The B-Type Cyclin CYCB1-1 Regulates Embryonic Development and Seed Size in Maize
Abstract
1. Introduction
2. Results
2.1. Cluster Analysis of B-Type Cyclins in Maize, Rice, and Arabidopsis
2.2. Generation of ZmCYCB1-1 Overexpression Plants
2.3. Overexpression of ZmCYCB1-1 Accelerates the Growth of Isolated Embryos
2.4. ZmCYCB1-1 Overexpression Increases Kernel Size
2.5. ZmCYCB1-1 Knockout Inhibits Plant Growth
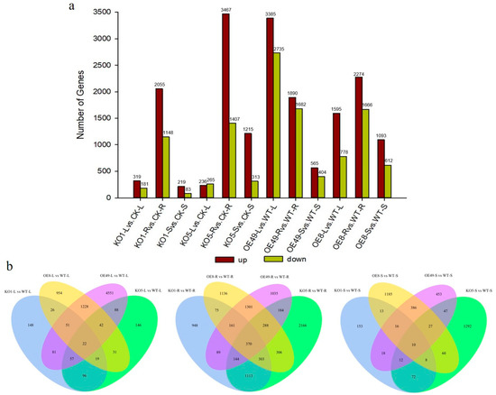
2.6. Transcriptome Analysis of ZmCYCB1-1 Overexpression and Knockout Plants
3. Discussion
4. Materials and Methods
4.1. Plant Materials and Growth Conditions
4.2. Cloning and Clustering Analysis of the ZmCYCB1-1 Gene
4.3. Vector Construction and Genetic Transformation
4.4. In Vitro Growth of Immature Embryos of ZmCYCB1-1 Overexpression Plants
4.5. Expression Analysis of ZmCYCB1-1
4.6. In Situ Hybridization and Toluidine Blue Staining
4.7. RNA-Seq Analysis
5. Conclusions
Supplementary Materials
Author Contributions
Funding
Institutional Review Board Statement
Informed Consent Statement
Data Availability Statement
Conflicts of Interest
References
- Scofield, S.; Jones, A.; Murray, J.A. The plant cell cycle in context. J. Exp. Bot. 2014, 65, 2557–2562. [Google Scholar] [CrossRef] [PubMed]
- Dewitte, W.; Murray, J.A. The plant cell cycle. Annu. Rev. Plant Biol. 2003, 54, 235–264. [Google Scholar] [CrossRef] [PubMed]
- Jackson, P.K. The hunt for cyclin. Cell 2008, 134, 199–202. [Google Scholar] [CrossRef]
- Komaki, S.; Sugimoto, K. Control of the plant cell cycle by developmental and environmental cues. Plant Cell Physiol. 2012, 53, 953–964. [Google Scholar] [CrossRef] [PubMed]
- Wood, D.J.; Endicott, J.A. Structural insights into the functional diversity of the CDK–cyclin family. Open Biol. 2018, 8, 180112. [Google Scholar] [CrossRef] [PubMed]
- Hata, S.; Kouchi, H.; Suzuka, I.; Ishii, T. Isolation and characterization of cDNA clones for plant cyclins. EMBO J. 1991, 10, 2681–2688. [Google Scholar] [CrossRef]
- Ferreira, P.; Hemerly, A.S.; Engler, J.; Van Montagu, M.; Engler, G.; Inzé, D. Developmental expression of the arabidopsis cyclin gene cyc1At. Plant Cell 1994, 6, 1763–1774. [Google Scholar]
- Wang, G.; Kong, H.; Sun, Y.; Zhang, X.; Zhang, W.; Altman, N.; DePamphilis, C.W.; Ma, H. Genome-wide analysis of the cyclin family in Arabidopsis and comparative phylogenetic analysis of plant cyclin-like proteins. Plant Physiol. 2004, 135, 1084–1099. [Google Scholar] [CrossRef]
- Riou-Khamlichi, C.; Menges, M.; Healy, J.S.; Murray, J.A. Sugar control of the plant cell cycle: Differential regulation of Arabidopsis D-type cyclin gene expression. Mol. Cell. Biol. 2000, 20, 4513–4521. [Google Scholar] [CrossRef]
- Dewitte, W.; Riou-Khamlichi, C.; Scofield, S.; Healy, J.S.; Jacqmard, A.; Kilby, N.J.; Murray, J.A. Altered cell cycle distribution, hyperplasia, and inhibited differentiation in Arabidopsis caused by the D-type cyclin CYCD3. Plant Cell 2003, 15, 79–92. [Google Scholar] [CrossRef]
- La, H.; Li, J.; Ji, Z.; Cheng, Y.; Li, X.; Jiang, S.; Venkatesh, P.N.; Ramachandran, S. Genome-wide analysis of cyclin family in rice (Oryza Sativa L.). Mol. Genet. Genom. 2006, 275, 374–386. [Google Scholar] [CrossRef] [PubMed]
- Hu, X.; Cheng, X.; Jiang, H.; Zhu, S.; Cheng, B.; Xiang, Y. Genome-wide analysis of cyclins in maize (Zea mays). Genet. Mol. Res. 2010, 9, 1490–1503. [Google Scholar] [CrossRef] [PubMed]
- Setiady, Y.Y.; Sekine, M.; Hariguchi, N.; Yamamoto, T.; Kouchi, H.; Shinmyo, A. Tobacco mitotic cyclins: Cloning, characterization, gene expression and functional assay. Plant J. 1995, 8, 949–957. [Google Scholar] [CrossRef] [PubMed]
- Fuerst, R.A.; Soni, R.; Murray, J.A.; Lindsey, K. Modulation of cyclin transcript levels in cultured cells of Arabidopsis thaliana. Plant Physiol. 1996, 112, 1023–1033. [Google Scholar] [CrossRef] [PubMed]
- Ito, M. Factors controlling cyclin B expression. Plant Cell Cycle 2000, 133–146. [Google Scholar]
- Qin, L.X.; Perennes, C.; Richard, L.; Bouvier-Durand, M.; Tréhin, C.; Inzé, D.; Bergounioux, C. G2-and early-M-specific expression of the NTCYC1 cyclin gene in Nicotiana tabacum cells. Plant Mol. Biol. 1996, 32, 1093–1101. [Google Scholar] [CrossRef] [PubMed]
- Schnittger, A.; Schöbinger, U.; Stierhof, Y.D.; Hülskamp, M. Ectopic B-type cyclin expression induces mitotic cycles in endoreduplicating Arabidopsis trichomes. Curr. Biol. 2002, 12, 415–420. [Google Scholar] [CrossRef]
- Hirt, H.; Mink, M.; Pfosser, M.; Bögre, L.; Györgyey, J.; Jonak, C.; Gartner, A.; Dudits, D.; Heberle-Bors, E. Alfalfa cyclins: Differential expression during the cell cycle and in plant organs. Plant Cell 1992, 4, 1531–1538. [Google Scholar]
- Tréhin, C.; Ahn, I.O.; Perennes, C.; Couteau, F.; Lalanne, E.; Bergounioux, C. Cloning of upstream sequences responsible for cell cycle regulation of the Nicotiana sylvestris CycB1;1 gene. Plant Mol. Biol. 1997, 35, 667–672. [Google Scholar] [CrossRef]
- Menges, M.; Murray, J.A. Synchronous Arabidopsis suspension cultures for analysis of cell-cycle gene activity. Plant J. 2002, 30, 203–212. [Google Scholar] [CrossRef]
- Guo, J.; Song, J.; Wang, F.; Zhang, X.S. Genome-wide identification and expression analysis of rice cell cycle genes. Plant Mol. Biol. 2007, 64, 349–360. [Google Scholar] [CrossRef] [PubMed]
- Guo, J.; Wang, F.; Song, J.; Sun, W.; Zhang, X.S. The expression of Orysa;CycB1;1 is essential for endosperm formation and causes embryo enlargement in rice. Planta 2010, 231, 293–303. [Google Scholar] [CrossRef] [PubMed]
- Ren, D.; Wang, X.; Yang, M.; Yang, L.; He, G.; Deng, X.W. A new regulator of seed size control in Arabidopsis identified by a genome-wide association study. New Phytol. 2019, 222, 895–906. [Google Scholar] [CrossRef] [PubMed]
- Cole, M.B.; Augustin, M.A.; Robertson, M.J.; Manners, J.M. The science of food security. Npj Sci. Food 2018, 2, 14. [Google Scholar] [CrossRef] [PubMed]
- Subramanian, A.; Tamayo, P.; Mootha, V.K.; Mukherjee, S.; Ebert, B.L.; Gillette, M.A.; Paulovich, A.; Pomeroy, S.L.; Golub, T.R.; Lander, E.S.; et al. Gene set enrichment analysis: A knowledge-based approach for interpreting genome-wide expression profiles. Proc. Natl. Acad. Sci. USA 2005, 102, 15545–15550. [Google Scholar] [CrossRef] [PubMed]
- McIntosh, J.R. Mitosis. Cold Spring Harb. Perspect. Biol. 2016, 8, a023218. [Google Scholar] [CrossRef] [PubMed]
- Baekelandt, A.; Pauwels, L.; Wang, Z.; Li, N.; De Milde, L.; Natran, A.; Vermeersch, M.; Li, Y.; Goossens, A.; Inzé, D. Arabidopsis leaf flatness is regulated by PPD2 and NINJA through repression of CYCLIN D3 genes. Plant Physiol. 2018, 178, 217–232. [Google Scholar] [CrossRef]
- Willems, A.; Heyman, J.; Eekhout, T.; Achon, I.; Pedroza-Garcia, J.A.; Zhu, T.; Li, L.; Vercauteren, I.; Van den Daele, H.; Van De Cotte, B. The cyclin CYCA3; 4 is a postprophase target of the APC/CCCS52A2 E3-ligase controlling formative cell divisions in Arabidopsis. Plant Cell 2020, 32, 2979–2996. [Google Scholar] [CrossRef]
- Romeiro Motta, M.; Zhao, X.A.; Pastuglia, M.; Belcram, K.; Roodbarkelari, F.; Komaki, M.; Harashima, H.; Komaki, S.; Kumar, M.; Bulankova, P. B1-type cyclins control microtubule organization during cell division in Arabidopsis. EMBO Rep. 2022, 23, e53995. [Google Scholar] [CrossRef]
- Xu, J.; Lee, Y.R.J.; Liu, B. Establishment of a mitotic model system by transient expression of the D-type cyclin in differentiated leaf cells of tobacco (Nicotiana benthamiana). New Phytol. 2020, 226, 1213–1220. [Google Scholar] [CrossRef]
- Dahl, M.; Meskiene, I.; Bögre, L.; Ha, D.; Swoboda, I.; Hubmann, R.; Hirt, H.; Heberle-Bors, E. The D-type alfalfa cyclin gene cycMs4 complements G1 cyclin-deficient yeast and is induced in the G1 phase of the cell cycle. Plant Cell 1995, 7, 1847–1857. [Google Scholar] [CrossRef] [PubMed][Green Version]
- Meng, J.; Peng, M.; Yang, J.; Zhao, Y.; Hu, J.; Zhu, Y.; He, H. Genome-wide analysis of the cyclin gene family and their expression profile in medicago truncatula. Int. J. Mol. Sci. 2020, 21, 9430. [Google Scholar] [CrossRef] [PubMed]
- Schnittger, A.; De Veylder, L. The Dual Face of Cyclin B1. Trends Plant Sci. 2018, 23, 475–478. [Google Scholar] [CrossRef] [PubMed]
- Welter, M.E.; Clayton, D.S.; Miller, M.A.; Petolino, J.E. Morphotypes of friable embryogenic maize callus. Plant Cell Rep. 1995, 14, 725–729. [Google Scholar] [CrossRef]
- Chakrabarti, M.; Zhang, N.; Sauvage, C.; Muños, S.; Blanca, J.; Cañizares, J.; Diez, M.J.; Schneider, R.; Mazourek, M.; McClead, J.; et al. A cytochrome P450 regulates a domestication trait in cultivated tomato. Proc. Natl. Acad. Sci. USA 2013, 110, 17125–17130. [Google Scholar] [CrossRef]
- Li, Q.; Chakrabarti, M.; Taitano, N.K.; Okazaki, Y.; Saito, K.; Al-Abdallat, A.M.; van der Knaap, E. Differential expression of SlKLUH controlling fruit and seed weight is associated with changes in lipid metabolism and photosynthesis-related genes. J. Exp. Bot. 2021, 72, 1225–1244. [Google Scholar] [CrossRef]
- Xu, F.; Fang, J.; Ou, S.; Gao, S.; Zhang, F.; Du, L.; Xiao, Y.; Wang, H.; Sun, X.; Chu, J. Variations in CYP 78 A 13 coding region influence grain size and yield in rice. Plant Cell Environ. 2015, 38, 800–811. [Google Scholar] [CrossRef]
- Ge, L.; Yu, J.; Wang, H.; Luth, D.; Bai, G.; Wang, K.; Chen, R. Increasing seed size and quality by manipulating BIG SEEDS1 in legume species. Proc. Natl. Acad. Sci. USA 2016, 113, 12414–12419. [Google Scholar] [CrossRef]
- Mizukami, Y. A matter of size: Developmental control of organ size in plants. Curr. Opin. Plant Biol. 2001, 4, 533–539. [Google Scholar] [CrossRef]
- Dante, R.A.; Larkins, B.A.; Sabelli, P.A. Cell cycle control and seed development. Front. Plant Sci. 2014, 5, 493. [Google Scholar] [CrossRef]
- Barrôco, R.M.; Peres, A.; Droual, A.M.; De Veylder, L.; Nguyen le, S.L.; De Wolf, J.; Mironov, V.; Peerbolte, R.; Beemster, G.T.; Inzé, D.; et al. The cyclin-dependent kinase inhibitor Orysa;KRP1 plays an important role in seed development of rice. Plant Physiol. 2006, 142, 1053–1064. [Google Scholar] [CrossRef] [PubMed]
- Cheng, Y.; Cao, L.; Wang, S.; Li, Y.; Shi, X.; Liu, H.; Li, L.; Zhang, Z.; Fowke, L.C.; Wang, H. Downregulation of multiple CDK inhibitor ICK/KRP genes upregulates the E2F pathway and increases cell proliferation, and organ and seed sizes in Arabidopsis. Plant J. 2013, 75, 642–655. [Google Scholar] [CrossRef] [PubMed]
- Ajadi, A.A.; Tong, X.; Wang, H.; Zhao, J.; Tang, L.; Li, Z.; Liu, X.; Shu, Y.; Li, S.; Wang, S. Cyclin-dependent kinase inhibitors KRP1 and KRP2 are involved in grain filling and seed germination in rice (Oryza sativa L.). Int. J. Mol. Sci. 2019, 21, 245. [Google Scholar] [CrossRef] [PubMed]
- Paolo, D.; Rotasperti, L.; Schnittger, A.; Masiero, S.; Colombo, L.; Mizzotti, C. The arabidopsis mads-domain transcription factor seedstick controls seed size via direct activation of e2fa. Plants 2021, 10, 192. [Google Scholar] [CrossRef]
- Misener, S.; Krawetz, S.A. Bioinformatics Methods and Protocols; Springer: Berlin/Heidelberg, Germany, 2000. [Google Scholar]
- Kumar, S.; Stecher, G.; Peterson, D.; Tamura, K. MEGA-CC: Computing core of molecular evolutionary genetics analysis program for automated and iterative data analysis. Bioinformatics 2012, 28, 2685–2686. [Google Scholar] [CrossRef] [PubMed]
- Zhang, D.; Wu, S.; An, X.; Xie, K.; Dong, Z.; Zhou, Y.; Xu, L.; Fang, W.; Liu, S.; Liu, S.; et al. Construction of a multicontrol sterility system for a maize male-sterile line and hybrid seed production based on the ZmMs7 gene encoding a PHD-finger transcription factor. Plant Biotechnol. J. 2018, 16, 459–471. [Google Scholar] [CrossRef]
- Lei, Y.; Lu, L.; Liu, H.-Y.; Li, S.; Xing, F.; Chen, L.-L. CRISPR-P: A web tool for synthetic single-guide RNA design of CRISPR-system in plants. Mol. Plant 2014, 7, 1494–1496. [Google Scholar] [CrossRef]
- Liu, H.; Ding, Y.; Zhou, Y.; Jin, W.; Xie, K.; Chen, L.-L. CRISPR-P 2.0: An improved CRISPR-Cas9 tool for genome editing in plants. Mol. Plant 2017, 10, 530–532. [Google Scholar] [CrossRef]
- Sidorov, V.; Duncan, D. Agrobacterium-mediated maize transformation: Immature embryos versus callus. Methods Mol. Biol. 2009, 526, 47–58. [Google Scholar]
- Lancashire, P.D.; Bleiholder, H.; Boom, T.V.D.; Langelüddeke, P.; Stauss, R.; Weber, E.; Witzenberger, A. A uniform decimal code for growth stages of crops and weeds. Ann. Appl. Biol. 1991, 119, 561–601. [Google Scholar] [CrossRef]
- Livak, K.J.; Schmittgen, T.D. Analysis of relative gene expression data using real-time quantitative PCR and the 2(-Delta Delta C(T)) Method. Methods 2001, 25, 402–408. [Google Scholar] [CrossRef] [PubMed]
- Trapnell, C.; Roberts, A.; Goff, L.; Pertea, G.; Kim, D.; Kelley, D.R.; Pimentel, H.; Salzberg, S.L.; Rinn, J.L.; Pachter, L. Differential gene and transcript expression analysis of RNA-seq experiments with TopHat and Cufflinks. Nat. Protoc. 2012, 7, 562–578. [Google Scholar] [CrossRef] [PubMed]
- Kanehisa, M.; Goto, S. KEGG: Kyoto encyclopedia of genes and genomes. Nucleic Acids Res. 2000, 28, 27–30. [Google Scholar] [CrossRef] [PubMed]






| Gene | Locus | Chromosome | Location | Number of AA | MW (kDa) | PI |
|---|---|---|---|---|---|---|
| AtCYCB1-2 | AT5G06150 | 5 | 1859279..1861703 | 445 | 49.8 | 9.32 |
| AtCYCB1-4 | AT2G26760 | 2 | 11401118..11403433 | 387 | 43.6 | 7.12 |
| AtCYCB3-1 | AT1G16330 | 1 | 5582387..5587461 | 648 | 72.4 | 9.91 |
| AtCYCB2-4 | AT1G76310 | 1 | 28627694..28630789 | 431 | 49.2 | 5.65 |
| AtCYCB1-5 | AT1G34460 | 1 | 12595110..12602379 | 491 | 55.4 | 9.14 |
| AtCYCB2-1 | AT2G17620 | 2 | 7664055..7666522 | 429 | 49.2 | 5.38 |
| AtCYCB1-1 | AT4G37490 | 4 | 17621886..17624308 | 428 | 48.5 | 8.47 |
| AtCYCB1-3 | AT3G11520 | 3 | 3625286..3627273 | 414 | 46.3 | 9.02 |
| AtCYCB2-3 | AT1G20610 | 1 | 7134659..7137828 | 429 | 48.9 | 5.44 |
| OsCYCB1-1 | LOC_Os01g59120 | 1 | 34149456..34152432 | 448 | 49.5 | 9.12 |
| OsCYCB1-3 | LOC_Os01g17402 | 1 | 10011887..10015563 | 423 | 47.4 | 9.37 |
| OsCYCB2-2 | LOC_Os06g51110 | 6 | 30915116..30918901 | 419 | 47.5 | 5.69 |
| OsCYCB1-5 | LOC_Os05g41390 | 5 | 24240406..24243654 | 449 | 49.3 | 9.48 |
| OsCYCB2-1 | LOC_Os04g47580 | 4 | 28218757..28221766 | 418 | 47.1 | 5.31 |
| ZmCYCB1-1 | Zm00001d012560 | 8 | 177903858..177906686 | 449 | 50 | 9.19 |
| ZmCYCB1-2 | Zm00001d010656 | 8 | 122821167..122824013 | 446 | 48.3 | 9.49 |
| ZmCYCB1-3 | Zm00001d008221 | 8 | 1820085..1823293 | 479 | 53.3 | 9.22 |
| ZmCYCB1-4 | Zm00001d049105 | 4 | 16351535..16352295 | 192 | 22.2 | 5.07 |
| ZmCYCB1-5 | Zm00001d043164 | 3 | 192558950..192561719 | 442 | 49.5 | 9.14 |
| ZmCYCB2-1 | Zm00001d036360 | 6 | 92281211..92285039 | 424 | 47.7 | 5.75 |
| ZmCYCB2-2 | Zm00001d002662 | 2 | 18900412..18903957 | 424 | 47.5 | 5.5 |
Publisher’s Note: MDPI stays neutral with regard to jurisdictional claims in published maps and institutional affiliations. |
© 2022 by the authors. Licensee MDPI, Basel, Switzerland. This article is an open access article distributed under the terms and conditions of the Creative Commons Attribution (CC BY) license (https://creativecommons.org/licenses/by/4.0/).
Share and Cite
Zhao, B.; Zhou, M.; Ren, W.; Li, H.; Zhang, Q.; He, G.; Liu, Y.; He, H. The B-Type Cyclin CYCB1-1 Regulates Embryonic Development and Seed Size in Maize. Int. J. Mol. Sci. 2022, 23, 5907. https://doi.org/10.3390/ijms23115907
Zhao B, Zhou M, Ren W, Li H, Zhang Q, He G, Liu Y, He H. The B-Type Cyclin CYCB1-1 Regulates Embryonic Development and Seed Size in Maize. International Journal of Molecular Sciences. 2022; 23(11):5907. https://doi.org/10.3390/ijms23115907
Chicago/Turabian StyleZhao, Bingbing, Miaoyi Zhou, Wen Ren, Hanshuai Li, Qian Zhang, Guangming He, Ya Liu, and Haohua He. 2022. "The B-Type Cyclin CYCB1-1 Regulates Embryonic Development and Seed Size in Maize" International Journal of Molecular Sciences 23, no. 11: 5907. https://doi.org/10.3390/ijms23115907
APA StyleZhao, B., Zhou, M., Ren, W., Li, H., Zhang, Q., He, G., Liu, Y., & He, H. (2022). The B-Type Cyclin CYCB1-1 Regulates Embryonic Development and Seed Size in Maize. International Journal of Molecular Sciences, 23(11), 5907. https://doi.org/10.3390/ijms23115907

