Effects of the Chloroplast Fructose-1,6-Bisphosphate Aldolase Gene on Growth and Low-Temperature Tolerance of Tomato
Abstract
:1. Introduction
2. Results
2.1. Production and Selection of Tomato Transformants
2.2. Effects of SlFBA4 on Transgenic Tomato Plant Growth
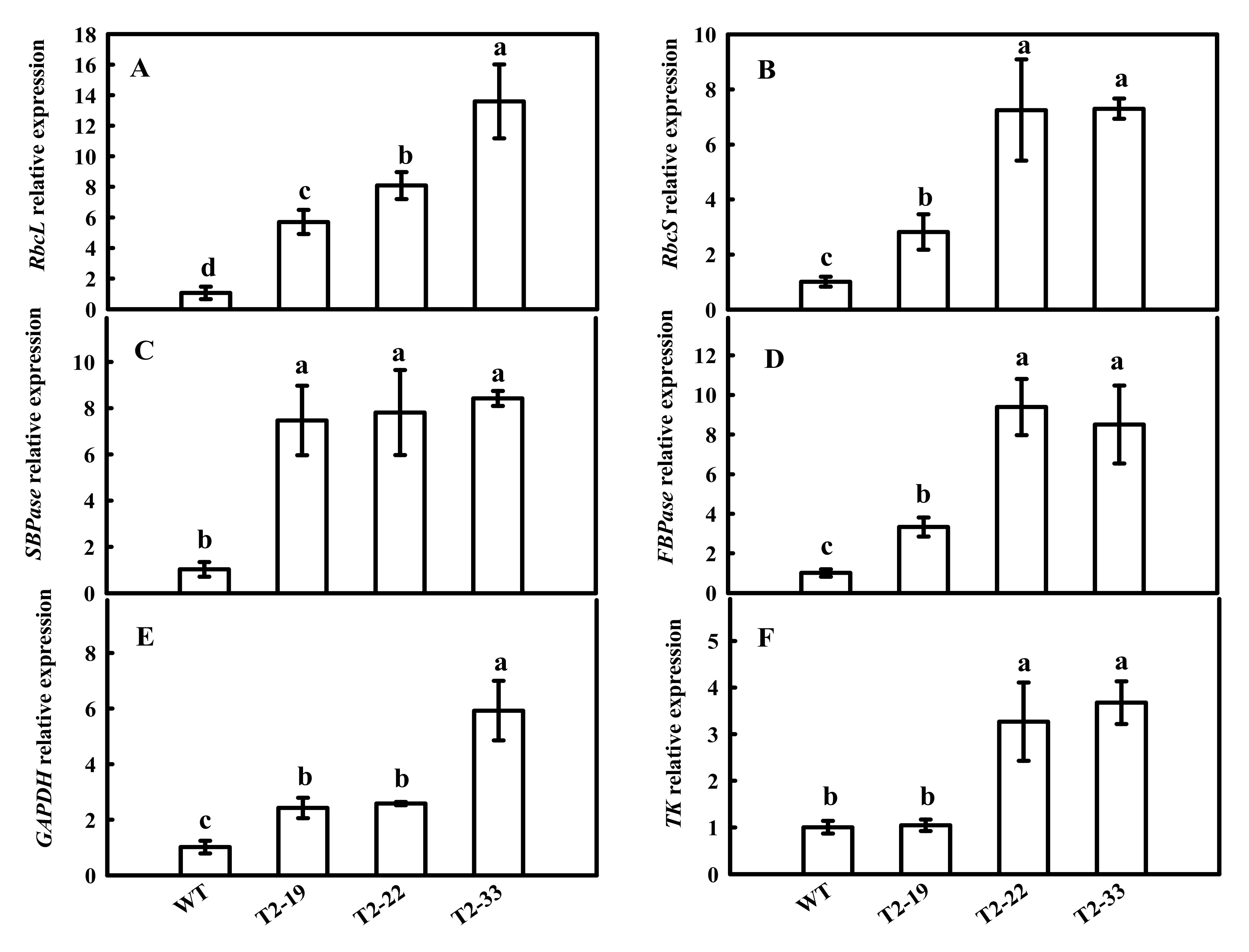
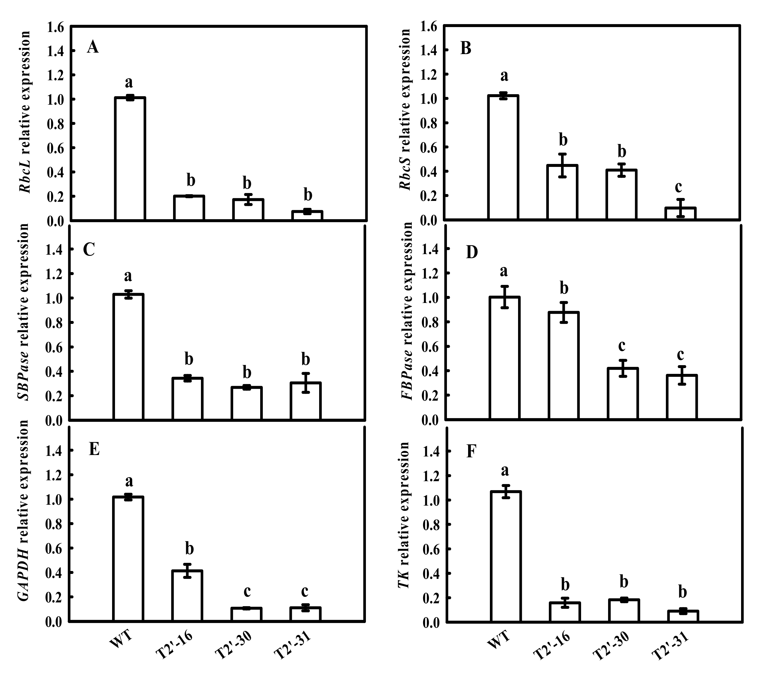
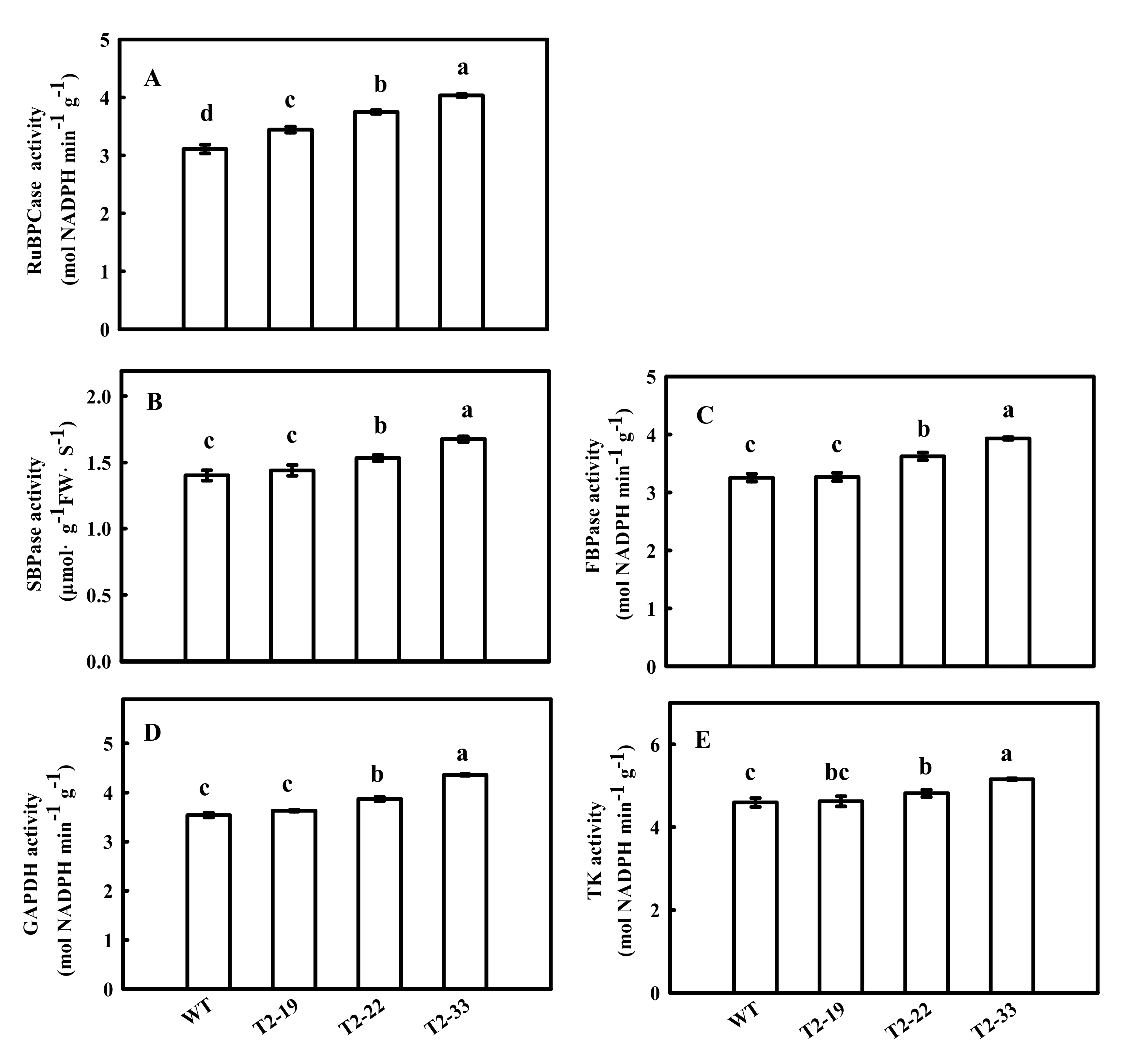
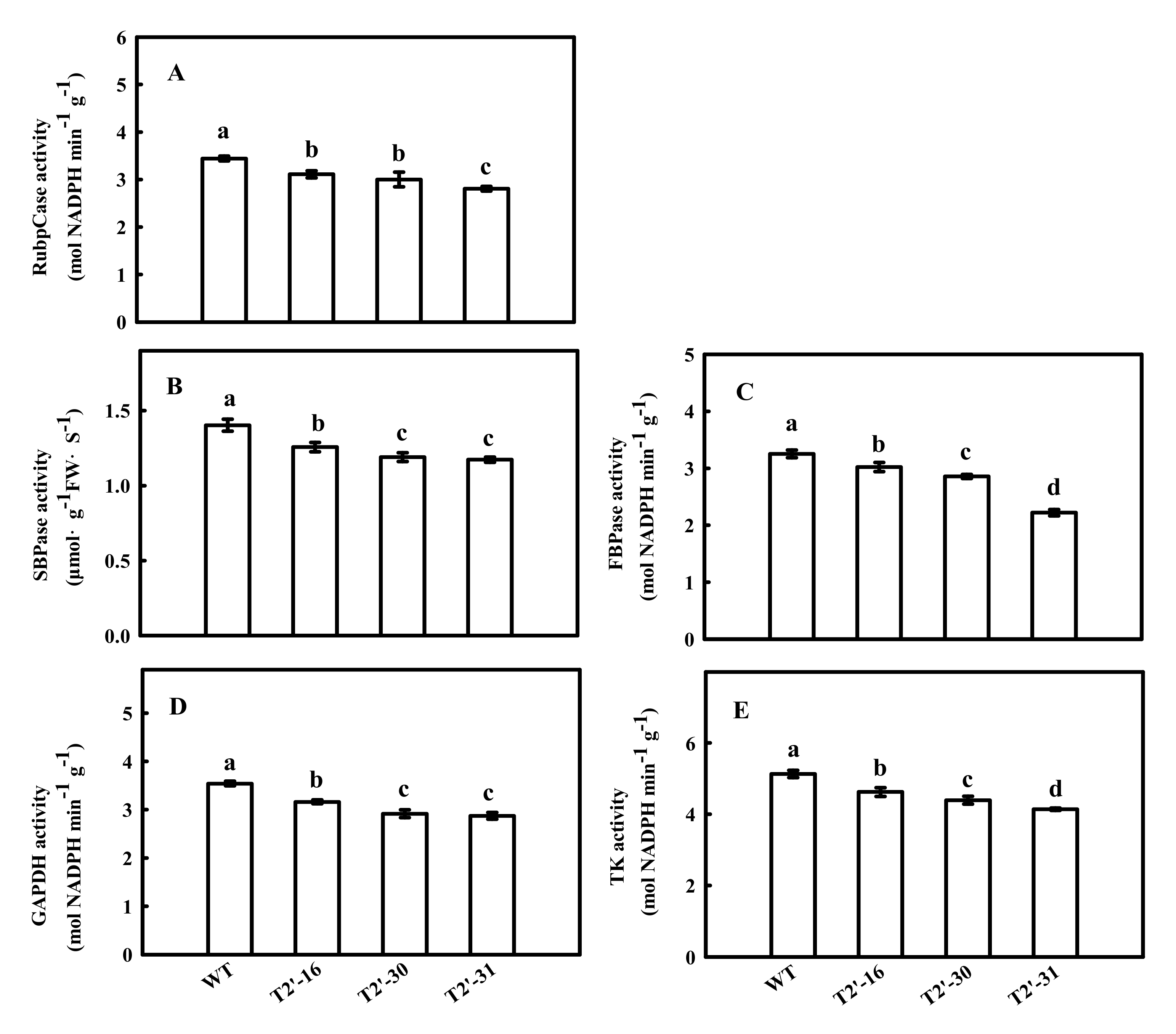
2.3. Effects of SlFBA4 on Net Photosynthetic Rate as well as Gene Expression and Activity of Select Enzymes in the Calvin-Benson Cycle
2.4. Effects of SlFBA4 on Germination Rate, Net Photosynthetic Rate and Malonaldehyde Content under Chilling Stress
3. Discussion
4. Materials and Methods
4.1. Plant Materials, Growth Conditions and Measurements
4.2. Gene Cloning, Vector Construction and Generation of Transgenic Lines
4.3. Quantitative Reverse Transcription Polymerase Chain Reaction Analysis
4.4. Sodium Dodecyl Sulfate Polyacrylamide Gel Electrophoresis and Western Blot Analysis
4.5. Measurement of Net Photosythetic Rate
4.6. Enzyme Activity Assay
4.7. Measurement of Malonaldehyde Content
4.8. Statistical Analysis
Supplementary Materials
Author Contributions
Funding
Institutional Review Board Statement
Informed Consent Statement
Data Availability Statement
Acknowledgments
Conflicts of Interest
Abbreviations
| CBC | Calvin-Benson cycle |
| CDS | Coding sequence |
| cFBA | Cytosolic fructose-1,6-bisphosphate aldolase |
| CpFBA | Chloroplast/plastid fructose-1,6-bisphosphate aldolase |
| DHAP | Dihydroxyacetone phosphate |
| FBA | Fructose-1,6-bisphosphate aldolase |
| FBP | Fructose-1,6-bisphosphate |
| FBPase | Fructose-1,6-bisphosphatase |
| G3P | Glyceraldehyde-3-phosphate |
| GAPDH | Glyceraldehyde-3-phosphate dehydrogenase |
| MDA | Malonaldehyde |
| PCR | Polymerase chain reaction |
| Pn | Net photosynthetic rate |
| qRT-PCR | Quantitative reverse transcription polymerase chain reaction |
| RNAi | RNA interference |
| Rubisco | Ribulose-1,5-bisphosphate carboxylase/oxygenase |
| RuBP | Ribulose-1,5-bisphosphate |
| RuBPCase | RuBP carboxylase |
| SBPase | Sedoheptulose-1,7-bisphosphatase |
| SDS-PAGE | Sodium dodecyl sulfate polyacrylamide gel electrophoresis |
| TK | Transketolase |
| WT | Wild-type |
References
- Tolan, D.; Niclas, J.; Bruce, B.D.; Lebo, R.V. Evolutionary implications of the human aldolase-A, -B, -C, and -pseudogene chromosome locations. Am. J. Hum. Genet. 1987, 41, 907–924. [Google Scholar]
- Marsh, J.J.; Lebherz, H.G. Fructose-bisphosphate aldolases: An evolutionary history. Trends Biochem. Sci. 1992, 17, 110–113. [Google Scholar] [CrossRef]
- Berg, I.; Kockelkorn, D.; Ramos-Vera, W.H.; Say, R.F.; Zarzycki, J.; Hügler, M.; Alber, B.E.; Fuchs, G. Autotrophic carbon fixation in archaea. Nat. Rev. Genet. 2010, 8, 447–460. [Google Scholar] [CrossRef]
- Anderson, L.E.; Ringenberg, M.R.; Brown, V.K.; Carol, A.A. Both chloroplastic and cytosolic phosphofructoaldolase isozymes are present in the pea leaf nucleus. Protoplasma 2005, 225, 235–242. [Google Scholar] [CrossRef]
- Rutter, W.J. Evolution of aldolase. Fed. Proc. 1964, 23, 1248–1257. [Google Scholar]
- Murad, A.M.; Molinari, H.B.C.; Magalhães, B.S.; Franco, A.C.; Takahashi, F.S.C.; De Oliveira, N.G.; Franco, O.L.; Quirino, B.F. Physiological and Proteomic Analyses of Saccharum spp. Grown under Salt Stress. PLoS ONE 2014, 9, e98463. [Google Scholar] [CrossRef] [Green Version]
- Zeng, Y.; Tan, X.; Zhang, L.; Jiang, N.; Cao, H. Identifification and expression of fructose-1,6-bisphosphate aldolase genes and their relations to oil content in developing seeds of tea oil tree (Camellia oleifera). PLoS ONE 2014, 9, e107422. [Google Scholar] [CrossRef] [Green Version]
- Mutuku, J.M.; Nose, A. Changes in the Contents of Metabolites and Enzyme Activities in Rice Plants Responding to Rhizoctonia solani Kuhn Infection: Activation of Glycolysis and Connection to Phenylpropanoid Pathway. Plant Cell Physiol. 2012, 53, 1017–1032. [Google Scholar] [CrossRef] [Green Version]
- Lebherz, H.G.; Leadbetter, M.M.; Bradshaw, R.A. Isolation and characterization of the cytosolic and chloroplast forms of spinach leaf fructose diphosphate aldolase. J. Biol. Chem. 1984, 259, 1011–1017. [Google Scholar] [CrossRef]
- Lu, W.; Tang, X.; Huo, Y.; Xu, R.; Qi, S.; Huang, J.; Zheng, C.; Wu, C. Identification and characterization of fructose 1,6-bisphosphate aldolase genes in Arabidopsis reveal a gene family with diverse responses to abiotic stresses. Gene 2012, 503, 65–74. [Google Scholar] [CrossRef]
- Flechner, A.; Gross, W.; Martin, W.F.; Schnarrenberger, C. Chloroplast class I and class II aldolases are bifunctional for fructose-1,6-biphosphate and sedoheptulose-1,7-biphosphate cleavage in the Calvin cycle. FEBS Lett. 1999, 447, 200–202. [Google Scholar] [CrossRef]
- Gross, W.; Lenze, D.; Nowitzki, U.; Weiske, J.; Schnarrenberger, C. Characterization, cloning, and evolutionary history of the chloroplast and cytosolic class I aldolases of the red alga Galdieria sulphuraria. Gene 1999, 230, 7–14. [Google Scholar] [CrossRef]
- Lv, G.-Y.; Guo, X.-G.; Xie, L.-P.; Xie, C.-G.; Zhang, X.-H.; Yang, Y.; Xiao, L.; Tang, Y.-Y.; Pan, X.-L.; Guo, A.-G.; et al. Molecular characterization, gene evolution, and expression analysis of the fructose-1, 6-bisphosphate aldolase (FBA) gene family in wheat (Triticum aestivum L.). Front. Plant Sci. 2017, 8, 1030. [Google Scholar] [CrossRef] [PubMed] [Green Version]
- Konishi, H.; Yamane, H.; Maeshima, M.; Komatsu, S. Characterization of fructose-bisphosphate aldolase regulated by gibberellin in roots of rice seedling. Plant Mol. Biol. 2004, 56, 839–848. [Google Scholar] [CrossRef]
- Zhang, Y. Functional Analysis of a Fructose-1,6-Diphosphatase Aldolase Gene ALDY in Rice. Master’s Thesis, Huazhong Agricultural University, Wuhan, China, 2014; pp. 35–37. [Google Scholar]
- Kellay, P.M.; Freeling, M. Anaerobic expression of maize glucose phosphate isomerase I. J. Biol. Chem. 1984, 259, 673–677. [Google Scholar] [CrossRef]
- Russell, D.A.; Wong, D.M.-L.; Sachs, M.M. The Anaerobic Response of Soybean. Plant Physiol. 1990, 92, 401–407. [Google Scholar] [CrossRef] [Green Version]
- Haake, V.; Zrenner, R.; Sonnewald, U.; Stitt, M. A moderate decrease of plastid aldolase activity inhibits photosynthesis, alters the levels of sugars and starch, and inhibits growth of potato plants. Plant J. 1998, 14, 147–157. [Google Scholar] [CrossRef] [Green Version]
- Michelis, R.; Gepstein, S. Identification and characterization of a heat-induced isoform of aldolase in oat chloroplast. Plant Mol. Biol. 2000, 44, 487–498. [Google Scholar] [CrossRef]
- Yamada, S.; Komori, T.; Hashimoto, A.; Kuwata, S.; Imaseki, H.; Kubo, T. Differential expression of plastidic aldolase genes in Nicotiana plants under salt stress. Plant Sci. 2000, 154, 61–69. [Google Scholar] [CrossRef]
- Fan, W.; Zhang, Z.; Zhang, Y. Cloning and molecular characterization of fructose-1,6-bisphosphate aldolase gene regulated by high-salinity and drought in Sesuvium portulacastrum. Plant Cell Rep. 2009, 28, 975–984. [Google Scholar] [CrossRef]
- Lao, X.; Azuma, J.-I.; Sakamoto, M. Two cytosolic aldolases show different expression patterns during shoot elongation in Moso bamboo, Phyllostachys pubescens Mazel. Physiol. Plant. 2013, 149, 422–431. [Google Scholar] [CrossRef]
- Cai, B.; Li, Q.; Xu, Y.-C.; Yang, L.; Bi, H.; Ai, X. Genome-wide analysis of the fructose 1,6-bisphosphate aldolase (FBA) gene family and functional characterization of FBA7 in tomato. Plant Physiol. Biochem. 2016, 108, 251–265. [Google Scholar] [CrossRef]
- Cai, B.; Li, Q.; Liu, F.; Bi, H.; Ai, X. Decreasing fructose-1,6-bisphosphate aldolase activity reduces plant growth and tolerance to chilling stress in tomato seedlings. Physiol. Plant. 2018, 163, 247–258. [Google Scholar] [CrossRef]
- Purev, M.; Kim, M.K.; Samdan, N.; Yang, D.-C. Isolation of a novel fructose-1,6-bisphosphate aldolase gene from Codonopsis lanceolata and analysis of the response of this gene to abiotic stresses. Mol. Biol. 2008, 42, 179–186. [Google Scholar] [CrossRef]
- Kamal, A.H.M.; Cho, K.; Kim, D.-E.; Uozumi, N.; Chung, K.-Y.; Lee, S.Y.; Choi, J.-S.; Cho, S.-W.; Shin, C.-S.; Woo, S.H. Changes in physiology and protein abundance in salt-stressed wheat chloroplasts. Mol. Biol. Rep. 2012, 39, 9059–9074. [Google Scholar] [CrossRef]
- Michelet, L.; Zaffagnini, M.; Morisse, S.; Sparla, F.; Pérez-Pérez, M.E.; Francia, F.; Danon, A.; Marchand, C.H.; Fermani, S.; Trost, P.; et al. Redox regulation of the Calvin-Benson cycle: Something old, something new. Front. Plant Sci. 2013, 4, 470. [Google Scholar] [CrossRef] [PubMed] [Green Version]
- Khanna, S.M.; Taxak, P.C.; Jain, P.K.; Saini, R.; Srinivasan, R. Glycolytic enzyme activities and gene expression in Cicer arietinum exposed to water-deficit stress. Appl. Biochem. Biotechnol. 2014, 173, 2241–2253. [Google Scholar] [CrossRef] [PubMed]
- Payton, P.; Webb, R.; Kornyeyev, D.; Allen, R.; Holaday, A.S. Protecting cotton photosynthesis during moderate chilling at high light intensity by increasing chloroplastic antioxidant enzyme activity. J. Exp. Bot. 2001, 52, 2345–2354. [Google Scholar] [CrossRef] [PubMed] [Green Version]
- Yang, W.; Wang, F.; Liu, L.-N.; Sui, N. Responses of membranes and the photosynthetic apparatus to salt stress in cyanobacteria. Front. Plant Sci. 2020, 11, 713. [Google Scholar] [CrossRef] [PubMed]
- Portis, A.R.; Parry, M.A.J. Discoveries in Rubisco (Ribulose 1,5-bisphosphate carboxylase/oxygenase): A historical perspective. Photosynth. Res. 2007, 94, 121–143. [Google Scholar] [CrossRef]
- Quick, W.P.; Schurr, U.; Scheibe, R.; Schulze, E.-D.; Rodermel, S.R.; Bogorad, L.; Stitt, M. Decreased ribulose-1,5-bisphosphate carboxylase-oxygenase in transgenic tobacco transformed with “antisense” rbcS. Planta 1991, 183, 542–554. [Google Scholar] [CrossRef]
- Hudson, G.S.; Evans, J.; Von Caemmerer, S.; Arvidsson, Y.B.C.; Andrews, T.J. Reduction of ribulose-1,5-bisphosphate carboxylase/oxygenase content by antisense RNA reduces photosynthesis in transgenic tobacco plants. Plant Physiol. 1992, 98, 294–302. [Google Scholar] [CrossRef] [Green Version]
- Stitt, M.; Lunn, J.; Usadel, B. Arabidopsis and primary photosynthetic metabolism—More than the icing on the cake. Plant J. 2010, 61, 1067–1091. [Google Scholar] [CrossRef] [PubMed]
- Salesse-Smith, C.E.; Sharwood, R.E.; Busch, F.A.; Stern, D.B. Increased Rubisco content in maize mitigates chilling stress and speeds recovery. Plant Biotechnol. J. 2020, 18, 1409–1420. [Google Scholar] [CrossRef] [PubMed] [Green Version]
- Shu, S.; Chen, L.; Lu, W.; Sun, J.; Guo, S.; Yuan, Y.; Li, J. Effects of exogenous spermidine on photosynthetic capacity and expression of Calvin cycle genes in salt-stressed cucumber seedlings. J. Plant Res. 2014, 127, 763–773. [Google Scholar] [CrossRef] [PubMed]
- Ozturk, Z.N.; Talamè, V.; Deyholos, M.; Michalowski, C.B.; Galbraith, D.W.; Gozukirmizi, N.; Tuberosa, R.; Bohnert, H.J. Monitoring large-scale changes in transcript abundance in drought- and salt-stressed barley. Plant Mol. Biol. 2002, 48, 551–573. [Google Scholar] [CrossRef] [PubMed]
- Xue, G.-P.; McIntyre, C.L.; Glassop, D.; Shorter, R. Use of expression analysis to dissect alterations in carbohydrate metabolism in wheat leaves during drought stress. Plant Mol. Biol. 2008, 67, 197–214. [Google Scholar] [CrossRef]
- Moon, S.-J.; Shin, D.-J.; Kim, B.-G.; Byun, M.-O. Putative fructose-1,6-bisphosphate aldolase 1 (AtFBA1) affects stress tolerance in yeast and Arabidopsis. J. Plant Biotechnol. 2012, 39, 106–113. [Google Scholar] [CrossRef] [Green Version]
- Uematsu, K.; Suzuki, N.; Iwamae, T.; Inui, M.; Yukawa, H. Increased fructose 1,6-bisphosphate aldolase in plastids enhances growth and photosynthesis of tobacco plants. J. Exp. Bot. 2012, 63, 3001–3009. [Google Scholar] [CrossRef]
- Bi, H.; Wang, M.; Dong, X.; Ai, X. Cloning and expression analysis of transketolase gene in Cucumis sativus L. Plant Physiol. Biochem. 2013, 70, 512–521. [Google Scholar] [CrossRef]
- Zeng, Y.L. Analysis of Glycolysis Way and Study on the Function of Aldolase Family Genes in Camellia oleifera Seed. Ph.D. Thesis, Central South University of Forestry & Technology, Changsha, China, 2013; pp. 50–51. [Google Scholar]
- Hussain, H.A.; Hussain, S.; Khaliq, A.; Ashraf, U.; Anjum, S.A.; Men, S.; Wang, L. Chilling and drought stresses in crop plants: Implications, cross talk, and potential management opportunities. Front. Plant Sci. 2018, 9, 393. [Google Scholar] [CrossRef]
- Hussain, H.A.; Men, S.; Hussain, S.; Zhang, Q.; Ashraf, U.; Anjum, S.A.; Ali, I.; Wang, L. Maize tolerance against drought and chilling stresses varied with root morphology and antioxidative defense system. Plants 2020, 9, 720. [Google Scholar] [CrossRef]
- Bi, H.G.; Wang, M.L.; Jiang, Z.S.; Dong, X.B.; Ai, X.Z. Impacts of suboptimal temperature and low light intensity on the activities and gene expression of photosynthetic enzymes in cucumber seedling leaves. Ying Yong Sheng Tai Xue Bao/J. Appl. Ecol. 2011, 22, 2894–2900. (In Chinese) [Google Scholar]
- Friesen, P.C.; Sage, R.F. Photosynthetic responses to chilling in a chilling-tolerant and chilling-sensitive Miscanthus hybrid. Plant Cell Environ. 2016, 39, 1420–1431. [Google Scholar] [CrossRef] [Green Version]
- Sun, S.N.; Wang, Q.; Sun, C.C.; Liu, F.J.; Bi, H.G.; Ai, X.Z. Response and adaptation of photosynthesis of cucumber seedlings to high temperature stress. Ying Yong Sheng Tai Xue Bao/J. Appl. Ecol. 2017, 28, 1603–1610. [Google Scholar]
- Xu, X.Y.; Yu, J.H.; Xie, J.M.; Hu, L.L.; Li, J. Effects of exogenous salicylic acid and brassinolide on photosynthesis of cucumber seedlings under low temperature stress. Ying Yong Sheng Tai Xue Bao/J. Appl. Ecol. 2016, 27, 3009–3015. [Google Scholar]
- Xu, X.Y.; Yu, J.H.; Xie, J.M.; Hu, L.L. Effects of 2,4-epibrassinolide on photosynthesis characteristics and antioxidant system of cucumber seedlings under sub-optimal temperature and low light. J. Nucl. Agric. Sci. 2017, 31, 979–986. [Google Scholar]
- Ding, F.; Wang, M.; Zhang, S.; Ai, X. Changes in SBPase activity influence photosynthetic capacity, growth, and tolerance to chilling stress in transgenic tomato plants. Sci. Rep. 2016, 6, 32741. [Google Scholar] [CrossRef]
- Ding, F.; Wang, M.; Zhang, S. Overexpression of a Calvin cycle enzyme SBPase improves tolerance to chilling-induced oxidative stress in tomato plants. Sci. Hortic. 2017, 214, 27–33. [Google Scholar] [CrossRef]
- Bi, H.; Liu, P.; Jiang, Z.; Ai, X. Overexpression of the rubisco activase gene improves growth and low temperature and weak light tolerance in Cucumis sativus L. Physiol. Plant. 2017, 161, 224–234. [Google Scholar] [CrossRef]
- Tsikas, D. Assessment of lipid peroxidation by measuring malondialdehyde (MDA) and relatives in biological samples: Analytical and biological challenges. Anal. Biochem. 2017, 524, 13–30. [Google Scholar] [CrossRef]
- Fillatti, J.J.; Kiser, J.; Rose, R.; Comai, L. Efficient transfer of a glyphosate tolerance gene into tomato using a binary Agrobacterium tumefaciens vector. Nat. Biotechnol. 1987, 5, 726–730. [Google Scholar] [CrossRef]
- Livak, K.J.; Schmittgen, T.D. Analysis of relative gene expression data using real-time quantitative PCR and the 2−ΔΔCt method. Methods 2001, 25, 402–408. [Google Scholar] [CrossRef]
- Wang, M.; Bi, H.; Liu, P.; Ai, X. Molecular cloning and expression analysis of the gene encoding sedoheptulose-1, 7-bisphosphatase from Cucumis sativus L. Sci. Hortic. 2011, 129, 414–420. [Google Scholar] [CrossRef]
- Shigeoka, S.; Takeda, T.; Hanaoka, T. Characterization and immunological properties of selenium-containing glutathione peroxidase induced by selenite in Chlamydomonas reinhardtii. Biochem. J. 1991, 275, 623–627. [Google Scholar] [CrossRef] [Green Version]
- Bi, H.; Dong, X.; Wu, G.; Wang, M.; Ai, X. Decreased TK activity alters growth, yield and tolerance to low temperature and low light intensity in transgenic cucumber plants. Plant Cell Rep. 2015, 34, 345–354. [Google Scholar] [CrossRef] [PubMed]
- Cho, U.-H.; Park, J.-O. Mercury-induced oxidative stress in tomato seedlings. Plant Sci. 2000, 156, 1–9. [Google Scholar] [CrossRef]
- Heath, R.L.; Packer, L. Photoperoxidation in isolated chloroplasts: I. Kinetics and stoichiometry of fatty acid peroxidation. Arch. Biochem. Biophys. 1968, 125, 189–198. [Google Scholar] [CrossRef]








| Lines | Thousand-Seed-Weight | Germination Rate (%) | Plant Height (cm) | Stem Diameter (mm) | |
|---|---|---|---|---|---|
| 18 °C | 28 °C | ||||
| WT | 2.2 ± 0.3 d | 37.3 ± 5 b | 97.0 ± 4 a | 25.4 ± 2 d | 14.2 ± 0.7 d |
| T2-19 | 2.7 ± 0.2 c | 41.0 ± 3 ab | 96.6 ± 4 a | 29.0 ± 1 c | 16.5 ± 0.5 c |
| T2-22 | 3.0 ± 0.2 b | 46.0 ± 5 a | 97.0 ± 3 a | 32.2 ± 1 b | 17.2 ± 0.3 b |
| T2-33 | 3.2 ± 0.3 a | 48.6 ± 2 a | 99.3 ± 1 a | 35.4 ± 1 a | 21.0 ± 0.6 a |
| T2′-16 | 2.1 ± 0.1 e | 34.3 ± 5 bc | 60.0 ± 2 b | 25.8 ± 1 d | 14.1 ± 0.7 d |
| T2′-30 | 1.9 ± 0.2 f | 29.0 ± 1 cd | 53.7 ± 5 c | 26 ± 1 d | 13.7 ± 1.1 d |
Publisher’s Note: MDPI stays neutral with regard to jurisdictional claims in published maps and institutional affiliations. |
© 2022 by the authors. Licensee MDPI, Basel, Switzerland. This article is an open access article distributed under the terms and conditions of the Creative Commons Attribution (CC BY) license (https://creativecommons.org/licenses/by/4.0/).
Share and Cite
Cai, B.; Ning, Y.; Li, Q.; Li, Q.; Ai, X. Effects of the Chloroplast Fructose-1,6-Bisphosphate Aldolase Gene on Growth and Low-Temperature Tolerance of Tomato. Int. J. Mol. Sci. 2022, 23, 728. https://doi.org/10.3390/ijms23020728
Cai B, Ning Y, Li Q, Li Q, Ai X. Effects of the Chloroplast Fructose-1,6-Bisphosphate Aldolase Gene on Growth and Low-Temperature Tolerance of Tomato. International Journal of Molecular Sciences. 2022; 23(2):728. https://doi.org/10.3390/ijms23020728
Chicago/Turabian StyleCai, Bingbing, Yu Ning, Qiang Li, Qingyun Li, and Xizhen Ai. 2022. "Effects of the Chloroplast Fructose-1,6-Bisphosphate Aldolase Gene on Growth and Low-Temperature Tolerance of Tomato" International Journal of Molecular Sciences 23, no. 2: 728. https://doi.org/10.3390/ijms23020728
APA StyleCai, B., Ning, Y., Li, Q., Li, Q., & Ai, X. (2022). Effects of the Chloroplast Fructose-1,6-Bisphosphate Aldolase Gene on Growth and Low-Temperature Tolerance of Tomato. International Journal of Molecular Sciences, 23(2), 728. https://doi.org/10.3390/ijms23020728
