Effects of Age and Lifelong Moderate-Intensity Exercise Training on Rats’ Testicular Function
Abstract
1. Introduction
2. Results
2.1. Age and Exercise Training Impact Rats’ Body and Testes Weight
2.2. Aging Decreases Testis Cellular Density and Exercise Decreases Rat’s Seminiferous Tubules Area and Increases Basal Lamina Thickness
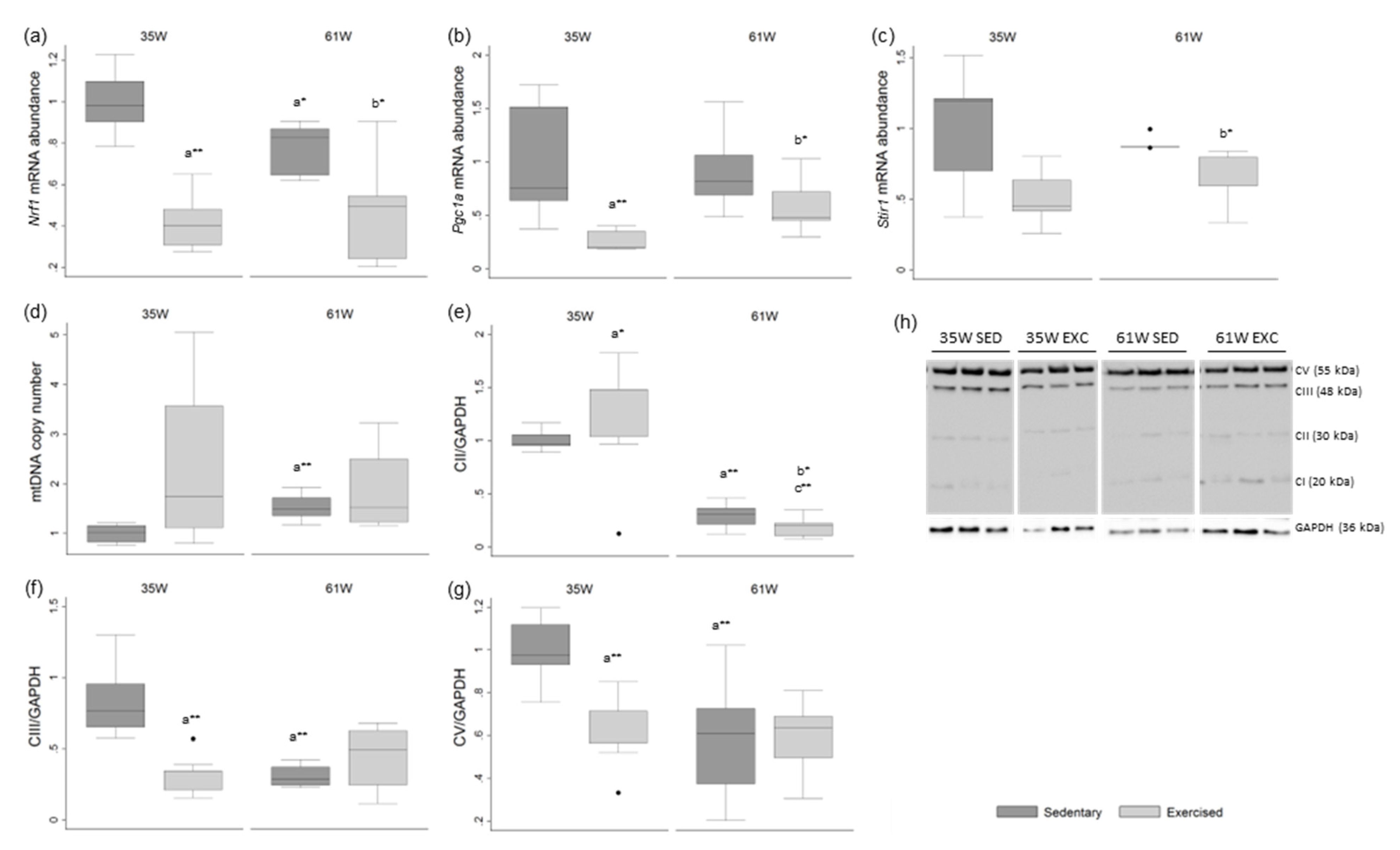
2.3. Age and Exercise Compromise Rat’s Testicular Mitochondrial Biogenesis
2.4. Age Increases Testicular mtDNA Copy Number in Rat Testis
2.5. Age and Exercise Decrease OXPHOS Complexes II, III and V Expression in Rat Testis
2.6. Age Increases HSP27 Phosphorylation and Antioxidant Enzymes Expression
2.7. Exercise Potentially Attenuates Protein Synthesis and Increases Oxidative Stress in Rat Testis
3. Discussion
4. Materials and Methods
4.1. Animals
4.2. Endurance Training Protocol
4.3. Sample Collection
4.4. Determination of Serum Testosterone Levels
4.5. Semen Analysis
4.6. Histological Analysis of Rat Testis
4.7. Testis Preparation for DNA, RNA and Protein Extraction
4.8. Quantitative Reverse Transcriptase Polymerase Chain Reaction (qRT-PCR) Analysis of Mitochondrial Biogenesis
4.9. Mitochondrial Respiratory Chain Complexes Detection by Immunoblot
4.10. Slot Blot
4.11. Statistical Analysis
Supplementary Materials
Author Contributions
Funding
Institutional Review Board Statement
Informed Consent Statement
Data Availability Statement
Conflicts of Interest
References
- Heidary, Z.; Saliminejad, K.; Zaki-Dizaji, M.; Khorram Khorshid, H.R. Genetic aspects of idiopathic asthenozoospermia as a cause of male infertility. Hum. Fertil. 2020, 23, 83–92. [Google Scholar] [CrossRef] [PubMed]
- Silva, J.V.; Cruz, D.; Gomes, M.; Correia, B.R.; Freitas, M.J.; Sousa, L.; Silva, V.; Fardilha, M. Study on the short-term effects of increased alcohol and cigarette consumption in healthy young men’s seminal quality. Sci. Rep. 2017, 7, 45457. [Google Scholar] [CrossRef] [PubMed]
- Silva, J.V.; Cabral, M.; Correia, B.R.; Carvalho, P.; Sousa, M.; Oliveira, P.F.; Fardilha, M. mTOR Signaling Pathway Regulates Sperm Quality in Older Men. Cells 2019, 8, 629. [Google Scholar] [CrossRef] [PubMed]
- Paoli, D.; Pecora, G.; Pallotti, F.; Faja, F.; Pelloni, M.; Lenzi, A.; Lombardo, F. Cytological and molecular aspects of the ageing sperm. Hum. Reprod. 2019, 34, 218–227. [Google Scholar] [CrossRef]
- Santiago, J.; Silva, J.V.; Alves, M.G.; Oliveira, P.F.; Fardilha, M. Testicular Aging: An Overview of Ultrastructural, Cellular, and Molecular Alterations. J. Gerontol. Ser. A 2019, 74, 860–871. [Google Scholar] [CrossRef]
- Matos, B.; Howl, J.; Ferreira, R.; Fardilha, M. Exploring the effect of exercise training on testicular function. Eur. J. Appl. Physiol. 2019, 119, 1–8. [Google Scholar] [CrossRef]
- Jóźków, P.; Rossato, M. The Impact of Intense Exercise on Semen Quality. Am. J. Men’s Health 2017, 11, 654–662. [Google Scholar] [CrossRef]
- Wise, L.A.; Cramer, D.W.; Hornstein, M.D.; Ashby, R.K.; Missmer, S.A. Physical activity and semen quality among men attending an infertility clinic. Fertil. Steril. 2011, 95, 1025–1030. [Google Scholar] [CrossRef]
- Safarinejad, M.R.; Azma, K.; Kolahi, A.A. The effects of intensive, long-term treadmill running on reproductive hormones, hypothalamus–pituitary–testis axis, and semen quality: A randomized controlled study. J. Endocrinol. 2009, 200, 259–271. [Google Scholar] [CrossRef]
- Torma, F.; Koltai, E.; Nagy, E.; Ziaaldini, M.M.; Posa, A.; Koch, L.G.; Britton, S.L.; Boldogh, I.; Radak, Z. Exercise Increases Markers of Spermatogenesis in Rats Selectively Bred for Low Running Capacity. PLoS ONE 2014, 9, e114075. [Google Scholar] [CrossRef]
- Vaamonde, D.; Da Silva-Grigoletto, M.E.; García-Manso, J.M.; Barrera, N.; Vaamonde-Lemos, R. Physically active men show better semen parameters and hormone values than sedentary men. Eur. J. Appl. Physiol. 2012, 112, 3267–3273. [Google Scholar] [CrossRef]
- Priskorn, L.; Jensen, T.K.; Bang, A.K.; Nordkap, L.; Joensen, U.N.; Lassen, T.H.; Olesen, I.A.; Swan, S.H.; Skakkebaek, N.E.; Jørgensen, N. Is Sedentary Lifestyle Associated with Testicular Function? A Cross-Sectional Study of 1,210 Men. Am. J. Epidemiol. 2016, 184, 284–294. [Google Scholar] [CrossRef]
- Mínguez-Alarcón, L.; Chavarro, J.E.; Mendiola, J.; Gaskins, A.J.; Torres-Cantero, A.M. Physical activity is not related to semen quality in young healthy men. Fertil. Steril. 2014, 102, 1103–1109. [Google Scholar] [CrossRef]
- Wogatzky, J.; Wirleitner, B.; Stecher, A.; Vanderzwalmen, P.; Neyer, A.; Spitzer, D.; Schuff, M.; Schechinger, B.; Zech, N.H. The combination matters-Distinct impact of lifestyle factors on sperm quality: A study on semen analysis of 1683 patients according to MSOME criteria. Reprod. Biol. Endocrinol. 2012, 10, 115. [Google Scholar] [CrossRef]
- Vaamonde, D.; Da Silva, M.; Poblador, M.; Lancho, J. Reproductive Profile of Physically Active Men After Exhaustive Endurance Exercise. Int. J. Sports Med. 2006, 27, 680–689. [Google Scholar] [CrossRef]
- Gebreegziabher, Y.; Marcos, E.; McKinon, W.; Rogers, G. Sperm Characteristics of Endurance Trained Cyclists. Int. J. Sports Med. 2004, 25, 247–251. [Google Scholar]
- Gaskins, A.J.; Afeiche, M.C.; Hauser, R.; Williams, P.L.; Gillman, M.W.; Tanrikut, C.; Petrozza, J.C.; Chavarro, J.E. Paternal physical and sedentary activities in relation to semen quality and reproductive outcomes among couples from a fertility center. Hum. Reprod. 2014, 29, 2575–2582. [Google Scholar] [CrossRef]
- Kong, X.; Wang, R.; Xue, Y.; Liu, X.; Zhang, H.; Chen, Y.; Fang, F.; Chang, Y. Sirtuin 3, a New Target of PGC-1α, Plays an Important Role in the Suppression of ROS and Mitochondrial Biogenesis. PLoS ONE 2010, 5, e11707. [Google Scholar] [CrossRef]
- Rato, L.; Duarte, A.I.; Tomás, G.D.; Santos, M.S.; Moreira, P.I.; Socorro, S.; Cavaco, J.E.; Alves, M.G.; Oliveira, P.F. Pre-diabetes alters testicular PGC1-α/SIRT3 axis modulating mitochondrial bioenergetics and oxidative stress. Biochim. Biophys. Acta (BBA)-Bioenerg. 2014, 1837, 335–344. [Google Scholar] [CrossRef]
- Wang, Y.; Li, J.; Gu, J.; He, W.; Ma, B.; Fan, H. Hyperoside, a natural flavonoid compound, attenuates Triptolide-induced testicular damage by activating the Keap1-Nrf2 and SIRT1-PGC1α signalling pathway. J. Pharm. Pharmacol. 2022, 74, 985–995. [Google Scholar] [CrossRef]
- Santiago, J.; Santos, M.A.S.; Fardilha, M.; Silva, J.V. Stress response pathways in the male germ cells and gametes. Mol. Hum. Reprod. 2020, 26, 1–13. [Google Scholar] [CrossRef]
- Schoof, M.; Boone, M.; Wang, L.; Lawrence, R.; Frost, A.; Walter, P. eIF2B conformation and assembly state regulate the integrated stress response. eLife 2021, 10, e65703. [Google Scholar] [CrossRef]
- Lee, I.C.; Ho, X.Y.; George, S.E.; Goh, C.W.; Sundaram, J.R.; Pang, K.K.L.; Luo, W.; Yusoff, P.; Sze, N.S.K.; Shenolikar, S. Oxidative stress promotes SIRT1 recruitment to the GADD34/PP1α complex to activate its deacetylase function. Cell Death Differ. 2018, 25, 255–267. [Google Scholar] [CrossRef]
- Boengler, K.; Kosiol, M.; Mayr, M.; Schulz, R.; Rohrbach, S. Mitochondria and ageing: Role in heart, skeletal muscle and adipose tissue. J. Cachexia Sarcopenia Muscle 2017, 8, 349–369. [Google Scholar] [CrossRef]
- Ma, J.; Chen, Q.; Wang, S.; Ma, R.; Jing, J.; Yang, Y.; Feng, Y.; Zou, Z.; Zhang, Y.; Ge, X.; et al. Mitochondria-related miR-574 reduces sperm ATP by targeting ND5 in aging males. Aging 2020, 12, 8321–8338. [Google Scholar] [CrossRef]
- Joseph, A.-M.; Nguyen, L.M.-D.; Welter, A.E.; Dominguez, J.M.; Behnke, B.J.; Adhihetty, P.J. Mitochondrial adaptations evoked with exercise are associated with a reduction in age-induced testicular atrophy in Fischer-344 rats. Biogerontology 2014, 15, 517–534. [Google Scholar] [CrossRef]
- Wang, X.; Jin, L.; Jiang, S.; Wang, D.; Lu, Y.; Zhu, L. Transcription regulation of NRF1 on StAR reduces testosterone synthesis in hypoxemic murine. J. Steroid Biochem. Mol. Biol. 2019, 191, 105370. [Google Scholar] [CrossRef]
- Khawar, M.B.; Liu, C.; Gao, F.; Gao, H.; Liu, W.; Han, T.; Wang, L.; Li, G.; Jiang, H.; Li, W. Sirt1 regulates testosterone biosynthesis in Leydig cells via modulating autophagy. Protein Cell 2021, 12, 67–75. [Google Scholar] [CrossRef]
- Wu, L.; Zhang, A.; Sun, Y.; Zhu, X.; Fan, W.; Lu, X.; Yang, Q.; Feng, Y. Sirt1 exerts anti-inflammatory effects and promotes steroidogenesis in Leydig cells. Fertil. Steril. 2012, 98, 194–199. [Google Scholar] [CrossRef]
- Green, D.R.; Galluzzi, L.; Kroemer, G. Mitochondria and the Autophagy-Inflammation-Cell Death Axis in Organismal Aging. Science 2011, 333, 1109–1112. [Google Scholar] [CrossRef]
- Rubinsztein, D.C.; Mariño, G.; Kroemer, G. Autophagy and Aging. Cell 2011, 146, 682–695. [Google Scholar] [CrossRef] [PubMed]
- Salomon, T.B.; Hackenhaar, F.S.; Almeida, A.C.; Schüller, A.K.; Gil Alabarse, P.V.; Ehrenbrink, G.; Benfato, M.S. Oxidative stress in testis of animals during aging with and without reproductive activity. Exp. Gerontol. 2013, 48, 940–946. [Google Scholar] [CrossRef] [PubMed]
- Cao, L.; Leers-Sucheta, S.; Azhar, S. Aging alters the functional expression of enzymatic and non-enzymatic anti-oxidant defense systems in testicular rat Leydig cells. J. Steroid Biochem. Mol. Biol. 2004, 88, 61–67. [Google Scholar] [CrossRef] [PubMed]
- Vázquez-Memije, M.E.; Capin, R.; Tolosa, A.; El-Hafidi, M. Analysis of age-associated changes in mitochondrial free radical generation by rat testis. Mol. Cell. Biochem. 2008, 307, 23–30. [Google Scholar] [CrossRef]
- Noblanc, A.; Klaassen, A.; Robaire, B. The Exacerbation of Aging and Oxidative Stress in the Epididymis of Sod1 Null Mice. Antioxidants 2020, 9, 151. [Google Scholar] [CrossRef]
- García-Díaz, E.C.; Gómez-Quiroz, L.E.; Arenas-Ríos, E.; Aragón-Martínez, A.; Ibarra-Arias, J.A.; Retana-Márquez, M.D.S.I. Oxidative status in testis and epididymal sperm parameters after acute and chronic stress by cold-water immersion in the adult rat. Syst. Biol. Reprod. Med. 2015, 61, 150–160. [Google Scholar] [CrossRef]
- Honma, T.; Tsuduki, T.; Sugawara, S.; Kitano, Y.; Ito, J.; Kijima, R.; Tsubata, M.; Nakagawa, K.; Miyazawa, T. Aging decreases antioxidant effects and increases lipid peroxidation in the Apolipoprotein E deficient mouse. J. Clin. Biochem. Nutr. 2013, 52, 234–240. [Google Scholar] [CrossRef]
- Rizvi, S.I.; Maurya, P.K. Alterations in antioxidant enzymes during aging in humans. Mol. Biotechnol. 2007, 37, 58–61. [Google Scholar] [CrossRef]
- Santiago, J.; Silva, J.V.; Fardilha, M. First Insights on the Presence of the Unfolded Protein Response in Human Spermatozoa. Int. J. Mol. Sci. 2019, 20, 5518. [Google Scholar] [CrossRef]
- Arrigo, A.-P. Mammalian HspB1 (Hsp27) is a molecular sensor linked to the physiology and environment of the cell. Cell Stress Chaperones 2017, 22, 517–529. [Google Scholar] [CrossRef]
- Silva, J.V.; Freitas, M.J.; Correia, B.R.; Korrodi-Gregório, L.; Patrício, A.; Pelech, S.; Fardilha, M. Profiling signaling proteins in human spermatozoa: Biomarker identification for sperm quality evaluation. Fertil. Steril. 2015, 104, 845–856. [Google Scholar] [CrossRef][Green Version]
- Rogalla, T.; Ehrnsperger, M.; Preville, X.; Kotlyarov, A.; Lutsch, G.; Ducasse, C.; Paul, C.; Wieske, M.; Arrigo, A.-P.; Buchner, J.; et al. Regulation of Hsp27 Oligomerization, Chaperone Function, and Protective Activity against Oxidative Stress/Tumor Necrosis Factor α by Phosphorylation. J. Biol. Chem. 1999, 274, 18947–18956. [Google Scholar] [CrossRef]
- Lelj-Garolla, B.; Mauk, A.G. Self-association and Chaperone Activity of Hsp27 Are Thermally Activated. J. Biol. Chem. 2006, 281, 8169–8174. [Google Scholar] [CrossRef]
- Shashidharamurthy, R.; Koteiche, H.A.; Dong, J.; Mchaourab, H.S. Mechanism of Chaperone Function in Small Heat Shock Proteins. J. Biol. Chem. 2005, 280, 5281–5289. [Google Scholar] [CrossRef]
- Huertas, J.R.; Casuso, R.A.; Agustín, P.H.; Cogliati, S. Stay Fit, Stay Young: Mitochondria in Movement: The Role of Exercise in the New Mitochondrial Paradigm. Oxid. Med. Cell. Longev. 2019, 2019, 7058350. [Google Scholar] [CrossRef]
- Pingitore, A.; Lima, G.P.P.; Mastorci, F.; Quinones, A.; Iervasi, G.; Vassalle, C. Exercise and oxidative stress: Potential effects of antioxidant dietary strategies in sports. Nutrition 2015, 31, 916–922. [Google Scholar] [CrossRef]
- Powers, S.K.; Jackson, M.J. Exercise-Induced Oxidative Stress: Cellular Mechanisms and Impact on Muscle Force Production. Physiol. Rev. 2008, 88, 1243–1276. [Google Scholar] [CrossRef]
- Manna, I.; Jana, K.; Samanta, P.K. Effect of intensive exercise-induced testicular gametogenic and steroidogenic disorders in mature male Wistar strain rats: A correlative approach to oxidative stress. Acta Physiol. Scand. 2003, 178, 33–40. [Google Scholar] [CrossRef]
- Gomes, M.; Freitas, M.J.; Fardilha, M. Physical Activity, Exercise, and Mammalian Testis Function: Emerging Preclinical Protein Biomarker and Integrative Biology Insights. OMICS J. Integr. Biol. 2015, 19, 499–511. [Google Scholar] [CrossRef]
- Nazanin, M.; Tolouei-Azar, J.; Razi, M. Running exercise training-induced impact on oxidative stress and mitochondria-related apoptosis in rat’s testicles. Andrologia 2022, 54, e14520. [Google Scholar] [CrossRef]
- Wang, F.; Yang, J.; Sun, J.; Dong, Y.; Zhao, H.; Shi, H.; Fu, L. Testosterone replacement attenuates mitochondrial damage in a rat model of myocardial infarction. J. Endocrinol. 2015, 225, 101–111. [Google Scholar] [CrossRef]
- Carteri, R.B.; Kopczynski, A.; Rodolphi, M.S.; Strogulski, N.R.; Sartor, M.; Feldmann, M.; De Bastiani, M.A.; Duval Wannmacher, C.M.; de Franceschi, I.D.; Hansel, G.; et al. Testosterone Administration after Traumatic Brain Injury Reduces Mitochondrial Dysfunction and Neurodegeneration. J. Neurotrauma 2019, 36, 2246–2259. [Google Scholar] [CrossRef]
- Pronsato, L.; Milanesi, L.; Vasconsuelo, A. Testosterone induces up-regulation of mitochondrial gene expression in murine C2C12 skeletal muscle cells accompanied by an increase of nuclear respiratory factor-1 and its downstream effectors. Mol. Cell. Endocrinol. 2020, 500, 110631. [Google Scholar] [CrossRef]
- Jankauskaitė, E.; Ambroziak, A.M.; Hajieva, P.; Ołdak, M.; Tońska, K.; Korwin, M.; Bartnik, E.; Kodroń, A. Testosterone increases apoptotic cell death and decreases mitophagy in Leber’s hereditary optic neuropathy cells. J. Appl. Genet. 2020, 61, 195–203. [Google Scholar] [CrossRef]
- Kang, J.; Jia, Z.; Ping, Y.; Liu, Z.; Yan, X.; Xing, G.; Yan, W. Testosterone alleviates mitochondrial ROS accumulation and mitochondria-mediated apoptosis in the gastric mucosa of orchiectomized rats. Arch. Biochem. Biophys. 2018, 649, 53–59. [Google Scholar] [CrossRef]
- Saxton, R.A.; Sabatini, D.M. mTOR Signaling in Growth, Metabolism, and Disease. Cell 2017, 168, 960–976. [Google Scholar] [CrossRef]
- Liu, S.; Huang, L.; Geng, Y.; He, J.; Chen, X.; Xu, H.; Li, R.; Wang, Y.; Ding, Y.; Liu, X. Rapamycin inhibits spermatogenesis by changing the autophagy status through suppressing mechanistic target of rapamycin-p70S6 kinase in male rats. Mol. Med. Rep. 2017, 16, 4029–4037. [Google Scholar] [CrossRef]
- Tsaytler, P.; Bertolotti, A. Exploiting the selectivity of protein phosphatase 1 for pharmacological intervention. FEBS J. 2013, 280, 766–770. [Google Scholar] [CrossRef]
- Boyce, M.; Bryant, K.F.; Jousse, C.; Long, K.; Harding, H.P.; Scheuner, D.; Kaufman, R.J.; Ma, D.; Coen, D.M.; Ron, D.; et al. A Selective Inhibitor of eIF2a Dephosphorylation Protects Cells from ER Stress. Science 2005, 307, 935–939. [Google Scholar] [CrossRef]
- Schindelin, J.; Arganda-Carreras, I.; Frise, E.; Kaynig, V.; Longair, M.; Pietzsch, T.; Preibisch, S.; Rueden, C.; Saalfeld, S.; Schmid, B.; et al. Fiji: An open-source platform for biological-image analysis. Nat. Methods 2012, 9, 676–682. [Google Scholar] [CrossRef]
- Smith, G.D.; Wolf, D.P.; Trautman, K.C.; da Cruz e Silva, E.F.; Greengard, P.; Vijayaraghavan, S. Primate sperm contain protein phosphatase 1, a biochemical mediator of motility. Biol. Reprod. 1996, 54, 719–727. [Google Scholar] [CrossRef] [PubMed]



| Weight | 35 W Sedentary | 35 W Exercised | 61 W Sedentary | 61 W Exercised |
|---|---|---|---|---|
| Animal (g) | 471.728 ± 9.820 | 404.174 ± 4.570 a ** | 543.520 ± 4.420 a ** | 443.401 ± 6.649 b **, c ** |
| Testis (mg) | 1642.875 ± 23.112 | 982.300 ± 48.160 a ** | 1525.000 ± 32.632 a ** | 1173.889 ± 161.089 |
| Testis/body weight (mg/g) | 3.447 ± 0.058 | 2.535 ± 0.170 a ** | 2.831 ± 0.079 a ** | 2.693 ± 0.376 |
| Serum testosterone levels (pg/mL) | 111.624 ± 24.412 | 56.2395 ± 48.690 | 128.428 ± 72.238 | 257.000 ± 99.458 b *, c * |
| Parameter | 61 W Sedentary | 61 W Exercised |
|---|---|---|
| Sperm concentration (×106/mL) | 23.111 ± 1.817 | 18.460 ± 1.738 |
| Sperm morphology | ||
| Normal (%) | 72.480 ± 2.360 | 43.650 ± 3.780 ** |
| DH (%) | 6.700 ± 0.571 | 15.550 ± 4.520 * |
| FH (%) | 1.616 ± 0.233 | 0.926 ± 0.166 |
| PH (%) | 0.067 ± 0.0410 | 0.030 ± 0.028 |
| BN (%) | 8.542 ± 1.930 | 6.845 ± 1.739 |
| TD (%) | 10.630 ± 1.380 | 33.630 ± 3.690 ** |
Publisher’s Note: MDPI stays neutral with regard to jurisdictional claims in published maps and institutional affiliations. |
© 2022 by the authors. Licensee MDPI, Basel, Switzerland. This article is an open access article distributed under the terms and conditions of the Creative Commons Attribution (CC BY) license (https://creativecommons.org/licenses/by/4.0/).
Share and Cite
Silva, J.V.; Santiago, J.; Matos, B.; Henriques, M.C.; Patrício, D.; Martins, A.D.; Duarte, J.A.; Ferreira, R.; Alves, M.G.; Oliveira, P.; et al. Effects of Age and Lifelong Moderate-Intensity Exercise Training on Rats’ Testicular Function. Int. J. Mol. Sci. 2022, 23, 11619. https://doi.org/10.3390/ijms231911619
Silva JV, Santiago J, Matos B, Henriques MC, Patrício D, Martins AD, Duarte JA, Ferreira R, Alves MG, Oliveira P, et al. Effects of Age and Lifelong Moderate-Intensity Exercise Training on Rats’ Testicular Function. International Journal of Molecular Sciences. 2022; 23(19):11619. https://doi.org/10.3390/ijms231911619
Chicago/Turabian StyleSilva, Joana V., Joana Santiago, Bárbara Matos, Magda C. Henriques, Daniela Patrício, Ana D. Martins, José A. Duarte, Rita Ferreira, Marco G. Alves, Paula Oliveira, and et al. 2022. "Effects of Age and Lifelong Moderate-Intensity Exercise Training on Rats’ Testicular Function" International Journal of Molecular Sciences 23, no. 19: 11619. https://doi.org/10.3390/ijms231911619
APA StyleSilva, J. V., Santiago, J., Matos, B., Henriques, M. C., Patrício, D., Martins, A. D., Duarte, J. A., Ferreira, R., Alves, M. G., Oliveira, P., Oliveira, P. F., & Fardilha, M. (2022). Effects of Age and Lifelong Moderate-Intensity Exercise Training on Rats’ Testicular Function. International Journal of Molecular Sciences, 23(19), 11619. https://doi.org/10.3390/ijms231911619

