Maleic Anhydride-Grafted PLA Preparation and Characteristics of Compatibilized PLA/PBSeT Blend Films
Abstract
:1. Introduction
2. Results
2.1. Fourier Transform Infrared (FT-IR) Spectra of PLA-g-MAH
2.2. Determination of the Grafting Yield
2.3. Characterization of the PLA/PBSeT/PLA-g-MAH Blends
2.3.1. Mechanical and Morphology Properties
2.3.2. Differential Scanning Calorimetry (DSC)
2.3.3. Thermal Gravimetric Analysis (TGA)
2.4. Hydrolytic Degradation Test
3. Materials and Methods
3.1. Materials
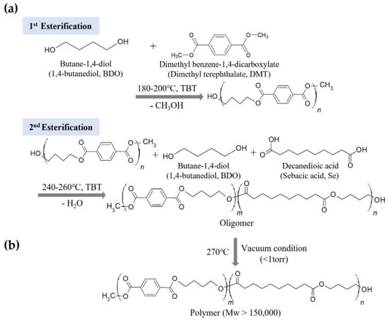
3.2. Synthesis of PBSeT
3.3. Preparation of MAH-Grafted PLA (PLA-g-MAH)
3.4. Fourier Transform Infrared (FT-IR) Spectroscopy of PLA-g-MAH
3.5. Determination of Grafting Yield
3.6. Preparation of PLA/PBSeT/PLA-g-MAH Blend Films
3.7. Characterization of PLA/PBSeT/PLA-g-MAH Blends
3.7.1. Mechanical and Morphology Properties
3.7.2. DSC
3.7.3. TGA
3.8. Hydrolytic Degradation Test
4. Conclusions
Author Contributions
Funding
Institutional Review Board Statement
Informed Consent Statement
Data Availability Statement
Conflicts of Interest
References
- Rillig, M.C. Microplastic in Terrestrial Ecosystems and the Soil? Environ. Sci. Technol. 2012, 46, 6453–6454. [Google Scholar] [CrossRef] [PubMed]
- van den Oever, M.; Molenveld, K. Replacing Fossil Based Plastic Performance Products by Bio-Based Plastic Products—Technical Feasibility. New Biotechnol. 2017, 37, 48–59. [Google Scholar] [CrossRef] [PubMed]
- Dilkes-Hoffman, L.S.; Pratt, S.; Lant, P.A.; Laycock, B. 19—The Role of Biodegradable Plastic in Solving Plastic Solid Waste Accumulation. In Plastics to Energy; Al-Salem, S.M., Ed.; William Andrew Publishing: Oxford, UK, 2019; pp. 469–505. ISBN 978-0-12-813140-4. [Google Scholar]
- Bioplastics, E. Bioplastic Market Data. Available online: https://docs.european-bioplastics.org/publications/market_data/Report_Bioplastics_Market_Data_2021_short_version.pdf (accessed on 21 June 2022).
- Villegas, C.; Arrieta, M.P.; Rojas, A.; Torres, A.; Faba, S.; Toledo, M.J.; Gutierrez, M.A.; Zavalla, E.; Romero, J.; Galotto, M.J.; et al. PLA/Organoclay Bionanocomposites Impregnated with Thymol and Cinnamaldehyde by Supercritical Impregnation for Active and Sustainable Food Packaging. Compos. Part B Eng. 2019, 176, 107336. [Google Scholar] [CrossRef]
- Friné, V.-C.; Hector, A.-P.; Manuel, N.-D.S.; Estrella, N.-D.; Antonio, G.J. Development and Characterization of a Biodegradable PLA Food Packaging Hold Monoterpene–Cyclodextrin Complexes against Alternaria Alternata. Polymers 2019, 11, 1720. [Google Scholar] [CrossRef] [PubMed] [Green Version]
- Gregor, A.; Filová, E.; Novák, M.; Kronek, J.; Chlup, H.; Buzgo, M.; Blahnová, V.; Lukášová, V.; Bartoš, M.; Nečas, A.; et al. Designing of PLA Scaffolds for Bone Tissue Replacement Fabricated by Ordinary Commercial 3D Printer. J. Biol. Eng. 2017, 11, 31. [Google Scholar] [CrossRef] [PubMed] [Green Version]
- Gavgani, J.N.; Adelnia, H.; Mir Mohamad Sadeghi, G.; Zafari, F. Intumescent Flame Retardant Polyurethane/Starch Composites: Thermal, Mechanical, and Rheological Properties. J. Appl. Polym. Sci. 2014, 131, 41158. [Google Scholar] [CrossRef]
- Al-Itry, R.; Lamnawar, K.; Maazouz, A. Rheological, Morphological, and Interfacial Properties of Compatibilized PLA/PBAT Blends. Rheol. Acta 2014, 53, 501–517. [Google Scholar] [CrossRef]
- Burzic, I.; Pretschuh, C.; Kaineder, D.; Eder, G.; Smilek, J.; Másilko, J.; Kateryna, W. Impact Modification of PLA Using Biobased Biodegradable PHA Biopolymers. Eur. Polym. J. 2019, 114, 32–38. [Google Scholar] [CrossRef]
- Farias da Silva, J.M.; Soares, B.G. Epoxidized Cardanol-Based Prepolymer as Promising Biobased Compatibilizing Agent for PLA/PBAT Blends. Polym. Test. 2021, 93, 106889. [Google Scholar] [CrossRef]
- de Moura, N.K.; Siqueira, I.A.W.B.; Machado, J.P.d.B.; Kido, H.W.; Avanzi, I.R.; Rennó, A.C.M.; Trichês, E.d.S.; Passador, F.R. Production and Characterization of Porous Polymeric Membranes of PLA/PCL Blends with the Addition of Hydroxyapatite. J. Compos. Sci. 2019, 3, 45. [Google Scholar] [CrossRef] [Green Version]
- Su, S.; Kopitzky, R.; Tolga, S.; Kabasci, S. Polylactide (PLA) and Its Blends with Poly(Butylene Succinate) (PBS): A Brief Review. Polymers 2019, 11, 1193. [Google Scholar] [CrossRef] [PubMed] [Green Version]
- Kim, S.J.; Kwak, H.W.; Kwon, S.; Jang, H.; Park, S. Characterization of PLA/PBSeT Blends Prepared with Various Hexamethylene Diisocyanate Contents. Materials 2021, 14, 197. [Google Scholar] [CrossRef] [PubMed]
- Ding, Y.; Feng, W.; Lu, B.; Wang, P.; Wang, G.; Ji, J. PLA-PEG-PLA Tri-Block Copolymers: Effective Compatibilizers for Promotion of the Interfacial Structure and Mechanical Properties of PLA/PBAT Blends. Polymers 2018, 146, 179–187. [Google Scholar] [CrossRef]
- Ding, Y.; Feng, W.; Huang, D.; Lu, B.; Wang, P.; Wang, G.; Ji, J. Compatibilization of Immiscible PLA-Based Biodegradable Polymer Blends Using Amphiphilic Di-Block Copolymers. Eur. Polym. J. 2019, 118, 45–52. [Google Scholar] [CrossRef]
- Zhang, J.-F.; Sun, X. Mechanical and Thermal Properties of Poly(Lactic Acid)/Starch Blends with Dioctyl Maleate. J. Appl. Polym. Sci. 2004, 94, 1697–1704. [Google Scholar] [CrossRef]
- Al-Itry, R.; Lamnawar, K.; Maazouz, A. Reactive Extrusion of PLA, PBAT with a Multi-Functional Epoxide: Physico-Chemical and Rheological Properties. Eur. Polym. J. 2014, 58, 90–102. [Google Scholar] [CrossRef]
- Al-Itry, R.; Lamnawar, K.; Maazouz, A. Improvement of Thermal Stability, Rheological and Mechanical Properties of PLA, PBAT and Their Blends by Reactive Extrusion with Functionalized Epoxy. Polym. Degrad. Stab. 2012, 97, 1898–1914. [Google Scholar] [CrossRef]
- Phetwarotai, W.; Tanrattanakul, V.; Phusunti, N. Synergistic Effect of Nucleation and Compatibilization on the Polylactide and Poly(Butylene Adipate-Co-Terephthalate) Blend Films. Chin. J. Polym. Sci. 2016, 34, 1129–1140. [Google Scholar] [CrossRef]
- Chansoda, K.; Suwanjamrat, C.; Chookaew, W. Study on Processability and Mechanical Properties of Parawood-Powder Filled PLA for 3D Printing Material. IOP Conf. Ser. Mater. Sci. Eng. 2020, 773, 12053. [Google Scholar] [CrossRef]
- Woo, S.I.; Kim, B.O.; Jun, H.S.; Chang, H.N. Polymerization of Aqueous Lactic Acid to Prepare High Molecular Weight Poly(Lactic Acid) by Chain-Extending with Hexamethylene Diisocyanate. Polym. Bull. 1995, 35, 415–421. [Google Scholar] [CrossRef]
- Issaadi, K.; Habi, A.; Grohens, Y.; Pillin, I. Maleic Anhydride-Grafted Poly(Lactic Acid) as a Compatibilizer in Poly(Lactic Acid)/Graphene Oxide Nanocomposites. Polym. Bull. 2016, 73, 2057–2071. [Google Scholar] [CrossRef]
- Petersson, L.; Oksman, K.; Mathew, A.P. Using Maleic Anhydride Grafted Poly(Lactic Acid) as a Compatibilizer in Poly(Lactic Acid)/Layered-Silicate Nanocomposites. J. Appl. Polym. Sci. 2006, 102, 1852–1862. [Google Scholar] [CrossRef]
- Rigolin, T.R.; Costa, L.C.; Chinelatto, M.A.; Muñoz, P.A.R.; Bettini, S.H.P. Chemical Modification of Poly(Lactic Acid) and Its Use as Matrix in Poly(Lactic Acid) Poly(Butylene Adipate-Co-Terephthalate) Blends. Polym. Test. 2017, 63, 542–549. [Google Scholar] [CrossRef]
- Bai, Z.; Dou, Q. Rheology, Morphology, Crystallization Behaviors, Mechanical and Thermal Properties of Poly(Lactic Acid)/Polypropylene/Maleic Anhydride-Grafted Polypropylene Blends. J. Polym. Environ. 2018, 26, 959–969. [Google Scholar] [CrossRef]
- Birnin-Yauri, A.U.; Ibrahim, N.A.; Zainuddin, N.; Abdan, K.; Then, Y.Y.; Chieng, B.W. Effect of Maleic Anhydride-Modified Poly(Lactic Acid) on the Properties of Its Hybrid Fiber Biocomposites. Polymers 2017, 9, 165. [Google Scholar] [CrossRef] [PubMed] [Green Version]
- Klinkajorn, J.; Tanrattanakul, V. Compatibilization of Poly(Lactic Acid)/Epoxidized Natural Rubber Blend with Maleic Anhydride. J. Appl. Polym. Sci. 2020, 137, 48297. [Google Scholar] [CrossRef]
- Zhang, L.; Lv, S.; Sun, C.; Wan, L.; Tan, H.; Zhang, Y. Effect of MAH-g-PLA on the Properties of Wood Fiber/Polylactic Acid Composites. Polymers 2017, 9, 591. [Google Scholar] [CrossRef] [Green Version]
- Teamsinsungvon, A.; Jarapanyacheep, R.; Ruksakulpiwat, Y.; Jarukumjorn, K. Melt Processing of Maleic Anhydride Grafted Poly(Lactic Acid) and Its Compatibilizing Effect on Poly(Lactic Acid)/Poly(Butylene Adipate-Co-Terephthalate) Blend and Their Composite. Polym. Sci. Ser. A 2017, 59, 384–396. [Google Scholar] [CrossRef]
- Mani, R.; Bhattacharya, M.; Tang, J. Functionalization of Polyesters with Maleic Anhydride by Reactive Extrusion. J. Polym. Sci. Part A Polym. Chem. 1999, 37, 1693–1702. [Google Scholar] [CrossRef]
- Hwang, S.W.; Shim, J.K.; Selke, S.; Soto-Valdez, H.; Rubino, M.; Auras, R. Effect of Maleic-Anhydride Grafting on the Physical and Mechanical Properties of Poly(L-Lactic Acid)/Starch Blends. Macromol. Mater. Eng. 2013, 298, 624–633. [Google Scholar] [CrossRef]
- Kim, S.J.; Kwak, H.W.; Kwon, S.; Jang, H.; Park, S. Synthesis, Characterization and Properties of Biodegradable Poly(Butylene Sebacate-Co-Terephthalate). Polymers 2020, 12, 2389. [Google Scholar] [CrossRef] [PubMed]
- Phetwarotai, W.; Zawong, M.; Phusunti, N.; Aht-Ong, D. Toughening and Thermal Characteristics of Plasticized Polylactide and Poly(Butylene Adipate-Co-Terephthalate) Blend Films: Influence of Compatibilization. Int. J. Biol. Macromol. 2021, 183, 346–357. [Google Scholar] [CrossRef] [PubMed]
- Petruš, J.; Kučera, F.; Chamradová, I.; Jančář, J. Real-Time Monitoring of Radical Grafting of Poly(Lactic Acid) with Itaconic Anhydride in Melt. Eur. Polym. J. 2018, 103, 378–389. [Google Scholar] [CrossRef]
- Hwang, S.W.; Lee, S.B.; Lee, C.K.; Lee, J.Y.; Shim, J.K.; Selke, S.E.M.; Soto-Valdez, H.; Matuana, L.; Rubino, M.; Auras, R. Grafting of Maleic Anhydride on Poly(L-Lactic Acid). Effects on Physical and Mechanical Properties. Polym. Test. 2012, 31, 333–344. [Google Scholar] [CrossRef]
- Nabar, Y.; Raquez, J.M.; Dubois, P.; Narayan, R. Production of Starch Foams by Twin-Screw Extrusion: Effect of Maleated Poly(Butylene Adipate-Co-Terephthalate) as a Compatibilizer. Biomacromolecules 2005, 6, 807–817. [Google Scholar] [CrossRef]
- Detyothin, S.; Selke, S.E.M.; Narayan, R.; Rubino, M.; Auras, R. Reactive Functionalization of Poly(Lactic Acid), PLA: Effects of the Reactive Modifier, Initiator and Processing Conditions on the Final Grafted Maleic Anhydride Content and Molecular Weight of PLA. Polym. Degrad. Stab. 2013, 98, 2697–2708. [Google Scholar] [CrossRef]
- Petruš, J.; Kučera, F.; Petrůj, J. Post-Polymerization Modification of Poly(Lactic Acid) via Radical Grafting with Itaconic Anhydride. Eur. Polym. J. 2016, 77, 16–30. [Google Scholar] [CrossRef]
- Phua, Y.J.; Chow, W.S.; Mohd Ishak, Z.A. Reactive Processing of Maleic Anhydride-Grafted Poly(Butylene Succinate) and the Compatibilizing Effect on Poly(Butylene Succinate) Nanocomposites. Express Polym. Lett. 2013, 7, 340–354. [Google Scholar] [CrossRef]
- John, J.; Tang, J.; Yang, Z.; Bhattacharya, M. Synthesis and Characterization of Anhydride-Functional Polycaprolactone. J. Polym. Sci. Part A Polym. Chem. 1997, 35, 1139–1148. [Google Scholar] [CrossRef]
- Moad, G. The Synthesis of Polyolefin Graft Copolymers by Reactive Extrusion. Prog. Polym. Sci. 1999, 24, 81–142. [Google Scholar] [CrossRef]
- Luna, C.B.B.; da Silva Barbosa Ferreira, E.; Siqueira, D.D.; dos Santos Filho, E.A.; Araújo, E.M. Additivation of the Ethylene–Vinyl Acetate Copolymer (EVA) with Maleic Anhydride (MA) and Dicumyl Peroxide (DCP): The Impact of Styrene Monomer on Cross-Linking and Functionalization. Polym. Bull. 2021, 79, 1–24. [Google Scholar] [CrossRef]
- Clasen, S.H.; Müller, C.M.O.; Pires, A.T.N. Maleic Anhydride as a Compatibilizer and Plasticizer in TPS/PLA Blends. J. Braz Chem Soc. 2015, 26, 1583–1590. [Google Scholar] [CrossRef]
- Detyothin, S.; Selke, S.E.M.; Narayan, R.; Rubino, M.; Auras, R.A. Effects of Molecular Weight and Grafted Maleic Anhydride of Functionalized Polylactic Acid Used in Reactive Compatibilized Binary and Ternary Blends of Polylactic Acid and Thermoplastic Cassava Starch. J. Appl. Polym. Sci. 2015, 132, 42230. [Google Scholar] [CrossRef]
- Ma, P.M.; Wang, R.Y.; Wang, S.F.; Zhang, Y.; Zhang, Y.X.; Hristova, D. Effects of Fumed Silica on the Crystallization Behavior and Thermal Properties of Poly(Hydroxybutyrate-Co-Hydroxyvalerate). J. Appl. Polym. Sci. 2008, 108, 1770–1777. [Google Scholar] [CrossRef]
- Oliver-Ortega, H.; Reixach, R.; Espinach, F.X.; Méndez, J.A. Maleic Anhydride Polylactic Acid Coupling Agent Prepared from Solvent Reaction: Synthesis, Characterization and Composite Performance. Materials 2022, 15, 1161. [Google Scholar] [CrossRef]
- Rigolin, T.R.; Costa, L.C.; Venâncio, T.; Perlatti, B.; Bettini, S.H.P. The Effect of Different Peroxides on Physical and Chemical Properties of Poly(Lactic Acid) Modified with Maleic Anhydride. Polymers 2019, 179, 121669. [Google Scholar] [CrossRef]
- Ma, P.; Jiang, L.; Ye, T.; Dong, W.; Chen, M. Melt Free-Radical Grafting of Maleic Anhydride onto Biodegradable Poly(Lactic Acid) by Using Styrene as A Comonomer. Polymers 2014, 6, 1528–1543. [Google Scholar] [CrossRef] [Green Version]
- Gardella, L.; Calabrese, M.; Monticelli, O. PLA Maleation: An Easy and Effective Method to Modify the Properties of PLA/PCL Immiscible Blends. Colloid Polym. Sci. 2014, 292, 2391–2398. [Google Scholar] [CrossRef]
- Lucas, N.; Bienaime, C.; Belloy, C.; Queneudec, M.; Silvestre, F.; Nava-Saucedo, J.-E. Polymer Biodegradation: Mechanisms and Estimation Techniques—A Review. Chemosphere 2008, 73, 429–442. [Google Scholar] [CrossRef]
- Xu, L.; Crawford, K.; Gorman, C.B. Effects of Temperature and PH on the Degradation of Poly(Lactic Acid) Brushes. Macromolecules 2011, 44, 4777–4782. [Google Scholar] [CrossRef]
- de Jong, S.J.; Arias, E.R.; Rijkers, D.T.S.; van Nostrum, C.F.; Kettenes-van den Bosch, J.J.; Hennink, W.E. New Insights into the Hydrolytic Degradation of Poly(Lactic Acid): Participation of the Alcohol Terminus. Polymers 2001, 42, 2795–2802. [Google Scholar] [CrossRef]
- Jung, J.H.; Ree, M.; Kim, H. Acid- and Base-Catalyzed Hydrolyses of Aliphatic Polycarbonates and Polyesters. Catal. Today 2006, 115, 283–287. [Google Scholar] [CrossRef]
- Hofmann, D.; Entrialgo-Castaño, M.; Kratz, K.; Lendlein, A. Knowledge-Based Approach towards Hydrolytic Degradation of Polymer-Based Biomaterials. Adv. Mater. 2009, 21, 3237–3245. [Google Scholar] [CrossRef]
- Meereboer, K.W.; Misra, M.; Mohanty, A.K. Review of Recent Advances in the Biodegradability of Polyhydroxyalkanoate (PHA) Bioplastics and Their Composites. Green Chem. 2020, 22, 5519–5558. [Google Scholar] [CrossRef]
- von Burkersroda, F.; Schedl, L.; Göpferich, A. Why Degradable Polymers Undergo Surface Erosion or Bulk Erosion. Biomaterials 2002, 23, 4221–4231. [Google Scholar] [CrossRef]
- Nijenhuis, A.J.; Colstee, E.; Grijpma, D.W.; Pennings, A.J. High Molecular Weight Poly(l-Lactide) and Poly(Ethylene Oxide) Blends: Thermal Characterization and Physical Properties. Polymers 1996, 37, 5849–5857. [Google Scholar] [CrossRef]
- Zhang, L.; Xiong, C.; Deng, X. Biodegradable Polyester Blends for Biomedical Application. J. Appl. Polym. Sci. 1995, 56, 103–112. [Google Scholar] [CrossRef]
- Wu, C.-S. Physical Properties and Biodegradability of Maleated-Polycaprolactone/Starch Composite. Polym. Degrad. Stab. 2003, 80, 127–134. [Google Scholar] [CrossRef] [Green Version]
- Fischer, E.W.; Sterzel, H.J.; Wegner, G. Investigation of the Structure of Solution Grown Crystals of Lactide Copolymers by Means of Chemical Reactions. Kolloid-Z. Und Z. Für Polym. 1973, 251, 980–990. [Google Scholar] [CrossRef]
- Heidarzadeh, N.; Rafizadeh, M.; Taromi, F.A.; del Valle, L.J.; Franco, L.; Puiggalí, J. Biodegradability and Biocompatibility of Copoly(Butylene Sebacate-Co-Terephthalate)s. Polym. Degrad. Stab. 2017, 135, 18–30. [Google Scholar] [CrossRef] [Green Version]
- Wang, Y.; Xiao, Y.; Duan, J.; Yang, J.; Wang, Y.; Zhang, C. Accelerated Hydrolytic Degradation of Poly(Lactic Acid) Achieved by Adding Poly(Butylene Succinate). Polym. Bull. 2016, 73, 1067–1083. [Google Scholar] [CrossRef]










| Sample | Variable | Acid Number (mg KOH/g) | Grafting Yield (%) | Efficiency (%) | |
|---|---|---|---|---|---|
| CDCP (phr) | CMAH (phr) | ||||
| DCP0.5-M2 | 0.5 | 2 | 1.91 ± 0.01 | 0.167 ± 0.001 | 8.6 |
| DCP0.5-M4 | 0.5 | 4 | 2.08 ± 0.07 | 0.179 ± 0.006 | 4.7 |
| DCP1.0-M2 | 1.0 | 2 | 2.86 ± 0.01 | 0.250 ± 0.001 | 12.9 |
| DCP1.0-M4 | 1.0 | 4 | 3.53 ± 0.02 | 0.309 ± 0.002 | 8.1 |
| DCP1.0-M6 | 1.0 | 6 | 3.89 ± 0.03 | 0.340 ± 0.003 | 6.1 |
| DCP1.0-M8 | 1.0 | 8 | 3.09 ± 0.04 | 0.270 ± 0.004 | 3.7 |
| Sample | Thermal Transitions (°C) | ΔHcc (J/g) | ΔHm (J/g) | Xc (%) a | ||||
|---|---|---|---|---|---|---|---|---|
| Tg | Tcc | Tm1 | Tm2 | Tm3 | ||||
| Neat PLA | 62.9 | 119.8 | - | - | 168.8 | 34.1 | 34.8 | 36.6 |
| PLA-g-MAH b | 56.6 | 121.7 | - | 158.1 | 164.3 | 34.4 | 35.3 | 34.7 |
| Control | 60.1 | 114.9 | 31.6 | - | 167.2 | 29.5 | 30.4 | 25.4 |
| 3 phr g-MAH | 61.2 | 117.0 | 32.3 | 164.7 | 168.0 | 29.5 | 30.6 | 26.8 |
| 6 phr g-MAH | 60.4 | 115.3 | 32.3 | 163.5 | 167.9 | 31.1 | 31.5 | 27.5 |
| 9 phr g-MAH | 59.2 | 113.9 | 31.0 | 162.3 | 167.2 | 33.5 | 34.2 | 30.3 |
| Sample | Tonset (°C) | T25 a (°C) | T50 (°C) | T75 (°C) | Tmax (°C) | |
|---|---|---|---|---|---|---|
| Step 1 | Step 2 | |||||
| Neat PLA | 339.2 | 347.6 | 358.6 | 368.6 | 360.5 | - |
| PBSeT | 383.1 | 392.9 | 403.8 | 417.4 | 400.2 | - |
| Control | 334.6 | 345.0 | 359.0 | 379.0 | 355.7 | 395.9 |
| 3 phr g-MAH | 339.2 | 349.0 | 360.1 | 379.0 | 357.0 | 393.7 |
| 6 phr g-MAH | 337.4 | 346.5 | 357.8 | 372.6 | 356.5 | 394.9 |
| 9 phr g-MAH | 337.7 | 347.5 | 358.7 | 376.2 | 356.4 | 397.0 |
| DCP (phr) | MAH (phr) | |||
|---|---|---|---|---|
| 2 | 4 | 6 | 8 | |
| 0.5 | DCP0.5-M2 | DCP0.5-M4 | - | - |
| 1 | DCP1.0-M2 | DCP1.0-M4 | DCP1.0-M6 | DCP1.0-M8 |
| Sample | PLA% (w/w) | PBSeT% (w/w) | PLA-g-MAH (phr) |
|---|---|---|---|
| Control | 75 | 25 | 0 |
| 3 phr g-MAH | 75 | 25 | 3 |
| 6 phr g-MAH | 75 | 25 | 6 |
| 9 phr g-MAH | 75 | 25 | 9 |
Publisher’s Note: MDPI stays neutral with regard to jurisdictional claims in published maps and institutional affiliations. |
© 2022 by the authors. Licensee MDPI, Basel, Switzerland. This article is an open access article distributed under the terms and conditions of the Creative Commons Attribution (CC BY) license (https://creativecommons.org/licenses/by/4.0/).
Share and Cite
Jang, H.; Kwon, S.; Kim, S.J.; Park, S.-i. Maleic Anhydride-Grafted PLA Preparation and Characteristics of Compatibilized PLA/PBSeT Blend Films. Int. J. Mol. Sci. 2022, 23, 7166. https://doi.org/10.3390/ijms23137166
Jang H, Kwon S, Kim SJ, Park S-i. Maleic Anhydride-Grafted PLA Preparation and Characteristics of Compatibilized PLA/PBSeT Blend Films. International Journal of Molecular Sciences. 2022; 23(13):7166. https://doi.org/10.3390/ijms23137166
Chicago/Turabian StyleJang, Hyunho, Sangwoo Kwon, Sun Jong Kim, and Su-il Park. 2022. "Maleic Anhydride-Grafted PLA Preparation and Characteristics of Compatibilized PLA/PBSeT Blend Films" International Journal of Molecular Sciences 23, no. 13: 7166. https://doi.org/10.3390/ijms23137166
APA StyleJang, H., Kwon, S., Kim, S. J., & Park, S.-i. (2022). Maleic Anhydride-Grafted PLA Preparation and Characteristics of Compatibilized PLA/PBSeT Blend Films. International Journal of Molecular Sciences, 23(13), 7166. https://doi.org/10.3390/ijms23137166
