Longitudinal Assessment of Multiple Immunological and Inflammatory Parameters during Successful DAA Therapy in HCV Monoinfected and HIV/HCV Coinfected Subjects
Abstract
1. Introduction
2. Results
2.1. Demographic, Clinical and Laboratory Findings
2.2. Cross-Sectional Analysis
2.2.1. Soluble Markers of Inflammation
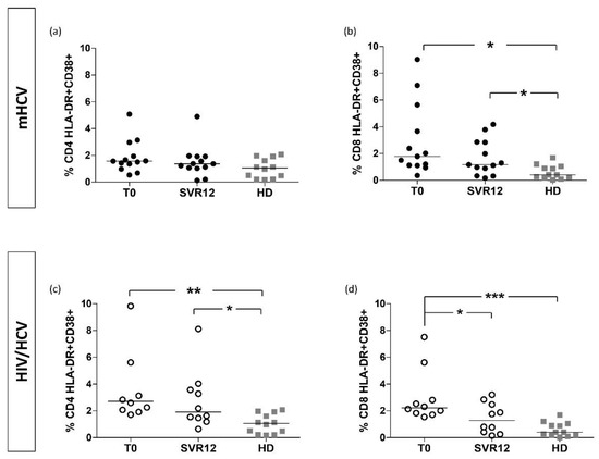
2.2.2. Activated T-Cells
2.2.3. Monocyte Subsets
2.2.4. Subpopulations of DCs
2.3. Longitudinal Changes during DAA Treatment
2.3.1. Soluble Plasma Biomarkers of Inflammation and Immune Activation
2.3.2. Activated CD4+ and CD8+ T Cells
2.3.3. Monocyte Subsets
2.3.4. DC Subsets
2.4. Correlations between Soluble Biomarkers, Clinical Parameters and Peripheral Blood Cell Counts
3. Discussion
4. Materials and Methods
4.1. Study Population
4.2. Sample Collection
4.3. Clinical and Laboratory Assessment
4.4. CD4+ and CD8+ T-Cells Activation Markers
4.5. Flow Cytometry Analysis of Peripheral Blood Monocytes and Dendritic Cells
4.6. Soluble Markers of Inflammation and Plasma Matrix Metalloproteinases
4.7. Data Analyses and Statistics
5. Conclusions
Author Contributions
Funding
Institutional Review Board Statement
Informed Consent Statement
Acknowledgments
Conflicts of Interest
References
- Kim, A.Y.; Chung, R.T. Coinfection with HIV-1 and HCV-A one-two punch. Gastroenterology 2009, 137, 795–814. [Google Scholar] [CrossRef]
- Debes, J.D.; Bohjanen, P.R.; Boonstra, A. Mechanisms of Accelerated Liver Fibrosis Progression during HIV Infection. J. Clin. Transl. Hepatol. 2016, 4, 328–335. [Google Scholar]
- Zeuzem, S.; Hultcrantz, R.; Bourliere, M.; Goeser, T.; Marcellin, P.; Sanchez-Tapias, J.; Sarrazin, C.; Harvey, J.; Brass, C.; Albrecht, J. Peginterferon alfa-2b plus rib-avirin for treatment of chronic hepatitis C in previously untreated patients infected with HCV genotypes 2 or 3. J. Hepatol. 2004, 40, 993–999. [Google Scholar] [CrossRef]
- Zeuzem, S.; Hultcrantz, R.; Bourliere, M.; Goeser, T.; Marcellin, P.; Sanchez-Tapias, J.; Sarrazin, C.; Harvey, J.; Brass, C.; Albrecht, J. Peginterferon-alpha2a and ribavirin com-bination therapy in chronic hepatitis C: A randomized study of treatment duration and ribavirin dose. Ann. Intern. Med. 2004, 140, 346–355. [Google Scholar]
- Fried, M.W.; Shiffman, M.L.; Reddy, K.R.; Smith, C.; Marinos, G.; Gonçales, F.L.; Häussinger, D.; Diago, M.; Carosi, G.; Dhumeaux, D.; et al. Peginterferon Alfa-2a plus Ribavirin for Chronic Hepatitis C Virus Infection. N. Engl. J. Med. 2002, 347, 975–982. [Google Scholar] [CrossRef]
- Manns, M.P.; McHutchison, J.G.; Gordon, S.C.; Rustgi, V.K.; Shiffman, M.; Reindollar, R.; Goodman, Z.D.; Koury, K.; Ling, M.-H.; Albrecht, J.K. Peginterferon alfa-2b plus ribavirin compared with interferon alfa-2b plus ribavirin for initial treatment of chronic hepatitis C: A randomised trial. Lancet 2001, 358, 958–965. [Google Scholar] [CrossRef]
- Collins, L.; Chan, A.; Zheng, J.; Chow, S.-C.; Wilder, J.M.; Muir, A.J.; Naggie, S. Direct-Acting Antivirals Improve Access to Care and Cure for Patients with HIV and Chronic HCV Infection. Open Forum Infect. Dis. 2017, 5, ofx264. [Google Scholar] [CrossRef]
- Naggie, S.; Cooper, C.; Saag, M.; Workowski, K.; Ruane, P.; Towner, W.J.; Marks, K.; Luetkemeyer, A.; Baden, R.P.; Sax, P.E.; et al. Ledipasvir and Sofosbuvir for HCV in Patients Coinfected with HIV-1. N. Engl. J. Med. 2015, 373, 705–713. [Google Scholar] [CrossRef]
- Osinusi, A.; Townsend, K.; Kohli, A.; Nelson, A.; Seamon, C.; Meissner, E.G.; Bon, D.; Silk, R.; Gross, C.; Price, A.; et al. Virologic Response Following Combined Ledipasvir and Sofosbuvir Administration in Patients with HCV Genotype 1 and HIV Co-infection. JAMA 2015, 313, 1232–1239. [Google Scholar] [CrossRef]
- Sulkowski, M.S.; Eron, J.J.; Wyles, D.; Trinh, R.; Lalezari, J.; Wang, C.; Slim, J.; Bhatti, L.; Gathe, J.; Ruane, P.J.; et al. Ombitasvir, paritaprevir co-dosed with ritonavir, dasabuvir, and ribavirin for hepatitis C in patients co-infected with HIV-1: A randomized trial. JAMA 2015, 313, 1223–1231. [Google Scholar] [CrossRef]
- Mastroianni, C.M.; Lichtner, M.; Mascia, C.; Zuccalà, P.; Vullo, V. Molecular Mechanisms of Liver Fibrosis in HIV/HCV Coinfection. Int. J. Mol. Sci. 2014, 15, 9184–9208. [Google Scholar] [CrossRef]
- Hammam, O.; Mahmoud, O.; Zahran, M.; Aly, S.; Hosny, K.; Helmy, A.; Anas, A. The Role of Fas/Fas Ligand System in the Pathogenesis of Liver Cirrhosis and Hepatocellular Carcinoma. Zahedan J. Res. Med Sci. 2012, 12, e6132. [Google Scholar] [CrossRef]
- Dolganiuc, A.; Norkina, O.; Kodys, K.; Catalano, D.; Bakis, G.; Marshall, C.; Mandrekar, P.; Szabo, G. Viral and Host Factors Induce Macrophage Activation and Loss of Toll-Like Receptor Tolerance in Chronic HCV Infection. Gastroenterology 2007, 133, 1627–1636. [Google Scholar] [CrossRef]
- Durante-Mangoni, E.; Wang, R.; Shaulov, A.; He, Q.; Nasser, I.; Afdhal, N.; Koziel, M.J.; Exley, M.A. Hepatic CD1d Expression in Hepatitis C Virus Infection and Recognition by Resident Proinflammatory CD1d-Reactive T Cells. J. Immunol. 2004, 173, 2159–2166. [Google Scholar] [CrossRef]
- Losikoff, P.T.; Self, A.A.; Gregory, S.H. Dendritic cells, regulatory T cells and the pathogenesis of chronic hepatitis C. Virulence 2012, 3, 610–620. [Google Scholar] [CrossRef]
- Coquillard, G.; Patterson, B.K. Determination of Hepatitis C Virus–Infected, Monocyte Lineage Reservoirs in Individuals with or without HIV Coinfection. J. Infect. Dis. 2009, 200, 947–954. [Google Scholar] [CrossRef]
- Crosignani, A.; Riva, A.; Della Bella, S. Analysis of peripheral blood dendritic cells as a non-invasive tool in the follow-up of patients with chronic hepatitis C. World J. Gastroenterol. 2016, 22, 1393–1404. [Google Scholar] [CrossRef]
- Gallè, M.B.; DeFranco, R.M.S.; Kerjaschki, D.; Romanelli, R.G.; Montalto, P.; Gentilini, P.; Pinzani, M.; Romagnoli, P. Ordered array of dendritic cells and CD8+ lymphocytes in portal infiltrates in chronic hepatitis C. Histopathology 2001, 39, 373–381. [Google Scholar] [CrossRef]
- Nascimbeni, M.; Bourdoncle, P.; Penna, C.; Saunier, B. Recruitment and interaction of human dendritic and T cells in autologous liver slices experimentally infected with HCV produced in cell culture. J. Immunol. Methods 2012, 378, 51–55. [Google Scholar] [CrossRef]
- Weaver, L.K.; Pioli, P.A.; Wardwell, K.; Vogel, S.N.; Guyre, P.M. Up-regulation of human monocyte CD163 upon activation of cell-surface Toll-like receptors. J. Leukoc. Biol. 2006, 81, 663–671. [Google Scholar] [CrossRef]
- Kazankov, K.; Barrera, F.; Møller, H.J.; Bibby, B.M.; Vilstrup, H.; George, J.; Grønbæk, H. Soluble CD163, a macrophage activation marker, is independently associated with fibrosis in patients with chronic viral hepatitis B and C. Hepatol Baltim Md. 2014, 60, 521–530. [Google Scholar] [CrossRef]
- Møller, H.J.; Aerts, H.; Grøbæk, H.; Peterslund, N.A.; Petersen, P.H.; Hornung, N.; Renjmark, L.; Jabbarpour, E.; Moestrup, S.K. Soluble CD163: A marker molecule for monocyte/macrophage activity in disease. Scand. J. Clin. Lab. Investig. 2002, 62, 29–33. [Google Scholar] [CrossRef]
- Liovat, A.-S.; Rey-Cuillé, M.-A.; Lecuroux, C.; Jacquelin, B.; Girault, I.; Petitjean, G.; Zitoun, Y.; Venet, A.; Barré-Sinoussi, F.; Lebon, P.; et al. Acute Plasma Biomarkers of T Cell Activation Set-Point Levels and of Disease Progression in HIV-1 Infection. PLoS ONE 2012, 7, e46143. [Google Scholar] [CrossRef]
- Seki, E.; De Minicis, S.; Österreicher, C.H.; Kluwe, J.; Osawa, Y.; Brenner, D.A.; Schwabe, R.F. TLR4 enhances TGF-beta signaling and hepatic fibrosis. Nat Med. 2007, 13, 1324–1332. [Google Scholar] [CrossRef]
- Dultz, G.; Gerber, L.; Zeuzem, S.; Sarrazin, C.; Waidmann, O. The macrophage activation marker CD163 is associated with IL28B genotype and hepatic inflammation in chronic hepatitis C virus infected patients. J. Viral Hepat. 2015, 23, 267–273. [Google Scholar] [CrossRef]
- Mascia, C.; Lichtner, M.; Zuccalà, P.; Vita, S.; Tieghi, T.; Marocco, R.; Savinelli, S.; Rossi, R.; Iannetta, M.; Campagna, M.; et al. Active HCV infection is associated with increased circulating levels of interferon-gamma (IFN-γ)-inducible protein-10 (IP-10), soluble CD163 and inflammatory mono-cytes regardless of liver fibrosis and HIV coinfection. Clin. Res. Hepatol. Gastroenterol. 2017, 41, 644–655. [Google Scholar]
- Beltrán, L.M.; Hernández, R.M.; de Pablo-Bernal, R.S.; Morillo, J.S.G.; Egido, J.; Noval, M.L.; Ferrando-Martinez, S.; Blanco-Colio, L.M.; Genebat, M.; Villar, J.R.; et al. Reduced sTWEAK and Increased sCD163 Levels in HIV-Infected Patients: Modulation by Antiretroviral Treatment, HIV Replication and HCV Co-Infection. PLoS ONE 2014, 9, e90541. [Google Scholar] [CrossRef]
- Lidofsky, A.; Holmes, J.A.; Feeney, E.R.; Kruger, A.J.; Salloum, S.; Zheng, H.; Seguin, I.S.; Altinbas, A.; Masia, R.E.; Corey, K.; et al. Macrophage Activation Marker Soluble CD163 Is a Dynamic Marker of Liver Fibrogenesis in Human Immunodeficiency Virus/Hepatitis C Virus Coinfection. J. Infect. Dis. 2018, 218, 1394–1403. [Google Scholar] [CrossRef]
- Zhao, S.X.; Li, W.C.; Fu, N.; Kong, L.B.; Zhang, Q.S.; Han, F.; Ren, W.G.; Cui, P.; Du, J.-H.; Wang, B.-Y.; et al. CD14+ monocytes and CD163+ macrophages correlate with the severity of liver fibrosis in patients with chronic hepatitis C. Exp. Ther. Med. 2020, 20, 228. [Google Scholar] [CrossRef]
- Cros, J.; Cagnard, N.; Woollard, K.; Patey, N.; Zhang, S.Y.; Senechal, B.; Puel, A.; Biswas, S.K.; Moshous, D.; Picard, C.; et al. Human CD14dim monocytes patrol and sense nucleic acids and viruses via TLR7 and TLR8 receptors. Immunity 2010, 33, 375–386. [Google Scholar] [CrossRef]
- Tacke, F.; Randolph, G.J. Migratory fate and differentiation of blood monocyte subsets. Immunobiology 2006, 211, 609–618. [Google Scholar] [CrossRef]
- Zimmermann, H.W.; Seidler, S.; Nattermann, J.; Gassler, N.; Hellerbrand, C.; Zernecke, A.; Tischendorf, J.J.W.; Luedde, T.; Weiskirchen, R.; Trautwein, C.; et al. Functional Contribution of Elevated Circulating and Hepatic Non-Classical CD14+CD16+ Monocytes to Inflammation and Human Liver Fibrosis. PLoS ONE 2010, 5, e11049. [Google Scholar] [CrossRef] [PubMed]
- Sacchi, P.; Cima, S.; Corbella, M.; Comolli, G.; Chiesa, A.; Baldanti, F.; Klersy, C.; Novati, S.; Mulatto, P.; Mulatto, M.; et al. Liver fibrosis, microbial translocation and im-mune activation markers in HIV and HCV infections and in HIV/HCV co-infection. Dig. Liver Dis. 2015, 47, 218–225. [Google Scholar] [CrossRef] [PubMed]
- Marchetti, G.; for the ICONA Foundation Study Group; Cozzi-Lepri, A.; Tincati, C.; Calcagno, A.; Ceccherini-Silberstein, F.; De Luca, A.; Antinori, A.; Castagna, A.; Puoti, M.; et al. Immune activation and microbial translocation in liver disease progression in HIV/hepatitis co-infected patients: Results from the Icona Foundation study. BMC Infect. Dis. 2014, 14, 79. [Google Scholar] [CrossRef]
- Brenchley, J.M.; Price, D.A.; Schacker, T.W.; Asher, T.E.; Silvestri, G.; Rao, S.; Kazzaz, Z.; Bornstein, E.; Lambotte, O.; Altmann, D.; et al. Microbial translocation is a cause of systemic immune activation in chronic HIV infection. Nat. Med. 2006, 12, 1365–1371. [Google Scholar] [CrossRef] [PubMed]
- Balagopal, A.; Philp, F.H.; Astemborski, J.; Block, T.M.; Mehta, A.; Long, R.; Kirk, G.D.; Mehta, S.H.; Cox, A.; Thomas, D.L.; et al. Human Immunodeficiency Virus-Related Microbial Translocation and Progression of Hepatitis C. Gastroenterology 2008, 135, 226–233. [Google Scholar] [CrossRef] [PubMed]
- Patel, M.; Rab, S.; Kalapila, A.G.; Kyle, A.; Okosun, I.S.; Miller, L. Highly Successful Hepatitis C Virus (HCV) Treatment Outcomes in Human Immunodeficiency Virus/HCV-Coinfected Patients at a Large, Urban, Ryan White Clinic. Open Forum Infect. Dis. 2017, 4, ofx062. [Google Scholar] [CrossRef]
- Luetkemeyer, A.F.; McDonald, C.; Ramgopal, M.; Noviello, S.; Bhore, R.; Ackerman, P. 12 Weeks of Daclatasvir in Combi-nation with Sofosbuvir for HIV-HCV Coinfection (ALLY-2 Study): Efficacy and Safety by HIV Combination An-tiretroviral Regimens. Clin. Infect Dis. Off. Publ. Infect Dis. Soc. Am. 2016, 62, 1489–1496. [Google Scholar] [CrossRef][Green Version]
- Rockstroh, J.K.; Nelson, M.; Katlama, C.; Lalezari, J.; Mallolas, J.; Bloch, M.; Matthews, G.V.; Saag, M.S.; Zamor, P.J.; Orkin, C.; et al. Efficacy and safety of grazoprevir (MK-5172) and elbasvir (MK-8742) in patients with hepatitis C virus and HIV co-infection (C-EDGE CO-INFECTION): A non-randomised, open-label trial. Lancet HIV 2015, 2, e319–e327. [Google Scholar] [CrossRef]
- Sulkowski, M.S.; Naggie, S.; Lalezari, J.; Fessel, W.J.; Mounzer, K.; Shuhart, M.; Luetkemeyer, A.F.; Asmuth, D.; Gaggar, A.; Ni, L.; et al. Sofosbuvir and Ribavirin for Hepatitis C in Patients with HIV Coinfection. JAMA 2014, 312, 353–361. [Google Scholar] [CrossRef][Green Version]
- Wyles, D.L.; Ruane, P.J.; Sulkowski, M.S.; Dieterich, D.; Luetkemeyer, A.; Morgan, T.R.; Sherman, K.E.; Dretler, R.; Fishbein, D.; Gathe, J.C.; et al. Daclatasvir plus Sofosbuvir for HCV in Patients Coinfected with HIV-1. N. Engl. J. Med. 2015, 373, 714–725. [Google Scholar] [CrossRef] [PubMed]
- Serti, E.; Chepa-Lotrea, X.; Kim, Y.J.; Keane, M.; Fryzek, N.; Liang, T.J.; Ghany, M.; Rehermann, B. Successful Interferon-Free Therapy of Chronic Hepatitis C Virus Infection Normalizes Natural Killer Cell Function. Gastroenterology 2015, 149, 190–200.e2. [Google Scholar] [CrossRef] [PubMed]
- Martin, B.; Hennecke, N.; Lohmann, V.; Kayser, A.; Neumann-Haefelin, C.; Kukolj, G.; Böcher, W.-O.; Thimme, R. Restoration of HCV-specific CD8+ T cell function by interferon-free therapy. J. Hepatol. 2014, 61, 538–543. [Google Scholar] [CrossRef] [PubMed]
- Vita, S.; Zuccalà, P.; Savinelli, S.; Mascia, C.; Rossi, R.; Schiavone, F.; Marocco, R.; Tieghi, T.; Iannetta, M.; Nijhawan, P.; et al. Impact of IFN-Free and IFN-Based Treatment on Blood Myeloid Dendritic Cell, Monocyte, Slan-DC, and Activated T Lymphocyte Dynamics during HCV Infection. J. Immunol. Res. 2020, 2020, 2781350. [Google Scholar] [CrossRef] [PubMed]
- Parisi, S.G.; Andreis, S.; Mengoli, C.; Menegotto, N.; Cavinato, S.; Scaggiante, R.; Andreoni, M.; Palù, G.; Basso, M.; Cattelan, A.M. Soluble CD163 and soluble CD14 plasma levels but not cellular HIV-DNA decrease during successful interferon-free anti-HCV therapy in HIV-1–HCV co-infected patients on effective combined anti-HIV treatment. Med. Microbiol. Immunol. 2018, 207, 183–194. [Google Scholar] [CrossRef] [PubMed]
- Banchereau, J.; Steinman, R.M. Dendritic cells and the control of immunity. Nature 1998, 392, 245–252. [Google Scholar] [CrossRef]
- Barchet, W.; Cella, M.; Colonna, M. Plasmacytoid dendritic cells—virus experts of innate immunity. Semin. Immunol. 2005, 17, 253–261. [Google Scholar] [CrossRef]
- Schäkel, K.; Mayer, E.; Federle, C.; Schmitz, M.; Riethmüller, G.; Rieber, E.P. A novel dendritic cell population in human blood: One-step immunomagnetic isolation by a specific mAb (MDC8) and in vitro priming of cytotoxic T lympho-cytes. Eur. J. Immunol. 1998, 28, 4084–4093. [Google Scholar] [CrossRef]
- Zeremski, M.; Petrovic, L.M.; Chiriboga, L.; Brown, Q.B.; Yee, H.T.; Kinkhabwala, M.; Jacobson, I.M.; Dimova, R.; Markatou, M.; Talal, A.H. Intrahepatic levels of CXCR3-associated chemokines correlate with liver inflammation and fibrosis in chronic hepatitis C. Hepatology 2008, 48, 1440–1450. [Google Scholar] [CrossRef]
- Boulougoura, A.; Sereti, I. HIV infection and immune activation: The role of coinfections. Curr. Opin. HIV AIDS 2016, 11, 191–200. [Google Scholar] [CrossRef]
- Duarte, S.; Baber, J.; Fujii, T.; Coito, A.J. Matrix metalloproteinases in liver injury, repair and fibrosis. Matrix Biol. 2015, 44–46, 147–156. [Google Scholar] [CrossRef] [PubMed]
- Latronico, T.; Mascia, C.; Pati, I.; Zuccala, P.; Mengoni, F.; Marocco, R.; Tieghi, T.; Belvisi, V.; Lichtner, M.; Vullo, V.; et al. Liver Fibrosis in HCV Monoinfected and HIV/HCV Coinfected Patients: Dysregulation of Matrix Metalloproteinases (MMPs) and Their Tissue Inhibitors TIMPs and Effect of HCV Protease Inhibitors. Int. J. Mol. Sci. 2016, 17, 455. [Google Scholar] [CrossRef]
- de Lédinghen, V.; Vergniol, J. Transient elastography (FibroScan). Gastroenterol. Clin. Biol. 2008, 32 (Suppl. S1), 58–67. [Google Scholar] [CrossRef]
- Lichtner, M.; Rossi, R.; Vita, S.; Savinelli, S.; Iannetta, M.; Mascia, C.; Marocco, R.; Ajassa, C.; Mengoni, F.; Scorzolini, L.; et al. Blood Myeloid Dendritic Cells and slanDC in Antiretroviral Therapy-Suppressed HIV-Infected Patients. Curr. HIV Res. 2016, 14, 331–339. [Google Scholar] [CrossRef] [PubMed][Green Version]
- Mascia, C.; Vita, S.; Zuccalà, P.; Marocco, R.; Tieghi, T.; Savinelli, S.; Rossi, R.; Iannetta, M.; Pozzetto, I.; Furlan, C.; et al. Changes in inflammatory biomarkers in HCV-infected patients undergoing direct acting antiviral-containing regimens with or without interferon. PLoS ONE 2017, 12, e0179400. [Google Scholar] [CrossRef] [PubMed]
- Iannetta, M.; Zingaropoli, M.A.; Latronico, T.; Pati, I.; Pontecorvo, S.; Prezioso, C.; Pietropaolo, V.; Cortese, A.; Frontoni, M.; D’Agostino, C.; et al. Dynamic changes of MMP-9 plasma levels correlate with JCV reactivation and immune activation in natalizumab-treated multiple sclerosis patients. Sci. Rep. 2019, 9, 311. [Google Scholar] [CrossRef] [PubMed]









| Characteristics | mHCV (n = 16) | HIV/HCV (n = 15) | p Value |
|---|---|---|---|
| Age (Years) | 62 (28–72) | 53 (42–59) | NS |
| Sex, F (n,%) | 2 (13) | 6 (40) | NS |
| Stiffness (kPa) | 16.50 (10.9–45.7) | 11.10 (5.6–41.7) | 0.0114 |
| F0–F2 | - | 8 | - |
| F3 | 5 | 1 | - |
| F4 | 11 | 6 | - |
| FIB-4 | 3.770 (2.199–5.736) | 1.740 (1.05–6.74) | 0.0015 |
| AST level, IU/L | 75 (26–170) | 36 (22–103) | 0.0039 |
| ALT level, IU/L | 86 (28–407) | 42 (17–187) | NS |
| PLT (109 L) | 140 (81–280) | 171 (57–301) | NS |
| HCV-RNA (UI/mL) | 718,809 (57,472–5,259,000) | 1,486,000 (148,100–23,110,000) | NS |
| HCV Genotype (n. %) | |||
| -1a | 4 (25) | 7 (46) | NS |
| -1b | 6 (37) | 3 (20) | NS |
| -1a/1b | 0 | 1 (7) | NA |
| -2a/2c | 3 (19) | 0 | NA |
| -3a | 2 (13) | 4 (27) | NS |
| -4 | 1 (6) | 0 | NA |
| HIV-RNA undetectable (n,%) | NA | 15 (100%) | NA |
| CD4 Nadir (mmc) | NA | 102 (7–549) | NA |
| Actual CD4+ (mmc) | NA | 670.5 (144–1736) | NA |
| Alcohol (n, %) | |||
| Yes | 5 (31%) | 5 (27%) | NS |
| No | 11 (69%) | 10 (73%) | NS |
| Smoke (n, %) | NS | ||
| Yes | 5 (31%) | 11 (33%) | NS |
| No | 11 (69%) | 4 (67%) | |
| BMI (kg/m2) | 27.3 (20.9–33.2) | 25.5 (17.7–38.1) | NS |
| ANTI-HCV therapy | mHCV (n = 16) | HCV/HIV (n = 15) |
|---|---|---|
| 3D | 2 | 8 |
| 3D + RBV | 2 | 0 |
| SOF + SIMV | 7 | 1 |
| SOF + SIM + RBV | 1 | 0 |
| SOF + DAC | 0 | 1 |
| SOF + RBV + LED | 0 | 1 |
| SOF + RBV | 4 | 2 |
| SOF + LED | 0 | 2 |
| Parameters | mHCV (n = 16) | HIV/HCV (n = 15) | HD | p Value ANOVA Test | p Value |
|---|---|---|---|---|---|
| IP-10 (pg/mL) | 470.6 (133.8–568.5) | 327.3 (111.8–897.4) | 89.87 (35.76–152.3) | <0.0001 | <0.001 b <0.0001 c |
| sCD163 (ng/mL) | 1957 (1169–3360) | 1372 (643.3–2308) | 514.6 (339–1445) | <0.0001 | <0.001 b <0.0001 c |
| sCD14 (ng/mL) | 1779 (1093–2368) | 2069 (1296–2901) | 1455 (1172–2195) | 0.0206 | <0.05 b |
| MMP-2 (ODxmm2) | 72 (22.9–108.7) | 45.05 (7.4–81.7) | 17.59 (37.79–85.33) | <0.0001 | <0.05 a <0.05 b <0.0001 c |
| CD4+ CD38+ DR+ (%/mL) | 1.28 (0.5–3.14) | 2.18 (1.71–13.4) | 1.06 (0.17–2.07) | 0.0006 | <0.05 a <0.01 b |
| CD8+ CD38+ DR+ (%/mL) | 1.5 (0.84–9.03) | 2.23 (1.54–7.51) | 0.41 (0.024–1.69) | <0.0001 | <0.05 a <0.001 b <0.05 c |
| Classical monocytes/mL | 261,450 (70,091–573,055) | 196,812 (827,585–283,659) | 241,798 (65,642–343,801) | NS | NS |
| Non-classical monocytes/mL | 23,345 (13,064–42,259) | 16,756 (2215–44,020) | 24,794 (12,965–67,569) | NS | NS |
| Intermediate monocytes/mL | 16,018 (8747–49,132) | 10,565 (3351–203,34) | 13,724 (4487–49,231) | NS | NS |
| MDC8/mL | 2954 (454–9486) | 2442 (0.0–16,018) | 6844 (526–24,411) | NS | NS |
| mDC/mL | 11,246 (1250–21,868) | 5510 (2386–11,019) | 10962 (5453–23,010) | 0.0072 | <0.05 a <0.01 b |
| pDC/mL | 4090 (965.6–8463) | 2783 (56.8–9713) | 4672 (1704–9986) | NS | NS |
| Median (range) | mHCV | HIV/HCV | p Value | ||
|---|---|---|---|---|---|
| T0 | SVR12 | T0 | SVR12 | ||
| IP-10 (pg/mL) | 470.6 (133.8–568.5) | 116 (36–517.6) | 327.3 (111.8–897.4) | 189.2 (103.8–474.6) | 0.0353 a 0.0012 b |
| sCD163 (ng/mL) | 1957 (1169–3360) | 1228 (491.7–4002) | 1372 (643.3–2308) | 711.7 (375–2087) | <0.0001 a 0.00465 b |
| sCD14 (ng/mL) | 1779 (1093–2368) | 1613 (1356–2348) | 2069 (1296–2901) | 1604 (1019–2504) | 0.0248 a |
| MMP-2 (ODxmm2) | 72 (22.9–108.7) | 78.4 (13.4–105.6) | 45.05 (7,4–81.7) | 39.1 (3.7–93.5) | NS |
| CD4+ CD38+ DR+ (%/mL) | 1.275 (0.5–3.14) | 1.17 (0.13–2.66) | 2.175 (1.710–13.40) | 1.91 (0.65–8.11) | NS |
| CD8+ CD38+ DR+ (%/mL) | 1.5 (0.84–9.03) | 1.19 (0.12–3.790) | 2.225 (1.54–7.51) | 1.28 (0.15–3.2) | 0.0137 a |
| Classical monocytes/mL | 261,450 (70,091–573,055) | 149,640 (52,597–450,026) | 196,812 (827,585–283,659) | 168,355 (67,138–368,291) | NS |
| Non-classical monocytes/mL | 23,345 (13,064–42,259) | 17,267 (10,678–36,238) | 16,756 (2215–44,020) | 14,172 (1818–31,581) | NS |
| Intermediate monocytes/mL | 16,018 (8747–49,132) | 8037 (2442–24,780) | 10,565 (3351–20,334) | 6447 (1193–9599) | 0.0122 b |
| MDC8/mL | 2954 (454.4–9486) | 2442 (511.2–9486) | 2442 (0.0–16,018) | 2187 (170.4–11,871) | NS |
| mDC/mL | 11246 (1250–21,868) | 9599 (5169–15,620) | 5510 (2386–11,019) | 7072 (2215–26,810) | NS |
| pDC/mL | 4090 (965.6–8463) | 2925 (1193–6418) | 2783 (56.8–9713) | 4288 (738.4–8236) | NS |
Publisher’s Note: MDPI stays neutral with regard to jurisdictional claims in published maps and institutional affiliations. |
© 2022 by the authors. Licensee MDPI, Basel, Switzerland. This article is an open access article distributed under the terms and conditions of the Creative Commons Attribution (CC BY) license (https://creativecommons.org/licenses/by/4.0/).
Share and Cite
Zuccalà, P.; Latronico, T.; Marocco, R.; Savinelli, S.; Vita, S.; Mengoni, F.; Tieghi, T.; Borgo, C.; Kertusha, B.; Carraro, A.; et al. Longitudinal Assessment of Multiple Immunological and Inflammatory Parameters during Successful DAA Therapy in HCV Monoinfected and HIV/HCV Coinfected Subjects. Int. J. Mol. Sci. 2022, 23, 11936. https://doi.org/10.3390/ijms231911936
Zuccalà P, Latronico T, Marocco R, Savinelli S, Vita S, Mengoni F, Tieghi T, Borgo C, Kertusha B, Carraro A, et al. Longitudinal Assessment of Multiple Immunological and Inflammatory Parameters during Successful DAA Therapy in HCV Monoinfected and HIV/HCV Coinfected Subjects. International Journal of Molecular Sciences. 2022; 23(19):11936. https://doi.org/10.3390/ijms231911936
Chicago/Turabian StyleZuccalà, Paola, Tiziana Latronico, Raffaella Marocco, Stefano Savinelli, Serena Vita, Fabio Mengoni, Tiziana Tieghi, Cosmo Borgo, Blerta Kertusha, Anna Carraro, and et al. 2022. "Longitudinal Assessment of Multiple Immunological and Inflammatory Parameters during Successful DAA Therapy in HCV Monoinfected and HIV/HCV Coinfected Subjects" International Journal of Molecular Sciences 23, no. 19: 11936. https://doi.org/10.3390/ijms231911936
APA StyleZuccalà, P., Latronico, T., Marocco, R., Savinelli, S., Vita, S., Mengoni, F., Tieghi, T., Borgo, C., Kertusha, B., Carraro, A., D’Ettorre, G., Vullo, V., Mastroianni, C. M., Liuzzi, G. M., & Lichtner, M. (2022). Longitudinal Assessment of Multiple Immunological and Inflammatory Parameters during Successful DAA Therapy in HCV Monoinfected and HIV/HCV Coinfected Subjects. International Journal of Molecular Sciences, 23(19), 11936. https://doi.org/10.3390/ijms231911936

