, 104. [Google Scholar] [CrossRef]
 - Rajput, M.A.; Khan, R.A. Phytochemical screening, acute toxicity, anxiolytic and antidepressant activities of the Nelumbo nucifera fruit. Metab. Brain Dis. 2017, 32, 743–749. [Google Scholar] [CrossRef]
 - Michel, B.; Martine, H. The mouse light/dark box test. Eur. J. Pharmacol. 2003, 463, 55–65. [Google Scholar]
 - Seibenhener, M.L.; Wooten, M.C. Use of the open field maze to measure locomotor and anxiety-like behavior in mice. J. Vis. Exp. 2015, 96, e52434. [Google Scholar] [CrossRef]
 - Dror, O.; Schneidman-Duhovny, D.; Inbar, Y.; Nussinov, R.; Wolfson, H.J. Novel approach for efficient pharmacophore-based virtual screening: Method and applications. J. Chem. Inf. Model. 2009, 49, 2333–2343. [Google Scholar] [CrossRef]
 - Cheng, F.; Li, W.; Zhou, Y.; Shen, J.; Wu, Z.; Liu, G.; Lee, P.W.; Tang, Y. AdmetSAR: A comprehensive source and free tool for assessment of chemical ADMET properties. J. Chem. Inf. Model. 2012, 52, 3099–3105. [Google Scholar] [CrossRef]
 - Daina, A.; Michielin, O.; Zoete, V. SwissADME: A free web tool to evaluate pharmacokinetics, drug-likeness and medicinal chemistry friendliness of small molecules. Sci. Rep. 2017, 7, 42717. [Google Scholar] [CrossRef] [PubMed]
 - Banerjee, P.; Eckert, A.O.; Schrey, A.K.; Preissner, R. ProTox-II: A webserver for the prediction of toxicity of chemicals. Nucleic Acids Res. 2018, 46, W257–W263. [Google Scholar] [CrossRef] [PubMed]
 - Pires, D.E.V.; Blundell, T.L.; Ascher, D.B. pkCSM: Predicting small-molecule pharmacokinetic and toxicity properties using graph-based signatures. J. Med. Chem. 2015, 58, 4066–4072. [Google Scholar] [CrossRef] [PubMed]
 - Sander, T.; Freyss, J.; Von Korff, M.; Rufener, C. DataWarrior: An open-source program for chemistry aware data visualization and analysis. J. Chem. Inf. Model. 2015, 55, 460–473. [Google Scholar] [CrossRef] [PubMed]
 - OECD. OECD Guidelines for Acute Toxicity of Chemicals; Organisation for Economic Co-operation and Development: Paris, France, 2001; Test No. 420. [Google Scholar]
 - Larbie, C.; Owusu Nyarkoh, C.; Owusu Adjei, C. Phytochemical and safety evaluation of hydroethanolic leaf extract of Tecoma stans (L.) Juss. ex Kunth. Evid. Based Complement. Altern. Med. 2019, 2019, 7417624. [Google Scholar] [CrossRef]
 












| № | ![]()  | № | ![]()  | ||||
|---|---|---|---|---|---|---|---|
| R | R1 | R2 | Salt Component | R | Salt Component | ||
| 2a | H | OMe | ![]()  | HBr | 4a | ![]()  | - | 
| 2b | H | OMe | ![]()  | HCl | 4b | ![]()  | HCl | 
| 2c | H | OMe | ![]()  | (COOH)2 | |||
| 2d | H | OMe | ![]()  | HBr | |||
| 2e | H | OMe | ![]()  | HBr | |||
| 2f | Me | OMe | Me | HCl | |||
| 2g | Me | H | ![]()  | HCl | |||
) indicates the site of attachment of the quinoxaline fragment of the molecule to the aryl substituent.| Score | Features | Spatial Features | Aromatic | Hydrophobic | Donors | Acceptors | Negatives | Positives | Molecules  Order  | 
|---|---|---|---|---|---|---|---|---|---|
| 27.042 | 3 | 3 | 2 | 0 | 0 | 1 | 0 | 0 | Diazepam.mol2 2e.mol2 2a.mol2 2c.mol2 2f.mol2 2g.mol2 4a.mol2 2d.mol2 4b.mol2 2b.mol2 | 
| 22.715 | 3 | 3 | 2 | 1 | 0 | 0 | 0 | 0 | Diazepam.mol2 2e.mol2 2a.mol2 2c.mol2 2f.mol2 2g.mol2 4a.mol2 2d.mol2 4b.mol2 2b.mol2 | 
| 15.920 | 3 | 3 | 1 | 1 | 0 | 1 | 0 | 0 | Diazepam.mol2 2a.mol2 2c.mol2 2g.mol2 4a.mol2 2d.mol2 4b.mol2 2b.mol2 2e.mol2 2f.mol2 | 
| Score | Features | Spatial Features | Aromatic | Hydrophobic | Donors | Acceptors | Negatives | Positives | Molecules  Order  | 
|---|---|---|---|---|---|---|---|---|---|
| 27.042 | 4 | 4 | 1 | 0 | 0 | 3 | 0 | 0 | NBQX.mol2 2e.mol2 2a.mol2 2c.mol2 2f.mol2 2g.mol2 4a.mol2 2d.mol2 4b.mol2 2b.mol2 | 
| 21.633 | 3 | 3 | 1 | 0 | 1 | 1 | 0 | 0 | NBQX.mol2 2e.mol2 2a.mol2 2c.mol2 2f.mol2 2g.mol2 4a.mol2 2d.mol2 4b.mol2 2b.mol2 | 
| 19.900 | 3 | 3 | 1 | 0 | 0 | 2 | 0 | 0 | NBQX.mol2 2e.mol2 2c.mol2 2f.mol2 4a.mol2 2d.mol2 4b.mol2 2b.mol2 2g.mol2 2a.mol2 | 
| 14.230 | 3 | 3 | 0 | 0 | 0 | 3 | 0 | 0 | NBQX.mol2 2a.mol2 2c.mol2 2f.mol2 2g.mol2 4a.mol2 4b.mol2 2d.mol2 2e.mol2 2b.mol2 | 
| Score | Features | Spatial Features | Aromatic | Hydrophobic | Donors | Acceptors | Negatives | Positives | Molecules Order  | 
|---|---|---|---|---|---|---|---|---|---|
| 48.454 | 8 | 7 | 3 | 1 | 1 | 3 | 0 | 0 | 2b.mol2 2e.mol2 2a.mol2 2c.mol2 2f.mol2 2g.mol2 4a.mol2 2d.mol2 4b.mol2 | 
| 48.454 | 8 | 7 | 3 | 1 | 1 | 3 | 0 | 0 | 4b.mol2 2e.mol2 2a.mol2 2c.mol2 2f.mol2 2g.mol2 4a.mol2 2d.mol2 2b.mol2 | 
| 48.454 | 8 | 7 | 3 | 1 | 1 | 3 | 0 | 0 | 2g.mol2 2e.mol2 2a.mol2 2c.mol2 2f.mol2 4a.mol2 2d.mol2 4b.mol2 2b.mol2 | 
| 48.454 | 8 | 7 | 3 | 1 | 1 | 3 | 0 | 0 | 2a.mol2 2e.mol2 2c.mol2 2f.mol2 2g.mol2 4a.mol2 2d.mol2 4b.mol2 2b.mol2 | 
| 47.805 | 7 | 7 | 3 | 1 | 0 | 3 | 0 | 0 | 2g.mol2 2e.mol2 2a.mol2 2c.mol2 2f.mol2 4a.mol2 2d.mol2 4b.mol2 2b.mol2 | 
| 47.805 | 7 | 7 | 3 | 1 | 0 | 3 | 0 | 0 | 2g.mol2 2e.mol2 2a.mol2 2c.mol2 2f.mol2 4a.mol2 2d.mol2 4b.mol2 2b.mol2 | 
| 46.765 | 6 | 6 | 3 | 0 | 0 | 3 | 0 | 0 | 2g.mol2 2e.mol2 2a.mol2 2c.mol2 2f.mol2 4a.mol2 2d.mol2 4b.mol2 2b.mol2 | 
| 43.258 | 7 | 6 | 3 | 1 | 1 | 2 | 0 | 0 | 2c.mol2 2e.mol2 2a.mol2 2f.mol2 2g.mol2 4a.mol2 2d.mol2 4b.mol2 2b.mol2 | 
| 42.608 | 6 | 6 | 3 | 1 | 0 | 2 | 0 | 0 | 2b.mol2 2e.mol2 2a.mol2 2c.mol2 2f.mol2 2g.mol2 4a.mol2 2d.mol2 4b.mol2 | 
| 42.608 | 6 | 6 | 3 | 1 | 0 | 2 | 0 | 0 | 4b.mol2 2e.mol2 2a.mol2 2c.mol2 2f.mol2 2g.mol2 4a.mol2 2d.mol2 2b.mol2 | 
| Properties | Predicted Value | 
|---|---|
| GI absorption | High | 
| BBB permeant | Low | 
| Acute oral toxicity | 4 class | 
| AMES toxicity | No | 
| Carcinogens | No | 
| Immunotoxicity | No | 
| Mutagenicity | No | 
| Cytotoxicity | No | 
| PAINS | 0 alerts | 
| Brenk | 0 alerts | 
| Molecule | Atoms | Features | Spatial Features | Aromatic | Hydrophobic | Donors | Acceptors | Negatives | Positives | 
|---|---|---|---|---|---|---|---|---|---|
| Diazepam | 34 | 5 | 5 | 2 | 1 | 1 | 1 | 0 | 0 | 
| 2e | 58 | 15 | 14 | 4 | 5 | 1 | 5 | 0 | 0 | 
| 2a | 58 | 15 | 14 | 4 | 5 | 1 | 5 | 0 | 0 | 
| 2c | 60 | 17 | 16 | 4 | 5 | 1 | 7 | 0 | 0 | 
| 2f | 57 | 17 | 16 | 3 | 8 | 1 | 5 | 0 | 0 | 
| 2g | 66 | 18 | 17 | 4 | 6 | 1 | 7 | 0 | 0 | 
| 4a | 54 | 13 | 11 | 5 | 2 | 2 | 3 | 0 | 1 | 
| 2d | 58 | 15 | 14 | 4 | 5 | 1 | 5 | 0 | 0 | 
| 4b | 54 | 13 | 11 | 5 | 2 | 2 | 3 | 0 | 1 | 
| 2b | 70 | 22 | 21 | 4 | 12 | 1 | 5 | 0 | 0 | 
Publisher’s Note: MDPI stays neutral with regard to jurisdictional claims in published maps and institutional affiliations.  | 
© 2022 by the authors. Licensee MDPI, Basel, Switzerland. This article is an open access article distributed under the terms and conditions of the Creative Commons Attribution (CC BY) license (https://creativecommons.org/licenses/by/4.0/).
Share and Cite
Maltsev, D.V.; Skripka, M.O.; Spasov, A.A.; Vassiliev, P.M.; Perfiliev, M.A.; Divaeva, L.N.; Zubenko, A.A.; Morkovnik, A.S.; Klimenko, A.I.; Miroshnikov, M.V.; et al. Design, Synthesis and Pharmacological Evaluation of Novel C2,C3-Quinoxaline Derivatives as Promising Anxiolytic Agents. Int. J. Mol. Sci. 2022, 23, 14401. https://doi.org/10.3390/ijms232214401
Maltsev DV, Skripka MO, Spasov AA, Vassiliev PM, Perfiliev MA, Divaeva LN, Zubenko AA, Morkovnik AS, Klimenko AI, Miroshnikov MV, et al. Design, Synthesis and Pharmacological Evaluation of Novel C2,C3-Quinoxaline Derivatives as Promising Anxiolytic Agents. International Journal of Molecular Sciences. 2022; 23(22):14401. https://doi.org/10.3390/ijms232214401
Chicago/Turabian StyleMaltsev, Dmitriy V., Maria O. Skripka, Alexander A. Spasov, Pavel M. Vassiliev, Maxim A. Perfiliev, Lyudmila N. Divaeva, Alexander A. Zubenko, Anatolii S. Morkovnik, Alexander I. Klimenko, Mikhail V. Miroshnikov, and et al. 2022. "Design, Synthesis and Pharmacological Evaluation of Novel C2,C3-Quinoxaline Derivatives as Promising Anxiolytic Agents" International Journal of Molecular Sciences 23, no. 22: 14401. https://doi.org/10.3390/ijms232214401
APA StyleMaltsev, D. V., Skripka, M. O., Spasov, A. A., Vassiliev, P. M., Perfiliev, M. A., Divaeva, L. N., Zubenko, A. A., Morkovnik, A. S., Klimenko, A. I., Miroshnikov, M. V., Klochkov, V. G., & Ianalieva, L. R. (2022). Design, Synthesis and Pharmacological Evaluation of Novel C2,C3-Quinoxaline Derivatives as Promising Anxiolytic Agents. International Journal of Molecular Sciences, 23(22), 14401. https://doi.org/10.3390/ijms232214401
        

       








