Functional Characterization of Ubiquitination Genes in the Interaction of Soybean—Heterodera glycines
Abstract
:1. Introduction
2. Results
2.1. Bioinformatics Analysis of GmPUBs
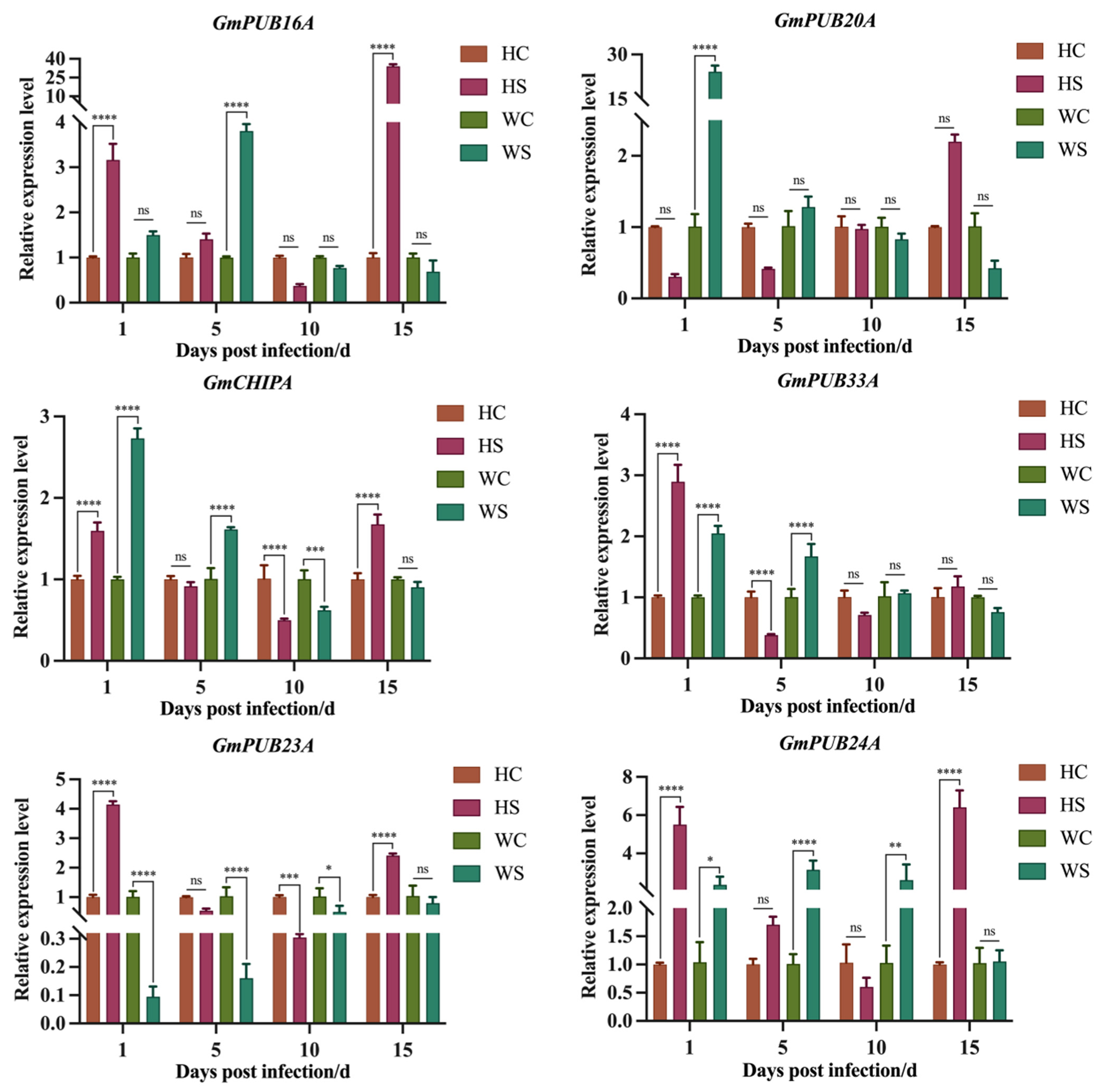
2.2. Expression Pattern Analysis of GmPUB Genes under Nematode Stress
2.3. Cloning of Five GmPUB Genes
2.4. Multiple Sequence Alignment of GmPUBs
2.5. Phylogenetic Analysis of GmPUBs
2.6. Construction of Vectors for Overexpressing and Silencing GmPUBs
2.7. Gene Expression and Biomass Analysis of Hairy Roots
2.8. GmPUBs Regulate Soybean Resistance to SCN in Hairy Roots
3. Discussion
4. Materials and Methods
4.1. Nematode Population, Plant Materials and Growth Condition
4.2. Bioinformatics Analysis of GmPUBs
4.3. Expression Analysis of GmPUBs
4.4. Cloning of 6 GmPUB Genes
4.5. Construction of Vectors for Overexpressing and Silencing GmPUBs
4.6. Transformation Process of Soybean Hairy Roots
4.7. Gene Expression and Biomass Analysis of Hairy Roots
4.8. Investigation of SCN Development in GmPUB-Overexpressing and -Silenced Soybean Hairy Roots
4.9. Statistical Analyses
5. Conclusions
Supplementary Materials
Author Contributions
Funding
Institutional Review Board Statement
Informed Consent Statement
Conflicts of Interest
Abbreviations
| PUB | plant U-box |
| SCN | soybean cyst nematode |
| qRT–PCR | quantitative real-time PCR |
| Dpi | day post-inoculation |
| J2s | second-stage juveniles |
References
- Vierstra, R.D. The ubiquitin-26S proteasome system at the nexus of plant biology. Nat. Rev. Mol. Cell Biol. 2009, 10, 385–397. [Google Scholar] [CrossRef] [PubMed]
- Komander, D.; Rape, M. The ubiquitin code. Annu. Rev. Biochem. 2012, 81, 203–229. [Google Scholar] [CrossRef] [PubMed]
- Kelley, D.R.; Estelle, M. Ubiquitin-mediated control of plant hormone signaling. Plant Physiol. 2012, 160, 47–55. [Google Scholar] [CrossRef]
- Seo, D.H.; Ryu, M.Y.; Jammes, F.; Hwang, J.H.; Turek, M.; Kang, B.G.; Kwak, J.M.; Kim, W.T. Roles of four Arabidopsis U-box E3 ubiquitin ligases in negative regulation of abscisic acid-mediated drought stress responses. Plant Physiol. 2012, 750, 556–568. [Google Scholar] [CrossRef]
- Spoel, S.H.; Mou, Z.; Tada, Y.; Spivey, N.W.; Genschik, P.; Dong, X. Proteasome-mediated turnover of the transcription coactivator NPR1 plays dual roles in regulating plant immunity. Cell 2009, 137, 860–872. [Google Scholar] [CrossRef] [PubMed]
- Sun, Y.; Detchemendy, T.W.; Pajerowska-Mukhtar, K.M.; Mukhtar, M.S. NPR1 in JazzSet with Pathogen Effectors. Trends Plant Sci. 2018, 23, 469–472. [Google Scholar] [CrossRef]
- Wang, H.; Lu, Y.; Jiang, T.; Berg, H.; Li, C.; Xia, Y. The Arabidopsis U-box/ARM repeat E3 ligase AtPUB4 influences growth and degeneration of tapetal cells, and its mutation leads to conditional male sterility. Plant J. Cell Mol. Biol. 2013, 74, 511–523. [Google Scholar] [CrossRef]
- Kinoshita, A.; ten Hove, C.A.; Tabata, R.; Yamada, M.; Shimizu, N.; Ishida, T.; Yamaguchi, K.; Shigenobu, S.; Takebayashi, Y.; Iuchi, S.; et al. A plant U-box protein, PUB4, regulates asymmetric cell division and cell proliferation in the root meristem. Development 2015, 142, 444–453. [Google Scholar] [CrossRef]
- Wang, Y.; Wu, Y.; Yu, B.; Yin, Z.; Xia, Y. Extra-large G proteins interact with E3 ligases PUB4 and PUB2 and function in cytokinin and developmental processes. Plant Physiol. 2017, 173, 1235–1246. [Google Scholar] [CrossRef]
- Lu, D.; Lin, W.; Gao, X.; Wu, S.; Cheng, C.; Avila, J.; Heese, A.; Devarenne, T.P.; He, P.; Shan, L. Direct ubiquitination of pattern recognition receptor FLS2 attenuates plant innate immunity. Science 2011, 332, 1439–1442. [Google Scholar] [CrossRef] [Green Version]
- Lin, Y.C.; Hu, Q.L.; Zhou, J.; Yin, W.X.; Yao, D.Q.; Shao, Y.Y.; Zhao, Y.; Guo, B.D.; Xia, Y.Q.; Chen, Q.; et al. Phytophthora sojae eeffector Avr1d functions as an E2 competitor and inhibits ubiquitination activity of GmPUB13 to facilitate infection. Proc. Natl. Acad. Sci. USA 2021, 118, e2018312118. [Google Scholar] [CrossRef] [PubMed]
- Chinchilla, D.; Bauer, Z.; Regenass, M.; Boller, T.; Felix, G. The Arabidopsis receptor kinase FLS2 binds flg22 and determines the specificity of flagellin perception. Plant Cell 2006, 18, 465–476. [Google Scholar] [CrossRef] [PubMed]
- Trujillo, M.; Ichimura, K.; Casais, C.; Shirasu, K. Negative regulation of PAMP-triggered immunity by an E3 ubiquitin ligase triplet in Arabidopsis. Curr. Biol. CB 2008, 18, 1396–1401. [Google Scholar] [CrossRef] [PubMed]
- Chen, Y.C.; Wong, C.L.; Muzzi, F.; Vlaardingerbroek, I.; Kidd, B.N.; Schenk, P.M. Root defense analysis against Fusarium oxysporum reveals new regulators to confer resistance. Sci. Rep. 2014, 4, 5584. [Google Scholar] [CrossRef] [PubMed]
- Yin, Z.; Chen, J.; Zeng, L.; Goh, M.; Leung, H.; Khush, G.S.; Wang, G.L. Characterizing rice lesion mimic mutants and identifying a mutant with broad-spectrum resistance to rice blast and bacterial blight. Mol. Plant-Microbe Interact. 2000, 13, 869–876. [Google Scholar] [CrossRef]
- Zeng, L.R.; Qu, S.; Bordeos, A.; Yang, C.; Baraoidan, M.; Yan, H.; Xie, Q.; Nahm, B.H.; Leung, H.; Wang, G.L. Spotted leaf11, a negative regulator of plant cell death and defense, encodes a U-box/armadillo repeat protein endowed with E3 ubiquitin ligase activity. Plant Cell 2004, 16, 2795–2808. [Google Scholar] [CrossRef]
- Kojo, K.; Yaeno, T.; Kusumi, K.; Matsumura, H.; Fujisawa, S.; Terauchi, R.; Iba, K. Regulatory mechanisms of ROI generation are affected by rice spl mutations. Plant Cell Physiol. 2006, 47, 1035–1044. [Google Scholar] [CrossRef]
- Vega-Sánchez, M.E.; Zeng, L.; Chen, S.; Leung, H.; Wang, G.L. SPIN1, a K homology domain protein negatively regulated and ubiquitinated by the E3 ubiquitin ligase SPL11, is involved in flowering time control in rice. Plant Cell 2008, 20, 1456–1469. [Google Scholar] [CrossRef]
- Liu, J.; Park, C.H.; He, F.; Nagano, M.; Wang, M.; Bellizzi, M.; Zhang, K.; Zeng, X.; Liu, W.; Ning, Y.; et al. The RhoGAP SPIN6 associates with SPL11 and OsRac1 and negatively regulates programmed cell death and innate immunity in rice. PLoS Pathog. 2015, 11, e1004629. [Google Scholar] [CrossRef]
- Wang, J.L.; Grubb, L.E.; Wang, J.Y.; Liang, X.X.; Li, L.; Gao, C.L.; Ma, M.M.; Feng, F.; Li, M.; Li, L.; et al. A regulatory module controlling homeostasis of a plant immune kinase. Mol. Cell 2018, 69, 493–504.e496. [Google Scholar] [CrossRef] [Green Version]
- Murata, S.; Minami, Y.; Minami, M.; Chiba, T.; Tanaka, K. CHIP is a chaperone dependent E3 ligase that ubiquity lates unfolded protein. EMBO Rep. 2001, 2, 1133–1138. [Google Scholar] [CrossRef] [PubMed]
- Yang, C.W.; González-Lamothe, R.; Ewan, R.A.; Rowland, O.; Yoshioka, H.; Shenton, M.; Ye, H.; O’Donnell, E.; Jones, J.D.G.; Sadanandom, A. The E3 ubiquitin ligase activity of arabidopsis PLANT U-BOX17 and its functional tobacco homolog ACRE276 are required for cell death and defense. Plant Cell 2006, 18, 1084–1098. [Google Scholar] [CrossRef] [PubMed]
- Kobayashi, S.; Tsugama, D.; Liu, S.; Takano, T. An U-Box E3 ubiquitin ligase, PUB20, interacts with the Arabidopsis G-protein β subunit AGB1. PLoS ONE 2012, 7, e49207. [Google Scholar] [CrossRef]
- Wang, N.; Xing, Y.D.; Lou, Q.J.; Feng, P.; Liu, S.; Zhu, M.D.; Yin, W.Z.; Fang, S.R.; Lin, Y.; Zhang, T.Q.; et al. Dwarf and short grain 1, encoding a putative U-box protein regulates cell division and elongation in rice. J. Plant Physiol. 2017, 209, 84–94. [Google Scholar] [CrossRef] [PubMed]
- Ishikawa, K.; Yamaguchi, K.; Sakamoto, K.; Yoshimura, S.; Inoue, K.; Tsuge, S.; Kojima, C.; Kawasaki, T. Bacterial effector modulation of host E3 ligase activity suppresses PAMP-triggered immunity in rice. Nat. Commun. 2014, 5, 5430. [Google Scholar] [CrossRef]
- Zhou, B.; Zeng, L.R. The Tomato U-Box Type E3 Ligase PUB13 Acts with group III ubiquitin E2 enzymes to modulate fls2-mediated immune signaling. Front. Plant Sci. 2018, 9, 615. [Google Scholar] [CrossRef]
- He, Q.; McLelan, H.; Boevink, P.C.; Sadanandom, A.; Xie, C.H.; Birch, P.R.J.; Tian, Z.D. U-box E3 ubiquitin ligase PUB17 acts in the nucleus to promote specific immune pathways triggered by Phytophthora infestans. J. Exp. Bot. 2015, 66, 3189–3199. [Google Scholar] [CrossRef]
- Bos, J.I.B.; Armstrong, M.R.; Gilroy, E.M.; Boevink, P.C.; Hein, I.; Taylor, R.M.; Tian, Z.D.; Engelhardt, S.; Vetukuri, R.R.; Harrower, B.; et al. Phytophthora infestans effector AVR3a is essential for virulence and manipulates plant immunity by stabilizing host E3 ligase CMPG1. Proc. Natl. Acad. Sci. USA 2000, 107, 9909–9914. [Google Scholar] [CrossRef]
- Tian, B.; Wang, S.; Todd, T.C.; Johnson, C.D.; Tang, G.; Trick, H.N. Genome-wide identification of soybean microRNA responsive to soybean cyst nematodes infection by deep sequencing. BMC Genom. 2017, 18, 572. [Google Scholar] [CrossRef]
- Koenning, S.R.; Wrather, J.A. Suppression of Soybean Yield Potential in the Continental United States by Plant Diseases from 2006 to 2009. Plant Health Prog. 2010, 11, 5. [Google Scholar] [CrossRef] [Green Version]
- Wang, H.M.; Zhao, H.H.; Chu, D. Genetic structure analysis of populations of the soybean cyst nematode, Heterodera glycines, from north China. Nematology 2015, 17, 591–600. [Google Scholar] [CrossRef]
- Noon, J.B.; Qi, M.S.; Sill, D.N.; Muppirala, U.; Eves-van den Akker, S.; Maier, T.R.; Dobbs, D.; Mitchum, M.G.; Hewezi, T.; Baum, T.J. A Plasmodium-like virulence effector of the soybean cyst nematode suppresses plant innate immunity. New Phytol. 2016, 212, 444–460. [Google Scholar] [CrossRef] [PubMed]
- Bekal, S.; Domier, L.L.; Gonfa, B.; Lakhssassi, N.; Meksem, K.; Lambert, K.N. A SNARE-like protein and biotin are implicated in soybean cyst nematode virulence. PLoS ONE 2015, 10, e0145601. [Google Scholar] [CrossRef]
- Neupane, S.; Purintun, J.M.; Mathew, F.M.; Varenhorst, A.J.; Nepal, M.P. Molecular Basis of Soybean Resistance to Soybean Aphids and Soybean Cyst Nematodes. Plants 2019, 8, 374. [Google Scholar] [CrossRef] [PubMed]
- Breen, S.; Williams, S.J.; Outram, M.; Kobe, B.; Solomon, P.S. Emerging insights into the functions of pathogenesis-related protein 1. Trends Plant Sci. 2017, 22, 871–879. [Google Scholar] [CrossRef]
- Wang, J.Y.; Yeckel, G.; Kandoth, P.K.; Wasala, L.; Hussey, R.S.; Davis, E.L.; Baum, T.J.; Mitchum, M.G. Targeted suppression of soybean BAG6-induced cell death in yeast by soybean cyst nematode effectors. Mol. Plant Pathol. 2020, 21, 1227–1239. [Google Scholar] [CrossRef]
- Wang, N.; Liu, Y.; Cong, Y.; Wang, T.; Zhong, X.; Yang, S.; Li, Y.; Gai, J.Y. Genome-wide identification of soybean U-box E3 ubiquitin ligases and roles of GmPUB8 in negative regulation of drought stress response in Arabidopsis. Plant Cell Physiol. 2016, 57, 1189–1209. [Google Scholar] [CrossRef] [PubMed]
- Jackson, P.K.; Eldridge, A.G.; Fred, E.; Furstenthal, L.; Hsu, J.Y.; Kaiser, B.K.; Reimann, J.D. The lore of the RINGs: Substrate recognition and catalysis by ubiquitin ligases. Trends Cell Biol. 2000, 10, 429–439. [Google Scholar] [CrossRef]
- Glickman, M.H.; Ciechanover, A. The Ubiquitin-Proteasome Proteolytic Pathway: Destruction for the Sake of Construction. Physiol. Rev. 2002, 82, 373–428. [Google Scholar] [CrossRef]
- Hatakeyama, S.; Yada, M.; Matsumoto, M.; Ishida, N.; Nakayama, K.I. U Box proteins as a new family of ubiquitin-protein ligases. J. Biol. Chem. 2001, 276, 33111–33120. [Google Scholar] [CrossRef] [Green Version]
- Zhang, C.Y.; Song, L.; Choudhary, M.K.; Zhou, B.J.; Sun, G.C.; Broderick, K.; Giesler, L.; Zeng, L.R. Genome-wide analysis of genes encoding core components of the ubiquitin system in soybean (Glycine max) reveals a potential role for ubiquitination in host immunity against soybean cyst nematode. BMC Plant Biol. 2018, 18, 149. [Google Scholar] [CrossRef] [PubMed]
- Hosseini, P.; Matthews, B.F. Regulatory interplay between soybean root and soybean cyst nematode during a resistant and susceptible reaction. BMC Plant Biol. 2014, 14, 300. [Google Scholar] [CrossRef] [PubMed]
- Zhang, H.; Song, B.H. RNA-seq data comparisons of wild soybean genotypes in response to soybean cyst nematode (Heterodera glycines). Genome Data 2017, 14, 36–39. [Google Scholar] [CrossRef] [PubMed]
- Mudgil, Y.; Shiu, S.H.; Stone, S.L.; Salt, J.N.; Goring, D.R. A large complement of the predicted Arabidopsis ARM repeat proteins are members of the U-box E3 ubiquitin ligase family. Plant Physiol. 2004, 134, 59–66. [Google Scholar] [CrossRef]
- Samuel, M.A.; Salt, J.N.; Shiu, S.H.; Goring, D.R. Multifunctional arm repeat domains in plants. Int. Rev. Cytol. 2006, 253, 1–26. [Google Scholar]
- Stone, S.L.; Anderson, E.M.; Mullen, R.T.; Goring, D.R. ARC1 is an E3 ubiquitin ligase and promotes the ubiquitination of proteins during the rejection of self-incompatible Brassica pollen. Plant Cell 2003, 15, 885–898. [Google Scholar] [CrossRef]
- Kim, M.; Cho, H.S.; Kim, D.M.; Lee, J.H.; Pai, H.S. CHRK1, a chitinase-related receptor-like kinase, interacts with NtPUB4 an armadillo repeat protein, in tobacco. Biochim. Biophys. Acta 2003, 1651, 50–59. [Google Scholar] [CrossRef]
- Amador, V.; Monte, E.; García-Martínez, J.L.; Prat, S. Gibberellins signal nuclear import of PHOR1, a photoperiod-responsive protein with homology to Drosophila armadillo. Cell 2001, 106, 343–354. [Google Scholar] [CrossRef]
- Kirsch, C.; Logemann, E.; Lippok, B.; Schmelzer, E.; Hahlbrock, K. A highly specific pathogen-responsive promoter element from the immediate-early activated CMPGI gene in Petroselinum crispum. Plant J. 2001, 26, 217–227. [Google Scholar] [CrossRef]
- Banzai, T.; Hershkovits, G.; Katcoff, D.J.; Hanagata, N.; Dubinsky, Z.; Karube, I. Identification and characterization of mRNA transcripts differentially expressed in response to high salinity by means of differential display in the mangrove, Bruguiera gymnorrhiza. Plant Sci. 2002, 162, 499–505. [Google Scholar] [CrossRef]
- Mazzucotelli, E.; Belloni, S.; Marone, D.; De Leonardis, A.; Guerra, D.; Di Fonzo, N.; Cattivelli, L.; Mastrangelo, A. The E3 ubiquitin ligase gene family in plants: Regulation by degradation. Curr. Genom. 2006, 7, 509–522. [Google Scholar] [CrossRef] [PubMed] [Green Version]
- Hur, Y.J.; Yi, Y.B.; Lee, J.H.; Chung, Y.S.; Jung, H.W.; Yun, D.J.; Kim, K.M.; Park, D.S.; Kim, D.H. Molecular cloning and characterization of OsUPS, a U-box containing E3 ligase gene that respond to phosphate starvation in rice (Oryza sativa). Mol. Biol. Rep. 2012, 39, 5883–5888. [Google Scholar] [CrossRef] [PubMed]
- Cyr, D.M.; Hohfeld, J.; Patterson, C. Protein quality control: U-box-containing E3 ubiquitin ligases join the fold. Trends Biochem. Sci. 2002, 27, 368–375. [Google Scholar] [CrossRef]
- Connell, P.; Ballinger, C.A.; Jiang, J.; Wu, Y.; Thompson, L.J.; Hohfeld, J.; Patterson, C. The co-chaperone CHIP regulates protein triage decisions mediated by heat-shock proteins. Nat. Cell Biol. 2001, 3, 93–96. [Google Scholar] [CrossRef] [PubMed]
- Yan, J.Q.; Wang, J.; Li, Q.T.; Hwang, J.R.; Patterson, C.; Zhang, H. AtCHIP, a U-box-containing E3 ubiquitin ligase, plays a critical role in temperature stress tolerance in Arabidopsis. Plant Physiol. 2003, 132, 861–869. [Google Scholar] [CrossRef]
- Shen, G.X.; Yan, J.Q.; Pasapula, V.; Luo, J.H.; He, C.X.; Clarke, A.K.; Zhang, H. The chloroplast protease subunit ClpP4 is a substrate of the E3 ligase AtCHIP and plays an important role in chloroplast function. Plant J. Cell Mol. Biol. 2007, 49, 228–237. [Google Scholar] [CrossRef] [PubMed]
- Luo, J.H.; Shen, G.X.; Yan, J.Q.; He, C.X.; Zhang, H. AtCHIP functions as an E3 ubiquitin ligase of protein phosphatase 2A subunits and alters plant response to abscisic acid treatment. Plant J. Cell Mol. Biol. 2006, 46, 649–657. [Google Scholar] [CrossRef] [PubMed]
- Stegmann, M.; Anderson, R.G.; Ichimura, K.; Pecenkova, T.; Reuter, P.; Zarsky, V.; McDowell, J.M.; Shirasu, K.; Trujillo, M. The ubiquitin ligase PUB22 targets a subunit of the exocyst complex required for PAMP-triggered responses in Arabidopsis. Plant Cell 2012, 24, 4703–4716. [Google Scholar] [CrossRef]
- Cho, S.K.; Ryu, M.Y.; Song, C.; Kwak, J.M.; Kim, W.T. Arabidopsis PUB22 and PUB23 are homologous U-Box E3 ubiquitin ligases that play combinatory roles in response to drought stress. Plant Cell 2008, 20, 1899–1914. [Google Scholar] [CrossRef]
- Gawehns, F.; Cornelissen, B.J.C.; Takken, F.L.W. The potential of effector-target genes in breeding for plant innate immunity. Microb. Biotechnol. 2013, 6, 223–229. [Google Scholar] [CrossRef]
- Li, S.; Hanlon, R.; Wise, H.; Pal, N.; Brar, H.; Liao, C.Y.; Gao, H.Y.; Perez, E.; Zhou, L.C.; Tyler, B.M.; et al. Interaction of Phytophthora sojae Effector Avr1b with E3 ubiquitin ligase GmPUB1 is required for recognition by soybeans carrying Phytophthora resistance Rps1-b and Rps1-k Genes. Front. Plant Sci. 2021, 12, e725571. [Google Scholar] [CrossRef] [PubMed]
- Mbengue, M.; Camut, S.; de Carvalho-Niebel, F.; Deslandes, L.; Froidure, S.; Klaus-Heisen, D.; Moreau, S.; Rivas, S.; Timmers, T.; Herve, C.; et al. The Medicago truncatula E3 ubiquitin ligase PUB1 interacts with the LYK3 symbiotic receptor and negatively regulates infection and nodulation. Plant Cell 2010, 22, 3474–3488. [Google Scholar] [CrossRef] [PubMed]
- Lei, P.; Qi, N.; Zhou, Y.; Wang, Y.; Zhu, X.; Xuan, Y.; Liu, X.; Fan, H.; Chen, L.; Duan, Y. Soybean miR159-GmMYB33 Regulatory Network Involved in Gibberellin-Modulated Resistance to Heterodera glycines. Int. J. Mol. Sci. 2021, 22, 13172. [Google Scholar] [CrossRef] [PubMed]
- Kereszt, A.; Li, D.; Indrasumunar, A. Agrobacterium rhizogenes-mediated transformation of soybean to study root biology. Nat. Protoc. 2007, 2, 948–952. [Google Scholar] [CrossRef]









| ID | Protein Length (aa) | Molecular Weight (Da) | Theoretical pI |
|---|---|---|---|
| Glyma01g131800 | 702 | 76,147.81 | 7.12 |
| Glyma06g317700 | 807 | 89,644.06 | 7.14 |
| Glyma08g345800 | 461 | 51,427.67 | 8.76 |
| Glyma07g216200 | 654 | 71,514.08 | 7.13 |
| Glyma03g036700 | 488 | 53,949.81 | 5.57 |
| Glyma19g199300 | 419 | 46,769.44 | 8.84 |
| Glyma11g214500 | 435 | 48,243.16 | 7.8 |
| Glyma17g090900 | 676 | 74,288.16 | 8.88 |
| Glyma18g042100 | 431 | 47,580.43 | 7.41 |
| Glyma09g199700 | 800 | 91,665.81 | 6.16 |
| Glyma04g179300 | 525 | 57,492.61 | 6.69 |
| Glyma17g052800 | 760 | 85,495.34 | 5.61 |
| Glyma18g055200 | 841 | 91,179.81 | 5.6 |
| Glyma10g194500 | 1481 | 166,316.78 | 5.49 |
| Glyma11g161500 | 838 | 90,638.29 | 5.55 |
| Glyma10g037500 | 663 | 74,369.1 | 5.65 |
| Glyma18g155200 | 461 | 51,280.61 | 8.75 |
| Glyma01g173800 | 762 | 85,859.94 | 6.23 |
| Glyma18g008300 | 768 | 85,120.94 | 6.11 |
| Glyma18g176400 | 617 | 67,784.83 | 4.99 |
| Glyma07g106000 | 437 | 49,082.93 | 8.47 |
| Glyma03g163900 | 856 | 94,847.76 | 7.53 |
| Glyma18g300300 | 1089 | 122,436.52 | 6.29 |
| GlymaU008400 | 207 | 23,646.88 | 4.7 |
| Glyma11g069300 | 761 | 85,318.37 | 5.98 |
| Glyma07g052900 | 1006 | 112,155.25 | 5.69 |
| Glyma03g088400 | 278 | 31,631.97 | 5.25 |
| Glyma15g038600 | 817 | 91,927.31 | 6.5 |
| Glyma07g214300 | 414 | 45,136.29 | 7.11 |
| Glyma01g195200 | 449 | 49,000.23 | 5.73 |
| Glyma05g146300 | 764 | 84,505.61 | 5.15 |
| Glyma20g160900 | 738 | 83993.49 | 5.56 |
| Glyma06g132100 | 1007 | 112,597.01 | 6.57 |
| Glyma10g179500 | 1014 | 112,389.33 | 5.5 |
| Glyma09g172100 | 438 | 49,150.02 | 7.48 |
| Glyma02g234300 | 813 | 88,446.46 | 5.48 |
| Glyma13g312800 | 422 | 47,506.5 | 8.75 |
| GlymaU009600 | 417 | 46,784.76 | 9.02 |
| Glyma13g312700 | 403 | 45,151.96 | 8.94 |
| Glyma16g170300 | 414 | 44,685.01 | 8.61 |
| Glyma04g212300 | 393 | 44,075.61 | 7.17 |
| Glyma06g151200 | 417 | 45,549.14 | 8.68 |
| Glyma04g121100 | 810 | 90,253.97 | 7.02 |
| Glyma11g046500 | 514 | 56,194.04 | 6.19 |
| Glyma02g264200 | 682 | 74,758.43 | 6.28 |
| Glyma03g202600 | 420 | 46,866.57 | 8.78 |
| Glyma02g034200 | 713 | 79,524.84 | 8.38 |
| Glyma10g262600 | 419 | 46,727.2 | 8.67 |
| Glyma02g195900 | 418 | 45,950.59 | 7.99 |
| Glyma12g188900 | 427 | 48,136.26 | 9.11 |
Publisher’s Note: MDPI stays neutral with regard to jurisdictional claims in published maps and institutional affiliations. |
© 2022 by the authors. Licensee MDPI, Basel, Switzerland. This article is an open access article distributed under the terms and conditions of the Creative Commons Attribution (CC BY) license (https://creativecommons.org/licenses/by/4.0/).
Share and Cite
Qi, N.; Yan, J.; Lei, P.; Zhu, X.; Liu, X.; Xuan, Y.; Fan, H.; Wang, Y.; Chen, L.; Duan, Y. Functional Characterization of Ubiquitination Genes in the Interaction of Soybean—Heterodera glycines. Int. J. Mol. Sci. 2022, 23, 10771. https://doi.org/10.3390/ijms231810771
Qi N, Yan J, Lei P, Zhu X, Liu X, Xuan Y, Fan H, Wang Y, Chen L, Duan Y. Functional Characterization of Ubiquitination Genes in the Interaction of Soybean—Heterodera glycines. International Journal of Molecular Sciences. 2022; 23(18):10771. https://doi.org/10.3390/ijms231810771
Chicago/Turabian StyleQi, Nawei, Jichen Yan, Piao Lei, Xiaofeng Zhu, Xiaoyu Liu, Yuanhu Xuan, Haiyan Fan, Yuanyuan Wang, Lijie Chen, and Yuxi Duan. 2022. "Functional Characterization of Ubiquitination Genes in the Interaction of Soybean—Heterodera glycines" International Journal of Molecular Sciences 23, no. 18: 10771. https://doi.org/10.3390/ijms231810771
APA StyleQi, N., Yan, J., Lei, P., Zhu, X., Liu, X., Xuan, Y., Fan, H., Wang, Y., Chen, L., & Duan, Y. (2022). Functional Characterization of Ubiquitination Genes in the Interaction of Soybean—Heterodera glycines. International Journal of Molecular Sciences, 23(18), 10771. https://doi.org/10.3390/ijms231810771

