Investigation on Purification of Saturated LiNO3 Solution Using Titanium Phosphate Ion Exchanger: Kinetics Study
Abstract
1. Introduction
2. Results and Discussion
2.1. Characterization of the Sorbent
2.2. Sorption Kinetics of Transition Metal Ions on Li-TiOP Sorbent
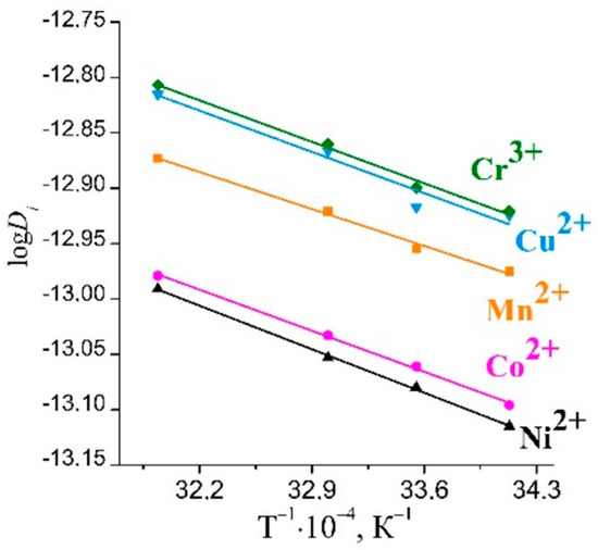
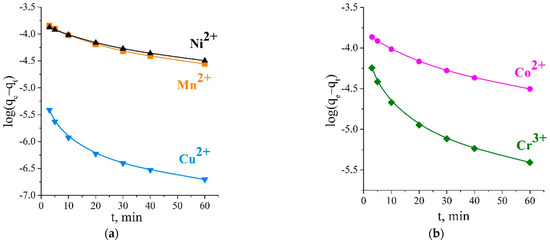
2.3. Diffusion Sorption Kinetics of Transition Metal Ions
2.4. Adsorption Reaction Models
3. Materials and Methods
3.1. Materials
3.2. Synthesis of Titanium Phosphate Sorbent (TiOP)
3.3. Preparation of Saturated LiNO3 Solution
3.4. Characterization Techniques
3.5. Sorption Experiments
3.6. Modeling of Kinetics
4. Conclusions
Supplementary Materials
Author Contributions
Funding
Conflicts of Interest
References
- Swain, B. Recovery and recycling of lithium: A review. Sep. Purif. Technol. 2017, 172, 388–403. [Google Scholar] [CrossRef]
- Shuya, L.; Yang, C.; Xuefeng, C.; Wei, S.; Yaqing, W.; Yue, Y. Separation of lithium and transition metals from leachate of spent lithium-ion batteries by solvent extraction method with Versatic 10. Sep. Purif. Technol. 2020, 250, 117258. [Google Scholar] [CrossRef]
- Dessemond, C.; Lajoie-Leroux, F.; Soucy, G.; Laroche, N.; Magnan, J.-F. Spodumene: The Lithium Market, Resources and Processes. Minerals 2019, 9, 334. [Google Scholar] [CrossRef]
- Linneen, N.; Bhave, R.; Woerner, D. Purification of industrial grade lithium chloride for the recovery of high purity battery grade lithium carbonate. Sep. Purif. Technol. 2019, 214, 168–173. [Google Scholar] [CrossRef]
- Kumar, A.; Chakrabarti, A.; Shekhawat, M.S.; Molla, A.R. Transparent ultra-low expansion lithium aluminosilicate glass-ceramics: Crystallization kinetics, structural and optical properties. Thermochim. Acta 2019, 676, 155–163. [Google Scholar] [CrossRef]
- Deshpande, V.K.; Jagdale, M.V. Effect of Li2O-B2O3-SiO2-Nb2O5 glass addition on dielectric and ferroelectric properties of Lithium Niobate ceramics. Ferroelectrics 2017, 510, 95–102. [Google Scholar] [CrossRef]
- Li, G.R.; Yin, Q.R.; Zheng, L.Y.; Guo, Y.Y.; Cao, W.W. Dielectric and piezoelectric properties of sodium lithium niobate Na1−x Li x NbO3 lead free ferroelectric ceramics. J. Electroceram. 2008, 21, 323–326. [Google Scholar] [CrossRef]
- Śmiga, W.; Garbarz-Glos, B.; Livinsh, M.; Smeltere, I. Influence of Lithium Substitution on Structure, Electric and Pyroelectric Properties of Sodium Niobate Ceramics. Ferroelectrics 2012, 436, 54–61. [Google Scholar] [CrossRef]
- Liu, W.; Chu, G.-W.; Li, S.-C.; Bai, S.; Luo, Y.; Sun, B.-C.; Chen, J.-F. Preparation of lithium carbonate by thermal decomposition in a rotating packed bed reactor. Chem. Eng. J. 2019, 377, 119929. [Google Scholar] [CrossRef]
- Patterson, W.M.; Stark, P.C.; Yoshida, T.M.; Sheik-Bahae, M.; Hehlen, M.P. Preparation and Characterization of High-Purity Metal Fluorides for Photonic Applications. J. Am. Ceram. Soc. 2011, 94, 2896–2901. [Google Scholar] [CrossRef]
- Hehlen, M.P.; Boncher, W.L.; Melgaard, S.D.; Blair, M.W.; Jackson, R.A.; Littleford, T.E.; Love, S.P. Preparation of high-purity LiF, YF3, and YbF3 for laser refrigeration. In Laser Refrigeration of Solids VII; Epstein, R.I., Seletskiy, D.V., Sheik-Bahae, M., Eds.; SPIE: Bellingham, DC, USA, 2014; Volume 94, p. 900004. [Google Scholar]
- Milyutin, V.V.; Nekrasova, N.A.; Rudskikh, V.V.; Volkova, T.S. Preparation of High-Purity Lithium Carbonate Using Complexing Ion-Exchange Resins. Russ. J. Appl. Chem. 2020, 93, 549–553. [Google Scholar] [CrossRef]
- Clearfield, A.; Bortun, A.I.; Khainakov, S.A.; Bortun, L.N.; Strelko, V.V.; Khryaschevskii, V.N. Spherically granulated titanium phosphate as exchanger for toxic heavy metals. Waste Manag. 1998, 18, 203–210. [Google Scholar] [CrossRef]
- Roca, S.; Airoldi, C. Thermodynamic data of ion exchange on amorphous titanium(IV) phosphate. Thermochim. Acta 1996, 284, 289–297. [Google Scholar] [CrossRef]
- Grevillot, G.; Dzyazko, J.; Kazdobin, K.; Belyakov, V. The electrochemically controlled sorption of d-metal cations by ion exchangers based on titanium phosphate. J. Solid State Electrochem. 1999, 3, 111–116. [Google Scholar] [CrossRef]
- Nunes, L.M.; Parente, B.; Maurera, M.A.M.; Airoldi, C. Cobalt, Nickel, and Copper Ion-Exchanged on Heterocyclic Amine-Intercalated Titanium Hydrogenphosphate Compounds. Ind. Eng. Chem. Res. 2008, 47, 5441–5446. [Google Scholar] [CrossRef]
- Sahu, B.B.; Parida, K. Cation Exchange and Sorption Properties of Crystalline α-Titanium(IV) Phosphate. J. Colloid Interface Sci. 2002, 248, 221–230. [Google Scholar] [CrossRef]
- Maslova, M.; Ivanenko, V.; Yanicheva, N.; Gerasimova, L. The effect of heavy metal ions hydration on their sorption by a mesoporous titanium phosphate ion-exchanger. J. Water Process Eng. 2020, 35, 101233. [Google Scholar] [CrossRef]
- Trublet, M.; Maslova, M.V.; Rusanova, D.; Antzutkin, O.N. Sorption performances of TiO(OH)(H2PO4)·H2O in synthetic and mine waters. RSC Adv. 2017, 7, 1989–2001. [Google Scholar] [CrossRef]
- Ivanenko, V.I.; Maslova, M.V.; Evstropova, P.E.; Gerasimova, L.G. Investigation on purification of saturated LiNO3 solution using titanium phosphate ion-exchanger: Equilibrium study. Trans. Nonferrous Met. Soc. China, 2022; in press. [Google Scholar]
- Kapnisti, M.; Noli, F.; Papastergiadis, E.; Pavlidou, E. Exploration of the parameters affecting the europium removal from aqueous solutions by novel synthesized titanium phosphates. J. Environ. Chem. Eng. 2018, 6, 3408–3417. [Google Scholar] [CrossRef]
- Jia, K.; Pan, B.; Lv, L.; Zhang, Q.; Wang, X.; Pan, B.; Zhang, W. Impregnating titanium phosphate nanoparticles onto a porous cation exchanger for enhanced lead removal from waters. J. Colloid Interface Sci. 2009, 331, 453–457. [Google Scholar] [CrossRef] [PubMed]
- Kapnisti, M.; Noli, F.; Misaelides, P.; Vourlias, G.; Karfaridis, D.; Hatzidimitriou, A. Enhanced sorption capacities for lead and uranium using titanium phosphates; sorption, kinetics, equilibrium studies and mechanism implication. Chem. Eng. J. 2018, 342, 184–195. [Google Scholar] [CrossRef]
- Ho, Y.S.; McKay, G. Pseudo-second order model for sorption processes. Process Biochem. 1999, 345, 451–465. [Google Scholar] [CrossRef]
- Inglezakis, V.J.; Zorpas, A.A. Heat of adsorption, adsorption energy and activation energy in adsorption and ion exchange systems. Desalin. Water Treat. 2012, 39, 149–157. [Google Scholar] [CrossRef]
- Moon, B.; Jun, N.; Park, S.; Seok, C.-S.; Hong, U. A study on the modified Arrhenius equation using the oxygen permeation block model of crosslink structure. Polymers 2019, 11, 136. [Google Scholar] [CrossRef] [PubMed]
- Viegas, R.M.C.; Campinas, M.; Costa, H.; Rosa, M.J. How do the HSDM and Boyd’s model compare for estimating intraparticle diffusion coefficients in adsorption processes. Adsorption 2014, 20, 737–746. [Google Scholar] [CrossRef]
- Sparks, D.L.; Suarez, D.L.; Aharoni, C.; Sparks, D.L. Kinetics of soil chemical reactions—A theoretical treatment. Rates Soil Chem. Process. 1991, 27, 1–18. [Google Scholar] [CrossRef]
- Ho, Y.S.; Ng, J.C.Y.; McKay, G. Kinetics of pollutant sorption by biosorbents: Review. Sep. Purif. Rev. 2002, 29, 189–232. [Google Scholar] [CrossRef]
- Javadian, H. Application of kinetic, isotherm and thermodynamic models for the adsorption of Co(II) ions on polyani-line/polypyrrole copolymer nanofibers from aqueous solution. J. Ind. Eng. Chem. 2014, 20, 4233–4241. [Google Scholar] [CrossRef]
- Rieman, W.; Walton, H.F. Ion Exchange in Analytical Chemistry: International Series of Monographs; Pergamon Press: Oxford, UK, 1970; Volume 38. [Google Scholar]
- Boyd, G.E.; Adamson, A.W.; Myers, L.S. The exchange adsorption of ions from aqueous solutions by organic zeolites. II. Kinetics. J. Am. Chem. Soc. 1947, 69, 2836–2844. [Google Scholar] [CrossRef]
- Znamensky, Y.P. Apprecating expression for solving Boyd’s diffusion equation. Russ. J. Phys. Chem. 1993, 679, 1924–1925. [Google Scholar]












| Me | T, °K | B·10−2, min−1 | R2 | Di, m2·s−1 | Ea, kJ·mol−1 | R2 |
|---|---|---|---|---|---|---|
| Mn2+ | 293 | 2.51 | 0.991 | 1.06 × 10−13 | 9.12 | 0.993 |
| 298 | 2.63 | 0.993 | 1.11 × 10−13 | |||
| 303 | 2.85 | 0.998 | 1.20 × 10−13 | |||
| 313 | 3.17 | 0.996 | 1.34 × 10−13 | |||
| Co2+ | 293 | 1.90 | 0.996 | 8.01 × 10−14 | 10.12 | 0.998 |
| 298 | 2.06 | 0.998 | 8.69 × 10−14 | |||
| 303 | 2.20 | 0.999 | 9.26 × 10−14 | |||
| 313 | 2.49 | 0.998 | 1.05 × 10−13 | |||
| Ni2+ | 293 | 1.82 | 0.994 | 7.67 × 10−14 | 10.83 | 0.999 |
| 298 | 1.97 | 0.990 | 8.31 × 10−14 | |||
| 303 | 2.10 | 0.995 | 8.86 × 10−14 | |||
| 313 | 2.42 | 0.999 | 1.02 × 10−13 | |||
| Cu2+ | 293 | 2.74 | 0.996 | 1.19 × 10−13 | 11.0 | 0.995 |
| 298 | 2.86 | 0.999 | 1.21 × 10−13 | |||
| 303 | 3.45 | 0.997 | 1.36 × 10−13 | |||
| 313 | 4.17 | 0.998 | 1.53 × 10−13 | |||
| Cr2+ | 293 | 2.79 | 0.997 | 1.20 × 10−13 | 13.11 | 0.998 |
| 298 | 2.88 | 0.999 | 1.26 × 10−13 | |||
| 303 | 3.47 | 0.998 | 1.38 × 10−13 | |||
| 313 | 4.19 | 0.999 | 1.56 × 10−13 |
| Me | T, K | qe(exp)·10−3, mol·g−1 | qe, 10−3, mol·g−1 | k2, g·mol−1·min−1 | R2 | Ea, kJ·mol−1 | R2 |
|---|---|---|---|---|---|---|---|
| Mn2+ | 293 | 0.182 | 0.180 | 470.76 | 0.995 | 9.07 | 0.996 |
| 298 | 0.183 | 0.184 | 507.62 | 0.997 | |||
| 303 | 0.184 | 0.184 | 530.88 | 0.990 | |||
| 313 | 0.185 | 0.187 | 600.60 | 0.990 | |||
| Co2+ | 293 | 0.162 | 0.160 | 394.45 | 0.993 | 11.60 | 0.998 |
| 298 | 0.164 | 0.166 | 429.91 | 0.996 | |||
| 303 | 0.167 | 0.169 | 467.73 | 0.990 | |||
| 313 | 0.171 | 0.173 | 535.67 | 0.992 | |||
| Ni2+ | 293 | 0.155 | 0.153 | 389.94 | 0.995 | 13.41 | 0.993 |
| 298 | 0.158 | 0.160 | 416.22 | 0.9956 | |||
| 303 | 0.163 | 0.168 | 473.15 | 0.988 | |||
| 313 | 0.169 | 0.170 | 552.16 | 0.998 | |||
| Cu2+ | 293 | 0.195 | 0.199 | 84,030.32 | 0.995 | ||
| 298 | 0.199 | 0.199 | 84,030.32 | 0.995 | |||
| 303 | 0.199 | 0.199 | 84,030.32 | 0.995 | |||
| 313 | 0.199 | 0.199 | 84,030.32 | 0.995 | |||
| Cr3+ | 293 | 0.199 | 0.199 | 4176.10 | 0.996 | ||
| 298 | 0.199 | 0.199 | 4176.10 | 0.996 | |||
| 303 | 0.207 | 0.199 | 4176.10 | 0.996 | |||
| 313 | 0.213 | 0.199 | 4176.10 | 0.996 |
| Ion | T, K | α, mol·g−1·min−1 | β, mol·mg−1 | R2 | Comments |
|---|---|---|---|---|---|
| Mn2+ | 298 | 3.52 × 10−2 | 2.61 × 10−4 | 0.996 | |
| 313 | 4.37 × 10−2 | 2.63 × 10−4 | 0.994 | ||
| Co2+ | 298 | 2.63 × 10−2 | 2.57 × 10−4 | 0.998 | |
| 313 | 3.06 × 10−2 | 2.62 × 10−4 | 0.998 | ||
| Ni2+ | 298 | 2.61 × 10−2 | 2.87 × 10−4 | 0.998 | |
| 313 | 2.98 × 10−2 | 2.68 × 10−4 | 0.998 | ||
| Cu2+ | 298 | 2.17 × 1014 | 4.61 × 105 | 0.973 | |
| Cr3+ | 298 | 8.15 × 10−4 | 3.29 × 10−4 | 0.989 | 1st section (before 10 min) |
| 298 | 4.35 × 1014 | 2.32 × 105 | 0.992 | 2nd section (after 10 min) |
Publisher’s Note: MDPI stays neutral with regard to jurisdictional claims in published maps and institutional affiliations. |
© 2022 by the authors. Licensee MDPI, Basel, Switzerland. This article is an open access article distributed under the terms and conditions of the Creative Commons Attribution (CC BY) license (https://creativecommons.org/licenses/by/4.0/).
Share and Cite
Maslova, M.; Ivanenko, V.; Evstropova, P.; Mudruk, N.; Gerasimova, L. Investigation on Purification of Saturated LiNO3 Solution Using Titanium Phosphate Ion Exchanger: Kinetics Study. Int. J. Mol. Sci. 2022, 23, 13416. https://doi.org/10.3390/ijms232113416
Maslova M, Ivanenko V, Evstropova P, Mudruk N, Gerasimova L. Investigation on Purification of Saturated LiNO3 Solution Using Titanium Phosphate Ion Exchanger: Kinetics Study. International Journal of Molecular Sciences. 2022; 23(21):13416. https://doi.org/10.3390/ijms232113416
Chicago/Turabian StyleMaslova, Marina, Vladimir Ivanenko, Polina Evstropova, Natalia Mudruk, and Lidia Gerasimova. 2022. "Investigation on Purification of Saturated LiNO3 Solution Using Titanium Phosphate Ion Exchanger: Kinetics Study" International Journal of Molecular Sciences 23, no. 21: 13416. https://doi.org/10.3390/ijms232113416
APA StyleMaslova, M., Ivanenko, V., Evstropova, P., Mudruk, N., & Gerasimova, L. (2022). Investigation on Purification of Saturated LiNO3 Solution Using Titanium Phosphate Ion Exchanger: Kinetics Study. International Journal of Molecular Sciences, 23(21), 13416. https://doi.org/10.3390/ijms232113416

