Abstract
Faba beans are a promising emerging plant-based protein source to be used as a quality alternative to peas and soy. In this study, the potential health beneficial activities of three Canadian faba bean varieties (Fabelle, Malik and Snowbird) were investigated after in vitro gastrointestinal digestion and compared to two commonly used legumes (peas and soy). The results revealed that the faba beans had a higher antioxidant activity than peas when assessed with the 2,2-diphenyl-1-picrylhydrazyl (DPPH) and the 2,2′-azino-bis(3-ethylbenzothiazoline-6-sulfonic acid (ABTS) assays, except for the Fabelle variety. In the oxygen radical absorbance capacity (ORAC) and the iron chelating assays, the faba beans had a lower antioxidant activity than soy. Interestingly, Fabelle and Snowbird showed a higher antioxidant effect than the peas and soy at the cellular level. The antihypertensive properties of Fabelle and Malik varieties were significantly higher than peas but lower than soy. The in vitro antidiabetic activity was higher for soy, but no differences were found at the cellular level. The faba bean peptides were further fractionated and sequenced by mass spectrometry. Eleven peptides with in silico predicted bioactivities were successfully identified in the faba bean digestate and support validating the health-promoting properties of peptides. The results demonstrate the bioactive potential of faba beans as a health-promoting food ingredient against non-communicable diseases.
1. Introduction
The demand for plant-based protein sources keeps increasing to respond to environmental, ethical, health, economic and food security challenges. In these circumstances, faba beans have retained attention, due to various desirable environmental, agronomic and nutritional characteristics [1]. Indeed, faba bean production has largely increased in the last few years, from 4.5 million tons in 2014 to 5.7 million tons in 2020 [2]. Faba beans have a high protein content (~30%) [3] and are a rich source of fiber, resistant starch, minerals and vitamins [4]. Besides, novel cultivars with a low anti-nutrient content (vicine/convicine and tannins) are available [5,6], which further improves its nutritional value and application potential.
Faba beans are also a rich source of bioactive compounds, namely dietary fibers [7,8], L-DOPA [9,10] and polyphenols [11,12], that have been associated with health benefits. The faba bean proteins could also play an important role for their health-promoting activities, by releasing small bioactive peptides after gastrointestinal digestion. The food-derived bioactive peptides possess various bio-functional capacities and can intervene in various physiological processes [13]. Their bioactive properties are beneficial in fighting against non-communicable diseases, including type II diabetes, hypertension, obesity and cancer, among others [14,15,16]. The faba bean protein hydrolysates have antioxidant [15,17,18,19,20], antidiabetic [17], antihypertensive [17], cholesterol-lowering [15,18], anticancer [15], anti-inflammatory [19] and food intake regulation properties [21] identified to date. However, the faba beans’ bioactive peptides that are released in the physiological context of gastrointestinal conditions have been scarcely investigated to date.
In this regard, the purpose of this study was to assess the health-promoting bioactive properties of three new Canadian faba bean varieties (Fabelle, Malik and Snowbird) after in vitro gastrointestinal digestion in comparison to two commonly used legumes, namely, peas and soy. The three faba bean cultivars included in the study had different quality traits: low-tannin (Snowbird); low vicine/convicine (Fabelle); and high tannin and high vicine/convicine (Malik). The raw and cooked flours were digested in vitro using a standardized gastrointestinal INFOGEST digestion protocol, to which an ileal digestion phase was added to mimic brush border digestion. The digestates were filtered on a 3 kDa molecular weight cut-off membrane to recover peptides and small bioactives. The collected filtrates were assessed for antioxidant, antidiabetic and antihypertensive activities with a combination of in vitro and cell-based assays. The bioactive properties were selected based on the results of an in silico analysis. The faba bean peptides with the highest activity were further fractionated and identified by mass spectrometry.
2. Results and Discussion
2.1. Optimization of the In Vitro Digestion Model for Subsequent Cell Culture Experiments
The impact of different in vitro digestion conditions on cell viability after incubation with the faba bean 3 kDa permeates was investigated, with the aim of determining the digestion conditions that enable acceptable cell viability, while maintaining as much as possible the standardized digestion conditions of the INFOGEST protocol. Three main digestion factors were considered: (1) the bile salts concentrations; (2) the intestinal enzymes used (pancreatin or trypsin, chymotrypsin and α-amylase, with or without the addition of a purified amino peptidase to mimic brush border digestion) and (3) the protease inhibitor concentration. A two-way ANOVA table (Table 1) was generated to explore the impact of the three factors of interest, the peptide concentrations and their interaction on cell viability at the end of the incubation period.
Table 1.
Statistical significance of the studied digestion conditions and faba bean peptide concentration on cell viability as assessed by two-way ANOVA.
The results revealed that the bile salt concentration had no significant impact on the cell viability in the range of the peptide concentrations tested (Figure 1). Moreover, the use of pancreatin extract instead of individual pancreatic enzymes (namely α-amylase, trypsin and chymotrypsin) improved significantly the cell viability (p ˂ 0.05) (Figure 1). This result may be explained by the low purity of the porcine commercial pancreatic α-amylase used. Moreover, the pancreatic extract incorporates a broader range of pancreatic proteases (elastase, carboxypeptidase A and B), which is more physiologically relevant. The addition of the porcine intestinal peptidase to mimic brush border digestion improved the cell viability, to a value above 90% for the three peptide concentrations tested. This effect could be explained by the increase in protein digestibility, leading to a better peptide and amino acid availability for cell growth and viability.

Figure 1.
The impact of various concentrations (3000, 3500 and 4000 μg peptides/mL) of 3 kDa permeate of faba bean digestate (variety Fabelle) obtained in different digestion conditions on Caco-2 cell viability. The digestions were performed with different (a) bile salts concentrations; (b) different intestinal enzyme combinations; (c) different protease inhibitor (4-(2-Aminoethyl) benzenesulfonyl fluoride hydrochloride (AEBSF)) concentrations. Data are expressed as mean ± standard deviation of three experiments and means without a common letter differ (p < 0.05) as analyzed by two-way ANOVA and the Tukey’s test.
The concentration of the protease inhibitor, 4-(2-Aminoethyl) benzenesulfonyl fluoride hydrochloride (AEBSF), used to stop the digestion also had a significant effect on cell viability (Figure 1). AEBSF reacts with the hydroxyl group of the serine side chain residue, forming a sulfonyl cross-link [22], thereby irreversibly inactivating the serine proteases [22]. Three doses of AEBSF were tested in the digestate: 0.25 mM (the recommended maximal dose for cell experiments [23]); 1 mM (the recommended dose in the first version of the INFOGEST protocol [24]) and 5 mM (the recommended dose in the INFOGEST 2.0 protocol [25]). The AEBSF dose was increased in the second version of the INFOGEST protocol version, to inactivate the residual protease activity that was found in the digestate samples [26]. The use of the 0.25 mM and 1 mM AEBSF dose had a similar impact on the cell viability (except for the 3000 ug/mL peptide dose). However, the 5 mM AEBSF dose had a significant (p ˂ 0.05) detrimental effect on the cell viability and is therefore not suitable for cell experiments. Since the residual protease activity was found in the digestate when the 1 mM AEBSF dose was used, we investigated whether the ultrafiltration step could remove these residual activities. Indeed, with 1 mM finale concentration of AEBSF in the digestate, 3.96 mU of residual leucine-aminopeptidase activity per mL was measured in the digestate supernatant, and no remaining activity was measured in the 3 kDa permeate. Moreover, the peptide stability in the permeate was verified during the ultrafiltration step by quantifying the free amino groups using the 2,4,6-Trinitrobenzene Sulfonic Acid (TNBS) method. No significant differences in the free amino group content were observed (p = 0.113). Therefore, the use of AEBSF at a final concentration of 1 mM was retained.
In light of these results, the use of 10 mM bile salt, pancreatin with the addition of a purified amino peptidase to mimic brush border digestion and 1 mM AEBSF during in vitro digestion were retained as well-suited conditions to enable the cell model assays, while maintaining the physiological conditions of protein digestion. The cell viability was measured after incubation with the 3 kDa permeates of each legume digestate that were obtained at these optimal digestion conditions (Figure 2). No significant differences were found in cell viability for all of the legumes at the three different tested peptide concentrations.
Figure 2.
Impact of different concentrations (3000, 3500 and 4000 μg peptides/mL) of 3 kDa permeate of legume digestates obtained in the optimized digestion conditions (AEBSF 1 mM, bile salt 10 mM, pancreatin and peptidase) on cell viability. Data are expressed as mean ± standard deviation and means without a common letter differ (p < 0.05) as analyzed by two-way ANOVA and the Tukey’s test.
2.2. In Silico Prediction of Bioactive Fragments Released during Gastrointestinal Digestion of Legume Proteins
An in silico analysis was used as a first screening tool to investigate the potential bioactive fragments released during the gastrointestinal digestion of the faba bean, pea and soy main storage proteins. As shown in Figure 3, the bioactive fragments’ frequency (AE) pattern was quite similar for the three legumes, which can be explained by protein sequence similarities. For faba beans and peas, Legumin B had the highest frequency of bioactive fragments, and for soy it was β-Conglycinin. The Dipeptidyl Peptidase-IV (DPP-IV) and the Angiotensin-Converting Enzyme (ACE) inhibitor were the most frequent fragments released by the selected enzymes for the three legumes. The antioxidant fragments were also present, but in a smaller proportion. It is important to note that certain peptide bioactive properties were more studied in the literature than others [27], therefore more peptide sequences with those given activities have been ascertained. When the analysis was conducted, there were 1084 ACE inhibitor, 772 antioxidant and 432 DPP-IV inhibitory fragments out of 4485 peptides listed in the Bioactive Peptide Database of University of Warmia and Mazury (BIOPEP-UWM database). The fact that less DPP-IV inhibitory fragments are listed, while they are the most frequent fragments found in the three legumes’ globulins, suggest that this is a promising bioactivity to study further. Interestingly, the frequency of the antioxidant fragments is similar to that of the more rarely studied bioactivities, such as stimulating (87), Dipeptidyl Peptidase-III (DPP-III) inhibitor (66), alpha glucosidase inhibitor (34) and renin inhibitor (41). Nonetheless, one needs to consider that the AE parameter is an indication of the bioactive fragment frequency and not the bioactivity intensity. Experimental work is therefore needed to complement those results and target the most promising bioactivities. Besides, the in silico hydrolysis pattern is only based on the protein primary structure, and thus the bioactive fragments obtained experimentally are likely to differ to some extent.

Figure 3.
In silico prediction of bioactive fragments released during gastrointestinal digestion of (a) faba bean; (b) pea; (c) and soy main storage proteins.
Other interesting bioactivities were also present in the faba bean, pea and soy globulins, including alpha-glucosidase inhibitor, renin inhibitor and stimulating fragments. These fragments contribute to the overall antihypertensive and antidiabetic potential of the globulins. The renin is the first enzyme of the RAS system that catalyzes the conversion of angiotensinogen into angiotensin 1 [28], while the alpha-glucosidase is an enzyme of the intestinal brush border that is responsible for the digestion of the oligosaccharides into absorbable monosaccharides. The alpha-glucosidase inhibitors are used in diabetes treatment to delay carbohydrate intestinal digestion and reduce glucose uptake [29]. The “stimulating” bioactivity is a very broad category that included any peptide that stimulates biological processes that do not yet have a category of their own. Among the bioactive fragments identified in this study, the fragments were found that stimulate glucose uptake and release of vasoactive substances.
The DPP-III inhibitory fragments were also found. DPP-III is a peptidase widely distributed in the human body, that is responsible for opioid peptides’ (enkephalins) degradation [30]. The DPP-III inhibitors have therefore excellent therapeutic potential in pain management. DPP-III’s overall physiological role is not yet fully understood, but its role in cancer, oxidative stress defense [30] and blood pressure regulation [31] have been listed.
In the light of these results, the antidiabetic, antihypertensive and antioxidant activities were selected to be further investigated, as these bioactivities are associated with the health benefits of foremost importance.
2.3. Characterization of the 3 kDa Permeate of Legume Digestates
In this study, the in vitro gastrointestinal digestates were filtered on a 3 kDa membrane to collect the small molecular weight peptides. It is well established that the peptide bioactivity potency is highly affected by the amino acid chain length [32], and that the peptides with the highest activity are usually composed of 2–20 amino acids [14]. The efficiency of the ultrafiltration step to remove the remaining large soluble proteins was verified by size exclusion HPLC (Figure 4). The size exclusion HPLC analysis of the faba bean (Fabelle variety) digestate before and after the 3 kDa cut-off ultrafiltration demonstrates the removal of the high molecular weight proteins and polypeptides (>17 kDa). These could be the remaining digestive enzymes and the undigested faba bean proteins. Moreover, the antihypertensive activity of the faba bean digestate shows an important increase after ultrafiltration, as demonstrated by the significant decrease (p < 0.05) in the ACE inhibition IC50 (Figure 4). This indicates that the 3 kDa cut-off ultrafiltration is a valuable approach to recover most of the potent bioactive peptides.
Figure 4.
(a) Molecular weight distribution of peptides; and (b) exhibited antihypertensive activity of the faba bean digestate (variety Fabelle) before and after 3 kDa cut-off ultrafiltration. The ACE inhibition data are expressed as mean ± standard deviation and means without a common letter differ (p < 0.05) as analyzed by one-way ANOVA and the Tukey’s test.
The size exclusion HPLC profiles of the five legumes’ 3 kDa permeates are shown in Figure 5. There were no noticeable differences among the faba beans, pea and soy profiles. All of the patterns were composed of three main peaks with retention times of ~22.5, 26.5 and 36.5 min. The first peak had a retention time overlapping the carnosine (~226 Da) and Gly-Gly-Gly (~189 Da). This peak is likely to correspond with the small peptides with molecular weights in the same range as these standards. The two other peaks had higher retention times than the dipeptide carnosine standard, therefore probably corresponding to the amino acid residues.
Figure 5.
Molecular weight distribution of peptides in the 3 kDa permeate of legume digestates as assessed by size exclusion HPLC.
Since the peptides are not the only potential bioactive constituent of the legume digestates found in the targeted molecular weight range (<3 kDa), a composition analysis of the 3 kDa permeates was performed (Table 2). The peptides accounted for 34.4–38.4%, 32.9% and 54.5% of the 3 kDa permeate content for the faba bean, pea and soy, respectively, while the carbohydrates accounted for 43.5–45.2, 46.7 and 16.6 g of the glucose equivalent/g, respectively. Similar concentrations of the total polyphenols, ranging from 4.43 mg to 4.97 mg of gallic acid equivalent/g were found in all of the three studied legumes permeate. The observed differences in the carbohydrate and protein contents among the faba bean, pea, and soy 3 kDa permeate is most probably related to the differences in the seeds’ composition. The polyphenols and carbohydrates also reported bioactive properties [33,34,35,36,37,38], and could therefore also contribute to the exhibited 3 kDa permeates bioactivities.
Table 2.
Composition analysis of the 3 kDa permeate of legume digestates.
2.4. Bioactive Properties of the 3 kDa Permeate of Legume Digestates
2.4.1. Antioxidant and Chelating Activities
Various assays, based on different mechanisms of action, were used to assess the antioxidant activity of the 3 kDa permeate of the legume digestates [39,40,41,42]. Indeed, the antioxidants can quench free radicals either through single electron transfer (SET), hydrogen atom transfer (HAT) or a combination of both [43]. The 2,2-diphenyl-1-picrylhydrazyl (DPPH) and the 2,2′-azino-bis(3-ethylbenzothiazoline-6-sulfonic acid) (ABTS) assay are free-radical quenching assays that are mainly SET-based [44,45]. On the other hand, the oxygen radical absorbance capacity (ORAC) assay is HAT-based. The antioxidants can also prevent the free radicals’ formation through the chelation of transition metal ions that act as catalysts in free radicals’ formation, such as the Fenton reaction [46,47]. The iron chelating assay measures this preventive capacity of antioxidants.
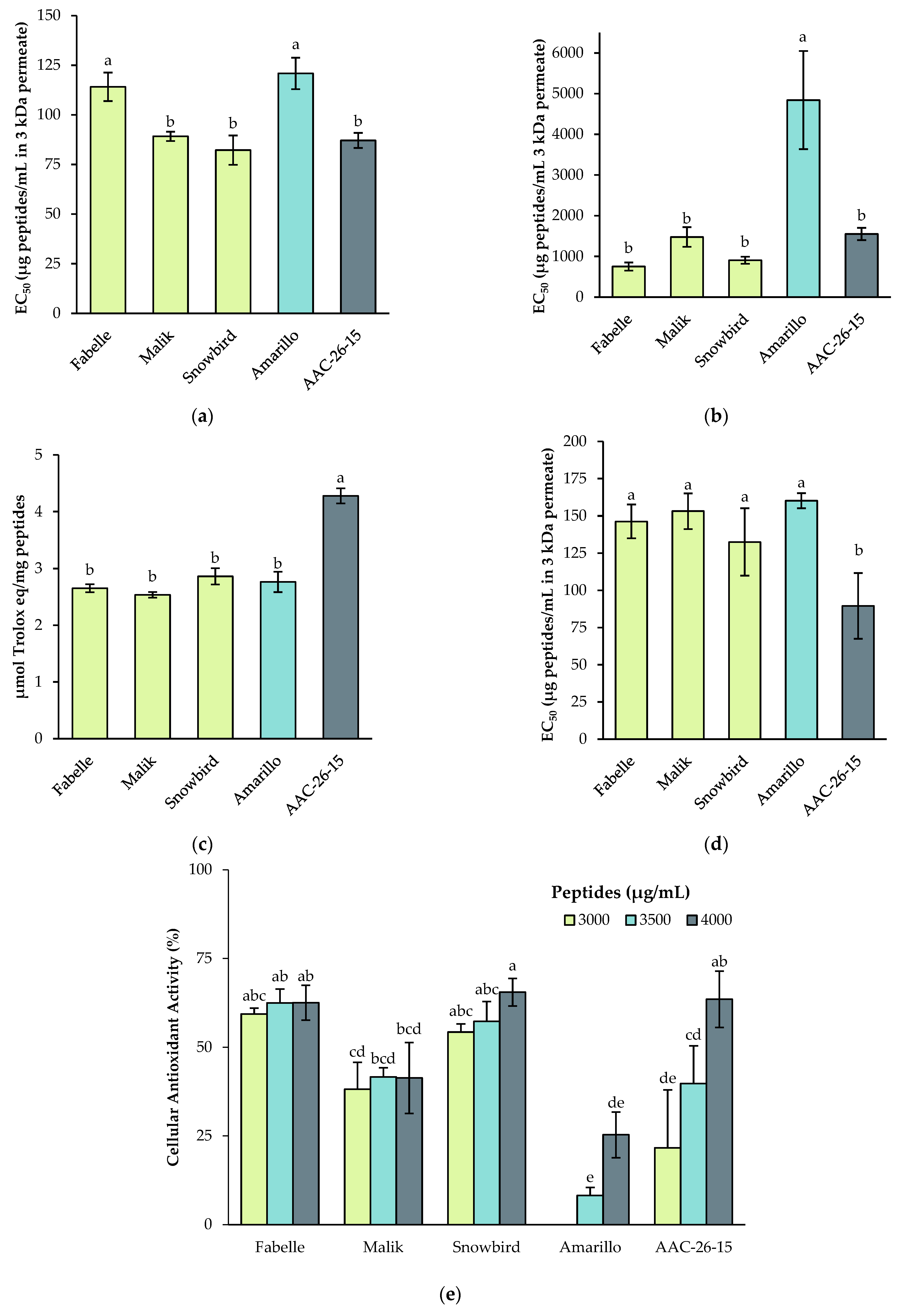
In the four antioxidant assays conducted in vitro, no significant differences were found among the faba beans varieties (Figure 6), except for the ABTS assay in which the Fabelle variety had a significantly lower activity (p < 0.05). Overall, the faba bean varieties had either a lower or similar antioxidant power compared to the soy, and a similar or higher antioxidant power than the pea. In the DPPH assay, the EC50 of the peas was significantly higher than the soy and faba beans (p <0.05), suggesting a lower antioxidant activity. In the ABTS assay, the same tendency was observed, except for the Fabelle variety, which had a similar EC50 than the peas and a higher EC50 than the Malik, Snowbird and soy. In the ORAC assay, a different outcome was observed, where the antioxidant activity of the soy was higher compared to the faba beans and peas. Besides, there was a significant correlation between the DPPH and ABTS assay results (r = 0.522; p = 0.046), but not with the ORAC assay, which is expected due to its different mechanism of action. For the iron chelating assay, there were no significant differences between the EC50 of the faba beans and peas. However, the EC50 of the soy was significantly lower (p < 0.05), which suggest a higher chelating activity.
Figure 6.
Antioxidant activity of the 3 kDa permeate of legume digestates as assessed by (a) the 2,2′-azinobis(3-ethylbenzothiazoline-6-sulfonic acid) (ABTS) assay; (b) the 2,2-diphenyl-1-picrylhydrazyl (DPPH) assay; (c) the oxygen radical absorbance capacity (ORAC); (d) the iron chelating assay; and (e) the cellular antioxidant assay (CAA). Data are expressed as mean ± standard deviation and means without a common letter differ (p < 0.05) as analyzed by one-way ANOVA and the Tukey’s test.
The ABTS EC50 value obtained for the studied faba bean varieties were lower than the reported values by Jakubczyk et al. [19] for a 3 kDa permeate of an in vitro gastrointestinal digestate of fermented faba bean seeds. In their study, the EC50 value ranged from 990 to 3510 µg/mL, depending on the fermentation conditions used, whereas in this study the EC50 varied from 82 to 114 µg/mL. For the iron chelating activity, the EC50 obtained by Parya Samaei et al. [48] for the faba bean protein hydrolyzed with Alcalase, pepsin and/or trypsin were lower (EC50 = 3.50–8.62 µg/mL) than the levels obtained in this study (EC50 = 132–153 µg/mL). The DPPH assay results were in the same order of magnitude as the results obtained by Karkouch et al. [20] for the peptide fractions separated by strong cation-exchange chromatography obtained from a faba bean trypsin hydrolysate. The DPPH scavenging ranged from 40 to 85% when the peptide fractions were tested at 1000 μg/mL whereas, in this study, 50% DPPH scavenging was obtained at concentrations varying from 752 to 1477 μg/mL. Nonetheless, the disparities in the faba bean varieties, sample digestion conditions and antioxidant assay procedures make comparisons difficult between studies.
The antioxidant activity of the 3 kDa permeates was also assessed, using a cellular model to evaluate the antioxidant activity in a more physiologically relevant manner. The cellular antioxidant assay considers diverse mechanisms, including direct free-radical quenching and the stimulation of antioxidant enzyme actions, in experimental conditions that take into account cell uptake and metabolism [49,50]. The Caco-2 cell line was used, which is a well-established model of small intestine enterocytes. At the highest peptide concentration tested (4000 μg/mL), the peas had a lower antioxidant activity compared to the soy and faba beans (p < 0.05), as shown by a lower Cellular Antioxidant Activity (CAA) value. Among the faba bean varieties, Snowbird had a significant higher CAA value compared to Malik. For the faba bean varieties, the CAA value was similar for the three concentrations tested, which suggest that these concentrations were in the upper-plateau of the dose–response curve. However, for the soy and pea, the CAA values significantly decreased with concentration and reached no effect in the case of the peas at the lowest dose tested. At the lowest peptide concentration tested (3000 μg/mL), the CAA value was significantly higher for the Fabelle and Snowbird variety compared to the soy and pea. At the same concentration, the CAA value of the Malik variety was similar to the soy but higher than pea. Those results suggest that at lower doses, the antioxidant effect of the faba bean peptides is higher compared to the pea and soy peptides. This outcome is slightly different than the results observed with the in vitro assays, where the soy had overall better antioxidant activity compared to the faba beans. This effect could possibly be explained by a better bioavailability and/or a better resistance to cell metabolism of the faba bean peptides compared to the pea and soy peptides. Further research will be needed to investigate this hypothesis. It is also possible that the faba bean peptides had a better activity in this particular assay. The dissimilarities between in vitro antioxidant assays and CAA results have been observed by Wan et al. [51] as well. They found that the in vitro ORAC and CAA results were not in accordance for numerous purified phytochemicals. However, there was a strong correlation between CAA and in vivo ORAC results (ORAC values of rat plasma after the intake of antioxidants), which state that the CAA result was a better indicator of in vivo antioxidant effect.
To the best of our knowledge, this is the first time that the cellular antioxidant activity of the faba bean hydrolysate have been assessed. More generally, the data relative to the cellular antioxidant activity of a complex food hydrolysate are very limited. Chen et al. [52] have measured the cellular antioxidant activity of the 10-kDa permeate of common bean milk and yogurt in vitro gastrointestinal digestates in Caco-2 cells and have obtained CAA values ranging from 25 to 35%, depending on the doses tested (0.1–0.5 mg/mL). Torres-Fuentes et al. [53] have obtained CAA values ranging from 10 to 30% for chickpea proteins hydrolyzed with pepsin and pancreatin, depending on the dose tested (0.5–5 mg/mL). Zhang et al. [54] investigated the cellular antioxidant activity of the in vitro gastrointestinal digestate of tilapia protein and tilapia protein hydrolysate prepared with Alcalase in HepG2 cells. They obtained CAA values varying from 30 to 50%, depending on the doses tested (0.1–5.0 mg/mL) and the hydrolysate preparation conditions. The CAA values obtained in this study for the Fabelle and Snowbird faba bean varieties (~60%) are higher than the reported values for common bean milk/yogurt and tilapia proteins, while the CAA values for the Malik variety were in the same range (~40%). Nonetheless, the differences in the experimental conditions for the in vitro gastrointestinal digestion, as well as the cell culture conditions, make comparisons quite difficult from one study to another.
The antioxidant effects of the legume 3 kDa permeates are possibly caused by a synergistic effect of the peptides and other bioactive constituents. For instance, the polyphenols have well-established free radical scavenging and chelating activities [55]. However, our results did not show any significant correlations between the total polyphenol content (TPC)/g of the proteins in the 3 kDa permeate of the legume digestate and the DPPH and ABTS scavenging activity and the CAA values. Moreover, there was a significant inverse correlation between the TPC content/g of proteins and the iron chelating activity (p < 0.0001) and the ORAC score (p = 0.00037), meaning that the lowest TPC content/g of the proteins in the 3 kDa permeates lead to the highest antioxidant activity. Since the TPC content was similar among the five studied legumes, it can be inferred that the bioactive peptides are possibly responsible in a larger proportion for the observed differences in the antioxidant effect among the samples.
2.4.2. Antihypertensive Activity
The antihypertensive activity of the legume 3 kDa permeates was evaluated by means of the Angiotensin-Converting Enzyme (ACE) inhibition assay (Figure 7). There were no significant differences for the ACE inhibition activity among the faba bean varieties. The soy had a significantly lower IC50 compared to the faba beans and peas, which means a higher antihypertensive activity. The Fabelle and Malik varieties had a significantly higher antihypertensive activity compared to the pea, but the Snowbird variety was similar to the pea. The obtained IC50 for the faba beans were in the same range as the values obtained by Jakubczyk et al. [19] for a 3 kDa permeate of an in vitro gastrointestinal digestate of fermented faba bean seeds. In their study, the IC50 varied from 1010 to 2920 ug/mL, depending on the fermentation condition used, whereas in this study the values varied from 1348 to 1884 µg/mL. Dugardin et al. [21] obtained a lower IC50 value for an in vitro gastrointestinal digestate of faba bean protein isolate (IC50 = 52 ug/mL), which can be explained by experimental conditions disparities, such as the lower ACE unit used in their study (0.05 U/mL) compared to ours (0.8 U/mL). Moreover, the faba bean protein isolate could possibly have a higher digestibility rate than the faba bean flour, leading to a higher content of the smaller and highly bioactive peptides.
Figure 7.
Antihypertensive activity (Angiotensin-Converting Enzyme inhibition) of the 3 kDa permeate of legume digestates. Data are expressed as mean ± standard deviation and means without a common letter differ (p < 0.05) as analyzed by one-way ANOVA and the Tukey’s test.
2.4.3. Antidiabetic Activity
The antidiabetic activity of the legume 3 kDa permeates was assessed, using both in vitro and cellular Dipeptidyl Peptidase-IV (DPP-IV) inhibition assays. DPP-IV is a peptidase with multiple functions in the body and is found in the intestinal enterocytes’ membrane, among others. The Caco-2 cells that express DPP-IV are therefore a relevant model to study the inhibitory potential of the dietary bioactive peptides. In addition, they have the advantage of mimicking the cell metabolism and proteolysis that occur at the brush border, with a cell viability and experimental conditions that are closer to the physiological context [56,57,58,59].
In the in vitro assay, the IC50 of the soy was significantly lower compared to the faba beans and peas, which demonstrate a higher antidiabetic potency (Figure 8). This result followed the same trend as the ACE inhibition assay, in which the soy IC50 was the lowest compared to the faba beans and peas. There were no significant differences among the faba bean varieties. However, the Fabelle variety had a significantly higher IC50 compared to the peas and therefore a lower antidiabetic activity. Dugardin et al. [21] obtained a lower IC50 value for an in vitro gastrointestinal digestate of faba bean protein isolate (IC50 = 540 ug/mL) compared to this study, where the IC50 for the faba beans varied from 1979 to 2400 µg/mL. As above, this variation can be explained by the differences in the sample nature (faba bean flour versus protein isolate) and the digestion conditions. For instance, the gastrointestinal digestion procedure of Dugardin et al. [21] included only a gastric and duodenal digestion phase, whereas ours included an additional jejunal–ileal digestion phase. The addition of this last digestion phase mimics more closely the physiological conditions of protein digestion, and is likely to have an impact on the peptide profile found in the digestate [60].
Figure 8.
Antidiabetic activity (Dipeptidyl-Peptidase-IV inhibition) of the 3 kDa permeate of legume digestates: (a) in vitro assay with a purified Dipeptidyl-Peptidase-IV from porcine kidney; (b) inhibition assay in a cellular model. Data are expressed as mean ± standard deviation and means without a common letter differ (p < 0.05) as analyzed by one-way ANOVA and the Tukey’s test.
In the cell model (Figure 8), there were no significant differences among the faba beans, peas and soy. However, as observed in the Cellular Antioxidant Assay, there was a dose–response effect observed for peas and soy; the DPP-IV inhibition effect was significantly lower at 3000 µg/mL compared to 4000 µg/mL, and there were no significant differences among the studied faba bean protein concentrations. Again, this effect may be explained by a better bioavailability and/or better resistance to the brush border peptidase degradation of the faba bean peptides compared to the pea and soy peptides. This hypothesis deserves further investigation.
Nonetheless, the percentage of DPP-IV activity inhibition in the cell model remains lower compared to the in vitro results. In the cell-based assay, the percentage of activity inhibition ranged from 15 to 20% at 4000 µg/mL, versus 68 to 90% in the in vitro assay at the same concentration. The same trend was observed by Caron et al. [56], where the IC50 of a bovine hemoglobin gastrointestinal digestate was 10 times higher in the cell model (16.02 mg/mL) compared to the in vitro assay (1.62 mg/mL), meaning that the activity was ten times lower in the cell assay compared to the in vitro assay. Aiello et al. [59] also found the same tendency for a spirulina protein hydrolysate. Lacroix and Li-Chan [61] demonstrated that porcine DPP-IV was more easily inhibited by the peptides as compared to the human DPP-IV, which can explain this finding. This observation may also be explained by a further hydrolysis of the bioactive peptides once incubated with Caco-2 cells, which express numerous peptidases of the intestinal brush border. This finding reasserts the importance of investigating the bioactive properties with cell models and not exclusively with in vitro assays, to obtain a more realistic picture of the potential bioactivities in vivo.
2.5. Peptides Fractionation and Sequencing
Based on the results of the in vitro and cellular bioactivity assays, the Fabelle variety was selected to be investigated further, since it stood out for its antihypertensive and antioxidant activities. Moreover, this new variety contains a low amount of the anti-nutrients vicine, convicine and tannins, which represents an important advantage for food applications. The Fabelle 3 kDa permeate was fractionated by size exclusion HPLC and three peptide fractions were recovered (Figure 9). The three collected fractions were tested again for their antioxidant and antihypertensive activities. The results indicated that F1 had the highest antihypertensive potency, followed by F2 and F3 (Figure 10). F2 had the highest free radical scavenging activity through SET, as demonstrated by the results of the ABTS assay, while F2 and F3 were equal for their free radical scavenging activity through HAT, as indicated by the results of the ORAC assay (Table 3). The F3 was the fraction with the highest iron chelating activity (Table 3).
Figure 9.
Peptide fractionation of the 3 kDa permeate of Fabelle in vitro gastrointestinal digestate by size exclusion HPLC. F1, fraction 1; F2, fraction 2; F3, fraction 3.
Figure 10.
Angiotensin-Converting Enzyme inhibition of faba bean (variety Fabelle) peptide-enriched fractions (F1, F2 and F3). Data are expressed as mean ± standard deviation and means without a common letter differ (p < 0.05) as analyzed by one-way ANOVA and the Tukey’s test.
Table 3.
Antioxidant activity of faba bean (variety Fabelle) peptide-enriched fractions (F1, F2 and F3).
Interestingly, the fractionation caused either a loss or an increase in the bioactive activities compared to the unfractionated 3 kDa permeates. In the case of the ACE inhibition, a 50% inhibition was obtained at 1348 μg/mL for the unfractionated Fabelle 3 kDa permeate, whereas the inhibition varied from 8 to 34% for the fractions at 2000 μg/mL. It is possible that the peptides present in the different fractions had a synergistic effect on ACE, which explains the activity loss at the fractions’ level. It is also possible that the fractionation removed the other bioactive constituents that contributed to the overall effect against ACE activity. On the contrary, the ABTS scavenging, and iron chelating activities highly increased after fractionation. The same tendency was observed by Jakubczyk et al. [19]; in their study, the EC50 for the ABTS scavenging was 0.99 mg/mL before fractionation and decreased to 0.02–0.1 mg/mL after fractionation. The removal of the other constituent of the 3 kDa permeate with antagonist effect could explain this outcome. In the case of ORAC, F2 and F3 had a higher activity compared to the complete 3 kDa permeate, but F1 had a lower activity, suggesting that the peptides responsible for this antioxidant effect were mostly eluted in F2 and F3.
In order to obtain a better understanding of the observed differences in the bioactive properties of the three fractions, the peptide profile of each fraction was identified by LC-MS/MS and database searching (Table 4). Eleven unique peptides were identified, 11 in F1, 1 in F2 and none in F3. One peptide was present in both F1 and F2, as presented in Table 4. This is most probably due to some peak overlapping during the size exclusion chromatography, as previously observed by Torres-Fuentes et al. [53]. Most of the peptides were found in F1, which is in accordance with the determined protein content of each fraction. Approximately 70% of the initial proteins of the 3 kDa permeate were recovered in F1, 20% in F2 and 10% in F3. The peptides were composed of 9 to 11 amino acid residues, with molecular weights ranging from 888 Da to 1336 Da, which is in the typical range of highly active peptides [14]. Seven identified peptides were from the globulin storage proteins (legumin, vicilin and convicilin). Those peptides are likely to contribute significantly to the faba bean protein bioactive properties, since the globulins account for up to 80% of the faba bean seed proteins [62].
Table 4.
LC-MS/MS identified faba bean peptides and their respective precursor proteins found in the peptide-enriched fractions of the 3 kDa permeate of Fabelle in vitro gastrointestinal digestate.
The relationship between the peptide chemical structure and bioactivity is not yet well understood [63,64]. However, the peptide length, charge, amino acid composition and the particular order and the presence of the hydrophobic residue are all of the factors influencing the bioactivity potency [20,65]. The potential bioactive properties of the LC-MS/MS identified peptides were screened in silico, using the BIOPEP-UWM database and the results are presented in Table 5. All of the identified peptides contained fragments with an inhibitory effect against ACE and DPP-IV, and four of them also had antioxidant fragments, which corroborated our experimental findings. The results (Table 5) revealed that the peptide PVNRPGEPQ has a very promising bioactive potential, especially for ACE and DPP-IV inhibition. Indeed, the fragments with these specific activities are present in high frequency and those fragments are highly active, as revealed by the high B parameter values. Noteworthy, this peptide was found in F1, which was the fraction with the highest measured ACE inhibitory activity. The peptides VIPTEPPH, VIPTEPPHA, VVIPTEPPH and VVIPTEPPHA contains as well a high frequency of ACE and DPP-IV inhibitor fragments, however, their predicted activity is lower. The peptides EEEDEDEPR and KEEEDEDEPR contain a low frequency of ACE inhibitor fragments, but have a high predicted activity.
Table 5.
In silico prediction of bioactive properties of the LC-MS/MS identified faba bean peptides using the BIOPEP-UWM database.
The peptide TETWNPNHPEL has the highest antioxidant fragment frequency among the identified peptides. Indeed, this peptide was previously identified by Torres-Fuentes et al. [53] in a pepsin-pancreatin chickpea protein hydrolysate for its antioxidant and chelating activity. The finding of the same peptide in the present study suggests that the Fabaceae storage proteins are highly conserved. Although the F2 and F3 had the highest measured antioxidant activity overall, only one peptide was successfully identified and no in silico predicted antioxidant activity was associated with it. Still, this peptide contains a histidine, glutamic acid and threonine residue that are well known for their contribution to the iron-chelating activity [66]. Histidine is also implicated in free radical scavenging [66]. The peptides identified in F2 and F3 remain very limited. The faba bean proteome is incomplete which makes the peptide identification challenging. It is also possible that F2 and F3 contained very low-molecular weight peptides and the free amino acids that were not detected. Still, the chelating activity and ABTS scavenging activity of F1 was importantly higher than the complete 3 kDa permeate, which indicate an excellent antioxidant activity that can be attributed to the peptides.
Other bioactivities were also identified, namely the anti-amnestic, antithrombotic, regulating stomach mucosal membrane activity, DPP-III inhibitor, renin inhibitor, alpha-glucosidase inhibitor and stimulating activities. Noteworthy, most of these activities were identified as well in the in silico screening of the faba bean storage proteins. The alpha-glucosidase inhibition activity of the faba bean ethanol extract [67], and the germinated and fermented faba beans in vitro gastrointestinal digestates [68] were also reported by others, which is in agreement with our finding. The other identified activities, however, were not so far experimentally investigated in faba beans.
3. Materials and Methods
3.1. Materials
Three dehulled faba bean cultivars (Fabelle, Malik and Snowbird), one dehulled pea cultivar (Amarillo) and one dehulled soy cultivar (AAC-26–15) were used in this study. The faba bean and pea samples were supplied as milled flours, and soybean as whole seeds. The faba bean cultivars, Fabelle and Malik, were provided by AGT Foods and Ingredients (Saskatoon, SK, Canada), and Snowbird by W.A. Grain & Pulse Solutions (Innisfail, AB, Canada). The certified yellow pea (CDC Amarillo) and soybean (Cdn #1, Variety AAC 26-25, Non-GMO and IP, Lot 261510504AT) were provided by Greenleaf Seeds (Tisdale, SK, Canada) and Huron seeds (Clinton, ON, Canada), respectively.
The hexane, sulfuric acid, dimethyl sulfoxide (DMSO) and methanol were obtained from Fisher Scientific (Fair Lawn, NJ, USA). The ethanol was purchased from Commercial Alcohols (Brampton, ON, Canada).
The hydrochloric acid (HCl), sodium hydroxide (NaOH), Glucose, 4-(2-aminoethyl)benzenesulfonyl fluoride hydrochloride (AEBSF), Phosphate-buffered saline (PBS), sodium bicarbonate (NaHCO3), monosodium phosphate (NaH2PO4), hydrochloric acid (HCl), sodium chloride (NaCl) and Tris-HCl were purchased from BioShop (Burlington, ON, Canada).
The 2,2′Azobis (2-methylpropionamidine) dihydrochloride (AAPH), Trolox, fluorescein, 2′-7′-Dichlorofluorescein diacetate (DCFH-DA), Gly-Pro-7-amido-4-methylcoumarin hydrobromide (Gly-Pro-AMC), Dipeptidyl Peptidase IV (CD26) from Porcine Kidney, 2,2-diphenyl-1-picrylhydrazyl (DPPH), 2,2′-azino-bis(3-ethylbenzothiazoline-6-sulfonic acid) diammonium salt (ABTS), potassium persulfate (K2S2O8), ferrous chloride (FeCl2), ferrozine, borax (Na2B4O7·10H2O), angiotensin-converting enzyme (ACE) from rabbit lung (A6778), N-Hippuryl—His—Leu hydrate (HHL) substrate (H1635), trifluoroacetic acid (TFA), Gallic Acid, Folin–Ciocalteu and phenol were purchased from Sigma-Aldrich (St. Louis, MO, USA).
For the in vitro digestion procedure, α-amylase from porcine pancreas (A3176), pepsin from porcine gastric mucosa (P6887), pancreatin from porcine pancreas (P7545), trypsin from porcine pancreas (T0303), α-chymotrypsin from bovine pancreas (C7762), porcine bile extract (B8631) and the Bile Acid Assay Kit (MAK309) were all purchased from Sigma-Aldrich (St. Louis, MO, USA). The native Porcine Peptidase (Nate-0548) was purchased from Creative Enzyme (Shirley, NY, USA).
For the cell culture, Dulbecco’s Modification of Eagle’s Medium (DMEM) containing 4.5 g/L glucose, with phenol-red and without sodium pyruvate, 200 mM L-Glutamine, Dulbecco’s Phosphate-Buffered-Saline (D-PBS) without Ca2+ and Mg2+, Nonessential Amino Acid Solution 100×, heat-inactivated fetal bovine serum (FBS), 5000 IU penicillin and 5000 μg/mL streptomycin solution, Trypsin solution (0.05%) containing 0.53 mM EDTA in HBSS and Trypan blue (0.4%) were purchased from Wisent Bioproducts (Saint-Jean-Baptiste, QC, Canada). Hank’s Balanced Salt Solution (HBSS) was purchased from Gibco (Thermo Fisher Scientific, San Jose, CA, USA). The Caco-2 cells (ATCC® HTB-37™, passage 18) were purchased from ATCC (Manassas, VA, USA).
The Pierce BCA Assay kit was purchased from Thermo Fisher Scientific (San Jose, CA, USA) and the Cell Titer-Glo 2.0 kit was purchased from Promega (Fitchburg, WI, USA).
All of the chemicals and reagents used were of analytical grade and deionized water (Millipore) was used in all of the experiments.
3.2. Sample Preparation
The soy seeds were milled with a Brinkmann centrifugal grinding mill using a 0.2-mm rotary sieve with the addition of liquid nitrogen to prevent heating. The soy flour was then de-oiled through hexane extraction, according to the method of L’Hocine et al. [71] to obtain a fat content similar to the faba beans and peas. The faba bean, pea and soy flours were cooked (thermally treated through boiling), which is a representative domestic processing for legume preparation, following the procedure of Ma et al. [72]. The flour was hydrated in water (ratio 1:10) for 1 h at room temperature under constant stirring and then boiled for 20 min. The cooked flour and cooking water were frozen at −40 °C, freeze-dried and milled once more to assure a particle size uniformity among the samples. All of the flour samples were stored at −20 °C in vacuum bags until needed.
3.3. Adaptation of the In Vitro Gastrointestinal Digestion Procedure for Cell Culture
The gastrointestinal digestion was simulated using the INFOGEST harmonized static in vitro digestion procedure [25] with some modifications. Indeed, Brodkorb et al. [25] suggested investigating whether the bile salts and protease inhibitor concentration interfere with the cell model, since those two elements can compromise cell viability. The preliminary studies were conducted to investigate the impact of those elements on the specific cell line used in this work, the Caco-2 cells. Three parameters were considered: the enzyme used during the intestinal digestion phase (Pancreatin or a mix of trypsin (100 U/mL digest); α-chymotrypsin (25 U/mL digest) and α-amylase (200 U/mL digest), with or without the addition of a jejunal-ileal digestion phase), the bile salts’ concentration (1 or 10 mM) and the protease inhibitor (4-(2-Aminoethyl) benzenesulfonyl fluoride hydrochloride or AEBSF) concentration (0.25, 1 or 5 mM). The digestions were performed with one faba bean variety (Fabelle) in triplicate and one parameter was varied at the time.
3.4. In Vitro Gastrointestinal Digestion of Legume Flours
Once the adjusted digestion conditions for the cell culture were obtained, the in vitro gastrointestinal digestate of the different legume flours was prepared accordingly. Prior to digestion work, the enzyme activity of amylase, pepsin, pancreatin, trypsin and chymotrypsin were determined, according to Brodkorb et al. [25] procedures and the bile salts content in the porcine bile extract was assessed, using the Sigma Bile Assay Kit (MAK309). The leucine aminopeptidase activity in the porcine intestinal peptidase was evaluated, following the procedure of Hausch et al. [73] and one unit was defined as the consumption of 1 μmol of leucine-p-nitroanilide per minute at 30 °C and pH 8.0.
Briefly, 1.2 g of flour was mixed with 1.8 g of water to reach the targeted consistency of tomato paste at the end of the oral phase. For the oral digestion phase, the hydrated flour was mixed in a ratio 1:1 with simulated salivary fluid (SSF) containing α-amylase from the porcine pancreas (75 U/mL digestate) and digestion was conducted for 2 min at 37 °C under constant stirring. For the gastric digestion phase, the digestate was mixed in a ratio 1:1 with simulated gastric fluid (SGF), containing pepsin (2000 U/mL digestate). The pH was adjusted to 3.0 by the dropwise addition of 6 N HCl, and the digestion was continued for 2 h at 37 °C under constant stirring. The gastric lipase was not added since lipid is a minor constituent in the sample studied (<1%) compared to the proteins and starch. The digestates were diluted once more for the duodenal digestion phase, in a ratio 1:1 with the Simulated Intestinal Fluid (SIF) containing pancreatin from the porcine mucosa (100 U trypsin activity/mL digestate) and the porcine bile extract (10 mM bile salts), the pH was adjusted to 7.0 with 3 N NaOH and the digestate was incubated for 2 h at 37 °C with constant stirring. To simulate the digestion that occurs at the brush border in the jejunum and ileum, the pH was adjusted to 7.2 and a Native Porcine Peptidase (13 mU leucine-aminopeptidase activity/mL digestate) was added. The digestate was incubated for another 4 h at 37 °C under constant stirring.
At the end of the digestion, the samples were cooled on ice and the protease inhibitor (1 mM AEBSF) was added to stop the digestion. The digestates were centrifuged at 15,000× g for 30 min at 4 °C and the supernatants were filtered using an Amicon ultrafiltration system equipped with a 3 kDa molecular weight cut-off (MWCO) regenerated cellulose membrane (END Millipore, Billerica, MA, USA) to recover the small molecular weight peptides. The peptide stability during the ultrafiltration step was verified in quantifying the free amino groups using the 2,4,6-Trinitrobenzene Sulfonic Acid (TNBS) method of Adler-Nissen [74], with modifications by Mason [75].
The permeates’ osmolality was measured and the permeates were diluted in water to reach a physiological osmolality of 285–300 mOsm/kg, using a Micro-Osmometer (Model 3320; Advanced Instruments Inc., Norwood, MA, USA). Their pH was also adjusted to a physiological value of 7.3. The diluted 3 kDa permeates were analyzed for their protein content with the Pierce Bicinchoninic Acid (BCA) protein assay kit, using bovine serum albumin as standard and frozen at −80 °C until further use. A portion of the frozen permeates was freeze-dried and stored at −20 °C until further characterization.
3.5. In Silico Prediction of Bioactive Fragments Released during Gastrointestinal Digestion of Legume Proteins
The potential bioactive fragments released during the gastrointestinal digestion of the major faba bean, pea and soy storage proteins were investigated using an in silico analysis. The accession numbers of the protein used for the analysis are displayed in Table 6. The globulins’ sequences were hydrolyzed in silico with pepsin (pH > 2) (EC 3.4.23.1), trypsin (EC 3.4.21.4) and α-chymotrypsin (EC 3.4.21.1) simultaneously to simulate gastrointestinal digestion with the Bioactive Peptide Database of University of Warmia and Mazury (BIOPEP-UWM) enzyme tools [69]. The frequency of the peptide fragments’ release with the selected enzyme activity values (AE) for each of the selected protein and bioactivities were automatically calculated by the BIOPEP-UWM algorithm [69] and retrieved on 14 July 2022.
Table 6.
UniProtKB Protein accession numbers of faba bean, pea and soy main storage proteins used for the in silico analysis.
3.6. Characterization of the 3 kDa Permeate of Legume Digestates
3.6.1. Molecular Weight Distribution of Peptides by Size Exclusion HPLC
The molecular weight distribution profile of the peptides present in the 3 kDa permeate of legume digestate was determined by size exclusion chromatography, following the procedure of Achouri et al. [76] with modifications by Mason et al. [77]. An Agilent-1200 Series HPLC system (Agilent Technologies Canada, Inc., Mississauga, ON, USA), equipped with a Enrich SEC-70 column (10 × 300 mm) (Bio-Rad Laboratories, Mississauga, ON, USA), was used. The samples from the 3 kDa permeate of legume digestate (2.5 µL) were loaded on the column and eluted with 10-mM phosphate buffered saline, with 154-mM NaCl (pH 7.4) at a flow rate of 0.5 mL/min. The absorbance was monitored at λ = 220 nm. The standards, including aprotinin (6.511 kDa), vitamin B12 (1.355 kDa), Gly-Gly-Gly (tripeptide, 189 Da) and carnosine (dipeptide, 226 Da), were used to evaluate the samples’ molecular weight distribution.
3.6.2. Composition Analysis of the 3 kDa Permeate of Legume Digestates
The protein content in the 3 kDa permeate of legume digestate was determined according to the Dumas method [78] with a Vario MAX Cube (Elementar, Langenselbold, Germany) using a nitrogen to protein conversion factor of 6.25 and EDTA as standard.
The total phenolic content was determined by the Folin–Ciocalteu method following the procedure of Singleton et al. [79] with modifications. A total of 50 mg of freeze-dried permeate was extracted in 1 mL of 70% ethanol containing 1% (v/v) 12 N HCl, in the dark, at room temperature and under constant stirring for 2 h. The samples were then centrifuged (16,000× g for 15 min) and filtrated on 0.45 μm Polyethersulfone (PES) filter (Canadian Life Science, Peterborough, ON, USA). The gallic acid standard (50–500 mg/L) was prepared in the same solvent. A total of 200 μL of the samples and standard were mixed with 1.5 mL of Folin–Ciocalteu reagent (diluted 1:10 in water) and incubated in the dark for 5 min. Then, 1.5 mL of 7.5% (m/v) sodium bicarbonate solution was added, and the samples were incubated for 75 min in the dark at room temperature. The samples were centrifuged (6000× g for 15 min) and the absorbance was read at λ = 750 nm. The total phenolics content (TPC) was expressed as mg of gallic acid equivalent per g of 3 kDa permeate of legume digestates (on a dry basis).
The total carbohydrate content was determined, following the method of DuBois et al. [80]. The freeze-dried permeates were solubilized in water (10 mg/mL). A total of 2 mL of each sample and standard (glucose 0–50 mg/L) were added to a glass test tube in duplicate. A total of 50 μL of phenol 80% (m/m) was added to each sample and standard, followed by 5 mL of sulfuric acid 95.5%. The samples were incubated at room temperature for 10 min and then incubated in a water bath at 25 °C for 10 min. The samples were cooled to room temperature and the absorbance was recorded at λ = 490 nm. The results were expressed as g of glucose equivalent per 100 g of freeze-dried 3 kDa permeates.
3.7. In Vitro Antioxidant and Chelating Activities of the 3 kDa Permeate of Legume Digestates
3.7.1. 2,2-diphenyl-1-picrylhydrazyl (DPPH) Free Radical Scavenging Assay
The DPPH assay was performed following the method of Orona-Tamayo et al. [81], as described in Mason et al. [77] with slight modifications. A total of 100 μL of diluted 3 kDa permeate of the legume digestate (100–6000 µg peptides/mL) was mixed with 100 μL of 0.2 mM DPPH (prepared in ethanol 100% and stored at −20 °C) in a clear 96-well clear microplate and incubated for 30 min at 37 °C in the dark. The absorbance was read at λ = 517 nm with an Epoch microplate spectrophotometer (Bio-Tek, Winooski, VT, USA). The free-radical scavenging capacity was calculated as follows, after background subtraction:
where Asample is the absorbance of the sample and Acontrol is the absorbance of DPPH in absence of antioxidants. The EC50 value was reported, which was defined as the required peptide concentration to scavenge 50% of the DPPH free radicals. The EC50 was calculated using a non-linear regression with a four-parameter logistic (4PL) curve of the DPPH free-radical scavenging capacity plotted against its respective peptide concentration.
3.7.2. 2,2′-azinobis(3-ethylbenzothiazoline-6-sulfonic acid) (ABTS) Scavenging Assay
The ABTS assay was performed following the method of Re et al. [41], as described in Mason et al. [77]. The day before the assay, a solution containing 7 mM ABTS and 2.45 mM of potassium persulfate was prepared in water and incubated overnight at room temperature in the dark to generate the free radicals. The next day, the solution was diluted in ethanol 100% to reach an absorbance value of 0.70 ± 0.02 at λ = 734 nm. A total of 50 μL of the 3 kDa permeate of legume digestates (10–400 µg peptides/mL) was mixed with 180 μL of the ABTS solution in a 96well clear flat-bottom plate, and incubated for 6 min at room temperature in the dark. The absorbance was read at λ = 734 nm with an Epoch microplate spectrophotometer (Bio-Tek, Winooski, VT, USA) microplate reader. The free-radical scavenging capacity was calculated as follows, after background subtraction:
where Asample is the absorbance of the sample and Acontrol is the absorbance of ABTS in the absence of antioxidant. The EC50 value was reported, which was defined as the required peptide concentration to scavenge 50% of the ABTS free radicals. The EC50 was calculated using a non-linear regression with a 4PL curve of the ABTS free-radical scavenging capacity, plotted against its respective peptide concentration.
3.7.3. Oxygen Radical Absorption Capacity (ORAC) Assay
The ORAC assay was performed following the method of Tomer et al. [82], as described in Mason et al. [77]. All of the solutions were prepared in a 75 mM phosphate buffer pH 7.4. A total of 25 µL of appropriately diluted 3 kDa permeate of legume digestates and Trolox standard (6.25–50 µM) were loaded in a 96-well black plate with a clear bottom. The outermost wells of the 96-well plates were not used to prevent the plate-edge effects. A total of 150 µL of 96 nM fluorescein solution was added to each well and the plate was incubated for 30 min at 37 °C. After the incubation period, 25 µL of 79.65 mM 2,’2-azobis(2-amidinopropane) dihydrochloride (AAPH), a free radical initiator, was added to each well using an automatic injector and the fluorescence was recorded every minute for 90 min (λexcitation = 485 nm, λemission = 520 nm), using a Synergy HTX microplate reader (Bio-Tek, Winooski, VT, USA). The area under the curve (AUC) was calculated for the samples, standards and blanks with the Gen5 Data Analysis Software (BioTek Instruments, Inc., Winooski, VT, USA), using the following regression equation:
where RFU0 is the initial fluorescence and RFUx is the relative fluorescence at each time points. Then, the net AUC was calculated as follows:
The net AUC value of the Trolox standards was used to build a standard curve. The antioxidant capacity of the samples was expressed as μmol of Trolox equivalent per mg of proteins.
3.7.4. Iron Chelating Activity
The iron-chelating activity assay was performed following the procedure of Orona-Tamayo et al. [81], as described in Mason et al. [77]. A total of 50 µL of diluted 3 kDa permeate (25–1000 µg peptides/mL) of the legume digestates was mixed with 25 µL of 0.25 mM ferrous chloride and 25 uL of 0.625 mM ferrozine in a clear 96-well plate. The plate was incubated for 10 min in the dark at room temperature and the absorbance was recorded at λ = 562 nm. The percentage of iron chelating was calculated as follows:
where Asample is the absorbance of the sample and Acontrol is the absorbance of the iron-ferrozine complex in the absence of chelating peptides. The EC50 value was reported, which is defined as the required peptide concentration to chelate 50% of the ferrous ions. The EC50 was calculated using a non-linear regression, with a 4PL curve of the iron chelating plotted against its respective peptide concentration.
3.8. In Vitro Antihypertensive Activity (Angiotensin-Converting Enzyme Inhibition Activity)
The antihypertensive activity was evaluated using the Angiotensin-Converting Enzyme (ACE) inhibition assay of Barbana and Boye [83], as described in Mason et al. [77] with slight modifications. All of the solutions were prepared in a 1 mM borate buffer pH 8.3 containing 0.3 M NaCl. A total of 10 μL of appropriately diluted 3 kDa permeate of legume digestates (100–6000 µg peptides/mL) was mixed with 10 μL of ACE (8 mU; ACE from rabbit lung, A6778; Sigma-Aldrich, St. Louis, MO, USA) in a test tube and incubated for 10 min at 37 °C. Then, 50 μL of 1 mM Hippury-L-histidyl-L-Leucine (HHL) was added and the incubation was continued for 30 min. At the end of the incubation period, 85 μL of HCL 1N par was added to stop the reaction. The reaction mixture was analyzed by reverse-phase HPLC, using a 4.60 × 250 mm Aqua C18 column (5-µm pore size 125 Å; Phenomenex, Torrance, CA, USA). The samples were eluted with 50% (v/v) methanol in water containing 0.1% TFA at a flow rate of 0.5 mL/min for 15 min. The absorbance was monitored at λ = 228 nm. The peak area of HHL was recorded and the ACE inhibition was calculated, as follows:
where PAa is the peak area of the control (HHL alone, corresponding to 100% inhibition); PAb is the peak area of the sample (HHL, ACE and inhibitory peptides) and PAc is the peak area of the reaction blank (HHL and ACE, corresponding to 0% inhibition). The IC50 value was reported, which is defined as the required peptide concentration to inhibit 50% of ACE activity. The IC50 was calculated using a non-linear regression with a 4PL curve of the ACE inhibition (%) plotted against its respective peptide concentration.
3.9. In Vitro Antidiabetic Activity (Dipeptidyl Peptidase-IV Inhibition Assay)
The in vitro Dipeptidyl Peptidase-IV (DPP-IV) inhibition assay was performed following the procedure of Caron et al. [56], with slight modifications. Then, 50 μL of diluted 3 kDa permeate of legume digestate (100–6000 µg peptides/mL) was mixed with 25 μL of Dipeptidyl Peptidase IV (CD26) from Porcine Kidney (0.018 U/mL) and 50 μL of 0.1 M Tris-HCl buffer pH 8.0 in a 96-well black plate with a clear bottom and incubated at 37 °C for 5 min. Then, 50 μL of Gly-Pro-7-amido-4-methylcoumarin hydrobromide (Gly-Pro-AMC) 1 mM was added and the fluorescence was recorded at 37 °C after 30 min (λex = 350 λem = 450), using a Synergy HTX plate reader (Bio-Tek, Winooski, VT, USA). The peptides, enzymes and substrates were all diluted in a 0.1 M Tris-HCl buffer at pH 8.0. The DPP-IV inhibition was calculated as follows, after background subtraction:
where RFUsample is the fluorescence of the samples and RFUcontrol is the fluorescence of the control (DPP-IV with a buffer instead of inhibitory peptides). The IC50 value was reported, which is defined as the required peptide concentration to inhibit 50% of the DPP-IV activity. The IC50 was calculated using non-linear regression with a 4PL curve of the DPP-IV inhibition (%) against its respective peptide concentration.
3.10. Cell Culture
The Caco-2 cells were cultivated in growth medium, which was composed of Dulbecco’s Modified Eagle Medium (DMEM) supplemented with 10% heat-inactivated fetal bovine serum (FBS), 100 U/mL penicillin and 100 μg/mL streptomycin, 1% non-essential amino acids and 2 mM L-glutamine and incubated at 37 °C in an atmosphere containing 5% CO2. The cells were sub-cultivated once a week at 80–90% confluence using a trypsin–EDTA solution and the culture medium was changed every 2–3 days. The cells were subcultured three times prior to bioactivity assessment to enable cell phenotype stabilization (Hubatsch et al., 2007). The cells between passage 22 and 32 were used in this study. In every assay, the outermost wells of the 96-well plates were not used to prevent plate-edge effects.
3.11. Cell Viability
The cell viability following incubation with a different concentration of 3 kDa permeate of each legume digestate (3000, 3500 and 4000 µg peptide/mL) was verified using the Cell Titer-Glo 2.0 kit (Promega, Fitchburg, WI, USA), which is a luminescent based method that quantify ATP as an indicator of cell viability. The cells were seeded in growth medium in a 96-well black plate with a clear bottom at a density of 6.5 × 104 cells/well for 48 h to reach confluence. On the day of the assay, the medium was discarded, the cells were washed with 100 μL of Dulbecco’s Phosphate-Buffered-Saline (D-PBS) and then incubated with 100 μL of 3 kDa permeate of the legume digestates diluted in DMEM for 1 h at 37 °C. The DMEM was used as a negative control and the H2O2 (20%) as a positive control. After the incubation period, the plate was equilibrated at room temperature for 30 min and 100 μL of Cell Titer-Glo® 2.0 Reagent (equilibrated previously at room temperature) was added per well. The plate was shaken for 2 min to provoke cell lysis, then incubated 10 min at 22 °C and the luminescence (L) was recorded using a Synergy HTX plate reader (Bio-Tek, Winooski, VT, USA). The cell viability was expressed as follows, after background subtraction:
where Lsample is the luminescence of the sample and Lcontrol is the luminescence of the cells incubated in DMEM (corresponding to 100% viability).
3.12. Cellular Antioxidant Assay (CAA) in an Intestinal Cell Model
The cellular antioxidant assay was performed following the methods of Wan et al. [51] and Kellett et al. [49], with modifications. Briefly, the Caco-2 cells were cultivated in growth medium and seeded in a 96-well black plate with a clear bottom at a density of 6.5 × 104 cells/well for 48 h to reach confluence. On the day of the assay, the medium was discarded, and the cells were washed with 100 μL D-PBS. Then, the cells were incubated for 1 h at 37 °C with different concentrations of 3 kDa permeate of legume digestate (3000, 3500 and 4000 µg peptides/mL) diluted in DMEM containing 25 μM (final concentration) of Dichloro-dihydro-fluorescein diacetate (DCFH-DA), which is used as a marker of intracellular oxidation. Once DCFH-DA enters the cells, it is diacetylated by intracellular esterase into 2′,7′-dichlorodihydrofluorescein (DCFH) that is more easily oxidizable. The 3 kDa permeate of blank digestions (digestion solutions and enzyme without legume flour) was used as a control, since the digestion medium was shown to interfere in the assay. The DMEM was used as the blank. The DCFH-DA (25 μM final concentration) was also added to the control and blank wells. After the incubation period, the samples were discarded, and 100 μL of a 600 μM AAPH solution, a peroxyl radical initiator, prepared in Hank’s Balanced Salt Solution (HBSS) was added to the sample and control wells. The HBSS without AAPH was added to the blank wells. Once the DCFH was oxidized into dichlorofluorescein (DCF) by the free radicals, the probe became fluorescent. The fluorescence (λex = 485 nm, λem = 520 nm) was reordered every minute for 1 h at 37 °C, using a Synergy HTX plate reader (Bio-Tek, Winooski, VT, USA). The antioxidant capacity was expressed as the Cellular Antioxidant Activity (CAA) unit, which was calculated as follows:
where SA is the sample curve of relative fluorescence over time and CA is the control curve of relative fluorescence over time. The area under the curve of the samples and controls were calculated by the Gen5 software (Bio-Tek, Winooski, VT, USA) after the blank and initial fluorescence reading subtraction.
3.13. Dipeptidyl Peptidase-IV (DPP-IV) Inhibition in an Intestinal Cell Model
A cellular model was also used to verify the inhibitory effect of the faba bean-, pea- and soy-derived peptides against DPP-IV in more physiologically relevant conditions. The experiment was carried out as described by Lammi et al. [84], with modifications. The Caco-2 cells were plated in a growth medium 48 h before the assay at a density of 5·104 cells/well in a 96-well black plate with a clear bottom. On the day of the assay, the medium was discarded, and cells were washed with 100 μL D-PBS. The cells were then incubated with different concentrations of 3 kDa permeate of legume digestate (3000, 3500 and 4000 µg/mL) diluted in DMEM, for 2 h at 37 °C. The DMEM was used as the control. After incubation, the medium was discarded, the cells were washed with D-PBS and 100 μL of 50 μM Gly-Pro-AMC prepared in D-PBS was added per well. The PBS without the Gly-Pro-AMC was used for the background subtraction. The plate was incubated for 10 min at 37 °C and the fluorescence (λexcitation = 350 nm, λemission = 450 nm) was recorded, using a Synergy HTX plate reader (Bio-Tek, Winooski, VT). The DPP-IV inhibition was expressed as follows, after background subtraction:
where RFUsample is the fluorescence of the samples and RFUcontrol is the fluorescence of the control.
3.14. Faba Bean Peptides Fractionation and Sequencing by Mass Spectrometry
Based on the results of the in vitro and cell culture bioactivity assays, the 3 kDa permeates of the Fabelle digestates were further fractionated by size exclusion chromatography, as described in Section 3.6.1. The obtained fractions were freeze-dried and tested again for their antioxidant and antihypertensive activity. The peptides present in each fraction were identified by tandem mass spectrometry. To do so, the freeze-dried samples were solubilized in 5% (v/v) acetonitrile and 0.2% (v/v) formic acid and loaded onto a C18 precolumn (0.3 mm × 5 mm) followed by separation on a reversed-phase column (150 μm × 150 mm) with a linear gradient from 10% to 30% (v/v) acetonitrile and 0.2% (v/v) formic acid at a 600-nL/min flow rate for 56 min, using an Ultimate 3000 HPLC system (Eksigent, Dublin, CA, USA) connected to a Q-Exactive Plus mass spectrometer (Thermo Fisher Scientific, San Jose, CA, USA). Each of the full MS spectrum that was acquired at a resolution of 70,000 was followed by 12 tandem-MS (MS-MS) spectra on the most abundant multiple-charged precursor ions. The tandem-MS experiments were performed using collision-induced dissociation (HCD) at a collision energy of 27%.
All of the MS/MS data were analyzed using PEAKS Studio (Bioinformatics Solutions, Waterloo, ON, Canada; version 10.6). The PEAKS Studio search settings were: Vicia faba database (UniProt/SwissProt); nonspecific digestion enzyme; fragment ion mass tolerance of 0.0100 Da; parent ion tolerance of 10.0 ppm; carbamidomethylation of cysteine as a fixed post-translational modification and acetylation, oxidation, deamidation and phosphorylation as variable post-translational modifications.
Scaffold (version 5.0.1, Proteome Software Inc., Portland, OR, USA) was used to validate the MS/MS-based peptide and protein identifications. The peptide identifications were accepted if they could be established at a greater than 95.0% probability by the Peptide Prophet algorithm [85] with Scaffold delta-mass correction. The protein identifications were accepted if they could be established at a greater than 99.0% probability and contained at least one identified peptide. The protein probabilities were assigned by the Protein Prophet algorithm [86].
The faba bean peptides identified by mass spectrometry were searched in the BIOPEP-UWM database to screen for potential bioactive properties.
3.15. Statistical Analysis
Each analysis was performed in triplicate and the results were expressed as mean ± standard deviation (SD). The data were analyzed through analysis of variance (ANOVA) (p < 0.05) followed by the Tukey’s honest significant difference (HSD) post-hoc test (p < 0.05), using the XLSTAT software (Addinsoft, NY, USA) add-on to Microsoft Excel (Redmond, WA, USA) to determine the significant differences. The Pearson correlation coefficients were calculated to investigate the relationship between free radical scavenging capacities determined by different assays and the relationship between the antioxidant activities in the 3 kDa permeates of legume digestate and the total phenolic content (TPC).
4. Conclusions
In this study, the beneficial health potential of faba bean flour was investigated and compared to two commonly used legumes (soy and pea) through the screening of bioactive properties resulting from the physiological context of the in vitro gastrointestinal digestion. The in vitro assays revealed that the faba bean flour digestates had either a similar or better bioactive activity compared to the pea digestates, and a similar or lower bioactive activity compared to soy. Nonetheless, the faba bean varieties showed a higher antioxidant activity and antidiabetic activity in the cell-based assays, which suggest that the faba bean peptides may have a better bioavailability or a better activity in vivo. This hypothesis will require further confirmation. Fabelle, one of the three studied faba bean varieties, stood out for its higher antioxidant and antihypertensive activity. Eleven peptides with excellent in silico predicted activity were identified by mass spectrometry, which confirm that the peptide played an important role in the observed bioactive activities. As there is a growing interest for health-promoting functional food ingredients in the food industry [87], our results demonstrate that faba beans have an excellent bioactive potential that complements their nutritional interest quality and therefore present a high potential for use in the development of new functional and nutraceutical ingredients in food applications. Further investigation of these health-promoting bioactivities with in vivo models and in humans are required to confirm these findings.
Author Contributions
Conceptualization, D.M.-C., A.A. and L.L.; Data curation, D.M.-C. and A.A.; Formal analysis, D.M.-C.; Funding acquisition, J.W. and L.L.; Investigation, D.M.-C. and A.A.; Methodology, D.M.-C., A.A. and L.L.; Project administration, J.W. and L.L.; Resources, L.L.; Supervision, L.L. and S.K.; Writing—original draft, D.M.-C.; Writing—review and editing, D.M.-C., L.L., A.A., J.W. and S.K. All authors have read and agreed to the published version of the manuscript.
Funding
This work was supported by the Pulse Science Research Cluster 3-Activity ASC-06 Activity 14A under the Canadian Agriculture Partnership (AAFC Project J-001964).
Institutional Review Board Statement
Not applicable.
Informed Consent Statement
Not applicable.
Data Availability Statement
Not applicable.
Acknowledgments
The authors would like to gratefully thank the technical support of the Proteomics Core Facility of the IRIC (Institute for Research in Immunology and Cancer) of the University of Montreal (Montreal, QC, Canada) for the MS analysis.
Conflicts of Interest
The authors declare no conflict of interest. The funders had no role in the design of the study; in the collection, analyses, or interpretation of data; in the writing of the manuscript; or in the decision to publish the results.
References
- Multari, S.; Stewart, D.; Russell, W.R. Potential of Fava Bean as Future Protein Supply to Partially Replace Meat Intake in the Human Diet. Compr. Rev. Food Sci. Food Saf. 2015, 14, 511–522. [Google Scholar] [CrossRef]
- FAOSTAT. FAOSTAT Database. Available online: http://www.fao.org/faostat/en/#home (accessed on 18 July 2022).
- Raikos, V.; Neacsu, M.; Russell, W.; Duthie, G. Comparative study of the functional properties of lupin, green pea, fava bean, hemp, and buckwheat flours as affected by pH. Food Sci. Nutr. 2014, 2, 802–810. [Google Scholar] [CrossRef] [PubMed]
- Millar, K.A.; Gallagher, E.; Burke, R.; McCarthy, S.; Barry-Ryan, C. Proximate composition and anti-nutritional factors of fava-bean (Vicia faba), green-pea and yellow-pea (Pisum sativum) flour. J. Food Compos. Anal. 2019, 82, 103233. [Google Scholar] [CrossRef]
- Hou, W.; Zhang, X.; Yan, Q.; Li, P.; Sha, W.; Tian, Y.; Liu, Y. Linkage map of a gene controlling zero tannins (zt-1) In faba bean (Vicia faba L.) with SSR and ISSR markers. Agronomy 2018, 8, 80. [Google Scholar] [CrossRef]
- Khazaei, H.; Purves, R.W.; Hughes, J.; Link, W.; O’Sullivan, D.M.; Schulman, A.H.; Björnsdotter, E.; Geu-Flores, F.; Nadzieja, M.; Andersen, S.U.; et al. Eliminating vicine and convicine, the main anti-nutritional factors restricting faba bean usage. Trends Food Sci. Technol. 2019, 91, 549–556. [Google Scholar] [CrossRef]
- Gullón, P.; Gullón, B.; Tavaria, F.; Vasconcelos, M.; Gomes, A.M. In vitro fermentation of lupin seeds (Lupinus albus) and broad beans (Vicia faba): Dynamic modulation of the intestinal microbiota and metabolomic output. Food Funct. 2015, 6, 3316–3322. [Google Scholar] [CrossRef]
- Karataş, S.Ç.; Günay, D.; Sayar, S. In vitro evaluation of whole faba bean and its seed coat as a potential source of functional food components. Food Chem. 2017, 230, 182–188. [Google Scholar] [CrossRef]
- Rabey, J.M.; Vered, Y.; Shabtai, H.; Graff, E.; Korczyn, A.D. Improvement of parkinsonian features correlate with high plasma levodopa values after broad bean (Vicia faba) consumption. J. Neurol. Neurosurg. Psychiatry 1992, 55, 725–727. [Google Scholar] [CrossRef]
- Abdel-Sattar, E.; Mahrous, E.A.; Thabet, M.M.; Elnaggar, D.M.Y.; Youssef, A.M.; Elhawary, R.; Zaitone, S.A.; Celia Rodríguez, P.; Segura-Carretero, A.; Mekky, R.H. Methanolic extracts of a selected Egyptian Vicia faba cultivar mitigate the oxidative/inflammatory burden and afford neuroprotection in a mouse model of Parkinson’s disease. Inflammopharmacology 2021, 29, 221–235. [Google Scholar] [CrossRef]
- Johnson, J.B.; Skylas, D.J.; Mani, J.S.; Xiang, J.; Walsh, K.B.; Naiker, M. Phenolic Profiles of Ten Australian Faba Bean Varieties. Molecules 2021, 26, 4642. [Google Scholar] [CrossRef]
- Boudjou, S.; Oomah, B.D.; Zaidi, F.; Hosseinian, F. Phenolics content and antioxidant and anti-inflammatory activities of legume fractions. Food Chem. 2013, 138, 1543–1550. [Google Scholar] [CrossRef] [PubMed]
- Belović, M.; Mastilović, J.; Torbica, A.; Tomić, J.R.; Stanić, D.R.; Džinić, N. Potential of bioactive proteins and peptides for prevention and treatment of mass non-communicable diseases. Food Feed. Res. 2011, 38, 51–61. [Google Scholar]
- Sánchez, A.; Vázquez, A. Bioactive peptides: A review. Food Qual. Saf. 2017, 1, 29–46. [Google Scholar] [CrossRef]
- León-Espinosa, E.B.; Sánchez-Chino, X.; Garduño-Siciliano, L.; Álvarez-González, R.I.; Dávila-Ortiz, G.; Madrigal-Bujaidar, E.; Téllez-Medina, D.I.; Jiménez-Martínez, C. Hypocholesterolemic and Anticarcinogenic Effect of Vicia faba Protein Hydrolyzates. Nutr. Cancer 2016, 68, 856–864. [Google Scholar] [CrossRef]
- Zambrowicz, A.; Pokora, M.; Setner, B.; Dąbrowska, A.; Szołtysik, M.; Babij, K.; Szewczuk, Z.; Trziszka, T.; Lubec, G.; Chrzanowska, J. Multifunctional peptides derived from an egg yolk protein hydrolysate: Isolation and characterization. Amino Acids 2015, 47, 369–380. [Google Scholar] [CrossRef]
- Felix, M.; Cermeño, M.; FitzGerald, R.J. Assessment of the microstructural characteristics and the in vitro bioactive properties of sunflower oil-based emulsions stabilized by fava bean (vicia faba) protein. Food Hydrocoll. 2019, 97, 105220. [Google Scholar] [CrossRef]
- Ashraf, J.; Awais, M.; Liu, L.; Khan, M.I.; Tong, L.-T.; Ma, Y.; Wang, L.; Zhou, X.; Zhou, S. Effect of thermal processing on cholesterol synthesis, solubilisation into micelles and antioxidant activities using peptides of Vigna angularis and Vicia faba. LWT 2020, 129, 109504. [Google Scholar] [CrossRef]
- Jakubczyk, A.; Karaś, M.; Złotek, U.; Szymanowska, U.; Baraniak, B.; Bochnak, J. Peptides obtained from fermented faba bean seeds (Vicia faba) as potential inhibitors of an enzyme involved in the pathogenesis of metabolic syndrome. LWT 2019, 105, 306–313. [Google Scholar] [CrossRef]
- Karkouch, I.; Tabbene, O.; Gharbi, D.; Ben Mlouka, M.A.; Elkahoui, S.; Rihouey, C.; Coquet, L.; Cosette, P.; Jouenne, T.; Limam, F. Antioxidant, antityrosinase and antibiofilm activities of synthesized peptides derived from Vicia faba protein hydrolysate: A powerful agents in cosmetic application. Ind. Crops Prod. 2017, 109, 310–319. [Google Scholar] [CrossRef]
- Dugardin, C.; Cudennec, B.; Tourret, M.; Caron, J.; Guérin-Deremaux, L.; Behra-Miellet, J.; Lefranc-Millot, C.; Ravallec, R. Explorative Screening of Bioactivities Generated by Plant-Based Proteins after In Vitro Static Gastrointestinal Digestion. Nutrients 2020, 12, 3746. [Google Scholar] [CrossRef]
- Narayanan, A.; Jones, L.H. Sulfonyl fluorides as privileged warheads in chemical biology. Chem. Sci. 2015, 6, 2650–2659. [Google Scholar] [CrossRef] [PubMed]
- Akter, S.; Addepalli, R.; Netzel, M.; Tinggi, U.; Fletcher, M.; Sultanbawa, Y.; Osborne, S. In vitro Bioaccessibility and Intestinal Absorption of Selected Bioactive Compounds in Terminalia ferdinandiana. Front. Nutr. 2021, 8, 818195. [Google Scholar] [CrossRef] [PubMed]
- Minekus, M.; Marie, A.; Alvito, P.; Ballance, S.; Bohn, T.; Bourlieu, C.; Carrière, F.; Boutrou, R.; Corredig, M.; Dupont, D.; et al. A standardised static in-vitro digestion method suitable for food—An international consensus. Food Funct. 2014, 5, 1113–1124. [Google Scholar] [CrossRef] [PubMed]
- Brodkorb, A.; Egger, L.; Alminger, M.; Alvito, P.; Assunção, R.; Ballance, S.; Bohn, T.; Bourlieu-Lacanal, C.; Boutrou, R.; Carrière, F.; et al. INFOGEST static in vitro simulation of gastrointestinal food digestion. Nat. Protoc. 2019, 14, 991–1014. [Google Scholar] [CrossRef] [PubMed]
- Egger, L.; Ménard, O.; Delgado-Andrade, C.; Alvito, P.; Assunção, R.; Balance, S.; Barberá, R.; Brodkorb, A.; Cattenoz, T.; Clemente, A.; et al. The harmonized INFOGEST in vitro digestion method: From knowledge to action. Food Res. Int. 2016, 88, 217–225. [Google Scholar] [CrossRef]
- Dziuba, M.; Dziuba, B. In silico analysis of bioactive peptides. In Bioactive Proteins and Peptides as Functional Foods and Nutraceuticals; Blackwell: Oxford, UK, 2010; pp. 325–340. [Google Scholar]
- Peach, M.J. Renin-angiotensin system: Biochemistry and mechanisms of action. Physiol. Rev. 1977, 57, 313–370. [Google Scholar] [CrossRef]
- Bischoff, H. The mechanism of alpha-glucosidase inhibition in the management of diabetes. Clin. Investig. Med. Med. Clin. Exp. 1995, 18, 303–311. [Google Scholar]
- Kumar, P.; Reithofer, V.; Reisinger, M.; Wallner, S.; Pavkov-Keller, T.; Macheroux, P.; Gruber, K. Substrate complexes of human dipeptidyl peptidase III reveal the mechanism of enzyme inhibition. Sci. Rep. 2016, 6, 23787. [Google Scholar] [CrossRef]
- Pang, X.; Shimizu, A.; Kurita, S.; Zankov, D.P.; Takeuchi, K.; Yasuda-Yamahara, M.; Kume, S.; Ishida, T.; Ogita, H. Novel Therapeutic Role for Dipeptidyl Peptidase III in the Treatment of Hypertension. Hypertension 2016, 68, 630–641. [Google Scholar] [CrossRef]
- Acquah, C.; Chan, Y.W.; Pan, S.; Agyei, D.; Udenigwe, C.C. Structure-informed separation of bioactive peptides. J. Food Biochem. 2019, 43, e12765. [Google Scholar] [CrossRef]
- Singh, B.; Singh, J.P.; Kaur, A.; Singh, N. Phenolic composition and antioxidant potential of grain legume seeds: A review. Food Res. Int. 2017, 101, 1–16. [Google Scholar] [CrossRef] [PubMed]
- Zhang, Y.; Pechan, T.; Chang, S.K.C. Antioxidant and angiotensin-I converting enzyme inhibitory activities of phenolic extracts and fractions derived from three phenolic-rich legume varieties. J. Funct. Foods 2018, 42, 289–297. [Google Scholar] [CrossRef] [PubMed]
- Al Shukor, N.; Van Camp, J.; Gonzales, G.B.; Staljanssens, D.; Struijs, K.; Zotti, M.J.; Raes, K.; Smagghe, G. Angiotensin-Converting Enzyme Inhibitory Effects by Plant Phenolic Compounds: A Study of Structure Activity Relationships. J. Agric. Food Chem. 2013, 61, 11832–11839. [Google Scholar] [CrossRef] [PubMed]
- Chen, H.; Liu, L.-j.; Zhu, J.-j.; Xu, B.; Li, R. Effect of soybean oligosaccharides on blood lipid, glucose levels and antioxidant enzymes activity in high fat rats. Food Chem. 2010, 119, 1633–1636. [Google Scholar] [CrossRef]
- Endringer, D.C.; Oliveira, O.V.; Braga, F.C. In vitro and in silico inhibition of angiotensin-converting enzyme by carbohydrates and cyclitols. Chem. Pap. 2014, 68, 37–45. [Google Scholar] [CrossRef]
- Martínez-Villaluenga, C.; Frías, J. Production and bioactivity of oligosaccharides in plant foods. In Food Oligosaccharides; John Wiley & Sons: Hoboken, NJ, USA, 2014; pp. 35–54. [Google Scholar] [CrossRef]
- Kedare, S.B.; Singh, R.P. Genesis and development of DPPH method of antioxidant assay. J. Food Sci. Technol. 2011, 48, 412–422. [Google Scholar] [CrossRef]
- Moniruzzaman, M.; Khalil, D.; Sulaiman, S.A.; Gan, S. Advances in the analytical methods for determining the antioxidant properties of honey. Afr. J. Tradit. Complement. Altern. Med. 2012, 9, 36–42. [Google Scholar] [CrossRef]
- Re, R.; Pellegrini, N.; Proteggente, A.; Pannala, A.; Yang, M.; Rice-Evans, C. Antioxidant activity applying an improved ABTS radical cation decolorization assay. Free. Radic. Biol. Med. 1999, 26, 1231–1237. [Google Scholar] [CrossRef]
- Watanabe, J.; Oki, T.; Takebayashi, J.; Yamasaki, K.; Takano-Ishikawa, Y.; Hino, A.; Yasui, A. Method Validation by Interlaboratory Studies of Improved Hydrophilic Oxygen Radical Absorbance Capacity Methods for the Determination of Antioxidant Capacities of Antioxidant Solutions and Food Extracts. Anal. Sci. 2012, 28, 159. [Google Scholar] [CrossRef]
- Liang, N.; Kitts, D.D. Antioxidant property of coffee components: Assessment of methods that define mechanisms of action. Molecules 2014, 19, 19180–19208. [Google Scholar] [CrossRef]
- Zhong, Y.; Shahidi, F. 12—Methods for the assessment of antioxidant activity in foods. In Handbook of Antioxidants for Food Preservation; Shahidi, F., Ed.; Woodhead Publishing: Sawston, UK, 2015; pp. 287–333. [Google Scholar] [CrossRef]
- Gulcin, İ. Antioxidants and antioxidant methods: An updated overview. Arch. Toxicol. 2020, 94, 651–715. [Google Scholar] [CrossRef] [PubMed]
- Wang, J.; Hu, S.; Nie, S.; Yu, Q.; Xie, M. Reviews on Mechanisms of In Vitro Antioxidant Activity of Polysaccharides. Oxidative Med. Cell. Longev. 2016, 2016, 5692852. [Google Scholar] [CrossRef] [PubMed]
- Santos, J.S.; Brizola, V.R.A.; Granato, D. High-throughput assay comparison and standardization for metal chelating capacity screening: A proposal and application. Food Chem. 2017, 214, 515–522. [Google Scholar] [CrossRef] [PubMed]
- Parya Samaei, S.; Ghorbani, M.; Tagliazucchi, D.; Martini, S.; Gotti, R.; Themelis, T.; Tesini, F.; Gianotti, A.; Gallina Toschi, T.; Babini, E. Functional, nutritional, antioxidant, sensory properties and comparative peptidomic profile of faba bean (Vicia faba, L.) seed protein hydrolysates and fortified apple juice. Food Chem. 2020, 330, 127120. [Google Scholar] [CrossRef]
- Kellett, M.E.; Greenspan, P.; Pegg, R.B. Modification of the cellular antioxidant activity (CAA) assay to study phenolic antioxidants in a Caco-2 cell line. Food Chem. 2018, 244, 359–363. [Google Scholar] [CrossRef]
- Wolfe, K.L.; Liu, R.H. Cellular antioxidant activity (CAA) assay for assessing antioxidants, foods, and dietary supplements. J. Agric. Food Chem. 2007, 55, 8896–8907. [Google Scholar] [CrossRef]
- Wan, H.; Liu, D.; Yu, X.; Sun, H.; Li, Y. A Caco-2 cell-based quantitative antioxidant activity assay for antioxidants. Food Chem. 2015, 175, 601–608. [Google Scholar] [CrossRef]
- Chen, Y.; Zhang, H.; Liu, R.; Mats, L.; Zhu, H.; Pauls, K.P.; Deng, Z.; Tsao, R.J.J.o.F.F. Antioxidant and anti-inflammatory polyphenols and peptides of common bean (Phaseolus vulga L.) milk and yogurt in Caco-2 and HT-29 cell models. J. Funct. Foods 2019, 53, 125–135. [Google Scholar] [CrossRef]
- Torres-Fuentes, C.; Contreras, M.d.M.; Recio, I.; Alaiz, M.; Vioque, J. Identification and characterization of antioxidant peptides from chickpea protein hydrolysates. Food Chem. 2015, 180, 194–202. [Google Scholar] [CrossRef]
- Zhang, X.; Noisa, P.; Yongsawatdigul, J. Chemical and Cellular Antioxidant Activities of In Vitro Digesta of Tilapia Protein and Its Hydrolysates. Foods 2020, 9, 833. [Google Scholar] [CrossRef]
- Chaieb, N.; González, J.L.; López-Mesas, M.; Bouslama, M.; Valiente, M. Polyphenols content and antioxidant capacity of thirteen faba bean (Vicia faba L.) genotypes cultivated in Tunisia. Food Res. Int. 2011, 44, 970–977. [Google Scholar] [CrossRef]
- Caron, J.; Domenger, D.; Dhulster, P.; Ravallec, R.; Cudennec, B. Using Caco-2 cells as novel identification tool for food-derived DPP-IV inhibitors. Food Res. Int. 2017, 92, 113–118. [Google Scholar] [CrossRef] [PubMed]
- Zhang, C.; Liu, H.; Chen, S.; Luo, Y. Evaluating the effects of IADHFL on inhibiting DPP-IV activity and expression in Caco-2 cells and contributing to the amount of insulin released from INS-1 cells in vitro. Food Funct. 2018, 9, 2240–2250. [Google Scholar] [CrossRef] [PubMed]
- Lammi, C.; Bollati, C.; Ferruzza, S.; Ranaldi, G.; Sambuy, Y.; Arnoldi, A. Soybean-and lupin-derived peptides inhibit DPP-IV activity on in situ human intestinal Caco-2 cells and ex vivo human serum. Nutrients 2018, 10, 1082. [Google Scholar] [CrossRef] [PubMed]
- Aiello, G.; Li, Y.; Boschin, G.; Bollati, C.; Arnoldi, A.; Lammi, C. Chemical and biological characterization of spirulina protein hydrolysates: Focus on ACE and DPP-IV activities modulation. J. Funct. Foods 2019, 63, 103592. [Google Scholar] [CrossRef]
- Mamone, G.; Picariello, G.; Ramondo, A.; Nicolai, M.A.; Ferranti, P. Production, digestibility and allergenicity of hemp (Cannabis sativa L.) protein isolates. Food Res. Int. 2019, 115, 562–571. [Google Scholar] [CrossRef]
- Lacroix, I.M.E.; Li-Chan, E.C.Y. Comparison of the susceptibility of porcine and human dipeptidyl-peptidase IV to inhibition by protein-derived peptides. Peptides 2015, 69, 19–25. [Google Scholar] [CrossRef]
- Alghamdi, S.S. Chemical composition of faba bean (Vicia faba L.) genotypes under various water regimes. Pak. J. Nutr. 2009, 8, 477–482. [Google Scholar] [CrossRef]
- Manzanares, P.; Gandía, M.; Garrigues, S.; Marcos, J.F. Improving Health-Promoting Effects of Food-Derived Bioactive Peptides through Rational Design and Oral Delivery Strategies. Nutrients 2019, 11, 2545. [Google Scholar] [CrossRef]
- Karami, Z.; Akbari-Adergani, B. Bioactive food derived peptides: A review on correlation between structure of bioactive peptides and their functional properties. J. Food Sci. Technol. 2019, 56, 535–547. [Google Scholar] [CrossRef]
- Lopez-Barrios, L.; Gutierrez-Uribe, J.A.; Serna-Saldivar, S.O. Bioactive peptides and hydrolysates from pulses and their potential use as functional ingredients. J. Food Sci. 2014, 79, R273–R283. [Google Scholar] [CrossRef] [PubMed]
- Xiong, Y.L. Antioxidant peptides. In Bioactive Proteins and Peptides as Functional Foods and Nutraceuticals; Blackwell: Oxford, UK, 2010; pp. 29–42. [Google Scholar]
- Di Stefano, E.; Tsopmo, A.; Oliviero, T.; Fogliano, V.; Udenigwe, C.C. Bioprocessing of common pulses changed seed microstructures, and improved dipeptidyl peptidase-IV and α-glucosidase inhibitory activities. Sci. Rep. 2019, 9, 15308. [Google Scholar] [CrossRef] [PubMed]
- Loizzo, M.R.; Bonesi, M.; Leporini, M.; Falco, T.; Sicari, V.; Tundis, R. Chemical Profile and In Vitro Bioactivity of Vicia faba Beans and Pods. Proceedings 2021, 70, 45. [Google Scholar]
- Minkiewicz, P.; Iwaniak, A.; Darewicz, M. BIOPEP-UWM Database of Bioactive Peptides: Current Opportunities. Int. J. Mol. Sci. 2019, 20, 5978. [Google Scholar] [CrossRef] [PubMed]
- Dziuba, J.; Iwaniak, A.; Minkiewicz, P. Computer-aided characteristics of proteins as potential precursors of bioactive peptides. Polimery 2003, 48, 50–53. [Google Scholar] [CrossRef]
- L’Hocine, L.; Boye, J.I.; Arcand, Y. Composition and Functional Properties of Soy Protein Isolates Prepared Using Alternative Defatting and Extraction Procedures. J. Food Sci. 2006, 71, C137–C145. [Google Scholar] [CrossRef]
- Ma, Z.; Boye, J.I.; Simpson, B.K.; Prasher, S.O.; Monpetit, D.; Malcolmson, L. Thermal processing effects on the functional properties and microstructure of lentil, chickpea, and pea flours. Food Res. Int. 2011, 44, 2534–2544. [Google Scholar] [CrossRef]
- Hausch, F.; Shan, L.; Santiago, N.A.; Gray, G.M.; Khosla, C. Intestinal digestive resistance of immunodominant gliadin peptides. Am. J. Physiol. Liver Physiol. 2002, 283, G996–G1003. [Google Scholar] [CrossRef]
- Adler-Nissen, J. Determination of the degree of hydrolysis of food protein hydrolysates by trinitrobenzenesulfonic acid. J. Agric. Food Chem. 1979, 27, 1256–1262. [Google Scholar] [CrossRef]
- Mason, E. Nutritional and Bioactive Properties of Glabrous Canaryseed (Phalaris canariensis, L.) Proteins. Master’s Thesis, McGill University, Montreal, QC, Canada, 2019. [Google Scholar]
- Achouri, A.; Boye, J.I.; Belanger, D.; Chiron, T.; Yaylayan, V.A.; Yeboah, F.K. Functional and molecular properties of calcium precipitated soy glycinin and the effect of glycation with κ-carrageenan. Food Res. Int. 2010, 43, 1494–1504. [Google Scholar] [CrossRef]
- Mason, E.; L’Hocine, L.; Achouri, A.; Pitre, M.; Karboune, S. Health Promoting Bioactive Properties of Novel Hairless Canary Seed Flour after In Vitro Gastrointestinal Digestion. Foods 2020, 9, 932. [Google Scholar] [CrossRef] [PubMed]
- AOAC International (Ed.) Official Methods of Analysis of AOAC International; AOAC International: Arlington, TX, USA, 1995. [Google Scholar]
- Singleton, V.L.; Orthofer, R.; Lamuela-Raventós, R.M. [14] Analysis of total phenols and other oxidation substrates and antioxidants by means of folin-ciocalteu reagent. In Methods in Enzymology; Academic Press: Cambridge, MA, USA, 1999; Volume 299, pp. 152–178. [Google Scholar]
- DuBois, M.; Gilles, K.A.; Hamilton, J.K.; Rebers, P.A.; Smith, F. Colorimetric Method for Determination of Sugars and Related Substances. Anal. Chem. 1956, 28, 350–356. [Google Scholar] [CrossRef]
- Orona-Tamayo, D.; Valverde, M.E.; Nieto-Rendón, B.; Paredes-López, O. Inhibitory activity of chia (Salvia hispanica L.) protein fractions against angiotensin I-converting enzyme and antioxidant capacity. LWT—Food Sci. Technol. 2015, 64, 236–242. [Google Scholar] [CrossRef]
- Tomer, D.P.; McLeman, L.D.; Ohmine, S.; Scherer, P.M.; Murray, B.K.; O’Neill, K.L. Comparison of the Total Oxyradical Scavenging Capacity and Oxygen Radical Absorbance Capacity Antioxidant Assays. J. Med. Food 2007, 10, 337–344. [Google Scholar] [CrossRef]
- Barbana, C.; Boye, J.I. Angiotensin I-converting enzyme inhibitory properties of lentil protein hydrolysates: Determination of the kinetics of inhibition. Food Chem. 2011, 127, 94–101. [Google Scholar] [CrossRef]
- Lammi, C.; Aiello, G.; Vistoli, G.; Zanoni, C.; Arnoldi, A.; Sambuy, Y.; Ferruzza, S.; Ranaldi, G. A multidisciplinary investigation on the bioavailability and activity of peptides from lupin protein. J. Funct. Foods 2016, 24, 297–306. [Google Scholar] [CrossRef]
- Keller, A.; Nesvizhskii, A.I.; Kolker, E.; Aebersold, R. Empirical statistical model to estimate the accuracy of peptide identifications made by MS/MS and database search. Anal. Chem. 2002, 74, 5383–5392. [Google Scholar] [CrossRef]
- Nesvizhskii, A.I.; Keller, A.; Kolker, E.; Aebersold, R. A Statistical Model for Identifying Proteins by Tandem Mass Spectrometry. Anal. Chem. 2003, 75, 4646–4658. [Google Scholar] [CrossRef]
- Zaky, A.A.; Simal-Gandara, J.; Eun, J.-B.; Shim, J.-H.; Abd El-Aty, A.M. Bioactivities, Applications, Safety, and Health Benefits of Bioactive Peptides from Food and By-Products: A Review. Front. Nutr. 2022, 8, 4646–4658. [Google Scholar] [CrossRef]
Publisher’s Note: MDPI stays neutral with regard to jurisdictional claims in published maps and institutional affiliations. |
© 2022 by the authors. Licensee MDPI, Basel, Switzerland. This article is an open access article distributed under the terms and conditions of the Creative Commons Attribution (CC BY) license (https://creativecommons.org/licenses/by/4.0/).











