Mechanism of Antiradical Activity of Newly Synthesized 4,7-Dihydroxycoumarin Derivatives-Experimental and Kinetic DFT Study
Abstract
:1. Introduction
2. Materials and Methods
2.1. Chemicals and Instrumentations
2.2. General Synthesis Procedure
2.3. EPR Measurement with HO• Radical
2.4. Computational Methodology
3. Results
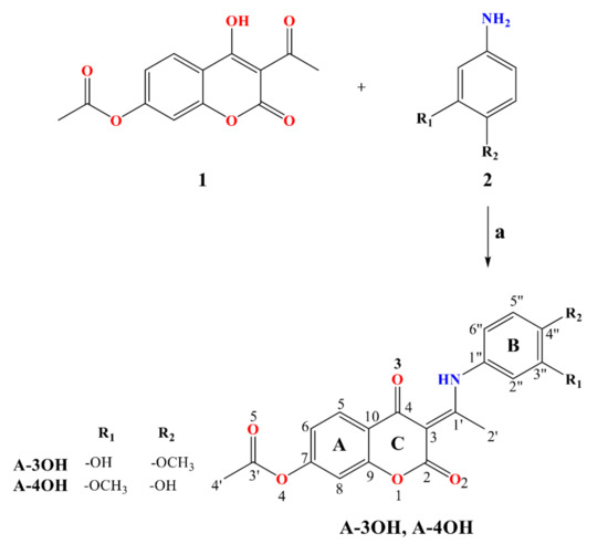
3.1. Chemistry
3.2. The Experimental HO• Scavenging Activity
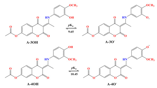
3.3. Acid–Base Equilibria
3.4. Thermodynamic Approach between Neutral Species and HO• Radical
3.5. Reactions A-3OH and A-4OH with HO• Radical-Kinetic Approach
3.6. Relative Antiradical Capacity (rT) and Branching Ratios (Γi)
4. Conclusions
Supplementary Materials
Author Contributions
Funding
Institutional Review Board Statement
Informed Consent Statement
Data Availability Statement
Conflicts of Interest
References
- Wang, J.L.; Xu, L.J. Advanced Oxidation Processes for Wastewater Treatment: Formation of Hydroxyl Radical and Application. Crit. Rev. Environ. Sci. Technol. 2012, 42, 251–325. [Google Scholar] [CrossRef]
- Bayr, H. Reactive oxygen species. Crit. Care Med. 2005, 33, S498–S501. [Google Scholar] [CrossRef] [PubMed]
- Buonocore, G.; Perrone, S.; Tataranno, M.L. Oxygen toxicity: Chemistry and biology of reactive oxygen species. Semin. Fetal Neonatal Med. 2010, 15, 186–190. [Google Scholar] [CrossRef] [PubMed]
- Gligorovski, S.; Strekowski, R.; Barbati, S.; Vione, D. Environmental Implications of Hydroxyl Radicals (•OH). Chem. Rev. 2015, 115, 13051–13092. [Google Scholar] [CrossRef] [PubMed]
- Babuponnusami, A.; Muthukumar, K. A review on Fenton and improvements to the Fenton process for wastewater treatment. J. Environ. Chem. Eng. 2014, 2, 557–572. [Google Scholar] [CrossRef]
- Oturan, M.A.; Aaron, J.-J. Advanced Oxidation Processes in Water/Wastewater Treatment: Principles and Applications. A Review. Crit. Rev. Environ. Sci. Technol. 2014, 44, 2577–2641. [Google Scholar] [CrossRef]
- Spehar, R.L.; Fiandt, J.T. Acute and chronic effects of water quality criteria-based metal mixtures on three aquatic species. Environ. Toxicol. Chem. 1986, 5, 917–931. [Google Scholar] [CrossRef]
- Lipinski, B. Hydroxyl Radical and Its Scavengers in Health and Disease. Oxidative Med. Cell. Longev. 2011, 2011, 809696. [Google Scholar] [CrossRef] [Green Version]
- Sies, H.; Berndt, C.; Jones, D.P. Oxidative Stress. Annu. Rev. Biochem. 2017, 715–748. [Google Scholar] [CrossRef]
- Fridovich, I. The biology of oxygen radicals. Science 1978, 201, 875–880. [Google Scholar] [CrossRef]
- Sies, H. Oxidative Stress: Oxidants and Antioxidants; Academic Press: New York, NY, USA, 1991. [Google Scholar]
- Halliwell, B.; Gutteridge, J.M.C. Free Radicals in Biology and Medicine, 3rd ed.; Clarendon Press: Oxford, UK, 1999. [Google Scholar]
- Halliwell, B. Biochemistry of oxidative stress. Biochem. Soc. Trans. 2007, 35, 1147–1150. [Google Scholar] [CrossRef]
- Lin, H.-C.; Tsai, S.-H.; Chen, C.-S.; Chang, Y.-C.; Lee, C.-M.; Lai, Z.-Y.; Lin, C.-M. Structure–activity relationship of coumarin derivatives on xanthine oxidase-inhibiting and free radical-scavenging activities. Biochem. Pharmacol. 2008, 75, 1416–1425. [Google Scholar] [CrossRef] [PubMed]
- Pérez-Cruz, F.; Villamena, F.A.; Zapata-Torres, G.; Das, A.; Headley, C.A.; Quezada, E.; Lopez-Alarcon, C.; Olea-Azar, C. Selected hydroxycoumarins as antioxidants in cells: Physicochemical and reactive oxygen species scavenging studies. J. Phys. Org. Chem. 2013, 26, 773–783. [Google Scholar] [CrossRef]
- Louit, G.; Foley, S.; Cabillic, J.; Coffigny, H.; Taran, F.; Valleix, A.; Renault, J.P.; Pin, S. The reaction of coumarin with the OH radical revisited: Hydroxylation product analysis determined by fluorescence and chromatography. Radiat. Phys. Chem. 2005, 72, 119–124. [Google Scholar] [CrossRef]
- Kadhum, A.A.H.; Al-Amiery, A.A.; Musa, A.Y.; Mohamad, A.B. The Antioxidant Activity of New Coumarin Derivatives. Int. J. Mol. Sci. 2011, 12, 5747–5761. [Google Scholar] [CrossRef] [Green Version]
- Kostova, I.; Bhatia, S.; Grigorov, P.; Balkansky, S.; Parmar, V.S.; Prasad, A.K.; Saso, L. Coumarins as Antioxidants. Curr. Med. Chem. 2011, 18, 3929–3951. [Google Scholar] [CrossRef]
- Gacche, R.N.; Jadhav, S. Antioxidant Activities and Cytotoxicity of Selected Coumarin Derivatives: Preliminary Results of a Structure–Activity Relationship Study Using Computational Tools. J. Exp. Clin. Med. 2012, 4, 165–169. [Google Scholar] [CrossRef]
- Al-Amiery, A.A.; Al-Majedy, Y.K.; Kadhum, A.A.H.; Mohamad, A.B. Hydrogen Peroxide Scavenging Activity of Novel Coumarins Synthesized Using Different Approaches. PLoS ONE 2015, 10, e0132175. [Google Scholar] [CrossRef] [PubMed] [Green Version]
- Kontogiorgis, C.A.; Savvoglou, K.; Hadjipavlou-Litina, D.J. Antiinflammatory and antioxidant evaluation of novel coumarin derivatives. J. Enzym. Inhib. Med. Chem. 2006, 21, 21–29. [Google Scholar] [CrossRef]
- Kontogiorgis, C.A.; Hadjipavlou-Litina, D.J. Synthesis and Antiinflammatory Activity of Coumarin Derivatives. J. Med. Chem. 2005, 48, 6400–6408. [Google Scholar] [CrossRef]
- Sashidhara, K.V.; Kumar, A.; Kumar, M.; Sonkar, R.; Bhatia, G.; Khanna, A.K. Novel coumarin derivatives as potential an-tidyslipidemic agents. Bioorganic Med. Chem. Lett. 2010, 20, 4248–4251. [Google Scholar] [CrossRef]
- Mladenović, M.; Mihailović, M.; Bogojević, D.; Matić, S.; Nićiforović, N.; Mihailović, V.; Vuković, N.; Sukdolak, S.; Solujić, S. In Vitro Antioxidant Activity of Selected 4-Hydroxy-chromene-2-one Derivatives—SAR, QSAR and DFT Studies. Int. J. Mol. Sci. 2011, 12, 2822–2841. [Google Scholar] [CrossRef]
- Boulebd, H.; Khodja, I.A. A detailed DFT-based study of the free radical scavenging activity and mechanism of daphnetin in physiological environments. Phytochemistry 2021, 189, 112831. [Google Scholar] [CrossRef] [PubMed]
- Mak, K.-K.; Pichika, M.R. Artificial intelligence in drug development: Present status and future prospects. Drug Discov. Today 2018, 24, 773–780. [Google Scholar] [CrossRef] [PubMed]
- De Almeida, A.F.; Moreira, R.; Rodrigues, T. Synthetic organic chemistry driven by artificial intelligence. Nat. Rev. Chem. 2019, 3, 589–604. [Google Scholar] [CrossRef]
- He, L.; Bai, L.; Dionysiou, D.D.; Wei, Z.; Spinney, R.; Chu, C.; Lin, Z.; Xiao, R. Applications of computational chemistry, artificial intelligence, and machine learning in aquatic chemistry research. Chem. Eng. J. 2021, 426, 131810. [Google Scholar] [CrossRef]
- Struble, T.J.; Alvarez, J.C.; Brown, S.P.; Chytil, M.; Cisar, J.; DesJarlais, R.L.; Engkvist, O.; Frank, S.A.; Greve, D.R.; Griffin, D.J.; et al. Current and Future Roles of Artificial Intelligence in Medicinal Chemistry Synthesis. J. Med. Chem. 2020, 63, 8667–8682. [Google Scholar] [CrossRef] [PubMed] [Green Version]
- Milanović, Ž.; Tošović, J.; Marković, S.; Marković, Z. Comparison of the scavenging capacities of phloroglucinol and 2,4,6-trihydroxypyridine towards HO radical: A computational study. RSC Adv. 2020, 10, 43262–43272. [Google Scholar] [CrossRef]
- Marino, T.; Galano, A.; Russo, N. Radical Scavenging Ability of Gallic Acid toward OH and OOH Radicals. Reaction Mechanism and Rate Constants from the Density Functional Theory. J. Phys. Chem. B 2014, 118, 10380–10389. [Google Scholar] [CrossRef]
- Boulebd, H.; Mechler, A.; Hoa, N.T.; Vo, Q.V. Thermodynamic and kinetic studies of the antiradical activity of 5-hydroxymethylfurfural: Computational insights. New J. Chem. 2020, 44, 9863–9869. [Google Scholar] [CrossRef]
- Milanović, Ž.B.; Dimić, D.S.; Avdović, E.H.; Milenković, D.A.; Marković, J.D.; Klisurić, O.R.; Trifunović, S.R.; Marković, Z.S. Synthesis and comprehensive spectroscopic (X-ray, NMR, FTIR, UV–Vis), quantum chemical and molecular docking investi-gation of 3-acetyl-4-hydroxy-2-oxo-2H-chromen-7-yl acetate. J. Mol. Struct. 2021, 1225, 129256. [Google Scholar] [CrossRef]
- Jackson, S.K.; Liu, K.J.; Liu, M.; Timmins, G.S. Detection and removal of contaminating hydroxylamines from the spin trap DEPMPO, and re-evaluation of its use to indicate nitrone radical cation formation and SN1 reactions. Free Radic. Biol. Med. 2002, 32, 228–232. [Google Scholar] [CrossRef]
- Frisch, M.J.; Trucks, G.W.; Schlegel, H.B. Gaussian 09 (Revision E. 01); Gaussian Inc.: Wallingford, CT, USA, 2013. [Google Scholar]
- Becke, A.D.; Johnson, E.R. A density-functional model of the dispersion interaction. J. Chem. Phys. 2005, 123, 154101. [Google Scholar] [CrossRef] [PubMed]
- Avdović, E.; Milanović, Ž.B.; Živanović, M.; Šeklić, D.S.; Radojević, I.D.; Čomić, L.R.; Trifunović, S.R.; Amić, A.; Marković, Z.S. Synthesis, spectroscopic characterization, biological activity, DFT and molecular docking study of novel 4-hydroxycoumarine derivatives and corresponding palladium(II) complexes. Inorganica Chim. Acta 2020, 504, 119465. [Google Scholar] [CrossRef]
- Milenković, D.; Avdović, E.; Dimić, D.; Sudha, S.; Ramarajan, D.; Milanović, Ž.; Trifunović, S.; Marković, Z.S. Vibrational and Hirshfeld surface analyses, quantum chemical calculations, and molecular docking studies of coumarin derivative 3-(1-m-toluidinoethylidene)-chromane-2,4-dione and its corresponding palladium(II) complex. J. Mol. Struct. 2020, 1209, 127935. [Google Scholar] [CrossRef]
- Sun, S.; Zhang, K.; Lu, Y.; Zhang, H. Theoretical study on the reaction mechanism of chlordimeform with OH radicals. J. Mol. Model. 2014, 20, 2519. [Google Scholar] [CrossRef] [PubMed]
- Xie, H.-B.; Li, C.; He, N.; Wang, C.; Zhang, S.; Chen, J. Atmospheric Chemical Reactions of Monoethanolamine Initiated by OH Radical: Mechanistic and Kinetic Study. Environ. Sci. Technol. 2014, 48, 1700–1706. [Google Scholar] [CrossRef]
- Takano, Y.; Houk, K.N. Benchmarking the Conductor-like Polarizable Continuum Model (CPCM) for Aqueous Solvation Free Energies of Neutral and Ionic Organic Molecules. J. Chem. Theory Comput. 2004, 1, 70–77. [Google Scholar] [CrossRef]
- Foster, A.J.; Weinhold, F. Natural hybrid orbitals. J. Am. Chem. Soc. 1980, 102, 7211–7218. [Google Scholar] [CrossRef]
- Reed, A.E.; Curtiss, L.A.; Weinhold, F. Intermolecular interactions from a natural bond orbital, donor-acceptor viewpoint. Chem. Rev. 1988, 88, 899–926. [Google Scholar] [CrossRef]
- Reed, A.E.; Weinstock, R.B.; Weinhold, F. Natural population analysis. J. Chem. Phys. 1985, 83, 735–746. [Google Scholar] [CrossRef]
- Galano, A.; Alvarez-Idaboy, J.R. A computational methodology for accurate predictions of rate constants in solution: Appli-cation to the assessment of primary antioxidant activity. J. Comput. Chem. 2013, 34, 2430–2445. [Google Scholar] [CrossRef]
- Duncan, W.T.; Bell, R.L.; Truong, T.N. TheRate: Program for ab initio direct dynamics calculations of thermal and vibrational-state-selected rate constants. J. Comput. Chem. 1998, 19, 1039–1052. [Google Scholar] [CrossRef]
- Marcus, R.A. Electron transfer reactions in chemistry. Theory and experiment. Rev. Mod. Phys. 1993, 65, 599–610. [Google Scholar] [CrossRef] [Green Version]
- Tošović, J.; Marković, S.; Marković, J.M.D.; Mojović, M.; Milenković, D. Antioxidative mechanisms in chlorogenic acid. Food Chem. 2017, 237, 390–398. [Google Scholar] [CrossRef]
- Antonijević, M.R.; Simijonović, D.M.; Avdović, E.H.; Ćirić, A.; Petrović, Z.D.; Marković, J.D.; Stepanić, V.; Marković, Z.S. Green One-Pot Synthesis of Coumarin-Hydroxybenzohydrazide Hybrids and Their Antioxidant Potency. Antioxidants 2021, 10, 1106. [Google Scholar] [CrossRef] [PubMed]
- Dimić, D.S.; Marković, Z.S.; Saso, L.; Avdović, E.H.; Đorović, J.R.; Petrović, I.P.; Stanisavljević, M.J.; Stevanović, D.; Potočňák, I.; Samoľová, E.; et al. Synthesis and characterization of 3-(1-((3,4-dihydroxyphenethyl)amino)ethylidene)-chroman-2,4-dione as potentional anti-tumor agent. Oxid. Med. Cell. Longev. 2019, 2019, 2069250. [Google Scholar] [CrossRef] [PubMed] [Green Version]
- Milenković, D.A.; Dimić, D.S.; Avdović, E.H.; Amić, A.D.; Marković, J.M.D.; Marković, Z.S. Advanced oxidation process of coumarins by hydroxyl radical: Towards the new mechanism leading to less toxic products. Chem. Eng. J. 2020, 395, 124971. [Google Scholar] [CrossRef]
- Luo, S.; Wei, Z.; Dionysiou, D.D.; Spinney, R.; Hu, W.-P.; Chai, L.; Yang, Z.; Ye, T.; Xiao, R. Mechanistic insight into reactivity of sulfate radical with aromatic contaminants through single-electron transfer pathway. Chem. Eng. J. 2017, 327, 1056–1065. [Google Scholar] [CrossRef]
- Dimić, D.S.; Milenković, D.A.; Avdović, E.H.; Nakarada, Đ.J.; Marković, J.M.D.; Marković, Z.S. Advanced oxidation processes of coumarins by hydroperoxyl radical: An experimental and theoretical study, and ecotoxicology assessment. Chem. Eng. J. 2021, 424, 130331. [Google Scholar] [CrossRef]
- ACD/Percepta. ACD/Labs Release 2020.2.0. Available online: https://www.acdlabs.com/products/percepta/predictors/pka/ (accessed on 15 June 2021).











| Species | HO• | ||||
|---|---|---|---|---|---|
| HAT | SET-PT | SPLET | |||
| ΔrGHAT | ΔrGSET | ΔrGPT | ΔrGSPL | ΔrGET | |
| A-3OH | −135 | 105 | −240 | −93 | −42 |
| A-4OH | −141 | 100 | −241 | −92 | −50 |
| Positions | RAF/HAA ΔrGRAF/ΔrGHAA | ||||
| A-3OH | A-4OH | ||||
| C-3 | −6 | −10 | |||
| C-5 | −40 | −41 | |||
| C-6 | −17 | −21 | |||
| C-7 | −41 | −43 | |||
| C-8 | −33 | −34 | |||
| C-9 | −31 | −30 | |||
| C-10 | 0 | 0 | |||
| C-1′ | −25 | −25 | |||
| C-1″ | −36 | −42 | |||
| C-2″ | −27/−108 | −21 | |||
| C-3″ | −50 | −42/−99 | |||
| C-4″ | −49/−86 | −57 | |||
| C-5″ | −19 | −26/−115 | |||
| C-6″ | −44 | −41 | |||
| Species | HAT | SPLET | ||||
|---|---|---|---|---|---|---|
| I Step | II Step | |||||
| ΔGa, kJ mol−1 | M−1s−1 | ΔGa kJ mol−1 | M−1s−1 | ΔGa kJ mol−1 | M−1s−1 | |
| A-3OH | ~0 | 1.91 × 109 | ~0 | 1.91 × 109 | 20 | 1.38×109 |
| A-4OH | ~0 | 1.91 × 109 | ~0 | 1.91 × 109 | 15 | 5.84×109 |
| Position | RAF/HAA | |||||
| A-3OH | A-4OH | |||||
| ΔGa kJ mol−1 | M−1s−1/ s−1 | ΔGa kJ mol−1 | M−1s−1/ s−1 | |||
| C-3 | 44 | 4.11 × 106 | 40 | 2.12 × 107 | ||
| C-5 | 55 | 5.77 × 104 | 55 | 5.00 × 104 | ||
| C-6 | 57 | 2.61 × 104 | 51 | 2.46 × 105 | ||
| C-7 | 55 | 4.45 × 104 | 57 | 2.05 × 104 | ||
| C-8 | 49 | 4.64 × 105 | 46 | 1.54 × 106 | ||
| C-9 | 57 | 2.68 × 104 | 54 | 7.97 × 104 | ||
| C-10 | 49 | 4.43 × 105 | 45 | 2.24 × 106 | ||
| C-1′ | 51 | 2.19 × 105 | 52 | 1.57 × 105 | ||
| C-1″ | 39 | 2.84 × 107 | 36 | 4.37 × 107 | ||
| C-2″ | 42/ 104 | 9.14 × 106/ 1.05 × 10−5 | 39 | 2.69 × 107 | ||
| C-3″ | 34 | 7.86 × 107 | 36/ 108 | 1.49 × 107/ 5.45 × 10−5 | ||
| C-4″ | 34/104 | 1.40 × 107/ 4.86 × 10−6 | 33 | 4.58 × 107 | ||
| C-5″ | 42 | 7.59 × 106 | 44/99 | 3.28 × 106/ 7.75 × 10−5 | ||
| C-6″ | 32 | 5.34 × 107 | 33 | 3.30 × 107 | ||
Publisher’s Note: MDPI stays neutral with regard to jurisdictional claims in published maps and institutional affiliations. |
© 2021 by the authors. Licensee MDPI, Basel, Switzerland. This article is an open access article distributed under the terms and conditions of the Creative Commons Attribution (CC BY) license (https://creativecommons.org/licenses/by/4.0/).
Share and Cite
Milanović, Ž.; Dimić, D.; Žižić, M.; Milenković, D.; Marković, Z.; Avdović, E. Mechanism of Antiradical Activity of Newly Synthesized 4,7-Dihydroxycoumarin Derivatives-Experimental and Kinetic DFT Study. Int. J. Mol. Sci. 2021, 22, 13273. https://doi.org/10.3390/ijms222413273
Milanović Ž, Dimić D, Žižić M, Milenković D, Marković Z, Avdović E. Mechanism of Antiradical Activity of Newly Synthesized 4,7-Dihydroxycoumarin Derivatives-Experimental and Kinetic DFT Study. International Journal of Molecular Sciences. 2021; 22(24):13273. https://doi.org/10.3390/ijms222413273
Chicago/Turabian StyleMilanović, Žiko, Dušan Dimić, Milan Žižić, Dejan Milenković, Zoran Marković, and Edina Avdović. 2021. "Mechanism of Antiradical Activity of Newly Synthesized 4,7-Dihydroxycoumarin Derivatives-Experimental and Kinetic DFT Study" International Journal of Molecular Sciences 22, no. 24: 13273. https://doi.org/10.3390/ijms222413273
APA StyleMilanović, Ž., Dimić, D., Žižić, M., Milenković, D., Marković, Z., & Avdović, E. (2021). Mechanism of Antiradical Activity of Newly Synthesized 4,7-Dihydroxycoumarin Derivatives-Experimental and Kinetic DFT Study. International Journal of Molecular Sciences, 22(24), 13273. https://doi.org/10.3390/ijms222413273

