Metformin Influence on the Intestinal Microbiota and Organism of Rats with Metabolic Syndrome
Abstract
:1. Introduction
2. Results
2.1. Body Weight
2.2. Isolated Heart Function and Myocardial Infarct Size
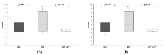
2.3. Biochemical Parameters
2.4. Microbiome Study
2.4.1. qPCR
2.4.2. Metagenome (16S rRNA) Study
2.5. Correlation Analysis between Intestinal Microbiomecontentand Other Parameters
2.5.1. Correlation Analysis between Bacterial Taxa
2.5.2. Correlation Analysis between Bacterial Taxa and Metabolic Symptoms
Body Weight
3. Discussion
4. Material and Methods
4.1. Animals
4.2. Ethics Approval
4.3. Induction of IGT
4.4. IGT Verification
4.5. Study Design
4.6. Isolated Heart Perfusion According to Langendorff
4.7. Myocardium Infarction Size Measurement
4.8. Study of the Gut Microbiota
4.8.1. Quantitative Polymerase Chain Reaction
4.8.2. Metagenome (16S rRNA) Study
4.9. Statistical Analysis
5. Conclusions
Supplementary Materials
Author Contributions
Funding
Institutional Review Board Statement
Informed Consent Statement
Data Availability Statement
Conflicts of Interest
References
- Rojas, E.; Castro, A.; Manzano, A.; Suárez, M.K.; Lameda, V.; Carrasquero, R.; Nava, M.; Bermudez, V. Diagnostic criteria and management of metabolic syndrome: Evolution overtime. Gac. Médica De Caracas 2020, 128, 480–504. [Google Scholar] [CrossRef]
- Lee, C.B.; Chae, S.U.; Jo, S.J.; Jerng, U.M.; Bae, S.K. The relationship between the gut microbiome and metformin as a key for treating type 2 diabetes mellitus. Int. J. Mol. Sci. 2021, 22, 3566. [Google Scholar] [CrossRef] [PubMed]
- Rena, G.; Hardie, D.G.; Pearson, E.R. The mechanisms of action of metformin. Diabetologia 2017, 60, 1577–1585. [Google Scholar] [CrossRef] [PubMed] [Green Version]
- Zhou, G.; Myers, R.; Li, Y.; Chen, Y.; Shen, X.; Fenyk-Melody, J.; Moller, D.E. Role of AMP-activated protein kinase in mechanism of metformin action. J. Clin. Investig. 2001, 108, 1167–1174. [Google Scholar] [CrossRef] [PubMed]
- Owen, M.R.; Doran, E.; Halestrap, A.P. Evidence that metformin exerts its anti-diabetic effects through inhibition of complex 1 of the mitochondrial respiratory chain. Biochem. J. 2000, 348, 607–614. [Google Scholar] [CrossRef]
- Kravchuk, E.; Grineva, E.; Bairamov, A.; Galagudza, M.; Vlasov, T. The effect of metformin on the myocardial tolerance to ischemia-reperfusion injury in the rat model of diabetes mellitus type II. Exp. Diabetes Res. 2011, 2011, 1–5. [Google Scholar] [CrossRef] [Green Version]
- Barreto-Torres, G.; Hernandez, J.S.; Jang, S.; Rodríguez-Muñoz, A.R.; Torres-Ramos, C.A.; Basnakian, A.G.; Javadov, S. The beneficial effects of AMP kinase activation against oxidative stress are associated with prevention of PPARα-cyclophilin D interaction in cardiomyocytes. Am. J. Physiol.-Heart Circ. Physiol. 2015, 308, H749–H758. [Google Scholar] [CrossRef] [Green Version]
- Zhang, Q.; Hu, N. Effects of metformin on the gut microbiota in obesity and type 2 diabetes mellitus. Diabetes Metab. Syndr. Obes. Targets Ther. 2020, 13, 5003. [Google Scholar] [CrossRef]
- Wu, H.; Esteve, E.; Tremaroli, V.; Khan, M.T.; Caesar, R.; Mannerås-Holm, L.; Bäckhed, F. Metformin alters the gut microbiome of individuals with treatment-naive type 2 diabetes, contributing to the therapeutic effects of the drug. Nat. Med. 2017, 23, 850–858. [Google Scholar] [CrossRef]
- Forslund, K.; Hildebrand, F.; Nielsen, T.; Falony, G.; Le Chatelier, E.; Sunagawa, S.; Pedersen, O. Disentangling type 2 diabetes and metformin treatment signatures in the human gut microbiota. Nature 2015, 528, 262–266. [Google Scholar] [CrossRef]
- Koliada, A.; Syzenko, G.; Moseiko, V.; Budovska, L.; Puchkov, K.; Perederiy, V.; Gavalko, Y.; Dorofeyev, A.; Romanenko, M.; Vaiserman, A. Association between body mass index and Firmicutes/Bacteroidetes ratio in an adult Ukrainian population. BMC Microbiol. 2017, 17, 1–6. [Google Scholar] [CrossRef] [PubMed] [Green Version]
- Turnbaugh, P.J.; Hamady, M.; Yatsunenko, T.; Cantarel, B.L.; Duncan, A.; Ley, R.E.; Sogin, M.; Jones, W.; Affourtit, J.; Gordon, J.I. A core gut microbiome in obese and lean twins. Nature 2009, 457, 480–484. [Google Scholar] [CrossRef] [PubMed] [Green Version]
- Vrieze, A.; Van Nood, E.; Holleman, F.; Salojarvi, J.; Kootte, R.S.; Bartelsman, J.F.; Dallinga-Thie, G.M.; Ackermans, M.T.; Serlie, M.J.; Oozeer, R. Transfer of intestinal microbiota from lean donors increases insulin sensitivity in individuals with metabolic syndrome. Gastroenterology 2012, 143, 913–916. [Google Scholar] [CrossRef] [PubMed]
- Hill, C.; Guarner, F.; Reid, G.; Gibson, G.R.; Merenstein, D.J.; Pot, B.; Morelli, L.; Canani, R.B.; Flint, H.J.; Salminen, S. Expert consensus document. The international scientific association for probiotics and prebiotics consensus statement on the scope and appropriate use of the term probiotic. Nat. Rev. Gastroenterol. Hepatol. 2014, 11, 506–514. [Google Scholar] [CrossRef] [Green Version]
- Yun, S.I.; Park, H.O.; Kang, J.H. Effect of Lactobacillus gasseri BNR17 on blood glucose levels and body weight in a mouse model of type 2 diabetes. J. Appl. Microbiol. 2009, 107, 1681–1686. [Google Scholar] [CrossRef]
- Bonora, E.; Cigolini, M.; Bosello, O.; Zancanaro, C.; Capretti, L.; Zavaroni, I.; Coscelli, C.; Butturini, U. Lack of effect of intravenous metformin on plasma concentrations of glucose, insulin, C-peptide, glucagon and growth hormone in non-diabetic subjects. Curr. Med. Res. Opin. 1984, 9, 47–51. [Google Scholar] [CrossRef]
- Chen, P.; Zhang, Q.; Dang, H.; Liu, X.; Tian, F.; Zhao, J.; Chen, Y.; Zhang, H.; Chen, W. Antidiabetic effect of Lactobacillus casei CCFM0412 on mice with type 2 diabetes induced by a high-fat diet and streptozotocin. Nutrition 2014, 30, 1061–1068. [Google Scholar] [CrossRef]
- Hariri, M.; Salehi, R.; Feizi, A.; Mirlohi, M.; Ghiasvand, R.; Habibi, N. A randomized, doubleblind, placebo-controlled, clinical trial on probiotic soy milk and soy milk: Effects on epigenetics and oxidative stress in patients with type II diabetes. Genes Nutr. 2015, 10, 1–8. [Google Scholar] [CrossRef]
- Li, X.; Wang, N.; Yin, B.; Fang, D.; Jiang, T.; Fang, S.; Zhao, J.; Zhang, H.; Wang, G.; Chen, W. Effects of Lactobacillus plantarum CCFM0236 on hyperglycaemia and insulin resistance in high-fat and streptozotocin-induced type 2 diabetic mice. J. Appl. Microbiol. 2016, 121, 1727–1736. [Google Scholar] [CrossRef]
- Hampe, C.S.; Roth, C.L. Probiotic strains and mechanistic insights for the treatment of type 2 diabetes. Endocrine 2017, 58, 207–227. [Google Scholar] [CrossRef]
- Fuentes, S.; van Nood, E.; Tims, S.; Heikamp-de Jong, I.; Ter Braak, C.J.; Keller, J.J.; Zoetendal, E.G.; de Vos, W.M. Reset of a critically disturbed microbial ecosystem: Faecal transplant in recurrent Clostridium difficile infection. ISME J. 2014, 8, 1621–1633. [Google Scholar] [CrossRef] [PubMed] [Green Version]
- Sokol, H.; Seksik, P.; Furet, J.P.; Firmesse, O.; NionLarmurier, I.; Beaugerie, L.; Cosnes, J.; Corthier, G.; Marteau, P.; Doré, J. Low counts of Faecalibacterium prausnitzii in colitis microbiota. Inflamm. Bowel Dis. 2009, 15, 1183–1189. [Google Scholar] [CrossRef] [PubMed]
- Andreasen, A.S.; Larsen, N.; PedersenSkovsgaard, T.; Berg, R.M.; Moller, K.; Svendsen, K.D.; Jakobsen, M.; Pedersen, B.K. Effects of Lactobacillus acidophilus NCFM on insulin sensitivity and the systemic inflammatory response in human subjects. Br. J. Nutr. 2010, 104, 1831–1838. [Google Scholar] [CrossRef] [PubMed] [Green Version]
- Adeshirlarijaney, A.; Zou, J.; Tran, H.; Chassaing, B.; Gewirtz, A.T. Amelioration of metabolic syndrome by metformin associates with reduced indices of low-grade inflammation independently of the gut microbiota. Am. J. Physiol. Endocrinol. Metab. 2019, 317, E1121–E1130. [Google Scholar] [CrossRef]
- Remely, M.; Hippe, B.; Zanner, J.; Aumueller, E.; Brath, H.; Haslberger, A.G. Gut microbiota of obese, Type 2 diabetic individuals is enriched in Faecalibacterium prausnitzii, Akkermansia muciniphila and Peptostreptococcus anaerobius after weight loss. Endocr. Metab. Immune Disord.-Drug Targets 2016, 16, 99–106. [Google Scholar] [CrossRef]
- Yin, Y.N.; Yu, Q.F.; Fu, N.; Liu, X.W.; Lu, F.G. Effects of four Bifidobacteria on obesity in high-fat diet induced rats. World J. Gastroenterol. 2010, 16, 3394–3401. [Google Scholar] [CrossRef]
- Gerard, C.; Vidal, H. Impact of gut microbiota on host glycemic control. Front. Endocrinol. 2019, 10, 29. [Google Scholar] [CrossRef]
- Cani, P.D.; de Vos, W.M. Next-generation beneficial microbes: The case of Akkermansia muciniphila. Front. Microbiol. 2017, 8, 1765. [Google Scholar] [CrossRef]
- Simanenkova, A.; Minasian, S.; Karonova, T.; Vlasov, T.; Timkina, N.; Shpilevaya, O.; Galagudza, M. Comparative evaluation of metformin and liraglutide cardioprotective effect in rats with impaired glucose tolerance. Sci. Rep. 2021, 11, 6700. [Google Scholar] [CrossRef]
- Kornyushin, O.V.; Sonin, D.L.; Toropova, Y.G.; Pochkaeva, E.I.; Semikova, G.V.; Berko, O.M.; Galagudza, M.M. Effects of bariatric surgeries on the size of myocardial infarction and ghrelin level in rats with experimental decompensated type 2 diabetes mellitus. Bull. Exp. Biol. Med. 2019, 168, 210–213. [Google Scholar] [CrossRef]
- Borshcev, Y.Y.; Minasian, S.M.; Burovenko, I.Y.; Ermolenko, E.I.; Suvorov, A.N.; Galagudza, M.M. Influence of probiotic strain E. faecium L3 on myocardial tolerance to ischemia-reperfusion injury in the model of antibiotic-induced intestinal dysbiosis. Ross. Fiziol. Zhurnal Im. IM Sechenova 2016, 102, 1323–1332. [Google Scholar]
- Borshchev, Y.; Minasian, S.M.; Burovenko, I.Y.; Borshchev, V.Y.; Protsak, E.S.; Borshcheva, O.V.; Galagudza, M.M. Effect of Azithromycin on Myocardial Resistance to Ischemia/Reperfusion in Systemic Inflammatory Response Syndrome and Alimentary Obesity. Bull. Exp. Biol. Med. 2021, 170, 613–617. [Google Scholar] [CrossRef] [PubMed]
- Burovenko, I.Y.; Borshchev, Y.Y.; Minasian, S.M.; Borshchev, V.Y.; Protsak, E.S.; Borshcheva, O.V.; Galagudza, M.M. Effect of Combined Antimicrobial Therapy on Ischemia/Reperfusion Myocardial Injury in Rats with Acute Inflammation of the Large Intestine against the Background of Alimentary Obesity. Bull. Exp. Biol. Med. 2020, 168, 309–312. [Google Scholar] [CrossRef] [PubMed]
- Borshchev, Y.Y.; Sinitsa, A.V.; Zakharchenko, M.M.; Borshchev, V.Y.; Burovenko, I.Y.; Galagudza, M.M. Effect of Antiobiotic-Induced Disbiosis and Its Correction with Probiotics on Myocardial Tolerance to Ischemia-Reperfusion Injury in SPF Rats. Bull. Exp. Biol. Med. 2019, 166, 440–443. [Google Scholar] [CrossRef]
- de Groot, P.; Scheithauer, T.; Bakker, G.J.; Prodan, A.; Levin, E.; Khan, M.T.; Herrema, H.; Ackermans, M.; Serlie, M.J.M.; de Brauw, M. Donor metabolic characteristics drive effects of faecal microbiota transplantation on recipient insulin sensitivity, energy expenditure and intestinal transit time. Gut 2020, 69, 502–512. [Google Scholar] [CrossRef] [Green Version]
- Rajilić-Stojanović, M.; De Vos Willem, M. The first 1000 cultured species of the human gastrointestinal microbiota. FEMS Microbiol. Rev. 2014, 38, 996–1047. [Google Scholar] [CrossRef]
- Esposito, K.; Giugliano, D. The metabolic syndrome and inflammation: Association or causation? Nutr. Metab. Cardiovasc. Dis. 2004, 14, 228–232. [Google Scholar] [CrossRef]
- de la Cuesta-zuluaga, J.; Mueller, N.T.; Corrales-Agudelo, V.; VelasquezMejia, E.P.; Carmona, J.A.; Abad, J.M.; Escobar, J.S. Metformin is associated with higher relative abundance of mucin-degrading Akkermansia muciniphila and several short-chain fatty acid-producing microbiota in the gut. Diabetes Care 2017, 40, 54–62. [Google Scholar] [CrossRef] [Green Version]
- Festi, D.; Schiumerini, R.; Eusebi, L.H.; Marasco, G.; Taddia, M.; Colecchia, A. Gut microbiota and metabolic syndrome. World J. Gastroenterol. 2014, 20, 16079–16094. [Google Scholar] [CrossRef]
- Stepensky, D.; Friedman, M.; Raz, I.; Hoffman, A. Pharmacokinetic-pharmacodynamic analysis of the glucose-lowering effect of metformin in diabetic rats reveals first-pass pharmacodynamic effect. Drug Metab. Dispos. 2002, 30, 861–868. [Google Scholar] [CrossRef] [Green Version]
- Brunkwall, L.; Orho-Melander, M. The gut microbiome as a target for prevention and treatment of hyperglycaemia in type 2 diabetes: From current human evidence to future possibilities. Diabetologia 2017, 60, 943–951. [Google Scholar] [CrossRef] [PubMed] [Green Version]
- Pernicova, I.; Korbonits, M. Metformin--mode of action and clinical implications for diabetes and cancer. Nat. Rev. Endocrinol. 2014, 10, 143–156. [Google Scholar] [CrossRef] [PubMed]
- Montandon, S.; Jornayvaz, F. Effects of Antidiabetic Drugs on Gut Microbiota Composition. Genes 2017, 8, 250. [Google Scholar] [CrossRef] [PubMed] [Green Version]
- Helmstädter, J.; Keppeler, K.; Aust, F.; Küster, L.; Frenis, K.; Filippou, K.; Vujacic-Mirski, K.; Tsohataridis, S.; Kalinovic, S.; Kröller-Schön, S.; et al. GLP-1 analog liraglutide improves vascular function in polymicrobial sepsis by reduction of oxidative stress and inflammation. Antioxidants 2021, 10, 1175. [Google Scholar] [CrossRef] [PubMed]
- Everard, A.; Belzer, C.; Geurts, L.; Ouwerkerk, J.P.; Druart, C.; Bindels, L.B.; Cani, P.D. Cross-talk between Akkermansia muciniphila and intestinal epithelium controls diet-induced obesity. Proc. Natl. Acad. Sci. USA 2013, 110, 9066–9071. [Google Scholar] [CrossRef] [Green Version]
- Corb Aron, R.A.; Abid, A.; Vesa, C.M.; Nechifor, A.C.; Behl, T.; Ghitea, T.C.; Munteanu, M.A.; Fratila, O.; Andronie-Cioara, F.L.; Toma, M.M.; et al. Recognizing the benefits of pre-/probiotics in metabolic syndrome and type 2 diabetes mellitus considering the influence of akkermansia muciniphila as a key gut bacterium. Microorganisms 2021, 9, 618. [Google Scholar] [CrossRef]
- Dao, M.; Everard, A.; Aron-Wisnewsky, J.; Sokolovska, N.; Prifti, E.; Verger, E.; Kayser, B.; Levenez, F.; Chilloux, J.; Hoyles, L.; et al. Akkermansia muciniphila and improved metabolic health during a dietary intervention in obesity: Relationship with gut microbiome richness and ecology. Gut 2016, 65, 426–436. [Google Scholar] [CrossRef] [Green Version]
- Zhou, K. Strategies to promote abundance of Akkermansia muciniphila, an emerging probiotics in the gut, evidence from dietary intervention studies. J. Functionl. Foods 2017, 33, 194–201. [Google Scholar] [CrossRef]
- Shin, N.; Lee, J.; Lee, H.; Kim, M.; Whon, T.; Lee, M.; Bae, J. An increase in the Akkermansia spp. population induced by metformin treatment improves glucose homeostasis in diet-induced obese mice. Gut 2014, 63, 727–735. [Google Scholar] [CrossRef] [Green Version]
- Scott, K.P.; Martin, J.C.; Mrazek, J.; Flint, H.J. Transfer of Conjugative Elements from Rumen and Human Firmicutes Bacteria to Roseburia inulinivorans. Appl. Environ. Microbiol. 2008, 74, 3915–3917. [Google Scholar] [CrossRef] [Green Version]
- Machiels, K.; Joossens, M.; Sabino, J.; De Preter, V.; Arijs, I.; Eeckhaut, V.; Ballet, V.; Claes, K.; Van Immerseel, F.; Verbeke, K.; et al. A decrease of the -producing species Roseburia hominis and Faecalibacterium prausnitzii defines dysbiosis in patients with ulcerative colitis. Gut 2014, 63, 1275–1283. [Google Scholar] [CrossRef] [PubMed]
- Luo, F.; Das, A.; Chen, J.; Wu, P.; Li, X.; Fang, Z. Metformin in patients with and without diabetes: A paradigm shift in cardiovascular disease butyrate management. Cardiovasc. Diabetol. 2019, 18, 54. [Google Scholar] [CrossRef] [PubMed] [Green Version]
- Bayrasheva, V.K.; Babenko, A.Y.; Dobronravov, V.A.; Dmitriev, Y.V.; Chefu, S.G.; Pchelin, I.Y. Uninephrectomized high-fat-fed nicotinamide-streptozotocin-induced diabetic rats: A model for the investigation of diabetic nephropathy in Type 2 diabetes. J. Diabetes Res. 2016, 2016, 1–19. [Google Scholar] [CrossRef] [PubMed]
- Zhang, M.; Lv, X.Y.; Li, J.; Xu, Z.G.; Chen, L. The characterization of high-fat diet and multiple low-dose streptozotocin induced type 2 diabetes rat model. Exp. Diabetes Res. 2008, 1–10. [Google Scholar] [CrossRef] [PubMed] [Green Version]
- Cao, B.; Li, R.; Tian, H.; Ma, Y.; Hu, X.; Jia, N.; Wang, Y. Effect on glycemia in rats with type 2 diabetes induced by streptozotocin: Low-frequency electro-pulse needling stimulated Weiwanxiashu (EX-B 3) and Zusanli (ST 36). J. Tradit. Chin. Med. 2016, 36, 768–778. [Google Scholar] [CrossRef]
- Bhardwaj, S.; Bhattacharjee, J.; Bhatnagar, M.K.; Tyagi, S.; Delhi, N. Atherogenic index of plasma, castelli risk index and atherogenic coefficient-new parameters in assessing cardiovascular risk. Int. J. Pharm. Biol. Sci. 2013, 3, 359–364. [Google Scholar]
- Minasian, S.M.; Galagudza, M.M.; Dmitriev, Y.V.; Kurapeev, D.I.; Vlasov, T.D. Myocardial protection against global ischemia with Krebs-Henseleit buffer-based cardioplegic solution. J. Cardiothorac. Surg. 2013, 8, 1–9. [Google Scholar] [CrossRef] [Green Version]
- Galagudza, M.M.; Nekrasova, M.K.; Syrenskii, A.V. Cardioprotective effect of anti-ischemic and metabolic preconditioning in experiment. Russ. J. Physiol. 2006, 92, 284–291. [Google Scholar] [CrossRef]
- Sarkar, S.; Das, B.; Banerjee, S.K. Insights into the human gut microbiome and cardiovascular diseases. J. Pract. Cardiovasc. Sci. 2018, 4, 10–14. [Google Scholar] [CrossRef]
- Suvorov, A.; Karaseva, A.; Kotyleva, M.; Kondratenko, Y.; Lavrenova, N.; Korobeynikov, A.; Kozyrev, P.; Kramskaya, T.; Leontieva, G.; Kudryavtsev, I. Autoprobiotics as an approach for restoration of personalised microbiota. Front. Microbiol. 2018, 9, 1–9. [Google Scholar] [CrossRef]
- DeSantis, T.Z.; Hugenholtz, P.; Larsen, N.; Rojas, M.; Brodie, E.L.; Keller, K.; Huber, T.; Dalevi, D.; Hu, P.; Andersen, G.L. Greengenes, a chimera-checked 16S rRNA gene database and workbench compatible with ARB. Appl. Environ. Microbiol. 2006, 72, 5069–5072. [Google Scholar] [CrossRef] [PubMed] [Green Version]













| Groups | 4 Weeks | Induction of IGT on 29th Day | 4 Weeks | 8 Weeks | Necropsy after 16 Weeks |
|---|---|---|---|---|---|
| CRL | Standard diet | - | Standard diet | Standard diet | Assessment of the composition of the intestinal microbiota. Isolated heart perfusion |
| IGT | High-fat diet | Injection of nicotinamide and streptozotocin | High-fat diet | High-fat diet | |
| IGT MET | High-fat diet | Injection of nicotinamide and streptozotocin | High-fat diet | High-fat diet + metformin treatment |
Publisher’s Note: MDPI stays neutral with regard to jurisdictional claims in published maps and institutional affiliations. |
© 2022 by the authors. Licensee MDPI, Basel, Switzerland. This article is an open access article distributed under the terms and conditions of the Creative Commons Attribution (CC BY) license (https://creativecommons.org/licenses/by/4.0/).
Share and Cite
Ermolenko, E.; Simanenkova, A.; Voropaeva, L.; Lavrenova, N.; Kotyleva, M.; Minasian, S.; Chernikova, A.; Timkina, N.; Gladyshev, N.; Dmitriev, A.; et al. Metformin Influence on the Intestinal Microbiota and Organism of Rats with Metabolic Syndrome. Int. J. Mol. Sci. 2022, 23, 6837. https://doi.org/10.3390/ijms23126837
Ermolenko E, Simanenkova A, Voropaeva L, Lavrenova N, Kotyleva M, Minasian S, Chernikova A, Timkina N, Gladyshev N, Dmitriev A, et al. Metformin Influence on the Intestinal Microbiota and Organism of Rats with Metabolic Syndrome. International Journal of Molecular Sciences. 2022; 23(12):6837. https://doi.org/10.3390/ijms23126837
Chicago/Turabian StyleErmolenko, Elena, Anna Simanenkova, Lyubov Voropaeva, Nadezhda Lavrenova, Maryna Kotyleva, Sarkis Minasian, Alena Chernikova, Natalya Timkina, Nikita Gladyshev, Alexander Dmitriev, and et al. 2022. "Metformin Influence on the Intestinal Microbiota and Organism of Rats with Metabolic Syndrome" International Journal of Molecular Sciences 23, no. 12: 6837. https://doi.org/10.3390/ijms23126837
APA StyleErmolenko, E., Simanenkova, A., Voropaeva, L., Lavrenova, N., Kotyleva, M., Minasian, S., Chernikova, A., Timkina, N., Gladyshev, N., Dmitriev, A., Suvorov, A., Galagudza, M., & Karonova, T. (2022). Metformin Influence on the Intestinal Microbiota and Organism of Rats with Metabolic Syndrome. International Journal of Molecular Sciences, 23(12), 6837. https://doi.org/10.3390/ijms23126837

