Efficient Adsorption-Photocatalytic Removal of Tetracycline Hydrochloride over Octahedral MnS
Abstract
:1. Introduction
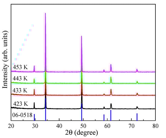
2. Results and Discussion
3. Materials and Methods
3.1. Preparation of MnS
3.2. Photocatalytic Experiment
4. Conclusions
Supplementary Materials
Author Contributions
Funding
Institutional Review Board Statement
Informed Consent Statement
Data Availability Statement
Conflicts of Interest
References
- Liao, Q.; Rong, H.; Zhao, M.; Luo, H.; Chu, Z.; Wang, R. Interaction between tetracycline and microorganisms during wastewater treatment: A review. Sci. Total Environ. 2021, 757, 143981. [Google Scholar] [CrossRef] [PubMed]
- Yang, X.; Chen, Z.; Zhao, W.; Liu, C.; Qian, X.; Zhang, M.; Wei, G.; Khan, E.; Ng, Y.H.; Ok, Y.S. Recent advances in photodegradation of antibiotic residues in water. Chem. Eng. J. 2021, 405, 126806. [Google Scholar] [CrossRef] [PubMed]
- Huang, M.; Zhang, W.; Liu, C.; Hu, H. Fate of trace tetracycline with resistant bacteria and resistance genes in an improved AAO wastewater treatment plant. Process. Saf. Environ. Prot. 2015, 932015, 68–74. [Google Scholar] [CrossRef]
- Huang, H.; Zeng, S.; Dong, X.; Li, D.; Zhang, Y.; He, M.; Du, P. Diverse and abundant antibiotics and antibiotic resistance genes in an urban water system. J. Environ. Manag. 2019, 231, 494–503. [Google Scholar] [CrossRef]
- Yang, Z.; Zhao, Z.; Yang, X.; Ren, Z. Xanthate modified magnetic activated carbon for efficient removal of cationic dyes and tetracycline hydrochloride from aqueous solutions. Colloids Surf. A Physicochem. Eng. Asp. 2021, 615, 126273. [Google Scholar] [CrossRef]
- Scaria, J.; Anupama, K.V.; Nidheesh, P.V. Tetracyclines in the environment: An overview on the occurrence, fate, toxicity, detection, removal methods, and sludge management. Sci. Total Environ. 2021, 771, 145291. [Google Scholar] [CrossRef]
- Zhang, J.; Lin, H.; Ma, J.; Sun, W.; Yang, Y.; Zhang, X. Compost-bulking agents reduce the reservoir of antibiotics and antibiotic resistance genes in manures by modifying bacterial microbiota. Sci. Total Environ. 2019, 649, 396–404. [Google Scholar] [CrossRef]
- Chen, Y.; Liu, J.; Zeng, Q.; Liang, Z.; Ye, X.; Lv, Y.; Liu, M. Preparation of Eucommia ulmoides lignin-based high-performance biochar containing sulfonic group: Synergistic pyrolysis mechanism and tetracycline hydrochloride adsorption. Bioresour. Technol. 2021, 329, 124856. [Google Scholar] [CrossRef]
- Ghorbani, M.; Mahmoodzadeh, F.; Maroufi, L.Y.; Nezhad-Mokhtari, P. Electrospun tetracycline hydrochloride loaded zein/gum tragacanth/poly lactic acid nanofibers for biomedical application. Int. J. Biol. Macromol. 2020, 165, 1312–1322. [Google Scholar] [CrossRef]
- Yahya, M.S.; Oturan, N.; el Kacemi, K.; el Karbane, M.; Aravindakumar, C.; Oturan, M.A. Oxidative degradation study on antimicrobial agent ciprofloxacin by electro-Fenton process: Kinetics and oxidation products. Chemosphere 2014, 117, 447–454. [Google Scholar] [CrossRef]
- Sullivan, B.A.; Vance, C.C.; Gentry, T.J.; Karthikeyan, R. Effects of chlorination and ultraviolet light on environmental tetracycline-resistant bacteria and tet(W) in water. J. Environ. Chem. Eng. 2017, 5, 777–784. [Google Scholar] [CrossRef]
- Su, Y.; Wang, X.; Dong, S.; Fu, S.; Zhou, D.; Rittmann, B.E. Towards a simultaneous combination of ozonation and biodegradation for enhancing tetracycline decomposition and toxicity elimination. Bioresour. Technol. 2020, 304, 123009. [Google Scholar] [CrossRef] [PubMed]
- Peng, H.; Li, Y.; Wen, J.; Zheng, X. Synthesis of ZnFe2O4/B,N-codoped biochar via microwave-assisted pyrolysis for enhancing adsorption-photocatalytic elimination of tetracycline hydrochloride. Ind. Crops Prod. 2021, 172, 114066. [Google Scholar] [CrossRef]
- Zheng, X.; Gou, Y.; Peng, H.; Mao, Y.; Wen, J. Nonthermal plasma sulfurized CuInS2/S-doped MgO nanosheets for efficient solar-light photocatalytic degradation of tetracycline. Colloids Surf. A Physicochem. Eng. Asp. 2021, 625, 126900. [Google Scholar] [CrossRef]
- Wu, H.; Liu, X.; Wen, J.; Liu, Y.; Zheng, X. Rare-earth oxides modified Mg-Al layered double oxides for the enhanced adsorption-photocatalytic activity. Colloids Surf. A Physicochem. Eng. Asp. 2021, 610, 125933. [Google Scholar] [CrossRef]
- Abbasi, M.A.; Amin, K.M.; Ali, M.; Ali, Z.; Atif, M.; Ensinger, W.; Khalid, W. Synergetic effect of adsorption-photocatalysis by GO−CeO2 nanocomposites for photodegradation of doxorubicin. J. Environ. Chem. Eng. 2022, 10, 107078. [Google Scholar] [CrossRef]
- Usman, M.; Zeb, Z.; Ullah, H.; Suliman, M.H.; Humayun, M.; Ullah, L.; Shah, S.N.A.; Ahmed, U.; Saeed, M. A review of metal-organic frameworks/graphitic carbon nitride composites for solar-driven green H2 production, CO2 reduction, and water purification. J. Environ. Chem. Eng. 2022, 10, 107548. [Google Scholar] [CrossRef]
- Chinnathambi, A. Synthesis and characterization of spinel FeV2O4 coupled ZnO nanoplates for boosted white light photocatalysis and antibacterial applications. J. Alloys Compd. 2022, 890, 161742. [Google Scholar] [CrossRef]
- Rafieenia, R.; Sulonen, M.; Mahmoud, M.; El-Gohary, F.; Rossa, C.A. Systems and photocatalysis for sustainable treatment of organic recalcitrant wastewaters: Main mechanisms, recent advances, and present prospects. Sci. Total Environ. 2022, 824, 153923. [Google Scholar] [CrossRef]
- Motamedi, M.; Yerushalmi, L.; Haghighat, F.; Chen, Z. Recent developments in photocatalysis of industrial effluents: A review and example of phenolic compounds degradation. Chemosphere 2022, 296, 133688. [Google Scholar] [CrossRef]
- Wang, F.; Liu, D.; Wen, J.; Zheng, X. In-situ sulfurized In2S3/MoO3@MoS2 heterojunction for visible light induced CO2 photoreduction. J. Environ. Chem. Eng. 2021, 9, 106042. [Google Scholar] [CrossRef]
- Girginer, B.; Galli, G.; Chiellini, E.; Bicak, N. Preparation of stable CdS nanoparticles in aqueous medium and their hydrogen generation efficiencies in photolysis of water. Int. J. Hydrogen Energy 2009, 34, 1176–1184. [Google Scholar] [CrossRef]
- Zheng, X.; Liu, D.; Wen, J.; Lv, S. Nonthermal plasma-vulcanized flower-like ZnS/Zn-Al composites from Zn-Al layered double hydroxides for the adsorption-photo-reduction of Cr(VI). Sep. Purif. Technol. 2021, 275, 117934. [Google Scholar] [CrossRef]
- Zheng, X.; Fu, W.; Peng, H.; Wen, J. Preparation and characterization of CuxZn1-xS nanodisks for the efficient visible light photocatalytic activity. J. Environ. Chem. Eng. 2018, 6, 9–18. [Google Scholar] [CrossRef]
- Cui, H.; Dong, S.; Wang, K.; Luan, M.; Huang, T. Synthesis of a novel Type-II In2S3/Bi2MoO6 heterojunction photocatalyst: Excellent photocatalytic performance and degradation mechanism for Rhodamine B. Sep. Purif. Technol. 2021, 255, 117758. [Google Scholar] [CrossRef]
- Xue, C.; Li, H.; An, H.; Yang, B.; Wei, J.; Yang, G. NiSx quantum dots accelerate electron transfer in Cd0.8Zn0.2S photocatalytic system via an rGO nanosheet “Bridge” toward visible-light-driven hydrogen evolution. ACS Catal. 2018, 8, 1532–1545. [Google Scholar] [CrossRef]
- Zheng, X.; Zhou, Y.; Peng, H.; Wen, J.; Liu, Y. Efficient solar-light photocatalytic activity of FeS/S-doped MgO composites for tetracycline removal. Colloids Surf. A Physicochem. Eng. Asp. 2021, 626, 127123. [Google Scholar] [CrossRef]
- Lee, J.H.; Lee, Y.; Bathula, C.; Kadam, A.N.; Lee, S.-W. Ag–Ag2S–CdS plasmonic nanohybrid for rapid photodegradation of organic pollutant by solar light. Chemosphere 2022, 296, 133973. [Google Scholar] [CrossRef]
- Sprincean, V.; Lupan, O.; Caraman, I.; Untila, D.; Postica, V.; Cojocaru, A.; Gapeeva, A.; Palachi, L.; Adeling, R.; Tiginyanu, I.; et al. Crystallinity and optical properties of β-Ga2O3/Ga2S3 layered structure obtained by thermal annealing of Ga2S3 semiconductor. Mater. Sci. Semicond. Proces. 2021, 121, 105314. [Google Scholar] [CrossRef]
- Zheng, X.; Liu, T.; Wen, J.; Liu, X. Flower-like Bi2S3-In2S3 heterojunction for efficient solar light induced photoreduction of Cr(VI). Chemosphere 2021, 278, 130422. [Google Scholar] [CrossRef]
- Qi, Y.; Fan, Y.; Liu, T.; Zheng, X. Flower-like hierarchical ZnS-Ga2S3 heterojunction for the adsorption-photo-reduction of Cr(VI). Chemosphere 2020, 261, 127824. [Google Scholar] [CrossRef] [PubMed]
- Xiong, M.; Qin, Y.; Chai, B.; Yan, J.; Fan, G.; Xu, F.; Wang, C.; Song, G. Unveiling the role of Mn-Cd-S solid solution and MnS in MnxCd1-xS photocatalysts and decorating with CoP nanoplates for enhanced photocatalytic H2 evolution. Chem. Eng. J. 2022, 428, 131069. [Google Scholar] [CrossRef]
- Li, L.; Liu, G.; Qi, S.; Liu, X.; Gu, L.; Lou, Y.; Chen, J.; Zhao, Y. Highly efficient colloidal MnxCd1-xS nanorod solid solution for photocatalytic hydrogen generation. J. Mater. Chem. A 2018, 6, 23683. [Google Scholar] [CrossRef]
- Liu, X.; Liang, X.; Wang, P.; Huang, B.; Qin, X.; Zhang, X.; Dai, Y. Highly efficient and noble metal-free NiS modified MnxCd1-xS solid solutions with enhanced photocatalytic activity for hydrogen evolution under visible light irradiation. Appl. Catal. B Environ. 2017, 203, 283–288. [Google Scholar] [CrossRef]
- Han, Y.; Dong, X.; Liang, Z. Synthesis of MnxCd1−xS nanorods and modification with CuS for extraordinarily superior photocatalytic H2 production. Catal. Sci. Technol. 2019, 9, 1427–1436. [Google Scholar] [CrossRef]
- Dan, M.; Wei, S.; Doromkin, D.E.; Li, Y.; Zhao, Z.; Yu, S.; Grunwaldt, J.D.; Lin, Y.; Zhou, Y. Novel MnS/(InxCu1−x)2S3 composite for robust solar hydrogen sulphide splitting via the synergy of solid solution and heterojunction. Appl. Catal. B Environ. 2019, 243, 790–800. [Google Scholar] [CrossRef]
- Li, Y.; Yu, S.; Doronkin, D.E.; Wei, S.; Dan, M.; Wu, F.; Ye, L.; Grunwaldt, J.D.; Zhou, Y. Highly dispersed PdSpreferably anchored on In2S3 of MnS/In2S3 composite for effective and stable hydrogen production from H2S. J. Catal. 2019, 373, 48–57. [Google Scholar] [CrossRef]
- Chang, C.-J.; Teng, M.-C.; Chen, J.; Lin, Y.-G.; Chen, C.-Y. Microwave solvothermal synthesis of cubic MnS@Ag2S core-shell photocatalysts with improved charge separation and photocatalytic activity. Appl. Surf. Sci. 2021, 558, 149875. [Google Scholar] [CrossRef]
- Zhang, Y.; Fu, J.; Zhao, H.; Jiang, R.; Tian, F.; Zhang, R. Tremella-like Ni3S2/MnS with ultrathin nanosheets and abundant oxygen vacancies directly used for high speed overall water splitting. Appl. Catal. B Environ. 2019, 257, 117899. [Google Scholar] [CrossRef]
- An, S.; Gao, Q.; Zhang, X.; Li, X.; Duan, L.; Lü, W. Introducing of MnS passivation layer on TiO2 mesoporous film for improving performance of quantum dot sensitized solar cells. J. Alloys Compd. 2019, 799, 351–359. [Google Scholar] [CrossRef]
- Wang, J.; Zhang, Y.; Wang, X.; Su, W. Simultaneous enhancements in photoactivity and anti-photocorrosion of Z-scheme Mn0.25Cd0.75S/WO3 for solar water splitting. Appl. Catal. B Environ. 2019, 268, 118444. [Google Scholar] [CrossRef]
- Peng, H.; Du, Y.; Zheng, X.; Wen, J. High-temperature sulfurized synthesis of MnxCd1-xS composites for enhancing solar-light driven H2 evolution. Int. J. Hydrog. Energy 2022, 47, 9925–9933. [Google Scholar] [CrossRef]
- Peng, H.; Huang, C.; Zheng, X.; Wen, J. Efficient solar-light photocatalytic H2 evolution of Mn0.5Cd0.5S coupling with S,N-codoped carbon. J. Ind. Eng. Chem. 2022, 106, 225–232. [Google Scholar] [CrossRef]
- Peng, H.; Du, Y.; Zheng, X.; Wen, J. High-temperature sulfurized synthesis of MnxCd1−xS/S-kaolin composites for efficient solar-light driven H2 evolution. Colloids Surf. A Physicochem. Eng. Asp. 2022, 632, 127772. [Google Scholar] [CrossRef]
- Zhao, P.; Zeng, Q.; He, X.; Tang, H.; Huang, K. Preparation of γ-MnS hollow spheres consisting of cones by a hydrothermal method. J. Cryst. Growth 2008, 310, 4268–4272. [Google Scholar] [CrossRef]
- Liu, L.; Dai, K.; Zhang, J.; Li, L. Plasmonic Bi-enhanced ammoniated α-MnS/Bi2MoO6 S-scheme heterostructure for visible-light-driven CO2 reduction. J. Colloid Interf. Sci. 2021, 604, 844–855. [Google Scholar] [CrossRef]
- Chen, X.; Zhang, J.; Zeng, J.; Shi, Y.; Lin, S.; Huang, G.; Wang, H.; Kong, Z.; Xi, J.; Ji, Z. MnS coupled with ultrathin MoS2 nanolayers as heterojunction photocatalyst for high photocatalytic and photoelectrochemical activities. J. Alloys Compd. 2019, 771, 364–372. [Google Scholar] [CrossRef]
- Swathi, S.; Yuvakkumar, R.; Kumar, P.S.; Ravi, G.; Velauthapillai, D. Hydrothermally synthesized α-MnS nanostructures for electrochemical water oxidation and photocatalytic hydrogen production. Fuel 2021, 303, 121293. [Google Scholar] [CrossRef]
- Qi, K.; Selvaraj, R.; Fahdi, T.A.; Al-Kindy, S.; Kim, Y.; Tai, C.-W.; Sillanpää, M. Hierarchical α-MnS microspheres: Solvothermal synthesis and growth mechanism. Mater. Lett. 2016, 166, 116–120. [Google Scholar] [CrossRef]
- Zhang, L.; Zhou, L.; Wu, H.B.; Wu, R.; Lou, X.W. Unusual formation of single-crystal manganese sulfide microboxes Co-mediated by the cubic crystal structure and shape. Angew. Chem. 2012, 124, 7379. [Google Scholar] [CrossRef]
- Yu, J.G.; Tang, H. Solvothermal synthesis of novel flower-like manganese sulfide particles. J. Phys. Chem. Solids 2008, 69, 1342. [Google Scholar] [CrossRef]
- Zhang, C.; Tao, F.; Liu, G.; Yao, L.; Cai, W. Hydrothermal synthesis of oriented MnS nanorods on anodized aluminum oxide template. Mater. Lett. 2008, 62, 246–248. [Google Scholar] [CrossRef]
- Ma, W.; Chen, G.; Zhang, D.; Zhu, J.; Qiu, G.; Liu, X. Shape-controlled synthesis and properties of dandelion-like manganese sulfide hollow spheres. Mater. Res. Bull. 2012, 47, 2182. [Google Scholar] [CrossRef]
- Yang, X.; Wang, Y.; Sui, Y.; Huang, X.; Cui, T.; Wang, C.; Liu, B.; Zou, G.; Zou, B. Size-controlled synthesis of bifunctional magnetic and ultraviolet optical rock-salt MnSnanocube superlattices. Langmuir 2012, 28, 17811. [Google Scholar] [CrossRef]
- Liu, Y.; Qiao, Y.; Zhang, W.; Li, Z.; Hu, X.; Yuan, L.; Huang, Y. Coral-like α-MnS composites with N-doped carbon as anode materials for high-performance lithium-ion batteries. J. Mater. Chem. 2012, 22, 24026. [Google Scholar] [CrossRef]
- Tian, Q.; Tang, M.; Jiang, F.; Liu, Y.; Wu, J.; Zou, R.; Sun, Y.; Chen, Z.; Li, R.; Hu, J. Large-scaled star-shaped α-MnS nanocrystals with novel magnetic properties. Chem. Commun. 2011, 47, 8100. [Google Scholar] [CrossRef]
- Yang, X.; Wang, Y.; Wang, K.; Sui, Y.; Zhang, M.; Li, B.; Ma, Y.; Liu, B.; Zou, G.; Zou, B. Polymorphism and formation mechanism of nanobipods in manganese sulfide nanocrystals induced by temperature or pressure. J. Phys. Chem. C 2012, 116, 3292. [Google Scholar] [CrossRef]
- Qi, K.; Selvaraj, R.; Jeong, U.; Al-kindy, S.M.Z.; Sillanpää, M.; Kim, Y.; Tai, C. Hierarchical-like multipod γ-MnS microcrystals: Solvothermal synthesis, characterization and growth mechanism. RSC Adv. 2015, 5, 9618–9620. [Google Scholar] [CrossRef]
- Zhang, J.; Cheng, C.; Xing, F.; Chen, C.; Huang, C. 0D β-Ni(OH)2 nanoparticles/1D Mn0.3Cd0.7S nanorods with rich S vacancies for improved photocatalytic H2 production. Chem. Eng. J. 2021, 414, 129157. [Google Scholar] [CrossRef]
- Xiong, W.; Zeng, G.; Yang, Z.; Zhou, Y.; Zhang, C.; Cheng, M.; Liu, Y.; Hu, L.; Wan, J.; Zhou, C. Adsorption of tetracycline antibiotics from aqueous solutions on nanocomposite multi-walled carbon nanotube functionalized MIL-53(Fe) as new adsorbent. Sci. Total Environ. 2018, 627, 235–244. [Google Scholar] [CrossRef]
- Lu, D.; Chen, Z.; Yang, Q.; Han, S. Efficient novel FeOCl/C with high singlet oxygen generation for TCH degradation. Chem. Phys. Lett. 2022, 800, 139664. [Google Scholar] [CrossRef]
- Yu, Y.; An, Q.; Jin, L.; Luo, N.; Li, Z.; Jiang, J. Unraveling sorption of Cr (VI) from aqueous solution by FeCl3 and ZnCl2-modified corn stalks biochar: Implicit mechanism and application. Bioresour. Technol. 2020, 297, 122466. [Google Scholar] [CrossRef] [PubMed]
- Zulfiqar, M.; Sufian, S.; Rabat, N.E.; Mansor, N. Enhancement of adsorption and photocatalytic activities of alkaline-based TiO2 nanotubes for experimental and theoretical investigation under FeCl3 and H2O2. J. Water Process Eng. 2021, 39, 101715. [Google Scholar] [CrossRef]
- Zulfiqar, M.; Sufian, S.; Rabat, N.E.; Mansor, N. Photocatalytic degradation and adsorption of phenol by solvent-controlled TiO2 nanosheets assisted with H2O2 and FeCl3: Kinetic, isotherm and thermodynamic analysis. J. Mol. Liq. 2020, 308, 112941. [Google Scholar] [CrossRef]
- Syed, A.; Marraiki, N.; Al-Rashed, S.; Elgorban, A.; Yassin, M. A potent multifunctional MnS/Ag-polyvinylpyrrolidone nanocomposite for enhanced detection of Hg2+ from aqueous samples and its photocatalytic and antibacterial applications. Spectrochim. Acta A 2021, 244, 118844. [Google Scholar] [CrossRef]
- Niu, Z.; Tao, X.; Huang, H.; Qin, X.; Ren, C.; Wang, Y.; Shan, B.; Liu, Y. Green synthesis of magnetically recyclable Mn0.6Zn0.4Fe2O4@Zn1-xMnxS composites from spent batteries for visible light photocatalytic degradation of phenol. Chemosphere 2022, 287, 132238. [Google Scholar] [CrossRef]
- Dai, T.; Yuan, Z.; Meng, Y.; Xie, B.; Ni, Z.; Xia, S. Performance and mechanism of photocatalytic degradation of tetracycline by Z–scheme heterojunction of CdS@LDHs. Appl. Clay Sci. 2021, 212, 106210. [Google Scholar] [CrossRef]
- Chen, W.; Huang, J.; He, Z.; Ji, X.; Zhang, Y.; Sun, H.; Wang, K.; Su, Z. Accelerated photocatalytic degradation of tetracycline hydrochloride over CuAl2O4/g-C3N4 p-n heterojunctions under visible light irradiation. Sep. Purif. Technol. 2021, 277, 119461. [Google Scholar] [CrossRef]
- Zhou, J.; Cheng, H.; Ma, J.; Peng, M.; Kong, Y.; Komarneni, S. Persulfate activation by MnCuS nanocomposites for degradation of organic pollutants. Sep. Purif. Technol. 2021, 261, 118290. [Google Scholar] [CrossRef]
- Guo, J.; Wang, L.; Wei, X.; Alothman, Z.; Albaqami, M.; Malgras, V.; Yamauchi, Y.; Kang, Y.; Wang, M.; Guan, W.; et al. Direct Z-scheme CuInS2/Bi2MoO6 heterostructure for enhanced photocatalytic degradation of tetracycline under visible light. J. Hazard. Mater. 2021, 415, 125591. [Google Scholar] [CrossRef]
- Han, W.; Wu, T.; Wu, Q. Fabrication of WO3/Bi2MoO6 heterostructures with efficient and highly selective photocatalytic degradation of tetracycline hydrochloride. J. Colloid Interf. Sci. 2021, 602, 544–552. [Google Scholar] [CrossRef] [PubMed]
- Demircivi, P.; Gulen, B.; Simsek, E.B.; Berek, D. Enhanced photocatalytic degradation of tetracycline using hydrothermally synthesized carbon fiber decorated BaTiO3. Mater. Chem. Phys. 2020, 241, 122236. [Google Scholar] [CrossRef]
- Divakaran, K.; Baishnisha, A.; Balakuma, V.; Perumal, K.; Meenakshi, C.; Kannan, R. Photocatalytic degradation of tetracycline under visible light using TiO2@sulfur doped carbon nitride nanocomposite synthesized via in-situ method. J. Environ. Chem. Eng. 2021, 9, 105560. [Google Scholar] [CrossRef]









Publisher’s Note: MDPI stays neutral with regard to jurisdictional claims in published maps and institutional affiliations. |
© 2022 by the authors. Licensee MDPI, Basel, Switzerland. This article is an open access article distributed under the terms and conditions of the Creative Commons Attribution (CC BY) license (https://creativecommons.org/licenses/by/4.0/).
Share and Cite
Guo, J.; Liu, T.; Peng, H.; Zheng, X. Efficient Adsorption-Photocatalytic Removal of Tetracycline Hydrochloride over Octahedral MnS. Int. J. Mol. Sci. 2022, 23, 9343. https://doi.org/10.3390/ijms23169343
Guo J, Liu T, Peng H, Zheng X. Efficient Adsorption-Photocatalytic Removal of Tetracycline Hydrochloride over Octahedral MnS. International Journal of Molecular Sciences. 2022; 23(16):9343. https://doi.org/10.3390/ijms23169343
Chicago/Turabian StyleGuo, Jing, Tingting Liu, Hao Peng, and Xiaogang Zheng. 2022. "Efficient Adsorption-Photocatalytic Removal of Tetracycline Hydrochloride over Octahedral MnS" International Journal of Molecular Sciences 23, no. 16: 9343. https://doi.org/10.3390/ijms23169343
APA StyleGuo, J., Liu, T., Peng, H., & Zheng, X. (2022). Efficient Adsorption-Photocatalytic Removal of Tetracycline Hydrochloride over Octahedral MnS. International Journal of Molecular Sciences, 23(16), 9343. https://doi.org/10.3390/ijms23169343

