Abstract
The comprehensive research of magnetic and electronic structure properties of the new class of Gd0.4Tb0.6(Co1−xNix)2 compounds, crystallizing in the cubic Laves phase (C15), is reported. The magnetic study was completed with electrical resistivity and electronic structure investigations. The analysis of Arrott plots supplemented by a study of temperature dependency of Landau coefficients revealed that all compounds undergo a magnetic phase transition of the second type. Based on magnetic isotherms, magnetic entropy change (ΔSM) was determined for many values of the magnetic field change (μ0H), which varied from 0.1 to 7 T. For each compound, the ΔSM had a maximum around the Curie temperature. Both values of the |ΔSMmax| and relative cooling power RCP parameters increased with increasing nickel content. It is shown that structural disorder upon Co/Ni substitution influences some magnetic parameters. The magnetic moment values of Co atoms determined from different methods are quantitatively consistent. From the M(T) dependency, the exchange integrals JRR, JRT, and JTT between rare-earths (R) and transition metal (T) moments were evaluated within the mean-field theory (MFT) approach. The experimental study of the electronic structure performed with the use of the X-ray photoelectron spectroscopy (XPS) was completed by calculations using the full-potential linearized augmented plane waves (FP-LAPW) method based on the density functional theory (DFT). The calculations explained experimentally observed changes in the XPS valence band spectra upon the Ni/Co substitution.
1. Introduction
Among magnetic materials, RCo2 compounds (R = rare earth) having the Laves phase structure of C15 type have attracted particular interest [1,2]. Attention to these materials is mainly due to their attractive properties, which strongly depends on the type of rare-earth element in the composition [3]. Furthermore, their simple cubic crystal structure facilitates the interpretation of the obtained results. The RCo2 compounds with nonmagnetic R-ions, such as Y or Lu, show enhanced Pauli paramagnetism and underwent a metamagnetic transition [1,3]. Under the influence of an external magnetic field exceeding a certain critical Hc value, a transition from a paramagnetic to a ferromagnetic state occurs accompanied by the increase in initially negligible magnetic moments on the Co site, even by 0.5 μB [4,5]. In RCo2 compounds with magnetic R-ions, cobalt atoms have induced magnetic moment, which occurs due to the 4f-3d interaction between localized moments of rare earth and the metamagnetic moments of cobalt [1]. Substitution of other kinds of atoms in RCo2 results in a new family of compounds called pseudobinaries, such as the R(Co1−xTx)2, the R1−yR′yCo2, or even four-component R1−yR’y(Co1−xTx)2 compounds (R′—rare earth, T—3d element). They are particularly interesting because of additional interactions between magnetic moments (4f′-4f, 4f-3d, 4f′-3d, and others), which may significantly alter the magnetic properties of the original material but also strongly modify their electronic structure. It is known that RCo2 compounds show a magnetic structure with parallel or antiparallel alignments of the magnetic moments of R and Co ions for light or heavy R elements, respectively [2]. RCo2 compounds are also known as materials exhibiting a significant magnetocaloric effect (MCE) [1].
Magnetic cooling based on the magnetocaloric effect is considered an alternative cooling technique to classical gas vapor cooling due to its high efficiency and environmental friendliness. The value of MCE in these compounds usually has its maximum around the Curie temperature (TC) and can be pretty high in the case of the first-order phase transition (FOPT). The magnetic materials for which TC is located near room temperature are particularly attractive due to the possibility of using them for magnetic refrigeration in consumer devices. Recently, we reported on the comprehensive experimental and theoretical studies of magnetic and electronic structural properties of the Gd0.4Tb0.6Co2 compound [6], for which the TC was earlier determined to be near room temperature [7]. We have shown that this compound is a material with minimal hysteresis losses and reasonable relative cooling power (RCP) parameter values at room temperature, which qualifies it for use in magnetic refrigerators. Considering the Gd0.4Tb0.6Co2 as a basis for the new class of four-component compounds, we have studied the Gd0.4Tb0.6(Co1−xNix)2 system. We investigated its electronic structure, particularly in the valence band range, essential for magnetic properties. The study of the electronic structure was conducted experimentally and theoretically. Our results are entirely new for the system under investigation. Moreover, using the two-sublattice model, in the mean-field theory (MFT) approximation, the exchange integrals JRR, JRCo, and JCoCo were evaluated. Within this theory, we determined the magnetic moment of Co atom, μCo-MFT, and compared it with its values obtained by other methods.
2. Results and Discussion
2.1. Crystal Structure
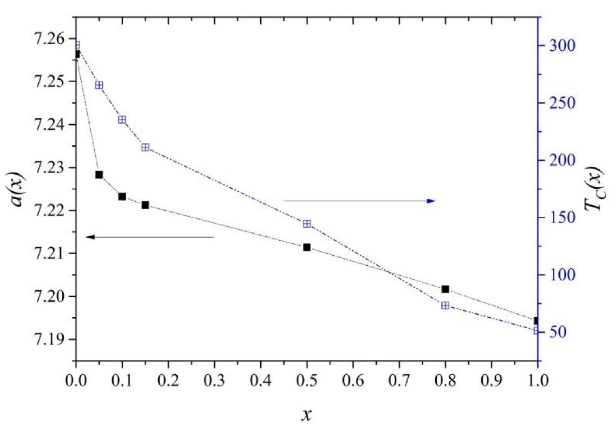
The crystal structure of all analyzed compounds was refined using the Rietveld method, and the analysis was carried out using noncommercial Maud software ver. 1.6.4 (Pandata, Berlin, Germany) [8,9]. The study showed that the samples with x = 0.00, 0.05, 0.10, 0.15, and 0.50 crystallized in the MgCu2 type of structure (Fd-3m space group) and were free from undesirable magnetic impurities. In contrast, the sample with x = 0.80 contained additionally about 3.5% of the Gd40Tb60 phase. The sample with x = 1.00 crystallized in the superstructure of MgCu2 with double cell parameter a and contained two additional undesirable magnetic phases (Tb2O3, 9.8%) and TbNi (7.2%). With increasing Ni content, the value of the a, which for the Gd0.4Tb0.6Co2 compound was equal to 7.256 Å ± 0.001 Å, first decreases rapidly for x less than 0.15 and then for higher concentrations decreases following Vegard’s law (Figure 1, left axis). The cell parameter generally lowers because nickel atoms have smaller ionic radii than cobalt atoms. The deviation from Vegard’s law, visible for small Ni concentration (<0.15) can be attributed to magneto-volume effects, as the measurements (at 294 K) have been carried out not far away from TC. A similar situation was observed in Gd(Co1−xNix)2 compounds [10,11].
Figure 1.
Lattice parameter a as a function of x (left axis). Curie temperature TC derived from magnetic measurements, discussed in Section 2.2 (right axis).
2.2. Magnetic Properties
The temperature dependence of the magnetization M(T) measured in zero-field cooling (ZFC) and field cooling (FC) mode at the external magnetic field of 0.1 T is shown in Figure 2.
Figure 2.
Magnetization M versus temperature, measured in FC and ZFC mode (MFC and MZFC) at a magnetic field of 0.1 T.
The thermomagnetic curves exhibit irreversible behavior in the low-temperature range. The difference between the MFC and MZFC at 2 K changes with Ni concentration and is most significant for x = 0.5 (Figure 3).
Figure 3.
Difference between the MFC and MZFC values at 2 K (left axis). Residual resistivity (ρ0) vs. concentration x, discussed in Section 2.4 (right axis).
Several reasons may be responsible for the observed MFC-MZFC(x) differences. Some of these include structural and magnetic disorders; others point to spin–orbit coupling changes that influence magnetic anisotropy, the domain wall pinning effect, or the impact of the crystal field [12,13,14,15,16,17]. According to our results discussed later, we are rather convinced that the indicated difference is due to structural and magnetic disorders.
The real parts of the magnetic susceptibility AC (χ’(T) in Figure 4) showed characteristic peaks at magnetic transition temperatures TC. The values of TC determined from χ’ 1 and from minima of dM/dT in both ZFC and FC modes are in perfect agreement, showing a significant decrease with increasing Ni content (Figure 1, right axis). This effect can be related to the dilution of the Co subsystem when replacing Co atoms with weaker magnetically Ni atoms. Similar behavior was observed in many Laves phase compounds doped by nickel [18,19]. The noticeable consistency of a(x) and TC(x) plots confirm that TC and magnetic properties have a strong lattice volume dependence in these compounds [10,20].
Figure 4.
The real part of the AC magnetic susceptibility χ’ normalized against the maximum value of χ’max for the Gd0.4Tb0.6(Co1−xNix)2.
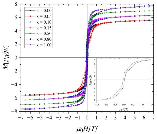
The hysteresis loops measured at 2 K, 25 K, 50 K, 100 K, and 300 K show minimal hysteresis losses for all investigated samples (Figure 5). Moreover, no saturation has been observed even at μ0H = 7 T. Using M(H) data at 2 K, the saturation magnetization (MS) was determined from extrapolation to zero of 1/H in the M vs. 1/H dependence. The value of MS grew monotonically with the nickel content, except for the sample with x = 1.0 (Table 1). Using the obtained values for MS, we estimated the magnetic moment of the 3d sublattice (2 μ3d) versus x, applying the formula MS = 0.4 μGd + 0.6 μTb + 2 μ3d with μ3d = (1 − x) μCo + x μNi, μGd = 7 μB, and μTb = 9 μB. For x = 0 (MS = 5.86 μB), the procedure gave μCo = −1.17 μB, which is in accordance with earlier results in these kinds of compounds [6,11]. The negative sign indicates the antiparallel alignment of the R and Co moments. With the growing content of Ni, which is nearly nonmagnetic [11,21], the 3d sublattice moment 2 μ3d decreases (Table 1). Because μ3d and μR are oriented antiparallel, it yields the observed increase in MS(x).
Figure 5.
Hysteresis loops measured at 2 K. The inset shows M(μ0H) in the low magnetic field values range for the sample with x = 0.05.
Table 1.
Curie temperature (TC), saturation magnetization (MS), and 3d sublattice contribution to the magnetic moment (2 μ3d) in the Gd04Tb0.6(Co1−xNix)2 system. In the table, the exp. and the calc. denote the experimental and ab initio results. The results denoted as fit were estimated using the formula MS(x) = 2.104 x +5.942 obtained by fitting the linear function to ab initio results for MS (R square = 0.998).
All the hysteresis loops show a symmetric course after changing the external magnetic field direction; however, for the sample with x = 0.05, a slight deformation was observed in the M(H) chart, suggesting a coexistence of hard and soft magnetic phases (inset of Figure 5). Materials showing such behavior are known as exchange spring magnets [22,23]. In the case of our sample, it may be related to the presence of a foreign magnetic phase in tiny amounts below the XRD detectability.
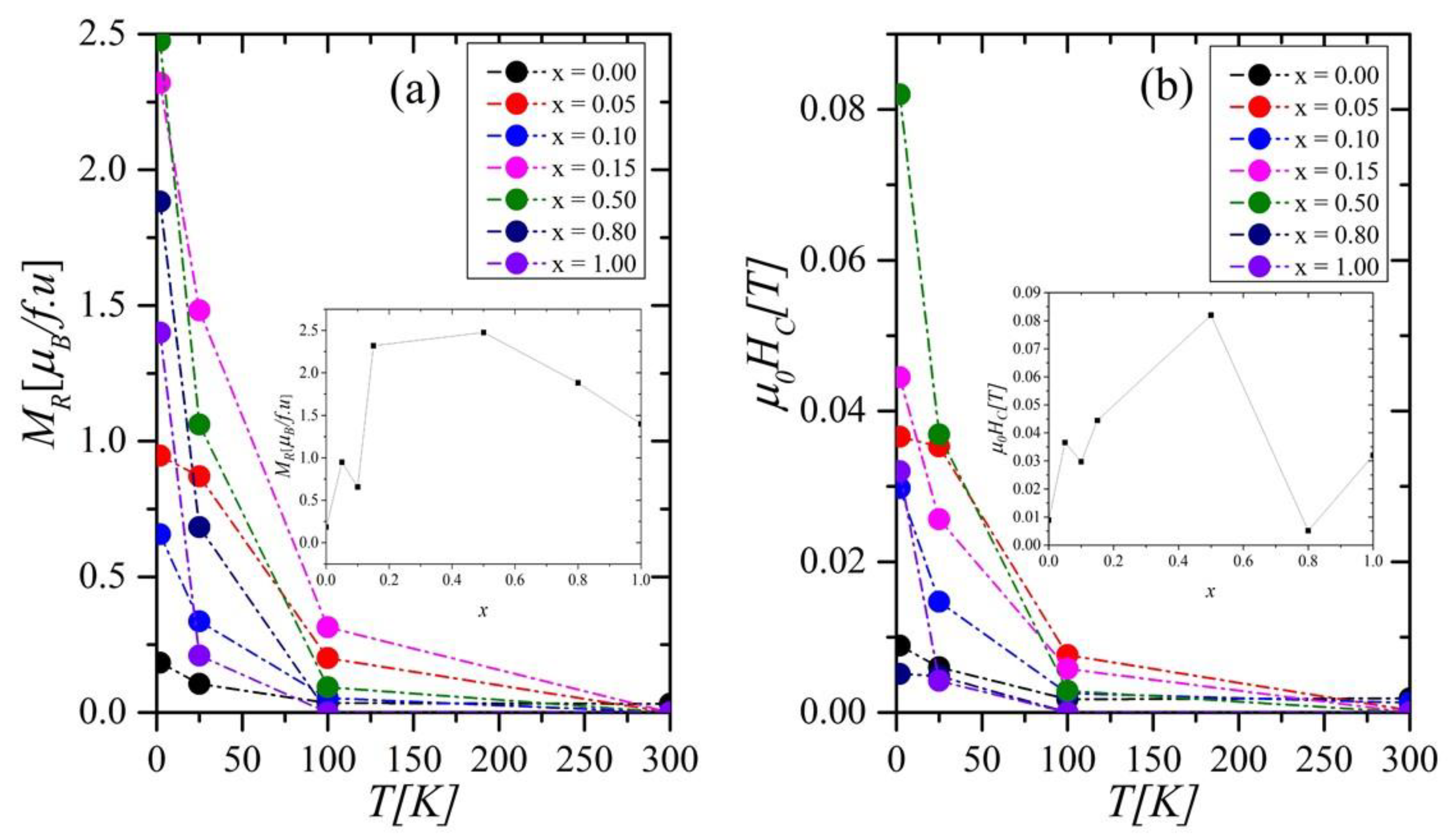
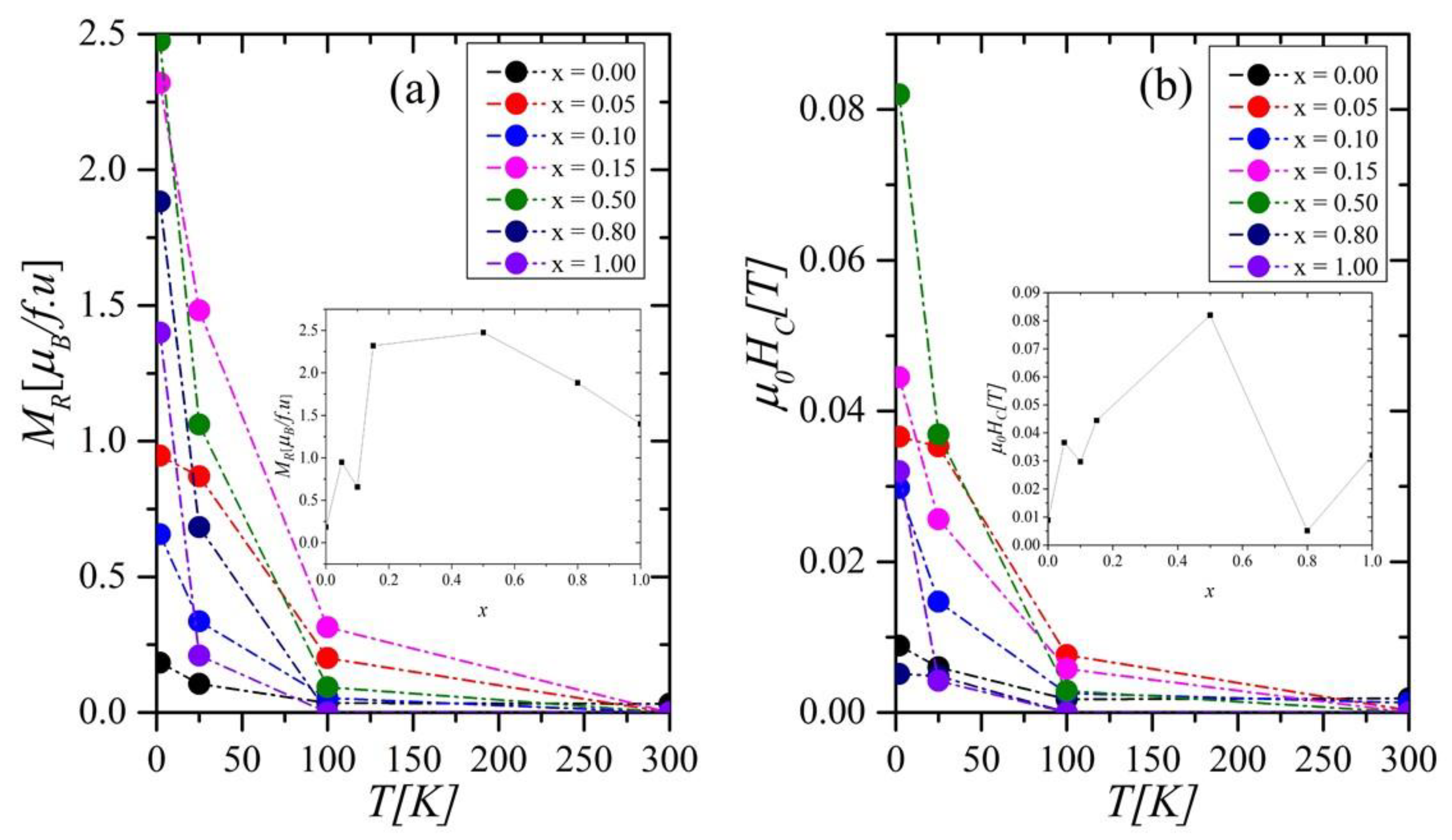
Figure 6a,b shows the residual magnetization MR and coercive fields Hc as a function of T in the Gd0.4Tb0.6(Co1−xNix)2 system. As can be seen, with the increase in the nickel content, the Hc measured at 2 K grows up to the maximum value of 0.083 T for x = 0.5, then decreases to 0.005 T for x = 0.8 (inset in Figure 6b). A similar trend, with a maximum at the same Ni concentration, was observed for MR(x) (inset in Figure 6a). A slight rise of the Hc value for x = 1.0 might be related to additional magnetic phases in the sample. The Hc(x) dependence perfectly reflects the ρ0(x) dependence (which will be discussed later) and is consistent with the MFC-MZFC one (Figure 2). Thus, all these dependencies appear to have a common origin: the structural disorder and magnetocrystalline anisotropy influence that occur with doping.
Figure 6.
The residual magnetization MR (a) and coercive fields HC (b) versus T and chemical composition x in the Gd04Tb0.6(Co1xNix)2 compounds. The insets in Figure (a) and (b) present the concentration dependence of MR and Hc, respectively.
The magnetic properties of materials containing R (4f) and T (3d) elements are determined by exchange interactions between spins of constituent atoms. The strength of these interactions is described by the exchange integrals JRR, JTT, and JRT (= JTR). To estimate the 3d-3d and 3d-4f exchange interactions in Gd0.4Tb0.6(Co1−xNix)2 compounds, we considered its magnetic structure as consisting of two magnetic sublattices formed by R(Gd/Tb) and T(Co/Ni) moments. We performed the estimation by applying the approach described in detail in [6,24,25]. In the evaluation, we used the M(T) dependence under the magnetic field of 5 T, which was high enough to avoid the influence of domain effects and achieve a relatively high saturation (black curves in Figure 7). Table 2 shows the results of exchange coupling integrals calculated under the assumption that the average coordination numbers of RR (ZRR), RT (ZRT), TR (ZTR), and TT (TTT) are equal: 4, 12, 6, and 6, respectively [26].
Figure 7.
The MFC(T) dependence at μ0H =5 T (exp) and the results of MFT analysis for Gd0.4Tb0.6(Co1−xNix)2 compounds with concentrations x = 0.00; 0.05; 0.10; 0.15; 0.50; and 0.80 (figures (a–f), respectively).
Table 2.
The exchange integrals JRR, JRT, JTT, and magnetic moments of the 3d sublattice calculated in the framework of MFT theory (2 μ3d-MFT).
The results showed that the R–R interactions remain constant for the samples with 0≤ x ≤ 0.5 (Table 2). The lower values of exchange interactions obtained for x = 0.8 and x = 1.0 may be related to the presence of foreign magnetic phases in these samples and the superstructure of the last one. As Ni concentration increases, R–T and T–T interactions weaken, but the latter is almost one order of magnitude higher than the others. The negative sign of JRT means the antiparallel coupling between R and T moments. Taking μGd = 7 μB and μTb = 9 μB, we determined the average magnetic moment per 3d sublattice (2 μ3d-MFT), as a function of x (Table 2). The obtained values are slightly higher than those derived from MS (Table 1), but the same decreasing trend is preserved. One has to note that Ms was determined from the magnetization curve up to 7 T, while for MFT analysis, we used magnetization curves measured at 5 T. Based on the obtained results, we claim that the weakening of R–T and T–T interactions is responsible for decreasing TC and the magnetic moment of the 3d sublattice in the investigated system.
The Arrott plots (not shown here) indicate that the investigated compounds undergo a phase transition of the second-order (SOPT). To confirm the observation, we determined the type of phase transition using the Landau expression for the magnetic free energy (F) [14]:
The temperature dependence of Landau coefficients a(T), b(T), and c(T) are usually used to identify the type of phase transition. They are accessible through the following relation between M and H [15]:
Essentially, the order of the magnetic transition is governed by the sign of b(T). The FOPT takes place if b(TC) < 0, while the SOPT occurs when b(TC) ≥ 0 in the vicinity of TC [15]. The coefficients were determined by fitting Equation (2) to magnetic isotherms μ0H(M) (not shown here).
As shown in Figure 8, the a(T) exhibits a minimum nearby TC. The b(T) parameter is positive, proving that we are dealing with SOPT and confirming the result obtained from Arrott’s plots.
Figure 8.
The temperature dependence of Landau coefficients a(T) and b(T)—figures (a) and (b), respectively. Vertical lines indicate transition temperatures (TC) for alloys with different x.
2.3. Magnetocaloric Properties
In materials showing SOPT, the magnetic entropy change is lower than in those with FOPT. However, the former usually has a broader working temperature range. This property of SOPT is significant for potential applications, e.g., in magnetic refrigerators [16].
To calculate the magnetic entropy change ΔSM based on the measured magnetic isotherms, we used Maxwell’s relation:
where H0 and H1 are the initial and final magnetic fields in the above formula, respectively.
As can be seen in Figure 9, the maxima of the entropy changes −ΔSM occur near TC, which is typical for compounds exhibiting SOPT. It is noteworthy that the value of |ΔSM|max increases with growing nickel content (Figure 9h, Table 3). In addition, we found that the ΔSM curves are only symmetrical to TC in a limited temperature range (TC ± 50 K). For the compound with x = 0.0, this effect may be related to a partial reorientation of the Tb spin toward the easy axis direction [6,27]. For x ≠ 0, this may also be influenced by the magnetic disorder. The height and the width of curves increase with the growth of the magnetic field for all compounds. As a result, the value of δTFWHM (called the operating temperature and defined as the full width at half-maximum of the −ΔSM peak) also increases with μ0H.
Figure 9.
Magnetic entropy changes −ΔSM as a function of temperature for samples with x = 0.00 (a), 0.05 (b), 0.10 (c), 0.15 (d), 0.50 (e), 0.80 (f), 1.00 (g). Variation of the maximum of the entropy changes |ΔSM|max with the growth of a magnetic field (h).
Table 3.
The maximum of the entropy changes |ΔSM|max, RC, RCP, and δTFWHM parameters as a function of x in Gd0.4Tb0.6(Co1−xNix)2 compounds. All data are for the magnetic field of 5 T.
The most significant rise of the δTFWHM values occurs for the compound with x = 0.15 (Figure 10a). To assess the cooling efficiency, we calculated the relative cooling power parameter RCP using the formula:
Figure 10.
Operating temperatures δTFWHM (a) and RCP parameters as a function of a magnetic field (b).
The cooling efficiency was also evaluated by using the value of refrigerant capacity (RC), defined as an amount of the heat that can be transferred from the cold end (at Tcold) to the hot end (at Thot):
2.4. Electrical Resistivity
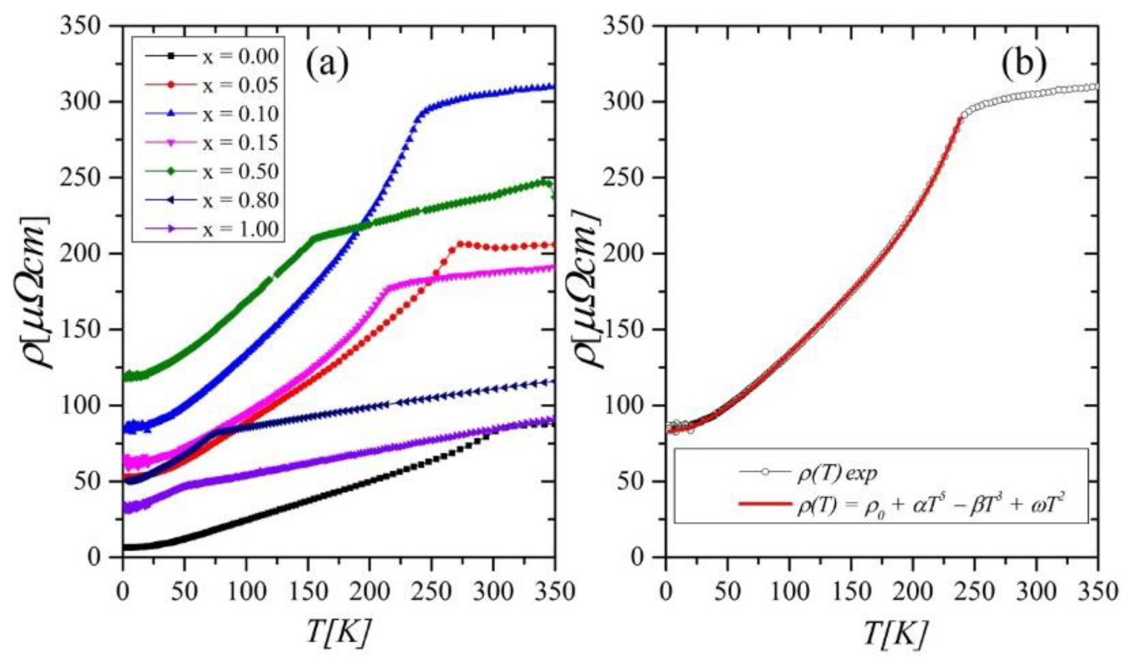
The electrical resistivity as a function of temperature for the investigated compounds is presented in Figure 11. We analyzed experimental data using Matthiessen’s rule, which combines individual contributions to the resistivity according to [28]:
Figure 11.
(a) Electrical resistivity ρ(T) for the Gd0.4Tb0.6(Co1−xNix)2 compounds, (b) the fit of the experimental ρ(T) for x = 0.10, according to Formula (7).
In the formula, ρ0 indicates residual resistivity, which is temperature independent but strongly depends on the crystal structure [28]. ρph(T), ρs-d(T) and ρe-e(T) are the contributions from electron–phonon scattering, s–d scattering and electron–electron scattering, respectively [29,30].
Considering the temperature dependence of the individual contributions, Equation (6) for low temperatures takes the form:
All the studied compounds show an evident change in the slope of the ρ(T) curves at the Curie temperatures TCR, which were determined from the dρ/dT (not presented here). The values of TCR are in reasonable agreement with those obtained from magnetic studies. The experimental data of ρ(T) fitted very well with Formula (7) below TCR, as shown in Figure 11b for the sample with x = 0.10. The resulting parameters α, β, ω, residual resistivity ρ0, and TCR are collected in Table 4. One can notice that the amplitudes of individual contributions to the resistivity (α, β, ω) show an increasing tendency with the growth of nickel content. The rise of the value of the β parameter, which reflects s–d scattering, is due to the substitution of Ni for Co and increasing the number of 3d electrons in the band, which may influence the scattering centers of the d states. An increasing number of 3d electrons can also lead to enhanced electron–electron scattering, which was reflected in the growth of the ω parameter. The behavior of residual resistivity as a function of nickel concentration ρ0(x) satisfies the Nordheim rule [31]. Namely, the highest value of the ρ0 is reached for x = 0.50 (Figure 3 right axis). Similar behavior is often observed in alloys during doping. The substitution of one type of atom by others generally leads to a disorder of the compound’s crystal structure, which manifests as an increase in residual resistivity. It is worth noting that magnetic parameters, such as Hc(x) and (MFC-MZFC) (x), also showed a similar behavior as ρ0(x), which indicates that structural disorder may be responsible for the observed trends.
Table 4.
The Curie temperatures TCR from resistivity measurements, residual resistivity ρ0, and fitting parameters from the Equation (7).
2.5. X-ray Photoelectron Spectroscopy (XPS)
Figure 12 presents the XPS valence band spectra of the Gd0.4Tb0.6(Co1−xNix)2 compounds in the binding energy range from −15 eV to 2 eV. In the case of pure rare earth elements, the Gd4f states are visible at −8 eV, while the Tb4f ones form the multiplet consisting of several lines located at −10.2 eV, −9.1 eV,−7.4 eV, −2 eV [32]. In the compounds under investigation, the first three Tb4f contributions and the Gd4f one overlap to form a wide band, not dependent on the Ni concentration. Bands near the Fermi level (EF) are dominated by Co3d and Ni3d states that form one shared 3d band, and they overshade the 8S7/2 contributions of Tb occurring at −2 eV.
Figure 12.
The XPS valence band of Gd0.4Tb0.6(Co1xNix)2. The spectra were normalized to the maximum intensity in this energy range. Vertical arrows show the positions of all spectral lines observed in elemental Gd, Tb, Co, and Ni.
An evident change in the shape of the 3d valence band is observed when nickel content increases (Figure 13). In the energy range from 0 eV to −3 eV, the band intensity increases with growing Ni content. Slightly less increment is visible at the Fermi level (inset (b) in Figure 13). Simultaneously, a shift in the maximum intensity of the 3d states toward higher binding energies is observed (inset (a) in Figure 13).
Figure 13.
The XPS valence band of Gd0.4Tb0.6(Co1xNix)2 near the Fermi level. Inset (a) shows the position of the maximum of 3d states contribution and inset (b) presents the intensity at the Fermi level, both as a function of Ni concentration.
From the multiplet splitting of the Co3s (Figure 14), we obtained information about the magnetic moments μCo. The multiplet splitting of the 3s spectra of 3d metals occurs due to the exchange interaction between unfilled 3d and 3s (ionized) shells [33]. As a result, two final states are observed, and the equation gives the intensity relation of these two peaks [34]:
Figure 14.
The splitting of the Co3s and Ni3s lines in Gd0.4Tb0.6(Co1xNix)2. The plots (a)–(f) concern samples with concentrations x = 0.0, 0.05, 0.10, 0.15, 0.50 and 1.0, respectively.
Here, S is the spin of the unpaired 3d electrons, I1 and I2 are intensities of the main and the satellite 3s line, respectively. The magnetic moment of the Co can be estimated using Formula [35]:
The μNi was similarly estimated only for x = 1, since the Ni 3s satellite lines are hardly resolved in XPS spectra for lower Ni concentration.
The I1/I2 ratio (Equation (8)) was evaluated by fitting the Co3s and Ni3s lines applying iterative Shirley background and using the combination of Gaussian–Lorentz curves. This procedure enabled us to reproduce the main shape line and obtain the intensity of the individual contributions [36] (Figure 14). Using the above-described approach, we got the following values of the μCo: 0.95 μB, 0.80 μB, 1.02 μB, 0.97 μB and 0.98 μB for x = 0.0, 0.05, 0.10, 0.15 and 0.50, respectively. The values of μCo deviate slightly from those obtained from the saturation magnetization and the MFT calculations. However, we must remember that the XPS experiment was performed in different conditions than the previous ones (room temperature, no magnetic field). Furthermore, since the intensity of the Co3s line became weaker with increasing nickel content, the resulting moments were subjected to greater error. The magnetic moment of Ni estimated from the fit presented in Figure 14f was equal to 0.05 μB. It is worth noting that the result confirms the rightness of our earlier assumption about the small magnetic moment on nickel.
2.6. Ab Initio Results
Quantitative magnetic results of ab initio calculations ( and μ3d) are shown in Table 1. The magnetization for compositions Gd0.375Tb0.625(Co1−xNix)2 was estimated using the relation: where the z-projected average R4f magnetic moment was evaluated using the formula [35]. The values of and were taken from ab initio calculations. Since within the superstructures, Gd3Tb5Co16-nNin (n = 0, 2, 4, 6, 8, 16) applied in calculations, each component atom occupies several Wyckoff positions with specified multiplicity, and the , were obtained by averaging local (Co and Ni) atomic moments over Wyckoff positions. Due to the lack of ab initio results for the orbital angular momentum of R, we assumed L = 3, S = 3, and L = 0, S = 7/2, corresponding to Tb and Gd in an ionic state with valency 3+ [35].
The calculated T and R local magnetic moments align oppositely in agreement with experimental observations. Furthermore, the dependence of calculated magnetization MS on Ni content quantitatively follows the determined experiment. Detailed analysis displayed that with increasing Ni content in the range x = 0.0–0.5, the magnitudes of both and decrease in the range of 1.28–1.21 and 0.25–0.21, respectively. Only in the Ni-rich Gd0.375Tb0.625Ni2 compound the average has dropped to 0.13 . For the considered Ni concentrations, the magnetization increases following the simple magnetic dilution in the Co-Ni sublattice, where the higher magnetic moment of Co is replaced by the lower one of Ni. The linear fit to calculated MS yields the relation MS(x) = 2.104 x + 5.942(R2 = 0.998). The values of MS estimated with the formula are compared with the experimental ones in Table 1. Some discrepancy between experimental data and theoretical estimates occurs for x = 0.1 and x = 0.15, where calculations underestimate but at most by a few percent. It can be related to the atomic disorder, as evidenced by the residual resistivity measurements (see Figure 3). The more significant deviations occur between the calculated average and derived from the MFT approach (Table 1). Although both results show diminishing 3d lattice magnetization, the ab initio calculations give the moment systematically overestimated.
To get insight into the microscopic origin of the changes of XPS spectra with increasing Ni content in the Gd0.4Tb0.6(Co1−xNix)2 series, we performed a detailed analysis of the electronic densities of states (DOS) obtained from ab initio calculations. Figure 15 confirms an almost strict correspondence between the shape of the XPS spectrum and the calculated DOS in Gd0.4Tb0.6(Co0.5Ni0.5)2. Noticeable inconsistencies between the DOS and the XPS spectrum exist near the Fermi level and in the range of the R4f band. We presented the explanation of the discrepancies in [6].
Figure 15.
Atomic resolved and total DOS in Gd0.4Tb0.6(Co0.5Ni0.5)2 (solid lines), compared with the scaled XPS spectra (black points).
In the observed XPS spectra related to the 3d band (Figure 13a), the intensity increases and the maximum shifts simultaneously to higher BE energy with rising Ni content. To understand the reasons for such behavior in the first stage, we analyze the DOS of endpoint compounds presented in Figure 16.
Figure 16.
Spin resolved atomic contributions to the total density of states (DOS) calculated for end compounds: Gd0.375Tb0.625Co2—(a) and Gd0.375Tb0.625Ni2—(b). The energy scale zero is shifted to the Fermi level εF (vertical dot lines). The arrows distinguish the spin orientations of electronic states.
The valence band structure of the endpoint compounds comprises the 4f states of R atoms, lying deeply (around −8 eV) below Fermi energy () and the 3d states of Co (Ni), forming the band at the energy range −4–2 eV split into bonding and antibonding subbands. The minority spin 3d bands (down arrow) in both compounds are almost entirely occupied. Upon the Co/Ni substitution, the band only narrows slightly and shifts minutely toward the Fermi level.
Additional 3d electrons contributed by Ni atoms populate only the majority spin 3d bands. The partially populated antibonding majority spin states in the Gd0.375Tb0.625Co2 get fully occupied in the Gd0.375Tb0.625Ni2. In effect, the majority spin 3d band in the second compound shifts toward higher binding energies and becomes slightly narrower. It is worth noting that the bands of 3d states with opposite spin directions in Gd0.375Tb0.625(Co0.5Ni0.5)2 are almost symmetrical, which explains the vanishingly small magnitude of appearing in the compound.
The variation of the calculated band structure upon Co/Ni substitution in the Gd0.4Tb0.6(Co1−xNix)2 series is displayed in Figure 17a. As concern the minority spin 3d band, besides a slight shift toward the Fermi level, the changes are negligible. The apparent changes occur in the majority spin bands DOS, in which the dominant peak shifts toward higher binding energy by almost 0.5 eV. The magnitude of the shift is close to that displayed by experimental spectra (Figure 13a). Figure 17b shows the variation of separated contributions of constituent Co and Ni atoms to the 3d band upon increasing Ni concentration. As expected, the amplitude of co-contribution decreases while that of Ni increases with the growing Ni content. However, detailed inspection indicates that upon Co/Ni substitution, the Co3d states shift minutely toward the Fermi level when the dominant peak of the Ni contribution shifts noticeably in the opposite direction. The last effect could explain the observed shift of maximum intensity of the XPS spectra, related to the 3d band, with rising concentration of Ni in Gd0.4Tb0.6(Co1−xNix)2 series.
Figure 17.
Spin resolved the total density of states DOStotal (a), and Ni and Co contributions to the DOS (b) in the Gd0.4Tb0.6(Co1−xNix)2 series. For a detailed description, see the caption of Figure 16.
3. Methods and Materials
The Gd0.4Tb0.6(Co1−xNix)2 samples x = 0.00, 0.05, 0.10, 0.15, 0.50, 0.80, 1.00 were prepared by arc melting method from high purity elements (99.99% purity) under argon atmosphere. An excess of 1% wt. of gadolinium and terbium was added to overcome weight losses during the melting. The samples have been re-melted several times to obtain the homogeneity of prepared compounds. Afterward, the as-cast samples were wrapped in tantalum foil, placed in a quartz tube, and annealed at 800 °C for two weeks. The crystal structure was determined by the X-ray diffraction technique using the XRD diffractometer Empyrean (PANalytical, Malvern, UK). The measurements were performed at room temperature with Cu Kα source and 2θ changing from 15 to 140 degrees. All magnetic measurements were carried out using the SQUID magnetometer MPMS XL–7 (Quantum Design, San Diego, CA, USA) in the temperature range from 2 K to 350 K–400 K under a magnetic field up to 7 T. The electronic structure of the investigated compounds was studied using the XPS method. The XPS spectra were obtained with monochromatized Al Kα radiation (hω = 1486.6 eV) at room temperature using PHI 5700/660 physical electronics spectrometer. All spectra were measured immediately after breaking the sample in a 10−9 Torr vacuum. The breaking in the high vacuum resulted in clean surfaces free of oxygen and carbon contamination. Electrical resistivity was carried out by the PPMS system. The samples were cut into rectangular shapes with dimensions of 1 × 1 × 3 mm. The measurements were performed in the temperature range of 2 K–350 K.
The ab initio electronic structure calculations for selected concentrations of Gd0.4Tb0.6(Co1−xNix)2 were performed using the FP-LAPW method [37] implemented in the WIEN2k computer programs [38]. In the present investigations, we applied the same approach and computational setup used in calculations for the reference Gd0.4Tb0.6Co2 compound [6].
We followed the supercell approach to simulate the fractional concentration of Co-Ni elements in Gd0.4Tb0.6(Co1−xNix)2 alloys. We adopted the superstructure Gd3Tb5Co16 applied in [6] in the present calculations as a base supercell. The concentrations xNi = 0.125, 0.25, 0.375, and 0.50 were simulated using superstructures Gd3Tb5Co16-nNin where, respectively, 2, 4, 6, 8 Co atoms were replaced by Ni ones at selected sites. We are aware that for each considered concentration, there is an enormous number of Co-Ni configurations. However, we assumed that a single reasonably selected configuration (not of cluster shape) can reproduce essential features of the electronic structure of Gd0.4Tb0.6(Co1−xNix)2 alloys.
4. Conclusions
The new class of the Gd0.4Tb0.6(Co1−xNix)2 intermetallic compounds with the Laves phase structure of C15 type was synthesized. Structural, electronic, and magnetic properties were studied using experimental and theoretical methods.
The experimental and theoretical studies (ab initio and MFT) have shown that the magnetic moments of the R and 3d subnets align oppositely. With increasing nickel content, the values of 2 μ3d decreased. Values of Curie temperatures determined by different methods were consistent and diminished with growing nickel content too. Arrott plots and Landau’s coefficients indicated a second-order phase transition in all studied compounds.
The values of the maximum entropy change , obtained under the magnetic field change of 5 T, increased with growing Ni content from 4.13 [J/kgK] to 11.99 [J/kgK] for samples with x = 0.0 and 1.0, respectively. RCP parameters also grew significantly with Ni concentration.
Presented results revealed that the replacement of Co with Ni enhanced the magnetocaloric effect in the Gd0.4Tb0.6(Co1−xNix)2, making these materials more attractive in terms of potential applications in magnetic refrigeration. An additional advantage is that they have minimal losses observed in hysteresis loops.
Our studies have also shown that the substitution of Ni in place of Co significantly affects the resistive properties of investigated compounds. Due to a disorder of the compound’s crystal structure, an increase in the residual resistivity increases up to x = 0.50, which follows Nordheim’s rule. A similar variation of Hc(x) and (MFC-MZFC)(x) indicates that structural disorder may be responsible for magnetic properties.
Both XPS measurements and ab initio calculations revealed that Co3d and Ni3d states dominate the shape of the valence band near the Fermi level. With growing Ni contents, the observed intensity of the XPS spectra corresponding to 3d bands increases, and its maximum shifts to the higher binding energy. Ni doping, however, did not affect the positions and shapes of the Gd4f and Tb4f lines. Ab initio calculations confirmed the XPS picture.
Author Contributions
Conceptualization, G.C. and M.S.; methodology, M.S., A.C., A.B. and G.Z.; theoretical calculations, J.D.; formal analysis, A.C. and G.Z.; validation, G.C. and J.D.; writing—original draft preparation, G.C., J.D. and M.S. All authors have read and agreed to the published version of the manuscript.
Funding
This research received no external funding.
Institutional Review Board Statement
Not applicable.
Conflicts of Interest
The authors declare no conflict of interest.
References
- Gratz, E.; Markosyan, A.S. Physical properties of RCo2 Laves phases. J. Phys. Condens. Matter 2001, 13, R385–R413. [Google Scholar] [CrossRef]
- Baranov, N.; Yermakov, A.A.; Pirogov, A.N.; Proshkin, A.; Gvasaliya, S.N.; Podlesnyak, A.A. Irreversibility of the magnetic state of Tm1−xTbxCo2 revealed by specific heat, electrical resistivity, and neutron diffraction measurements. Phys. Rev. B 2006, 73, 104445. [Google Scholar] [CrossRef]
- Duc, N.H.; Goto, T. Itinerant electron metamagnetism of Co-sublattice in the lanthanide-cobalt intermetallics. In Handbook on the Physics and Chemistry of RareEarths; Gschneidner, K.A., Jr., Eyring, L., Eds.; North-Holland: Amsterdam, The Netherlands, 1999; Volume 26, pp. 177–264. [Google Scholar]
- Goto, T.; Fukamichi, K.; Sakakibara, T.; Komatsu, H. Itinerant electron metamagnetism in YCo2. Solid State Commun. 1989, 72, 945–947. [Google Scholar] [CrossRef]
- Goto, T.; Sakakibara, T.; Murata, K.; Komatsu, H.; Fukamichi, K. Itinerant electron metamagnetism in YCo2 and LuCo2. J. Magn. Magn. Mater. 1990, 90, 700–702. [Google Scholar] [CrossRef]
- Sikora, M.; Bajorek, A.; Chrobak, A.; Deniszczyk, J.; Ziółkowski, G.; Chełkowska, G. Magnetic properties and electronic structure of the Gd0.4Tb0.6Co2 compound. Materials 2020, 13, 5481. [Google Scholar] [CrossRef] [PubMed]
- Zhou, K.W.; Zhuang, Y.H.; Li, J.Q.; Deng, J.Q.; Zhu, Q.M. Magnetocaloric effect in (Gd1−xTbx)Co2. Solid State Commun. 2006, 137, 275–277. [Google Scholar] [CrossRef]
- Saville, A.I.; Creuziger, A.; Mitchell, E.B.; Vogel, S.C.; Benzing, J.T.; Klemm-Toole, J.; Clarke, K.D.; Clarke, A.J. MAUD Rietveld Refinement Software for Neutron Diffraction Texture Studies of Single-and Dual-Phase Materials. Integr. Mater. Manuf. Innov. 2021, 10, 461–487. [Google Scholar] [CrossRef]
- Lutterotti, L. MAUD Tutorial—Instrumentation Broadening Determination. Available online: https://www.researchgate.net/publication/228868859 (accessed on 20 September 2022).
- Lingwei, L.; Nishimura, K.; Tamei, D.; Mori, K. Structure, transport properties and magnetocaloric effect in Gd(Co1−xNix)2 pseudobinary compounds. Solid State Commun. 2008, 145, 427–431. [Google Scholar]
- Kaneko, T.; Marumo, K.; Miura, S.; Kido, G.; Abe, S.; Yoshida, H.; Kamigaki, K.; Nakagawa, Y. High-field susceptibility of pseudobinary compounds Gd(Co1−xNix)2. Phys. B 1988, 149, 334–339. [Google Scholar] [CrossRef]
- Miiller, W.; Causeret, L.; Ling, C.D. Frustrated magnetism and local structural disorder in pyrochlore-type Bi1.89Fe1.16Nb0.95O6.95. J. Phys. Condens. Matter 2010, 22, 486004. [Google Scholar] [CrossRef]
- Dubowik, J.; Gościańska, I.; Kudryavtsev, Y.V.; Oksenenko, V.A. Structure and magnetism of Co2CrAl Heusler alloy films. Mater. Sci. 2007, 25, 1281–1287. [Google Scholar]
- Duc, N.H.; Hien, T.D.; Mai, P.P.; Ngan, N.H.K.; Sinh, N.H.; Brommer, P.E.; Franse, J.J.M. The magnetic phase transitions in (Tb,Ho)Co2, and (Tb, Y)Co2, compounds. Phys. B Condens. Matter 1989, 160, 199–203. [Google Scholar] [CrossRef]
- Ćwik, J. Magnetism and magnetocaloric effect in multicomponent Laves phase compounds: Study and comparative analysis. J. Solid State Chem. 2014, 209, 13–22. [Google Scholar] [CrossRef]
- Tishin, A.M. Magnetocaloric effect: Current situation and future trends. J. Magn. Magn. Mater. 2007, 316, 351–357. [Google Scholar] [CrossRef]
- Wang, J.L.; Tang, C.C.; Wu, G.H.; Liu, Q.L.; Tang, N.; Wang, W.Q.; Wang, W.H.; Yang, F.M.; Liang, J.K.; de Boer, F.R.; et al. Structure and magneto-history behavior of DyNi2Mn. Solid State Commun. 2002, 121, 615–618. [Google Scholar] [CrossRef]
- Singh, J.K.; Sureh, K.G.; Rana, D.S.; Nigam, A.K.; Malik, S. Role of Fe substitution on the anomalous magnetocaloric and magnetoresistance behaviour in Tb(Ni1−xFex)2 compounds. J. Phys. Condens. Matter 2006, 18, 10775–10786. [Google Scholar] [CrossRef]
- Balli, M.; Fruchart, D.; Gignoux, D. Effect of Ni substitution on the magnetic and magnetocaloric properties of the Dy(Co1−xNix)2 Laves phase. J. Phys. D Appl. Phys. 2007, 40, 7601–7605. [Google Scholar] [CrossRef]
- Ouyang, Z.W.; Rao, G.H.; Yang, H.F.; Liu, W.F.; Liu, G.Y.; Feng, X.M.; Liang, J.K. Structure and magnetic phase transition in R (Co1−xGax)2 (R = Nd, Gd, Tb, Dy) compounds. Phys. B 2004, 344, 436–442. [Google Scholar] [CrossRef]
- Mizumaki, M.; Yano, K.; Umehara, I.; Ishikawa, F.; Sato, K.; Koizumi, A.; Sakai, N.; Muro, T. Verification of Ni magnetic moment in GdNi2 Laves phase by magnetic circular dichroism measurement. Phys. Rev. B 2003, 67, 132404. [Google Scholar] [CrossRef]
- Fullerton, E.E.; Jiang, J.S.; Bader, S.D. Hard/soft magnetic heterostructures: Model exchange-spring magnets. J. Magn. Magn. Mater. 1999, 200, 392–404. [Google Scholar] [CrossRef]
- Kneller, E.F.; Hawig, R. The exchange-spring magnet: A new material principle for permanent magnets. IEEE Trans. Magn. 1991, 27, 3560–3588. [Google Scholar] [CrossRef]
- Chrobak, A.; Bajorek, A.; Chełkowska, G. Effect of Tb/Gd Substitution on Crystal Structure and Exchange Interactions of Gd1−xTbxNi3 Intermetallic Compounds. Acta Phys. Pol. A 2012, 121, 1132–1135. [Google Scholar] [CrossRef]
- Duc, N.H. An evaluation of the R–T spin coupling parameter in the rare earth–transition metal intermetallics. Phys. Stat. Sol. 1991, 164, 545–552. [Google Scholar] [CrossRef]
- Duc, N.H.; Hien, T.D.; Givord, D.; Franse, J.J.M.; de Boer, F.R. Exchange interaction in rare earth- transition metal compounds. J. Magn. Magn. Matter 1993, 124, 305–311. [Google Scholar] [CrossRef]
- Gratz, E.; Goremychkin, E.; Latroche, M.; Hilscher, G.; Rotter, M.; Müller, H.; Lindbaum, A.; Michor, H.; Paul-Boncour, V.; Fernandez-Diaz, T. New magnetic phenomena in TbNi2. J. Phys. Condens. Matter 1999, 11, 7893–7905. [Google Scholar] [CrossRef]
- Meaden, G.T. Electrical Resistance of Metals; Springer: New York, NY, USA, 1965. [Google Scholar] [CrossRef]
- Steiner, W.; Gratz, E.; Ortbauer, H.; Camen, H.W. Magnetic properties, electrical resistivity and thermal expansion of (Ho,Y)Co2. J. Phys. F Metal Phys. 1978, 8, 1525–1537. [Google Scholar] [CrossRef]
- Fisk, Z.; Webb, G.W. Electrical Resistivity of Metals. In Electronic Structure and Properties; Fradin, F.Y., Ed.; Academic Press, Inc.: New York, NY, USA, 1981; pp. 297–349. [Google Scholar]
- Hall, G.L. Nordheim’s Theory of the Resistivity of Alloys. Phys. Rev. 1959, 116, 604–605. [Google Scholar] [CrossRef]
- Lang, J.K.; Baer, Y.; Cox, P.A. Study of 4f state and valence band density of state in rare earth metals: II. Experiment and results. J. Phys. F. Met. Phys. 1981, 11, 121–138. [Google Scholar] [CrossRef]
- Hüfner, S. Core levels and final states. In Photoelectron Spectroscopy, 3rd ed.; Springer: Berlin/Heidelberg, Germany, 2003. [Google Scholar]
- Shabanova, I.N.; Keller, N.V. X-ray photoelectron studies of spine-state changes in 3d metal systems. Surf. Interface Anal. 2001, 32, 114–116. [Google Scholar] [CrossRef]
- Coey, J.M.D. Magnetism of localized electrons on the atom. In Magnetism and Magnetic Materials; Cambridge University Press: Cambridge, UK, 2010. [Google Scholar]
- Multipack Software, Version 9.8.0.19; Ulvac phi, Incorporated: Chigasaki, Japan, 2017.
- Singh, D.J.; Nordstrom, L. Plane Waves, Pseudopotentials, and the LAPW Method, 2nd ed.; Springer Science: New York, NY, USA, 2006; ISBN 978-0-387-28780-5. [Google Scholar]
- Blaha, P.; Schwarz, K.; Madsen, G.K.H.; Kvasnicka, D.; Luitz, J.; Laskowski, R.; Tran, F.; Marks, L.D. WIEN2k, An Augmented Plane Wave + Local Orbitals Program for Calculating Crystal Properties; Schwarz, K., Ed.; Techn. Universität Wien: Vienna, Austria, 2018; ISBN 3-9501031-1-2. [Google Scholar]
Publisher’s Note: MDPI stays neutral with regard to jurisdictional claims in published maps and institutional affiliations. |
© 2022 by the authors. Licensee MDPI, Basel, Switzerland. This article is an open access article distributed under the terms and conditions of the Creative Commons Attribution (CC BY) license (https://creativecommons.org/licenses/by/4.0/).
















