Design and Synthesis of Benzene Homologues Tethered with 1,2,4-Triazole and 1,3,4-Thiadiazole Motifs Revealing Dual MCF-7/HepG2 Cytotoxic Activity with Prominent Selectivity via Histone Demethylase LSD1 Inhibitory Effect
Abstract
:1. Introduction
2. Results and Discussion
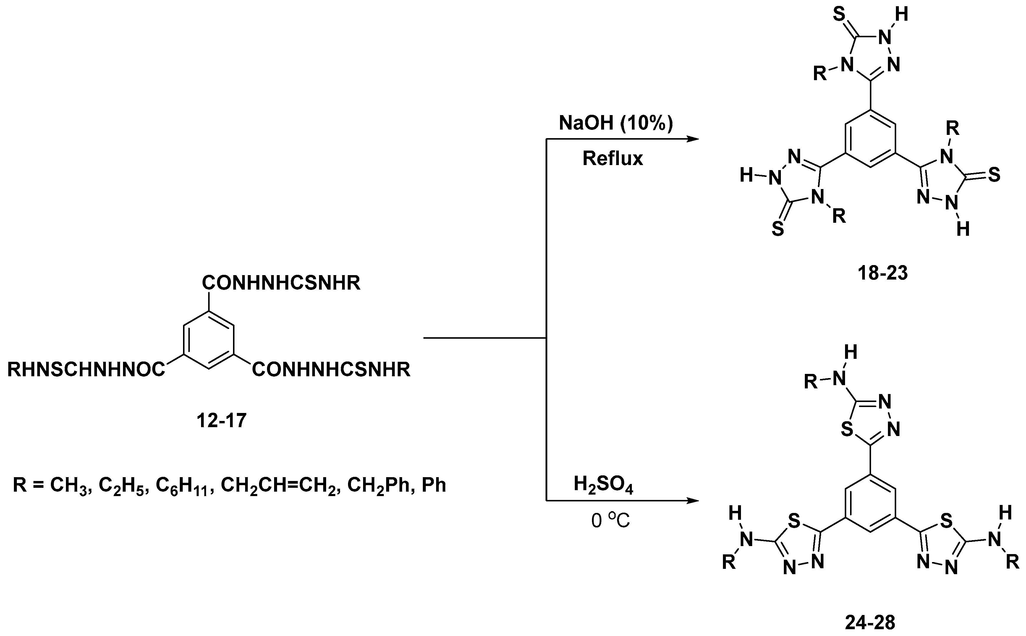
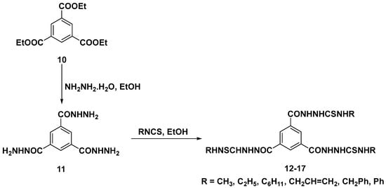
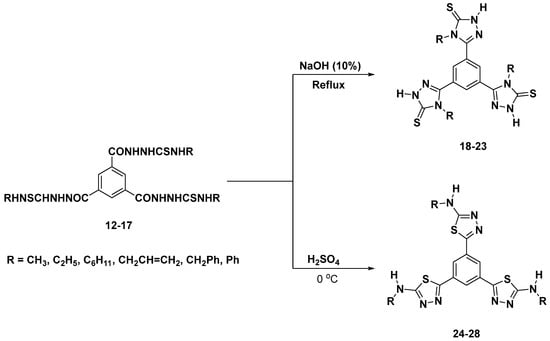
2.1. Chemistry
2.2. Biological Screening
2.2.1. In Vitro Antitumor Activity
2.2.2. LSD1 Demethylase Inhibition Assay
2.2.3. Cell Cycle Analysis
2.2.4. Apoptosis Detection Using Annexin V-Fluorescein Isothiocyanate (FITC)/PI Dual Staining Assay
2.2.5. DNA Fragmentation
2.2.6. Target MAO Selectivity Analysis
2.2.7. Molecular Modeling Study
2.2.8. Molecular Docking Study
2.2.9. Surface Mapping
2.2.10. Computational Pharmacokinetic Analysis
3. Methods and Materials
3.1. General Chemistry
3.2. Cytotoxicity Assay
3.3. LSD1 Enzymatic Inhibitory Activity Assay
3.4. Cell Cycle Analysis and Apoptosis Detection
3.5. Apoptosis Assay
3.6. DNA Fragmentation
3.7. Cell Cycle Analysis
3.8. MAO Activity Screening
3.9. Statistical Analysis
3.10. Molecular Docking
4. Conclusions
Supplementary Materials
Author Contributions
Funding
Acknowledgments
Conflicts of Interest
References
- Sener, S.F.; Grey, N. The global burden of cancer. J. Surg. Oncol. 2005, 92, 1–3. [Google Scholar] [CrossRef] [PubMed]
- Salminen, E.; Izewska, J.; Andreo, P. IAEA’s role in the global management of cancer-focus on upgrading radiotherapy services. Acta Oncol. 2005, 44, 816–824. [Google Scholar] [CrossRef] [PubMed] [Green Version]
- Garraway, L.A.; Jänne, P.A. Circumventing Cancer Drug Resistance in the Era of Personalized Medicine. Cancer Discov. 2012, 2, 214–226. [Google Scholar] [CrossRef] [PubMed] [Green Version]
- Denny, L. REVIEW: The prevention of cervical cancer in developing countries. BJOG Int. J. Obstet. Gynaecol. 2005, 112, 1204–1212. [Google Scholar] [CrossRef] [PubMed]
- Ferlay, J.; Soerjomataram, I.; Dikshit, R.; Eser, S.; Mathers, C.; Rebelo, M.; Parkin, D.M.; Forman, D.; Bray, F. Cancer incidence and mortality worldwide: Sources, methods and major patterns in GLOBOCAN 2012. Int. J. Cancer 2015, 136, E359–E386. [Google Scholar] [CrossRef]
- Konstantinopoulos, P.A.; Papavassiliou, A.G. Seeing the future of cancer-associated transcription factor drug targets. JAMA 2011, 305, 2349–2350. [Google Scholar] [CrossRef]
- Chohan, T.A.; Qayyum, A.; Rehman, K.; Tariq, M.; Akash, M.S.H. An insight into the emerging role of cyclin-dependent kinase inhibitors as potential therapeutic agents for the treatment of advanced cancers. Biomed. Pharmacother. 2018, 107, 1326–1341. [Google Scholar] [CrossRef]
- Pawełczyk, A.; Sowa-Kasprzak, K.; Olender, D.; Zaprutko, L. Molecular Consortia—Various Structural and Synthetic Concepts for More Effective Therapeutics Synthesis. Int. J. Mol. Sci. 2018, 19, 1104. [Google Scholar] [CrossRef] [Green Version]
- Kerru, N.; Gummidi, L.; Maddila, S.; Gangu, K.K.; Jonnalagadda, S.B. A Review on Recent Advances in Nitrogen-Containing Molecules and Their Biological Applications. Molecules 2020, 25, 1909. [Google Scholar] [CrossRef]
- Bozorov, K.; Zhao, J.; Aisa, H.A. 1,2,3-Triazole-containing hybrids as leads in medicinal chemistry: A recent overview. Bioorg. Med. Chem. 2019, 27, 3511–3531. [Google Scholar] [CrossRef]
- Sidhu, J.S.; Singla, R.; Mayank; Jaitak, V. Indole Derivatives as Anticancer Agents for Breast Cancer Therapy: A Review. Anti-Cancer Agents Med. Chem. 2015, 16, 160–173. [Google Scholar] [CrossRef] [PubMed]
- Martins, P.; Jesus, J.; Santos, S.; Raposo, L.R.; Roma-Rodrigues, C.; Baptista, P.V.; Fernandes, A.R. Heterocyclic Anticancer Compounds: Recent Advances and the Paradigm Shift towards the Use of Nanomedicine’s Tool Box. Molecules 2015, 20, 16852–16891. [Google Scholar] [CrossRef] [PubMed]
- Tahlan, S.; Kumar, P.; Ramasamy, K.; Mani, V.; Mishra, R.K.; Majeed, A.B.A.; Narasimhan, B. Synthesis, antimicrobial, anticancer evaluation and QSAR studies of N′-substituted benzylidene/2-hydroxynaphthalen-1-ylmethylene/3-phenylallylidene/5-oxopentylidene-4-(2-oxo-2-(4H-1,2,4-triazol-4-yl) methylamino)benzohydrazides. Arab. J. Chem. 2017, 10, S2009–S2017. [Google Scholar] [CrossRef] [Green Version]
- Aliabadi, A.; Mohammadi-Frarni, A.; Azizi, M.; Ahmadi, F. Design, Synthesis and Cytotoxicity Evaluation of N-(5-Benzylthio)-4H-1,2,4-Triazol-3-YL)-4-Fluorobenzamide Derivatives as Potential Anticancer Agents. Pharm. Chem. J. 2016, 49, 694–699. [Google Scholar] [CrossRef]
- Kommagalla, Y.; Cornea, S.; Riehle, R.D.; Torchilin, V.P.; Degterev, A.; Ramana, C.V. Optimization of the anti-cancer activity of the phosphatidylinositol-3 kinase pathway inhibitor PITENIN-1: Switching thiourea with 1,2,3-triazole. MedChemComm 2014, 5, 1359–1363. [Google Scholar] [CrossRef] [Green Version]
- Liao, L.; Jiang, C.; Chen, J.; Shi, J.; Li, X.; Wang, Y.; Wen, J.; Zhou, S.; Liang, J.; Lao, Y.; et al. Synthesis and biological evaluation of 1,2,4-triazole derivatives as potential neuroprotectant against ischemic brain injury. Eur. J. Med. Chem. 2020, 190, 112114. [Google Scholar] [CrossRef]
- Supuran, C.T.; Briganti, F.; Tilli, S.; Chegwidden, W.; Scozzafava, A. Carbonic anhydrase inhibitors: Sulfonamides as antitumor agents? Bioorg. Med. Chem. 2001, 9, 703–714. [Google Scholar] [CrossRef]
- Liang, G.; Yang, S.; Zhou, H.; Shao, L.; Huang, K.; Xiao, J.; Huang, Z.; Li, X. Synthesis, crystal structure and anti-inflammatory properties of curcumin analogues. Eur. J. Med. Chem. 2009, 44, 915–919. [Google Scholar] [CrossRef]
- Jain, A.K.; Sharma, S.; Vaidya, A.; Ravichandran, V.; Agrawal, R.K. 1,3,4-Thiadiazole and its Derivatives: A Review on Recent Progress in Biological Activities. Chem. Biol. Drug Des. 2013, 81, 557–576. [Google Scholar] [CrossRef]
- Kamoutsis, C.; Fesatidou, M.; Petrou, A.; Geronikaki, A.; Poroikov, V.; Ivanov, M.; Soković, M.; Ćirić, A.; Carazo, A.; Mladěnka, P. Triazolo Based-Thiadiazole Derivatives. Synthesis, Biological Evaluation and Molecular Docking Studies. Antibiotics 2021, 10, 804. [Google Scholar] [CrossRef]
- Rezki, N.; Mayaba, M.M.; Al-blewi, F.F.; Aouad, M.R.; El Ashry, E.S.H. Click 1,4-regioselective synthesis, characterization, and antimicrobial screening of novel 1,2,3-triazoles tethering fluorinated 1,2,4-triazole and lipophilic side chain. Res. Chem. Intermed. 2017, 43, 995–1011. [Google Scholar] [CrossRef]
- Rezki, N.; Almehmadi, M.A.; Ihmaid, S.; Shehata, A.M.; Omar, A.M.; Ahmed, H.E.; Aouad, M.R. Novel scaffold hopping of potent benzothiazole and isatin analogues linked to 1,2,3-triazole fragment that mimic quinazoline epidermal growth factor receptor inhibitors: Synthesis, antitumor and mechanistic analyses. Bioorg. Chem. 2020, 103, 104133. [Google Scholar] [CrossRef]
- Rezki, N. Green Microwave Synthesis and Antimicrobial Evaluation of Novel Triazoles. Org. Prep. Proced. Int. 2017, 49, 525–541. [Google Scholar] [CrossRef]
- Aouad, M.R.; Soliman, M.A.; Alharbi, M.O.; Bardaweel, S.K.; Sahu, P.K.; Ali, A.A.; Messali, M.; Rezki, N.; Al-Soud, Y.A. Design, Synthesis and Anticancer Screening of Novel Benzothiazole-Piperazine-1,2,3-Triazole Hybrids. Molecules 2018, 23, 2788. [Google Scholar] [CrossRef] [PubMed] [Green Version]
- Aouad, M.R.; Mayaba, M.M.; Naqvi, A.; Bardaweel, S.K.; Al-Blewi, F.F.; Messali, M.; Rezki, N. Design, synthesis, in silico and in vitro antimicrobial screenings of novel 1,2,4-triazoles carrying 1,2,3-triazole scaffold with lipophilic side chain tether. Chem. Cent. J. 2017, 11, 1–13. [Google Scholar] [CrossRef] [Green Version]
- Aouad, M.R.; Almehmadi, M.A.; Rezki, N.; Al-Blewi, F.F.; Messali, M.; Ali, I. Design, click synthesis, anticancer screening and docking studies of novel benzothiazole-1,2,3-triazoles appended with some bioactive benzofused heterocycles. J. Mol. Struct. 2019, 1188, 153–164. [Google Scholar] [CrossRef]
- Alraqa, S.Y.; Alharbi, K.; Aljuhani, A.; Rezki, N.; Aouad, M.R.; Ali, I. Design, click conventional and microwave syntheses, DNA binding, docking and anticancer studies of benzotriazole-1,2,3-triazole molecular hybrids with different pharmacophores. J. Mol. Struct. 2020, 1225, 129192. [Google Scholar] [CrossRef]
- Almehmadi, M.A.; Aljuhani, A.; Alraqa, S.Y.; Ali, D.I.; Rezki, N.; Aouad, M.R.; Hagar, M. Design, synthesis, DNA binding, modeling, anticancer studies and DFT calculations of Schiff bases tethering benzothiazole-1,2,3-triazole conjugates. J. Mol. Struct. 2020, 1225, 129148. [Google Scholar] [CrossRef]
- Al-Blewi, F.F.; Almehmadi, M.A.; Aouad, M.R.; Bardaweel, S.K.; Sahu, P.K.; Messali, M.; Rezki, N.; El Ashry, E.S.H. Design, synthesis, ADME prediction and pharmacological evaluation of novel benzimidazole-1,2,3-triazole-sulfonamide hybrids as antimicrobial and antiproliferative agents. Chem. Cent. J. 2018, 12, 110. [Google Scholar] [CrossRef]
- Shi, Y.; Lan, F.; Matson, C.; Mulligan, P.; Whetstine, J.R.; Cole, P.A.; Casero, R.A.; Shi, Y. Histone Demethylation Mediated by the Nuclear Amine Oxidase Homolog LSD1. Cell 2004, 119, 941–953. [Google Scholar] [CrossRef] [Green Version]
- Amente, S.; Lania, L.; Majello, B. The histone LSD1 demethylase in stemness and cancer transcription programs. Biochim. Biophys. Acta (BBA)-Gene Regul. Mech. 2013, 1829, 981–986. [Google Scholar] [CrossRef] [PubMed] [Green Version]
- Hill, J.M.; Quenelle, D.C.; Cardin, R.D.; Vogel, J.L.; Clement, C.; Bravo, F.J.; Foster, T.P.; Bosch-Marce, M.; Raja, P.; Lee, J.S.; et al. Inhibition of LSD1 reduces herpesvirus infection, shedding, and recurrence by promoting epigenetic suppression of viral genomes. Sci. Transl. Med. 2014, 6, 265ra169. [Google Scholar] [CrossRef] [PubMed] [Green Version]
- Sheng, W.; LaFleur, M.W.; Nguyen, T.H.; Chen, S.; Chakravarthy, A.; Conway, J.R.; Li, Y.; Chen, H.; Yang, H.; Hsu, P.-H.; et al. LSD1 Ablation Stimulates Anti-tumor Immunity and Enables Checkpoint Blockade. Cell 2018, 174, 549–563.e19. [Google Scholar] [CrossRef] [PubMed] [Green Version]
- Punnia-Moorthy, G.; Hersey, P.; Al Emran, A.; Tiffen, J. Lysine Demethylases: Promising Drug Targets in Melanoma and Other Cancers. Front. Genet. 2021, 12, 680633. [Google Scholar] [CrossRef]
- Kutz, C.J.; Holshouser, S.L.; Marrow, E.A.; Woster, P.M. 3,5-Diamino-1,2,4-triazoles as a novel scaffold for potent, reversible LSD1 (KDM1A) inhibitors. MedChemComm 2014, 5, 1863–1870. [Google Scholar] [CrossRef] [Green Version]
- Qin, Y.; Vasilatos, S.N.; Chen, L.; Wu, H.; Cao, Z.; Fu, Y.; Huang, M.; Vlad, A.M.; Lu, B.; Oesterreich, S.; et al. Inhibition of histone lysine-specific demethylase 1 elicits breast tumor immunity and enhances antitumor efficacy of immune checkpoint blockade. Oncogene 2018, 38, 390–405. [Google Scholar] [CrossRef]
- Lee, J.; Molley, T.G.; Seward, C.H.; Abdeen, A.A.; Zhang, H.; Wang, X.; Gandhi, H.; Yang, J.-L.; Gaus, K.; Kilian, K.A. Geometric regulation of histone state directs melanoma reprogramming. Commun. Biol. 2020, 3, 341. [Google Scholar] [CrossRef]
- Omar, A.M.; Bajorath, J.; Ihmaid, S.; Mohamed, H.M.; El-Agrody, A.M.; Mora, A.; El-Araby, M.E.; Ahmed, H.E. Novel molecular discovery of promising amidine-based thiazole analogues as potent dual Matrix Metalloproteinase-2 and 9 inhibitors: Anticancer activity data with prominent cell cycle arrest and DNA fragmentation analysis effects. Bioorg. Chem. 2020, 101, 103992. [Google Scholar] [CrossRef]
- Nie, Z.; Shi, L.; Lai, C.; Severin, C.; Xu, J.; Del Rosario, J.R.; Stansfield, R.K.; Cho, R.W.; Kanouni, T.; Veal, J.M.; et al. Structure-based design and discovery of potent and selective lysine-specific demethylase 1 (LSD1) inhibitors. Bioorg. Med. Chem. Lett. 2018, 29, 103–106. [Google Scholar] [CrossRef]
- Wang, S.; Zhao, L.J.; Zheng, Y.C.; Shen, D.D.; Miao, E.F.; Qiao, X.P.; Zhao, L.J.; Liu, Y.; Huang, R.; Yu, B.; et al. Design, synthesis and biological evaluation of [1,2,4]triazolo[1,5-a]pyrimidines as potent lysine specific demethylase 1 (LSD1/KDM1A) inhibitors. Eur. J. Med. Chem. 2017, 125, 940–951. [Google Scholar] [CrossRef]
- Fang, Y.; Yang, C.; Yu, Z.; Li, X.; Mu, Q.; Liao, G.; Yu, B. Natural products as LSD1 inhibitors for cancer therapy. Acta Pharm. Sin. B 2020, 11, 621–631. [Google Scholar] [CrossRef] [PubMed]
- Fang, Y.; Liao, G.; Yu, B. LSD1/KDM1A inhibitors in clinical trials: Advances and prospects. J. Hematol. Oncol. 2019, 12, 129–143. [Google Scholar] [CrossRef] [PubMed] [Green Version]
- Li, Z.; Ding, L.; Li, Z.; Wang, Z.; Suo, F.; Shen, D.; Zhao, T.; Sun, X.; Wang, J.; Liu, Y.; et al. Development of the triazole-fused pyrimidine derivatives as highly potent and reversible inhibitors of histone lysine specific demethylase 1 (LSD1/KDM1A). Acta Pharm. Sin. B 2019, 9, 794–808. [Google Scholar] [CrossRef] [PubMed]
- Al-Zaydi, K.M.; Nhari, L.M.; Borik, R.M.; Elnagdi, M.H. Green technologies in organic synthesis: Self-condensation of enamines, enaminones and enaminoesters under microwave irradiation in ionic liquid. Green Chem. Lett. Rev. 2010, 3, 93–99. [Google Scholar] [CrossRef]
- Dutta, B.; De, R.; Chowdhury, J. Prototropic tautomerism of 4-Methyl 1,2,4-Triazole-3-Thione molecule in solvent water medium: DFT and Car–Parrinello molecular dynamics study. Chem. Phys. 2015, 463, 30–37. [Google Scholar] [CrossRef]
- Lee, K.-H.; Kim, B.-C.; Jeong, S.-H.; Jeong, C.W.; Ku, J.H.; Kwak, C.; Kim, H.H. Histone Demethylase LSD1 Regulates Kidney Cancer Progression by Modulating Androgen Receptor Activity. Int. J. Mol. Sci. 2020, 21, 6089. [Google Scholar] [CrossRef]
- Sehrawat, A.; Gao, L.; Wang, Y.; Bankhead, A.; McWeeney, S.K.; King, C.J.; Schwartzman, J.; Urrutia, J.; Bisson, W.H.; Coleman, D.J.; et al. LSD1 activates a lethal prostate cancer gene network independently of its demethylase function. Proc. Natl. Acad. Sci. USA 2018, 115, E4179–E4188. [Google Scholar] [CrossRef] [Green Version]
- Callegari, K.; Maegawa, S.; Bravo-Alegria, J.; Gopalakrishnan, V. Pharmacological inhibition of LSD1 activity blocks REST-dependent medulloblastoma cell migration. Cell Commun. Signal. 2018, 16, 60. [Google Scholar] [CrossRef] [Green Version]
- de Santana, T.I.; Barbosa, M.d.O.; Gomes, P.A.T.d.M.; da Cruz, A.C.N.; da Silva, T.G.; Leite, A.C.L. Synthesis, anticancer activity and mechanism of action of new thiazole derivatives. Eur. J. Med. Chem. 2018, 144, 874–886. [Google Scholar] [CrossRef]
- Coppola, J.M.; Ross, B.D.; Rehemtulla, A. Noninvasive Imaging of Apoptosis and Its Application in Cancer Therapeutics. Clin. Cancer Res. 2008, 14, 2492–2501. [Google Scholar] [CrossRef] [Green Version]
- Doddakunche, S.P.; Chandagirikoppal, K.V.; Kambappa, V.; Somasagara, R.R.; Byregowda, R.; Sunil, K.Y.C.; Sathees, R.C.; Kanchugarakoppal, R.S. Synthesis and Antileukemic Activity of 1-((S)-2-Amino-4,5,6,7-tetrahydrobenzo[d]thiazol-6-yl)-3-(substituted phenyl)urea Derivatives. Bull. Chem. Soc. Jpn. 2010, 83, 689–697. [Google Scholar]
- Amer, A.; Hegazi, A.H.; Alshekh, M.K.; Ahmed, H.E.A.; Soliman, S.M.; Maniquet, A.; Ramsay, R.R. Design, synthesis, molecular modelling and in vitro screening of monoamine oxidase inhibitory activities of novel quinazolyl hydrazine derivatives. R. Soc. Open Sci. 2020, 7, 200050. [Google Scholar] [CrossRef] [PubMed] [Green Version]
- Maes, T.; Carceller, E.; Salas, J.; Ortega, A.; Buesa, C. Advances in the development of histone lysine demethylase inhibitors. Curr. Opin. Pharmacol. 2015, 23, 52–60. [Google Scholar] [CrossRef] [PubMed]
- Niwa, H.; Sato, S.; Hashimoto, T.; Matsuno, K.; Umehara, T. Crystal Structure of LSD1 in Complex with 4-[5-(Piperidin-4-ylmethoxy)-2-(p-tolyl)pyridin-3-yl]benzonitrile. Molecules 2018, 23, 1538. [Google Scholar] [CrossRef] [Green Version]
- Wu, F.; Zhou, C.; Yao, Y.; Wei, L.; Feng, Z.; Deng, L.; Song, Y. 3-(Piperidin-4-ylmethoxy)pyridine Containing Compounds Are Potent Inhibitors of Lysine Specific Demethylase 1. J. Med. Chem. 2015, 59, 253–263. [Google Scholar] [CrossRef]
- Potter, A.J.; Ray, S.; Gueritz, L.; Nunns, C.L.; Bryant, C.J.; Scrace, S.F.; Matassova, N.; Baker, L.; Dokurno, P.; Robinson, D.A.; et al. Structure-guided design of α-amino acid-derived Pin1 inhibitors. Bioorg. Med. Chem. Lett. 2010, 20, 586–590. [Google Scholar] [CrossRef]
- Forneris, F.; Binda, C.; Adamo, A.; Battaglioli, E.; Mattevi, A. Structural Basis of LSD1-CoREST Selectivity in Histone H3 Recognition. J. Biol. Chem. 2007, 282, 20070–20074. [Google Scholar] [CrossRef] [Green Version]
- Zhang, X.; Huang, H.; Zhang, Z.; Yan, J.; Wu, T.; Yin, W.; Sun, Y.; Wang, X.; Gu, Y.; Zhao, D.; et al. Design, synthesis and biological evaluation of novel benzofuran derivatives as potent LSD1 inhibitors. Eur. J. Med. Chem. 2021, 220, 113501. [Google Scholar] [CrossRef]
- Lipinski, C.A.; Lombardo, F.; Dominy, B.W.; Feeney, P.J. Experimental and computational approaches to estimate solubility and permeability in drug discovery and development settings. Adv. Drug Deliv. Rev. 1997, 23, 3–25, Reprinted in Adv. Drug Deliv. Rev. 2001, 46, 3–26. [Google Scholar] [CrossRef]
- Veber, D.F.; Johnson, S.R.; Cheng, H.-Y.; Smith, B.R.; Ward, K.W.; Kopple, K.D. Molecular Properties That Influence the Oral Bioavailability of Drug Candidates. J. Med. Chem. 2002, 45, 2615–2623. [Google Scholar] [CrossRef]
- Davis, M.C. Tricarbamate of 1,3,5-Triaminobenzene via Curtius Rearrangement of Trimesic Acid and Subsequent Nitration. Synth. Commun. 2007, 37, 1457–1462. [Google Scholar] [CrossRef]
- Demirci, F.; Başer, K.H.C. Bioassay Techniques for Drug Development by Atta-ur-Rahman, M. Iqbal Choudhary (HEJRIC, University of Karachi, Pakistan), William, J. Thomsen (Areana Pharmaceuticals, San Diego, CA). Harwood Academic Publishers, Amsterdam, The Netherlands. 2001. xii + 223 pp. 15.5 × 23.5 cm. $79.00. ISBN 90-5823-051-1. J. Nat. Prod. 2002, 65, 1086–1087. [Google Scholar]
- Demchenko, A.P. Beyond annexin V: Fluorescence response of cellular membranes to apoptosis. Cytotechnology 2012, 65, 157–172. [Google Scholar] [CrossRef] [Green Version]
- Denizot, F.; Lang, R. Rapid colorimetric assay for cell growth and survival. Modifications to the tetrazolium dye procedure giving improved sensitivity and reliability. J. Immunol. Methods 1986, 89, 271–277. [Google Scholar] [CrossRef]
- Zheng, Y.C.; Duan, Y.C.; Ma, J.L.; Xu, R.M.; Zi, X.; Lv, W.L.; Wang, M.M.; Ye, X.W.; Zhu, S.; Mobley, D.; et al. Triazole-dithiocarbamate based selective lysine specific demethylase 1 (LSD1) inactivators inhibit gastric cancer cell growth, invasion, and migration. J. Med. Chem. 2013, 56, 8543–8560. [Google Scholar] [CrossRef] [Green Version]
- Willmann, D.; Lim, S.; Wetzel, S.; Metzger, E.; Jandausch, A.; Wilk, W.; Jung, M.; Forne, I.; Imhof, A.; Janzer, A.; et al. Impairment of prostate cancer cell growth by a selective and reversible lysine-specific demethylase 1 inhibitor. Int. J. Cancer 2012, 131, 2704–2709. [Google Scholar] [CrossRef]
- Tortorici, M.; Borrello, M.T.; Tardugno, M.; Chiarelli, L.R.; Pilotto, S.; Ciossani, G.; Vellore, N.A.; Bailey, S.G.; Cowan, J.; O’Connell, M.; et al. Protein Recognition by Short Peptide Reversible Inhibitors of the Chromatin-Modifying LSD1/CoREST Lysine Demethylase. ACS Chem. Biol. 2013, 8, 1677–1682. [Google Scholar] [CrossRef]
- Binda, C.; Valente, S.; Romanenghi, M.; Pilotto, S.; Cirilli, R.; Karytinos, A.; Ciossani, G.; Botrugno, O.A.; Forneris, F.; Tardugno, M.; et al. Biochemical, Structural, and Biological Evaluation of Tranylcypromine Derivatives as Inhibitors of Histone Demethylases LSD1 and LSD2. J. Am. Chem. Soc. 2010, 132, 6827–6833. [Google Scholar] [CrossRef]
- Ihmaid, S.K.; Aljuhani, A.; Alsehli, M.; Rezki, N.; Alawi, A.; Aldhafiri, A.J.; Salama, S.A.; Ahmed, H.E.; Aouad, M.R. Discovery of triaromatic flexible agents bearing 1,2,3-Triazole with selective and potent anti-breast cancer activity and CDK9 inhibition supported by molecular dynamics. J. Mol. Struct. 2021, 1249, 131568. [Google Scholar] [CrossRef]
- van Engeland, M.; Nieland, L.J.; Ramaekers, F.C.; Schutte, B.; Reutelingsperger, C.P. Annexin V-affinity assay: A review on an apoptosis detection system based on phosphatidylserine exposure. Cytometry 1998, 31, 1–9. [Google Scholar] [CrossRef]
- Vermes, I.; Haanen, C.; Steffens-Nakken, H.; Reutellingsperger, C. A novel assay for apoptosis Flow cytometric detection of phosphatidylserine expression on early apoptotic cells using fluorescein labelled Annexin V. J. Immunol. Methods 1995, 184, 39–51. [Google Scholar] [CrossRef] [Green Version]
- Gercel-Taylor, C. Diphenylamine Assay of DNA Fragmentation for Chemosensitivity Testing. In Chemosensitivity: Volume II; Humana Press: Totowa, NJ, USA, 2005; Volume 111, pp. 79–82. [Google Scholar] [CrossRef]
- Ríhová, Z.; Sefc, L.; Necvas, E. Methods used in the detection of apoptosis. Cas. Lek. Ceskych 2001, 140, 168–172. [Google Scholar]
- Boraschi, D.M. Quantitation of DNA fragmentation with diphenylamine. In Apoptosis—A Laboratory Manual of Experimental Methods; Boraschi, D., Bossù, P., Cossarizza, A., Eds.; GCI Publications: L’Aquila, Italy, 1998; Chapter 9. [Google Scholar]
- Rosner, M.; Schipany, K.; Hengstschläger, M. Merging high-quality biochemical fractionation with a refined flow cytometry approach to monitor nucleocytoplasmic protein expression throughout the unperturbed mammalian cell cycle. Nat. Protoc. 2013, 8, 602–626. [Google Scholar] [CrossRef] [PubMed]
- Herraiz, T.; Flores, A.; Fernández, L. Analysis of monoamine oxidase (MAO) enzymatic activity by high-performance liquid chromatography-diode array detection combined with an assay of oxidation with a peroxidase and its application to MAO inhibitors from foods and plants. J. Chromatogr. B Analyt. Technol. Biomed. Life Sci. 2018, 1073, 136–144. [Google Scholar] [CrossRef]
- Zhou, M.; Panchuk-Voloshina, N. A One-Step Fluorometric Method for the Continuous Measurement of Monoamine Oxidase Activity. Anal. Biochem. 1997, 253, 169–174. [Google Scholar] [CrossRef]
- Tan, A.K.; Ramsay, R.R. Substrate-specific enhancement of the oxidative half-reaction of monoamine oxidase. Biochemistry 1993, 32, 2137–2143. [Google Scholar] [CrossRef]
- Profeta, S., Jr.; Allinger, N. Molecular mechanics calculations on aliphatic amines. J. Am. Chem. Soc. 1985, 107, 1907–1918. [Google Scholar] [CrossRef]
- Cornell, W.D.; Cieplak, P.; Bayly, C.I.; Gould, I.R.; Merz, K.M.; Ferguson, D.M.; Spellmeyer, D.C.; Fox, T.; Caldwell, J.W.; Kollman, P.A. A Second Generation Force Field for the Simulation of Proteins, Nucleic Acids, and Organic Molecules. J. Am. Chem. Soc. 1995, 117, 5179–5197. [Google Scholar] [CrossRef] [Green Version]
- Schulte, J.H.; Lim, S.; Schramm, A.; Friedrichs, N.; Koster, J.; Versteeg, R.; Ora, I.; Pajtler, K.; Klein-Hitpass, L.; Kuhfittig-Kulle, S.; et al. Lysine-Specific Demethylase 1 Is Strongly Expressed in Poorly Differentiated Neuroblastoma: Implications for Therapy. Cancer Res. 2009, 69, 2065–2071. [Google Scholar] [CrossRef] [Green Version]












| In Vitro Cytotoxicity IC50 (μM) [a] | ||||||
|---|---|---|---|---|---|---|
| Compound No. | R | MCF-7 | HCT116 | HepG2 | Selectivity | WI38 |
| 1,2,4 Triazole | ||||||
| 18 | CH3 | 23.9 ± 0.52 | 38.6 ± 0.75 | 26.1 ± 0.76 | Less active | ND |
| 19 | C2H5 | 9.66 ± 0.76 | 21.6 ± 0.16 | 55.3 ± 0.44 | MCF-7 Selective | ND |
| 20 | C6H11 | 13.7 ± 0.41 | 10.1 ± 0.37 | 2.65 ± 0.69 | HepG2 Selective | ND |
| 21 | CH2CH=CH2 | 5.83 ± 0.18 | 3.56 ± 0.22 | 2.36 ± 0.34 | Nonselective | ND |
| 22 | CH2-Phenyl | 2.65 ± 0.23 | 5.27 ± 0.16 | 8.23 ± 0.85 | Nonselective | 16 ± 0.52 |
| 23 | Phenyl | 26.1 ± 0.69 | 2.01 ± 0.91 | 5.49 ± 0.38 | HCT116/HepG2 Selective | ND |
| 1,3,4-Thiadiazole | ||||||
| 24 | CH3 | 9.2 ± 0.31 | 18.1 ± 1.05 | 6.47 ± 0.69 | MCF-7/HCT116 Selective | ND |
| 25 | C2H5 | 28.1 ± 1.1 | 28.9 ± 0.32 | 13.0 ± 0.71 | HepG2 Selective | ND |
| 26 | C6H11 | 17.1 ± 3.1 | 17.6 ± 0.71 | 95.7 ± 3.1 | Less active | ND |
| 27 | CH2CH=CH2 | 1.52 ± 1.02 | 10.3 ± 0.15 | 24.7 ± 1.01 | MCF-7 Selective | >85 |
| 28 | Phenyl | 2.34 ± 2.3 | 110 ± 0.85 | 25.6 ± 0.18 | MCF-7 Selective | ND |
| Taxol | - | 7.8 ± 0.42 | 7.96 ± 0.38 | 4.44 ± 0.24 | Nonselective | 11.8 ± 0.44 |
| Compound No | IC50, µM a | Log p-Value |
|---|---|---|
| 18 | 1.51 ± 0.075 | 3.06 |
| 19 | 0.17 ± 0.008 | 4.5 |
| 20 | 0.1371 ± 0.006 | 8.51 |
| 21 | 0.32 ± 0.016 | 5.01 |
| 22 | 0.074 ± 0.002 | 7.59 |
| 23 | 0.065 ± 0.003 | 7.41 |
| 24 | 0.45 ± 0.022 | 3.36 |
| 25 | 0.14 ± 0.007 | 4.53 |
| 26 | 0.311 ± 0.015 | 8.54 |
| 27 | 0.046 ± 0.003 | 5.03 |
| 28 | 0.21 ± 0.01 | 8.47 |
| GSK-LSD1 | 0.024 ± 0.005 | 1.88 |
| Compound No. | DNA Content | Comment | |||
|---|---|---|---|---|---|
| %G0-G1 | %S | %G2-M | %Pre G1 | ||
| 27/MCF-7 | 35.15 | 28.26 | 35.59 | 37.11 | pre G1 Apoptosis and cell cycle arrest at G2-M |
| MCF-7 | 56.03 | 36.49 | 7.48 | 1.36 | - |
| Compound No | Apoptosis | Necrosis | ||
|---|---|---|---|---|
| Total | Early | Late | ||
| 27/MCF-7 | 37.11 | 5.33 | 20.53 | 11.25 |
| MCF-7 | 1.36 | 0.29 | 0.18 | 0.89 |
| ID | IC50 (μM) a | ||
|---|---|---|---|
| LSD1 Demethylase | hMAO-A | hMAO-B | |
| 27 | 0.0736 ± 3.746 | 87.12 ± 2.359 | >100 |
| Safinamide * | - | 16.05 ± 2.32 | 0.08 ± 1.52 |
| Harmine * | - | 0.009 ± 0.001 | 11.6 ± 3.1 |
| Compound No. | Docking Energy | Amino Acid Residues/Types of Bonding |
|---|---|---|
| 22 | −17.15 Kcal/mol | Gly330 and Ala331 hydrogen bonding interactions, Arg316 via a second sulfur atom |
| 23 | −15.94 Kcal/mol | Asp 555 via hydrogen bonding |
| 18 | −5.66 Kcal/mol | - |
| 27 | −16.34 Kcal/mol | Asp 555 essential for inhibition via hydrogen bonding Asp 555 essential for inhibition via hydrogen bonding |
| Parameter | Target Compounds | ||
|---|---|---|---|
| 27 | 18 | GSK-LSD1 | |
| Molecular weight | 495.65 | 417.53 | 216.32 |
| No. of rotatable bonds | 12 | 3 | 3 |
| No. of H-bond acceptors | 6 | 3 | 2 |
| No. of H-bond donors | 3 | 3 | 2 |
| Molar refractivity | 138.49 | 109.45 | 70.35 |
| TPSA | 198.15 | 197.10 | 24.06 |
| LogP value | 5.01 | 3.05 | 1.91 |
| LogS solubility | −5.82 | −3.47 | −2.44 |
| GI absorption | High | Low | High |
| BBB permeant | No | No | Yes |
| P-gp substrate | No | No | Yes |
| CYP1A2 inhibitor | No | No | No |
| CYP2C19 inhibitor | No | No | No |
| CYP2C9 inhibitor | Yes | No | No |
| CYP2D6 inhibitor | No | No | Yes |
| CYP3A4 inhibitor | Yes | Yes | No |
| Log Kp (skin permeation) | −5.69 | −8.09 | |
| Lipinski rule of 5 | Yes; 0 violations | Yes; 0 violations | Yes; 0 violations |
| Bioavailability score | 0.55 | 0.55 | 0.55 |
Publisher’s Note: MDPI stays neutral with regard to jurisdictional claims in published maps and institutional affiliations. |
© 2022 by the authors. Licensee MDPI, Basel, Switzerland. This article is an open access article distributed under the terms and conditions of the Creative Commons Attribution (CC BY) license (https://creativecommons.org/licenses/by/4.0/).
Share and Cite
Alsehli, M.; Aljuhani, A.; Ihmaid, S.K.; El-Messery, S.M.; Othman, D.I.A.; El-Sayed, A.-A.A.A.; Ahmed, H.E.A.; Rezki, N.; Aouad, M.R. Design and Synthesis of Benzene Homologues Tethered with 1,2,4-Triazole and 1,3,4-Thiadiazole Motifs Revealing Dual MCF-7/HepG2 Cytotoxic Activity with Prominent Selectivity via Histone Demethylase LSD1 Inhibitory Effect. Int. J. Mol. Sci. 2022, 23, 8796. https://doi.org/10.3390/ijms23158796
Alsehli M, Aljuhani A, Ihmaid SK, El-Messery SM, Othman DIA, El-Sayed A-AAA, Ahmed HEA, Rezki N, Aouad MR. Design and Synthesis of Benzene Homologues Tethered with 1,2,4-Triazole and 1,3,4-Thiadiazole Motifs Revealing Dual MCF-7/HepG2 Cytotoxic Activity with Prominent Selectivity via Histone Demethylase LSD1 Inhibitory Effect. International Journal of Molecular Sciences. 2022; 23(15):8796. https://doi.org/10.3390/ijms23158796
Chicago/Turabian StyleAlsehli, Mosa, Ateyatallah Aljuhani, Saleh K. Ihmaid, Shahenda M. El-Messery, Dina I. A. Othman, Abdel-Aziz A. A. El-Sayed, Hany E. A. Ahmed, Nadjet Rezki, and Mohamed R. Aouad. 2022. "Design and Synthesis of Benzene Homologues Tethered with 1,2,4-Triazole and 1,3,4-Thiadiazole Motifs Revealing Dual MCF-7/HepG2 Cytotoxic Activity with Prominent Selectivity via Histone Demethylase LSD1 Inhibitory Effect" International Journal of Molecular Sciences 23, no. 15: 8796. https://doi.org/10.3390/ijms23158796
APA StyleAlsehli, M., Aljuhani, A., Ihmaid, S. K., El-Messery, S. M., Othman, D. I. A., El-Sayed, A.-A. A. A., Ahmed, H. E. A., Rezki, N., & Aouad, M. R. (2022). Design and Synthesis of Benzene Homologues Tethered with 1,2,4-Triazole and 1,3,4-Thiadiazole Motifs Revealing Dual MCF-7/HepG2 Cytotoxic Activity with Prominent Selectivity via Histone Demethylase LSD1 Inhibitory Effect. International Journal of Molecular Sciences, 23(15), 8796. https://doi.org/10.3390/ijms23158796

