Pharmaceutical Cocrystals of Ethenzamide: Molecular Structure Analysis Based on Vibrational Spectra and DFT Calculations
Abstract
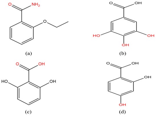
:1. Introduction
2. Materials and Methods
2.1. Material and Sample Preparation
2.2. THz/Raman Instrument and Procedures
2.3. DFT Theoretical Calculations
3. Results and Discussion
3.1. THz Spectral Characterization and Analysis of ETZ-GA, ETZ-26DHBA and ETZ-24DHBA Cocrystals
3.2. Raman Spectral Characterization and Analysis of ETZ-GA, ETZ-26DHBA and ETZ-24DHBA Cocrystals
4. Conclusions
Supplementary Materials
Author Contributions
Funding
Institutional Review Board Statement
Informed Consent Statement
Data Availability Statement
Conflicts of Interest
References
- Aakeroy, C.B.; Champness, N.R.; Janiak, C. Recent advances in crystal engineering. Crystengcomm 2010, 12, 22–43. [Google Scholar] [CrossRef]
- Politzer, P.; Murray, J.S.; Clark, T. Halogen bonding and other sigma-hole interactions: A perspective. Phys. Chem. Chem. Phys. 2013, 15, 11178–11189. [Google Scholar] [CrossRef] [PubMed]
- Desiraju, G.R. The C-H···0 Hydrogen Bond in Crystals: What Is It? Acc. Chem. Res 1991, 24, 290–296. [Google Scholar] [CrossRef]
- Paulini, R.; Muller, K.; Diederich, F. Orthogonal multipolar interactions in structural chemistry and biology. Angew. Chem.-Int. Ed. 2005, 44, 1788–1805. [Google Scholar] [CrossRef]
- Martinez-Alejo, J.M.; Dominguez-Chavez, J.G.; Rivera-Islas, J.; Herrera-Ruiz, D.; Hopfl, H.; Morales-Rojas, H.; Senosiain, J.P. A Twist in Cocrystals of Salts: Changes in Packing and Chloride Coordination Lead to Opposite Trends in the Biopharmaceutical Performance of Fluoroquinolone Hydrochloride Cocrystals. Cryst. Growth Des. 2014, 14, 3078–3095. [Google Scholar] [CrossRef]
- Zhong, Z.; Guo, C.X.; Chen, L.; Xu, J.; Huang, Y.B. Co-crystal formation between poly (ethylene glycol) and a small molecular drug griseofulvin. Chem. Commun. 2014, 50, 6375–6378. [Google Scholar] [CrossRef] [PubMed] [Green Version]
- Aitipamula, S.; Banerjee, R.; Bansal, A.K.; Biradha, K.; Cheney, M.L.; Choudhury, A.R.; Desiraju, G.R.; Dikundwar, A.G.; Dubey, R.; Duggirala, N.; et al. Polymorphs, Salts, and Cocrystals: What’s in a Name? Cryst. Growth Des. 2012, 12, 2147–2152. [Google Scholar] [CrossRef]
- Oksenberg, D.; Dufu, K.; Patel, M.P.; Chuang, C.; Li, Z.; Xu, Q.; Silva-Garcia, A.; Zhou, C.; Hutchaleelaha, A.; Patskovska, L. GBT 440 increases haemoglobin oxygen affinity, reduces sickling and prolongs RBC half-life in a murine model of sickle cell disease. Br. J. Haematol. 2016, 175, 141–153. [Google Scholar] [CrossRef] [PubMed]
- Ma, X.; Yuan, W.; Bell, S.E.J.; James, S.L. Better understanding of mechanochemical reactions: Raman monitoring reveals surprisingly simple ‘pseudo-fluid’ model for a ball milling reaction. Chem. Commun. 2014, 50, 1585–1587. [Google Scholar] [CrossRef] [PubMed] [Green Version]
- Uehara, H.; Otsuka, H.; Izumi, K. Modifying effects of a mixture of acetaminophen, aspirin, dipyrone and ethenzamide on a multiorgan initiation model and its carcinogenicity in male F344 rats. Cancer Lett. 1999, 135, 83–90. [Google Scholar] [CrossRef]
- Aoki, S.; Mizutani, T.; Danjo, K. Studies on the number of contacts between Ibuprofen and Ethenzamide using thermal analysis. Chem. Pharm. Bull. 2000, 48, 140–141. [Google Scholar] [CrossRef] [PubMed] [Green Version]
- Hirasawa, N.; Okamoto, H.; Danjo, K. Lactose as a low molecular weight carrier of solid dispersions for carbamazepine and ethenzamide. Chem. Pharm. Bull. 1999, 47, 417–420. [Google Scholar] [CrossRef] [Green Version]
- Kawano, O.; Sawabe, T.; Misaki, N.; Fukawa, K. Studies on Combination Dosing (III) Aspirin and Ethenzamide. Jpn. J. Pharmacol. 1978, 28, 829–835. [Google Scholar] [CrossRef] [PubMed] [Green Version]
- Sultan, S.M.; Alzamil, I.Z.; Alrahman, A.M.A.; Altamrah, S.A.; Asha, Y. Use of cerium (IV) Sulfate in the Spectrophotometric Determination of Paracetamol in Pharmaceutical Preparations. Analyst 1986, 111, 919–921. [Google Scholar] [CrossRef] [PubMed]
- Kunikazu, M.; Masami, T.; Yuichi, T.; Kentaro, Y.; Toshio, O.; Yamamoto, K. Grinding-Induced Equimolar Complex Formation between Thiourea and Ethenzamide. Chem. Pharm. Bull. 2004, 52, 524–529. [Google Scholar]
- Aitipamula, S.; Chow, P.S.; Tan, R.B.H. Dimorphs of a 1 : 1 cocrystal of ethenzamide and saccharin: Solid-state grinding methods result in metastable polymorph. CrystEngComm 2009, 11, 889–895. [Google Scholar] [CrossRef]
- Aitipamula, S.; Chow, P.S.; Tan, R.B.H. Trimorphs of a pharmaceutical cocrystal involving two active pharmaceutical ingredients: Potential relevance to combination drugs. CrystEngComm 2009, 11, 1823–1827. [Google Scholar] [CrossRef]
- Aitipamula, S.; Chow, P.S.; Tan, R.B.H. Conformational and enantiotropic polymorphism of a 1 : 1 cocrystal involving ethenzamide and ethylmalonic acid. CrystEngComm 2010, 12, 3691–3697. [Google Scholar] [CrossRef]
- Aitipamula, S.; Chow, P.S.; Tan, R.B.H. Polymorphs and Solvates of a Cocrystal Involving an Analgesic Drug, Ethenzamide, and 3,5-Dinitrobenzoic Acid. Cryst. Growth Des. 2010, 10, 2229–2238. [Google Scholar] [CrossRef]
- Aitipamula, S.; Wong, A.B.H.; Chow, P.S.; Tan, R.B.H. Pharmaceutical cocrystals of ethenzamide: Structural, solubility and dissolution studies. CrystEngComm 2012, 14, 8515–8524. [Google Scholar] [CrossRef]
- Przybylek, M.; Ziolkowska, D.; Mroczynska, K.; Cysewski, P. Propensity of salicylamide and ethenzamide cocrystallization with aromatic carboxylic acids. Eur. J. Pharm. Sci. 2016, 85, 132–140. [Google Scholar] [CrossRef] [PubMed]
- Kozak, A.; Pindelska, E. Spectroscopic analysis of the influence of various external factors on ethenzamide-glutaric acid (1:1) cocrystal formation. Eur. J. Pharm. Sci. 2019, 133, 59–68. [Google Scholar] [CrossRef] [PubMed]
- Kozak, A.; Marek, P.H.; Pindelska, E. Structural Characterization and Pharmaceutical Properties of Three Novel Cocrystals of Ethenzamide with Aliphatic Dicarboxylic Acids. J. Pharm. Sci. 2019, 108, 1476–1485. [Google Scholar] [CrossRef] [PubMed]
- King, M.D.; Buchanan, W.D.; Korter, T.M. Identification and Quantification of Polymorphism in the Pharmaceutical Compound Diclofenac Acid by Terahertz Spectroscopy and Solid-State Density Functional Theory. Anal. Chem. 2011, 83, 3786–3792. [Google Scholar] [CrossRef] [PubMed]
- Ayala, A.P.; Caetano, M.W.C.; Honorato, S.B.; Mendes Filho, J.; Siesler, H.W.; Faudone, S.N.; Cuffini, S.L.; Martins, F.T.; da Silva, C.C.P.; Ellena, J. Conformational polymorphism of the antidiabetic drug chlorpropamide. J. Raman Spectrosc. 2012, 43, 263–272. [Google Scholar] [CrossRef]
- Strachan, C.J.; Rades, T.; Gordon, K.C.; Rantanen, J. Raman spectroscopy for quantitative analysis of pharmaceutical solids. J Pharm Pharm. 2007, 59, 179–192. [Google Scholar] [CrossRef]
- Cai, Q.; Xue, J.; Wang, Q.; Du, Y. Solid-state cocrystal formation between acyclovir and fumaric acid: Terahertz and Raman vibrational spectroscopic studies. Spectrochim. Acta Part A-Mol. Biomol. Spectrosc. 2017, 186, 29–36. [Google Scholar] [CrossRef]
- Du, Y.; Cai, Q.; Xue, J.; Zhang, Q.; Qin, D. Structural investigation of the cocrystal formed between 5-fluorocytosine and fumaric acid based on vibrational spectroscopic technique. Spectrochim. Acta Part A-Mol. Biomol. Spectrosc. 2017, 178, 251–257. [Google Scholar] [CrossRef] [PubMed]
- Du, Y.; Zhang, H.; Xue, J.; Fang, H.; Zhang, Q.; Xia, Y.; Li, Y.; Hong, Z. Raman and terahertz spectroscopical investigation of cocrystal formation process of piracetam and 3-hydroxybenzoic acid. Spectrochim. Acta Part A-Mol. Biomol. Spectrosc. 2015, 139, 488–494. [Google Scholar] [CrossRef]
- Taday, P.F.; Bradley, I.V.; Arnone, D.D.; Pepper, M. Using terahertz pulse spectroscopy to study the crystalline structure of a drug: A case study of the polymorphs of ranitidine hydrochloride. J. Pharm. Sci. 2003, 92, 831–838. [Google Scholar] [CrossRef]
- Xue, J.; Jiang, Y.; Li, W.; Yang, L.; Xu, Y.; Zhao, G.; Zhang, G.; Bu, X.; Liu, K.; Chen, J.e.; et al. Structures and spectroscopic characterization of calcium chloride-nicotinamide, -isonicotinamide, -picolinamide and praseodymium bromide-nicotinamide complexes. Spectrochim. Acta Part A-Mol. Biomol. Spectrosc. 2015, 137, 864–870. [Google Scholar] [CrossRef]
- Cheballah, Y.; Ziane, A.; Bouarab, S.; Vega, A. Density functional study of the optical response of FeN and CoN nitrides with zinc-blend and rock-salt structures. J. Phys. Chem. Solids 2017, 100, 148–153. [Google Scholar] [CrossRef]
- Naseri, M.; Abutalib, M.M.; Alkhambashi, M.; Salehi, K.; Farouk, A. Density functional theory based prediction of a new two-dimensional TeSe2 semiconductor: A case study on the electronic properties. Chem. Phys. Lett. 2018, 707, 160–164. [Google Scholar] [CrossRef]
- Shahab, S.; Almodarresiyeh, H.A.; Filippovich, L.; Hajikolaee, F.H.; Kumar, R.; Darroudi, M.; Mashayekhi, M. Geometry optimization and excited state properties of the new symmetric (E)-Stilbene derivative for application in thermostable polarizing PVA-films: A combined experimental and DFT approach. J. Mol. Struct. 2016, 1119, 423–430. [Google Scholar] [CrossRef]
- Aree, T.; Jongrungruangchok, S. Enhancement of antioxidant activity of green tea epicatechins in beta-cyclodextrin cavity: Single-crystal X-ray analysis, DFT calculation and DPPH assay. Carbohydr. Polym. 2016, 151, 1139–1151. [Google Scholar] [CrossRef] [PubMed]
- Hariprasad, V.M.; Nechipadappu, S.K.; Trivedi, D.R. Cocrystals of Ethenzamide: Study of Structural and Physicochemical Properties. Cryst. Growth Des. 2016, 16, 4473–4481. [Google Scholar] [CrossRef]
- Khatioda, R.; Bora, P.; Sarma, B. Trimorphic Ethenzamide Cocrystal: In Vitro Solubility and Membrane Efflux Studies. Cryst. Growth Des. 2018, 18, 4637–4645. [Google Scholar] [CrossRef]
- Khatioda, R.; Saikia, B.; Das, P.J.; Sarma, B. Solubility and in vitro drug permeation behavior of ethenzamide cocrystals regulated in physiological pH environments. CrystEngComm. 2017, 19, 6992–7000. [Google Scholar] [CrossRef]
- Dang, Y.; Li, S.; Liu, H.; Li, S.; Zhang, J.; Zhao, H. Low-Frequency Vibrations of Indole Derivatives by Terahertz Time-Domain Spectroscopy. J. Electron. Sci. Technol. 2016, 14, 329–336. [Google Scholar]
- Hakey, P.M.; Hudson, M.R.; Allis, D.G.; Ouellette, W.; Korter, T.M. Examination of Phencyclidine Hydrochloride via Cryogenic Terahertz Spectroscopy, Solid-State Density Functional Theory, and X-ray Diffraction. J. Phys. Chem. A 2009, 113, 13013–13022. [Google Scholar] [CrossRef]









| Cocrystal | Experimental Resultsf/THz | Theoretical Resultsf/THz | Mode Assignment |
|---|---|---|---|
| ETZ-GA | 1.02 | 0.93 | In-plane bending vibration of two molecules of ETZ and one molecule of GA |
| 1.46 | - | - | |
| 1.53 | 1.50 | In-plane bending vibration of GA, out-of-plane bending vibration of ETZ, out-of-plane rocking vibration of H37-N36-H38 | |
| ETZ-26DHBA | 0.36 | 0.38 | Out-of-plane rocking vibration of O11=C10-O12-H13 and H31-N30-H32 |
| 1.18 | 1.14 | In-plane bending vibration of 26DHBA, out-of-plane rocking vibration of H31-N30-H32, torsional vibration of O29=C28-N30-H31 | |
| 1.39 | 1.38 | In-plane bending vibration of 26DHBA, out-of-plane bending vibration of the ring of ETZ, out-of-plane rocking vibration of H31-N30-H32 | |
| ETZ-24DHBA | 0.74 | 0.68 | Out-of-plane bending vibration of ETZ and 24DHBA, torsional vibration of O34=C33-O35-H36 |
| 0.93 | 0.93 | Out-of-plane bending vibration of ETZ and 24DHBA, torsional vibration of O34-H38-O37 and O12-H40-O39 | |
| 1.20 | - | In-plane bending vibration of ETZ and 24DHBA | |
| 1.55 | 1.50 | In-plane bending vibration of ETZ and 24DHBA |
Publisher’s Note: MDPI stays neutral with regard to jurisdictional claims in published maps and institutional affiliations. |
© 2022 by the authors. Licensee MDPI, Basel, Switzerland. This article is an open access article distributed under the terms and conditions of the Creative Commons Attribution (CC BY) license (https://creativecommons.org/licenses/by/4.0/).
Share and Cite
Wan, M.; Fang, J.; Xue, J.; Liu, J.; Qin, J.; Hong, Z.; Li, J.; Du, Y. Pharmaceutical Cocrystals of Ethenzamide: Molecular Structure Analysis Based on Vibrational Spectra and DFT Calculations. Int. J. Mol. Sci. 2022, 23, 8550. https://doi.org/10.3390/ijms23158550
Wan M, Fang J, Xue J, Liu J, Qin J, Hong Z, Li J, Du Y. Pharmaceutical Cocrystals of Ethenzamide: Molecular Structure Analysis Based on Vibrational Spectra and DFT Calculations. International Journal of Molecular Sciences. 2022; 23(15):8550. https://doi.org/10.3390/ijms23158550
Chicago/Turabian StyleWan, Mei, Jiyuan Fang, Jiadan Xue, Jianjun Liu, Jianyuan Qin, Zhi Hong, Jiusheng Li, and Yong Du. 2022. "Pharmaceutical Cocrystals of Ethenzamide: Molecular Structure Analysis Based on Vibrational Spectra and DFT Calculations" International Journal of Molecular Sciences 23, no. 15: 8550. https://doi.org/10.3390/ijms23158550
APA StyleWan, M., Fang, J., Xue, J., Liu, J., Qin, J., Hong, Z., Li, J., & Du, Y. (2022). Pharmaceutical Cocrystals of Ethenzamide: Molecular Structure Analysis Based on Vibrational Spectra and DFT Calculations. International Journal of Molecular Sciences, 23(15), 8550. https://doi.org/10.3390/ijms23158550

