Depth of the Steroid Core Location Determines the Mode of Na,K-ATPase Inhibition by Cardiotonic Steroids
Abstract
:1. Introduction
2. Results
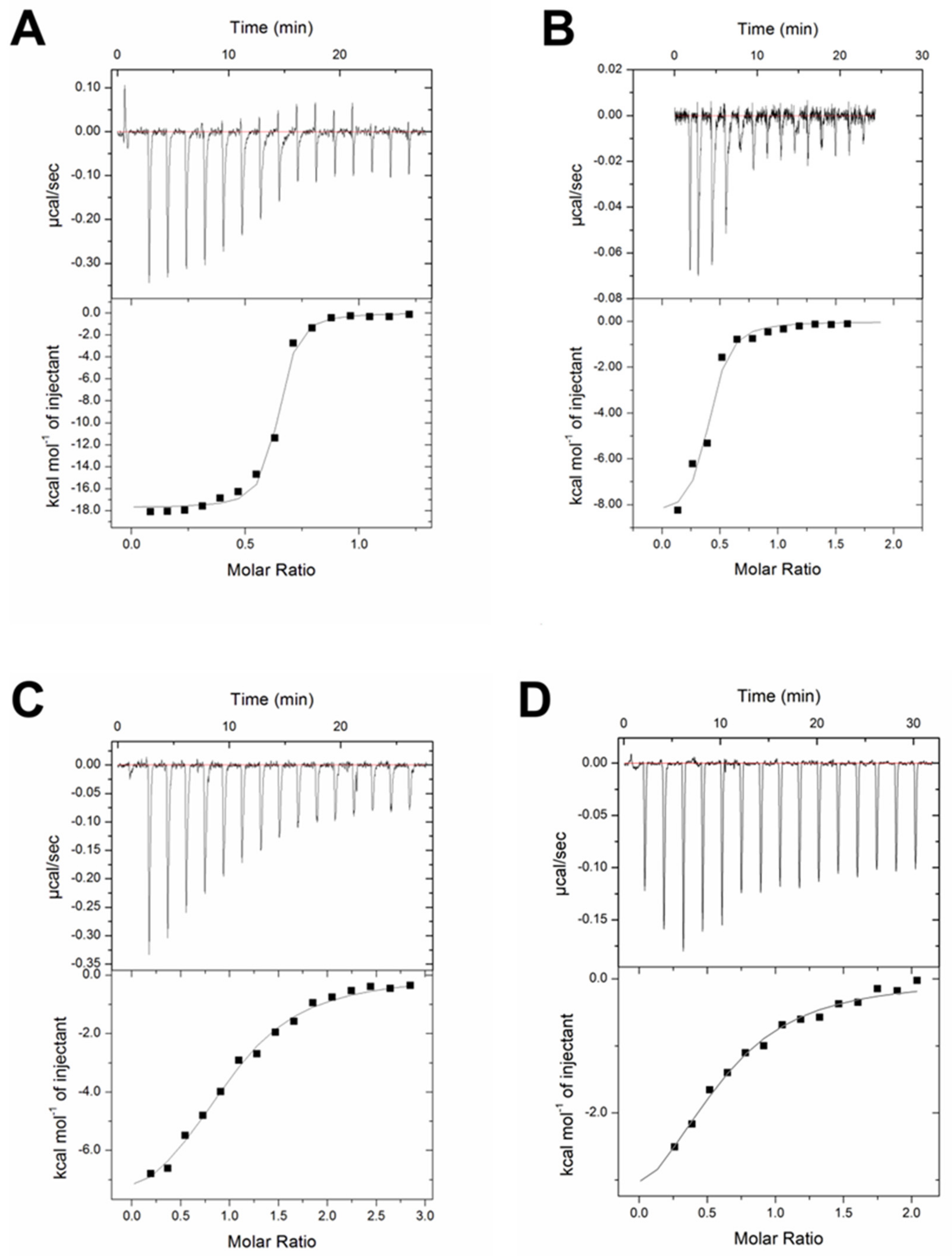
2.1. Interactions of Cardiotonic Steroids with α1S- and α1R-Na,K-ATPase
2.2. Inhibition of α1S- and α1R-Na,K-ATPase by Cardiotonic Steroids
2.3. Docking of Cardiotonic Steroids with α1R- and α1S-Na,K-ATPase
3. Discussion
4. Materials and Methods
4.1. Na,K-ATPase Purification and Activity Measurements
4.2. Electrophoresis and Western Blot
4.3. Hydrolytic Na,K-ATPase Activity Measurements
4.4. Isothermal Titration Calorimetry
4.5. Docking of Cardiotonic Steroids to Ouabain-Sensitive and Insensitive α1-Na,K-ATPase
4.6. Statistical Analysis
4.7. Chemicals
5. Conclusions
Supplementary Materials
Author Contributions
Funding
Acknowledgments
Conflicts of Interest
Abbreviations
| α1S | cardiotonic steroids-sensitive α1-subunit |
| α1R | cardiotonic steroids-resistant α1-subunit |
| AD | Alzheimer’s disease |
| BUF | bufalin |
| CTS | cardiotonic steroids |
| DGX | digoxin |
| ERK | extracellular signal-regulated kinase |
| HUVEC | human umbilical vein endothelial cells |
| ITC | isothermal titration calorimetry |
| MAPK | mitogen-activated protein kinase |
| MBG | marinobufagenin |
| NKA | Na,K-ATPase |
| OBN | ouabain |
| RAEC | rat aorta endothelial cells |
| RMSD | root mean square deviation |
References
- Komiyama, Y.; Dong, X.H.; Nishimura, N.; Masaki, H.; Yoshika, M.; Masuda, M.; Takahashi, H. A Novel Endogenous Digitalis, Telocinobufagin, Exhibits Elevated Plasma Levels in Patients with Terminal Renal Failure. Clin. Biochem. 2005, 38, 36–45. [Google Scholar] [CrossRef] [PubMed]
- Hamlyn, J.M.; Blaustein, M.P.; Bova, S.; DuCharme, D.W.; Harris, D.W.; Mandel, F.; Mathews, W.R.; Ludens, J.H. Identification and Characterization of a Ouabain-like Compound from Human Plasma. Proc. Natl. Acad. Sci. USA 1991, 88, 6259–6263. [Google Scholar] [CrossRef] [PubMed] [Green Version]
- Haddy, F.J.; Overbeck, H.W. The Role of Humoral Agents in Volume Expanded Hypertension. Life Sci. 1976, 19, 935–947. [Google Scholar] [CrossRef]
- Orlov, S.N.; Tverskoi, A.M.; Sidorenko, S.V.; Smolyaninova, L.V.; Lopina, O.D.; Dulin, N.O.; Klimanova, E.A. Na,K-ATPase as a Target for Endogenous Cardiotonic Steroids: What’s the Evidence? Genes Dis. 2021, 8, 259–271. [Google Scholar] [CrossRef]
- Weinberg, U.; Dolev, S.; Werber, M.M.; Shapiro, M.S.; Shilo, L.; Shenkman, L. Identification and Preliminary Characterization of Two Human Digitalis-like Substances That Are Structurally Related to Digoxin and Ouabain. Biochem. Biophys. Res. Commun. 1992, 188, 1024–1029. [Google Scholar] [CrossRef]
- Naomi, S.; Graves, S.; Lazarus, M.; Williams, G.H.; Hollenberg, N.K. Variation in Apparent Serum Digitalis-like Factor Levels with Different Digoxin Antibodies. The “Immunochemical Fingerprint”. Am. J. Hypertens. 1991, 4, 795–801. [Google Scholar] [CrossRef] [PubMed]
- Tian, J.; Haller, S.; Periyasamy, S.; Brewster, P.; Zhang, H.; Adlakha, S.; Fedorova, O.V.; Xie, Z.-J.; Bagrov, A.Y.; Shapiro, J.I.; et al. Renal Ischemia Regulates Marinobufagenin Release in Humans. Hypertension 2010, 56, 914–919. [Google Scholar] [CrossRef] [PubMed] [Green Version]
- Reznik, V.A.; Kashkin, V.A.; Agalakova, N.I.; Adair, C.D.; Bagrov, A.Y. Endogenous Bufadienolides, Fibrosis and Preeclampsia. Cardiol. Res. Pract. 2019, 2019, 5019287. [Google Scholar] [CrossRef] [PubMed]
- Kolmakova, E.V.; Haller, S.T.; Kennedy, D.J.; Isachkina, A.N.; Budny, G.V.; Frolova, E.V.; Piecha, G.; Nikitina, E.R.; Malhotra, D.; Fedorova, O.V.; et al. Endogenous Cardiotonic Steroids in Chronic Renal Failure. Nephrol. Dial. Transplant. Off. Publ. Eur. Dial. Transpl. Assoc. Eur. Ren. Assoc. 2011, 26, 2912–2919. [Google Scholar] [CrossRef] [PubMed] [Green Version]
- Lopatin, D.A.; Ailamazian, E.K.; Dmitrieva, R.I.; Shpen, V.M.; Fedorova, O.V.; Doris, P.A.; Bagrov, A.Y. Circulating Bufodienolide and Cardenolide Sodium Pump Inhibitors in Preeclampsia. J. Hypertens. 1999, 17, 1179–1187. [Google Scholar] [CrossRef]
- Schoner, W. Endogenous Cardiac Glycosides, a New Class of Steroid Hormones. Eur. J. Biochem. 2002, 269, 2440–2448. [Google Scholar] [CrossRef]
- Pavlovic, D. Endogenous Cardiotonic Steroids and Cardiovascular Disease, Where to Next? Cell Calcium 2020, 86, 102156. [Google Scholar] [CrossRef] [PubMed]
- Fedorova, O.V.; Fadeev, A.V.; Grigorova, Y.N.; Marshall, C.A.; Zernetkina, V.; Kolodkin, N.I.; Agalakova, N.I.; Konradi, A.O.; Lakatta, E.G.; Bagrov, A.Y. Cardiotonic Steroids Induce Vascular Fibrosis Via Pressure-Independent Mechanism in NaCl-Loaded Diabetic Rats. J. Cardiovasc. Pharmacol. 2019, 74, 436–442. [Google Scholar] [CrossRef] [PubMed]
- Mijatovic, T.; Dufrasne, F.; Kiss, R. Cardiotonic Steroids-Mediated Targeting of the Na(+)/K(+)-ATPase to Combat Chemoresistant Cancers. Curr. Med. Chem. 2012, 19, 627–646. [Google Scholar] [CrossRef] [PubMed]
- Grosso, F.; Stoilov, P.; Lingwood, C.; Brown, M.; Cochrane, A. Suppression of Adenovirus Replication by Cardiotonic Steroids. J. Virol. 2017, 91, e01623-16. [Google Scholar] [CrossRef] [Green Version]
- Newman, R.A.; Sastry, K.J.; Arav-Boger, R.; Cai, H.; Matos, R.; Harrod, R. Antiviral Effects of Oleandrin. J. Exp. Pharmacol. 2020, 12, 503–515. [Google Scholar] [CrossRef] [PubMed]
- Su, C.-T.; Hsu, J.T.-A.; Hsieh, H.-P.; Lin, P.-H.; Chen, T.-C.; Kao, C.-L.; Lee, C.-N.; Chang, S.-Y. Anti-HSV Activity of Digitoxin and Its Possible Mechanisms. Antiviral Res. 2008, 79, 62–70. [Google Scholar] [CrossRef] [PubMed]
- Reddy, D.; Kumavath, R.; Barh, D.; Azevedo, V.; Ghosh, P. Anticancer and Antiviral Properties of Cardiac Glycosides: A Review to Explore the Mechanism of Actions. Molecules 2020, 25, 3596. [Google Scholar] [CrossRef]
- Prinsloo, G.; Meyer, J.J.M.; Hussein, A.A.; Munoz, E.; Sanchez, R. A Cardiac Glucoside with in Vitro Anti-HIV Activity Isolated from Elaeodendron Croceum. Nat. Prod. Res. 2010, 24, 1743–1746. [Google Scholar] [CrossRef] [PubMed]
- Wong, R.W.; Balachandran, A.; Ostrowski, M.A.; Cochrane, A. Digoxin Suppresses HIV-1 Replication by Altering Viral RNA Processing. PLoS Pathog. 2013, 9, e1003241. [Google Scholar] [CrossRef] [PubMed]
- Zhyvoloup, A.; Melamed, A.; Anderson, I.; Planas, D.; Lee, C.-H.; Kriston-Vizi, J.; Ketteler, R.; Merritt, A.; Routy, J.-P.; Ancuta, P.; et al. Digoxin Reveals a Functional Connection between HIV-1 Integration Preference and T-Cell Activation. PLoS Pathog. 2017, 13, e1006460. [Google Scholar] [CrossRef] [PubMed] [Green Version]
- Wong, R.W.; Lingwood, C.A.; Ostrowski, M.A.; Cabral, T.; Cochrane, A. Cardiac Glycoside/Aglycones Inhibit HIV-1 Gene Expression by a Mechanism Requiring MEK1/2-ERK1/2 Signaling. Sci. Rep. 2018, 8, 850. [Google Scholar] [CrossRef] [PubMed] [Green Version]
- Fedorova, O.V.; Zahariadis, E.; McDevitt, R.; Grigorova, Y.N.; Wei, W.; Zernetkina, V.I.; Juhasz, O.; Zheng, L.; Petrashevskaya, N.; Camandola, S.; et al. Steroidal Inhibitor of Na/K-ATPase Marinobufagenin in a Mouse Model of Alzheimer’s Disease. Alzheimers Dement. 2020, 16, e046617. [Google Scholar] [CrossRef]
- Skou, J.C.; Esmann, M. The Na,K-ATPase. J. Bioenerg. Biomembr. 1992, 24, 249–261. [Google Scholar] [CrossRef] [PubMed]
- Urayama, O.; Nakao, M. Organ Secificity of Rat Sodium- and Potassium-Activated Adenosine Triphosphatase. J. Biochem. 1979, 86, 1371–1381. [Google Scholar] [CrossRef] [PubMed]
- Sweadner, K.J. Enzymatic Properties of Separated Isozymes of the Na,K-ATPase. Substrate Affinities, Kinetic Cooperativity, and Ion Transport Stoichiometry. J. Biol. Chem. 1985, 260, 11508–11513. [Google Scholar] [CrossRef]
- Cortas, N.; Edelman, I.S. Isolation of Two Isoforms of Na,K-ATPase from Artemia Salina: Kinetic Characterization. Prog. Clin. Biol. Res. 1988, 268A, 287–292. [Google Scholar] [PubMed]
- Cortas, N.; Arnaout, M.; Salon, J.; Edelman, I.S. Isoforms of Na,K-ATPase in Artemia Salina: II. Tissue Distribution and Kinetic Characterization. J. Membr. Biol. 1989, 108, 187–195. [Google Scholar] [CrossRef]
- Brodsky, J.L.; Guidotti, G. Sodium Affinity of Brain Na(+)-K(+)-ATPase Is Dependent on Isozyme and Environment of the Pump. Am. J. Physiol. 1990, 258, 803–811. [Google Scholar] [CrossRef] [PubMed]
- Feige, G.; Leutert, T.; De Pover, A. Na,K-ATPase Isozymes in Rat Tissues: Differential Sensitivities to Sodium, Vanadate and Dihydroouabain. Prog. Clin. Biol. Res. 1988, 268B, 377–384. [Google Scholar]
- Lingrel, J.B. The Physiological Significance of the Cardiotonic Steroid/Ouabain-Binding Site of the Na,K-ATPase. Annu. Rev. Physiol. 2010, 72, 395–412. [Google Scholar] [CrossRef] [PubMed] [Green Version]
- Pchejetski, D.; Taurin, S.; Der Sarkissian, S.; Lopina, O.D.; Pshezhetsky, A.V.; Tremblay, J.; deBlois, D.; Hamet, P.; Orlov, S.N. Inhibition of Na+,K+-ATPase by Ouabain Triggers Epithelial Cell Death Independently of Inversion of the [Na+]i/[K+]i Ratio. Biochem. Biophys. Res. Commun. 2003, 301, 735–744. [Google Scholar] [CrossRef]
- Orlov, S.N.; Thorin-Trescases, N.; Pchejetski, D.; Taurin, S.; Farhat, N.; Tremblay, J.; Thorin, E.; Hamet, P. Na+/K+ Pump and Endothelial Cell Survival: [Na+]i/[K+]i-Independent Necrosis Triggered by Ouabain, and Protection against Apoptosis Mediated by Elevation of [Na+]i. Pflug. Arch. 2004, 448, 335–345. [Google Scholar] [CrossRef] [PubMed]
- Akimova, O.A.; Bagrov, A.Y.; Lopina, O.D.; Kamernitsky, A.V.; Tremblay, J.; Hamet, P.; Orlov, S.N. Cardiotonic Steroids Differentially Affect Intracellular Na+ and [Na+]i/[K+]i-Independent Signaling in C7-MDCK Cells. J. Biol. Chem. 2005, 280, 832–839. [Google Scholar] [CrossRef] [PubMed] [Green Version]
- Özdemir, A.; Şimay, Y.D.; İbişoğlu, B.; Yaren, B.; Bülbül, D.; Ark, M. Cardiac Glycoside-Induced Cell Death and Rho/Rho Kinase Pathway: Implication of Different Regulation in Cancer Cell Lines. Steroids 2016, 109, 29–43. [Google Scholar] [CrossRef]
- McConkey, D.J.; Lin, Y.; Nutt, L.K.; Ozel, H.Z.; Newman, R.A. Cardiac Glycosides Stimulate Ca2+ Increases and Apoptosis in Androgen-Independent, Metastatic Human Prostate Adenocarcinoma Cells. Cancer Res. 2000, 60, 3807–3812. [Google Scholar] [PubMed]
- Kurosawa, M.; Tani, Y.; Nishimura, S.; Numazawa, S.; Yoshida, T. Distinct PKC Isozymes Regulate Bufalin-Induced Differentiation and Apoptosis in Human Monocytic Cells. Am. J. Physiol. Cell Physiol. 2001, 280, C459–C464. [Google Scholar] [CrossRef] [PubMed]
- Pezzani, R.; Rubin, B.; Redaelli, M.; Radu, C.; Barollo, S.; Cicala, M.V.; Salvà, M.; Mian, C.; Mucignat-Caretta, C.; Simioni, P.; et al. The Antiproliferative Effects of Ouabain and Everolimus on Adrenocortical Tumor Cells. Endocr. J. 2014, 61, 41–53. [Google Scholar] [CrossRef] [PubMed] [Green Version]
- Perne, A.; Muellner, M.K.; Steinrueck, M.; Craig-Mueller, N.; Mayerhofer, J.; Schwarzinger, I.; Sloane, M.; Uras, I.Z.; Hoermann, G.; Nijman, S.M.B.; et al. Cardiac Glycosides Induce Cell Death in Human Cells by Inhibiting General Protein Synthesis. PLoS ONE 2009, 4, e8292. [Google Scholar] [CrossRef] [PubMed]
- Kulikov, A.; Eva, A.; Kirch, U.; Boldyrev, A.; Scheiner-Bobis, G. Ouabain Activates Signaling Pathways Associated with Cell Death in Human Neuroblastoma. Biochim. Biophys. Acta 2007, 1768, 1691–1702. [Google Scholar] [CrossRef] [PubMed] [Green Version]
- Hennion, J.P.; el-Masri, M.A.; Huff, M.O.; el-Mailakh, R.S. Evaluation of Neuroprotection by Lithium and Valproic Acid against Ouabain-Induced Cell Damage. Bipolar Disord. 2002, 4, 201–206. [Google Scholar] [CrossRef]
- Rosen, H.; Glukhman, V.; Feldmann, T.; Fridman, E.; Lichtstein, D. Cardiac Steroids Induce Changes in Recycling of the Plasma Membrane in Human NT2 Cells. Mol. Biol. Cell 2004, 15, 1044–1054. [Google Scholar] [CrossRef] [Green Version]
- Chou, W.-H.; Liu, K.-L.; Shih, Y.-L.; Chuang, Y.-Y.; Chou, J.; Lu, H.-F.; Jair, H.-W.; Lee, M.-Z.; Au, M.-K.; Chung, J.-G. Ouabain Induces Apoptotic Cell Death Through Caspase- and Mitochondria-Dependent Pathways in Human Osteosarcoma U-2 OS Cells. Anticancer Res. 2018, 38, 169–178. [Google Scholar] [CrossRef] [PubMed]
- Meng, L.; Wen, Y.; Zhou, M.; Li, J.; Wang, T.; Xu, P.; Ouyang, J. Ouabain Induces Apoptosis and Autophagy in Burkitt’s Lymphoma Raji Cells. Biomed. Pharmacother. Biomedecine Pharmacother. 2016, 84, 1841–1848. [Google Scholar] [CrossRef] [PubMed]
- Akimova, O.A.; Tverskoi, A.M.; Smolyaninova, L.V.; Mongin, A.A.; Lopina, O.D.; La, J.; Dulin, N.O.; Orlov, S.N. Critical Role of the A1-Na+, K+-ATPase Subunit in Insensitivity of Rodent Cells to Cytotoxic Action of Ouabain. Apoptosis Int. J. Program. Cell Death 2015, 20, 1200–1210. [Google Scholar] [CrossRef] [PubMed] [Green Version]
- Klimanova, E.A.; Fedorov, D.A.; Sidorenko, S.V.; Abramicheva, P.A.; Lopina, O.D.; Orlov, S.N. Ouabain and Marinobufagenin: Physiological Effects on Human Epithelial and Endothelial Cells. Biochem. Biokhim. 2020, 85, 507–515. [Google Scholar] [CrossRef] [PubMed]
- Lopina, O.D.; Tverskoi, A.M.; Klimanova, E.A.; Sidorenko, S.V.; Orlov, S.N. Ouabain-Induced Cell Death and Survival. Role of A1-Na,K-ATPase-Mediated Signaling and [Na+]i/[K+]i]-Dependent Gene Expression. Front. Physiol. 2020, 11, 1060. [Google Scholar] [CrossRef] [PubMed]
- Ark, M.; Ozdemir, A.; Polat, B. Ouabain-Induced Apoptosis and Rho Kinase: A Novel Caspase-2 Cleavage Site and Fragment of Rock-2. Apoptosis Int. J. Program. Cell Death 2010, 15, 1494–1506. [Google Scholar] [CrossRef] [PubMed]
- Ren, Y.; Huang, R.; Lü, Z. Ouabain at Pathological Concentrations Might Induce Damage in Human Vascular Endothelial Cells. Acta Pharmacol. Sin. 2006, 27, 165–172. [Google Scholar] [CrossRef] [PubMed] [Green Version]
- Orlov, S.N.; Thorin-Trescases, N.; Kotelevtsev, S.V.; Tremblay, J.; Hamet, P. Inversion of the Intracellular Na+/K+ Ratio Blocks Apoptosis in Vascular Smooth Muscle at a Site Upstream of Caspase-3. J. Biol. Chem. 1999, 274, 16545–16552. [Google Scholar] [CrossRef] [PubMed] [Green Version]
- Orlov, S.N.; Taurin, S.; Tremblay, J.; Hamet, P. Inhibition of Na+,K+ Pump Affects Nucleic Acid Synthesis and Smooth Muscle Cell Proliferation via Elevation of the [Na+]i/[K+]i Ratio: Possible Implication in Vascular Remodelling. J. Hypertens. 2001, 19, 1559–1565. [Google Scholar] [CrossRef] [PubMed]
- Orlov, S.; Akimova, O.; Hamet, P. Cardiotonic Steroids: Novel Mechanisms of Na+ i-Mediated and—Independent Signaling Involved in the Regulation of Gene Expression, Proliferation and Cell Death. Curr. Hypertens. Rev. 2005, 1, 243–257. [Google Scholar] [CrossRef]
- Akimova, O.A.; Mongin, A.A.; Hamet, P.; Orlov, S.N. The Rapid Decline of MTT Reduction Is Not a Marker of Death Signaling in Ouabain-Treated Cells. Cell. Mol. Biol. 2006, 52, 71–77. [Google Scholar] [PubMed]
- Akimova, O.A.; Tremblay, J.; Van Huysse, J.W.; Hamet, P.; Orlov, S.N. Cardiotonic Steroid-Resistant Alpha1-Na+,K+-ATPase Rescues Renal Epithelial Cells from the Cytotoxic Action of Ouabain: Evidence for a Nai+,Ki+ -Independent Mechanism. Apoptosis Int. J. Program. Cell Death 2010, 15, 55–62. [Google Scholar] [CrossRef]
- Xie, Z.; Askari, A. Na+/K+-ATPase as a Signal Transducer. Eur. J. Biochem. 2002, 269, 2434–2439. [Google Scholar] [CrossRef] [PubMed] [Green Version]
- Haas, M.; Wang, H.; Tian, J.; Xie, Z. Src-Mediated Inter-Receptor Cross-Talk between the Na+/K+-ATPase and the Epidermal Growth Factor Receptor Relays the Signal from Ouabain to Mitogen-Activated Protein Kinases. J. Biol. Chem. 2002, 277, 18694–18702. [Google Scholar] [CrossRef] [PubMed] [Green Version]
- Liu, L.; Zhao, X.; Pierre, S.V.; Askari, A. Association of PI3K-Akt Signaling Pathway with Digitalis-Induced Hypertrophy of Cardiac Myocytes. Am. J. Physiol. Cell Physiol. 2007, 293, 1489–1497. [Google Scholar] [CrossRef] [PubMed]
- Yudowski, G.A.; Efendiev, R.; Pedemonte, C.H.; Katz, A.I.; Berggren, P.O.; Bertorello, A.M. Phosphoinositide-3 Kinase Binds to a Proline-Rich Motif in the Na+, K+-ATPase Alpha Subunit and Regulates Its Trafficking. Proc. Natl. Acad. Sci. USA 2000, 97, 6556–6561. [Google Scholar] [CrossRef] [PubMed] [Green Version]
- Miyakawa-Naito, A.; Uhlén, P.; Lal, M.; Aizman, O.; Mikoshiba, K.; Brismar, H.; Zelenin, S.; Aperia, A. Cell Signaling Microdomain with Na,K-ATPase and Inositol 1,4,5-Trisphosphate Receptor Generates Calcium Oscillations. J. Biol. Chem. 2003, 278, 50355–50361. [Google Scholar] [CrossRef] [Green Version]
- Akimova, O.A.; Lopina, O.D.; Rubtsov, A.M.; Gekle, M.; Tremblay, J.; Hamet, P.; Orlov, S.N. Death of Ouabain-Treated Renal Epithelial Cells: Evidence for P38 MAPK-Mediated /-Independent Signaling. Apoptosis Int. J. Program. Cell Death 2009, 14, 1266–1273. [Google Scholar] [CrossRef] [PubMed]
- Bagrov, A.Y.; Shapiro, J.I.; Fedorova, O.V. Endogenous Cardiotonic Steroids: Physiology, Pharmacology, and Novel Therapeutic Targets. Pharmacol. Rev. 2009, 61, 9–38. [Google Scholar] [CrossRef] [PubMed]
- Schoner, W.; Scheiner-Bobis, G. Endogenous and Exogenous Cardiac Glycosides and Their Mechanisms of Action. Am. J. Cardiovasc. Drugs Drugs Devices Interv. 2007, 7, 173–189. [Google Scholar] [CrossRef] [PubMed]
- Fuerstenwerth, H. On the Differences between Ouabain and Digitalis Glycosides. Am. J. Ther. 2014, 21, 35–42. [Google Scholar] [CrossRef]
- Klimanova, E.A.; Petrushanko, I.Y.; Mitkevich, V.A.; Anashkina, A.A.; Orlov, S.N.; Makarov, A.A.; Lopina, O.D. Binding of Ouabain and Marinobufagenin Leads to Different Structural Changes in Na,K-ATPase and Depends on the Enzyme Conformation. FEBS Lett. 2015, 589, 2668–2674. [Google Scholar] [CrossRef] [PubMed] [Green Version]
- Boldyrev, A.A.; Lopina, O.D.; Kenney, M.; Johnson, P. Characterization of the Subunit Isoforms of Duck Salt Gland Na/K Adenosine Triphosphatase. Biochem. Biophys. Res. Commun. 1995, 216, 1048–1053. [Google Scholar] [CrossRef] [PubMed]
- Laursen, M.; Yatime, L.; Nissen, P.; Fedosova, N.U. Crystal Structure of the High-Affinity Na+K+-ATPase-Ouabain Complex with Mg2+ Bound in the Cation Binding Site. Proc. Natl. Acad. Sci. USA 2013, 110, 10958–10963. [Google Scholar] [CrossRef] [PubMed] [Green Version]
- Laursen, M.; Gregersen, J.L.; Yatime, L.; Nissen, P.; Fedosova, N.U. Structures and Characterization of Digoxin- and Bufalin-Bound Na+,K+-ATPase Compared with the Ouabain-Bound Complex. Proc. Natl. Acad. Sci. USA 2015, 112, 1755–1760. [Google Scholar] [CrossRef] [Green Version]
- Tverskoi, A.M.; Lokteva, V.A.; Orlov, S.N.; Lopina, O.D. Binding of Ouabain, Digoxin, or Marinobufagenin Induces Different Conformational Changes in Kidney A1-Na+,K+-ATPase Isoforms, Resistant and Sensitive to Cardiotonic Steroids. Biochem. Mosc. Suppl. Ser. Membr. Cell Biol. 2020, 14, 54–60. [Google Scholar] [CrossRef]
- Cornelius, F.; Mahmmoud, Y.A.; Toyoshima, C. Metal Fluoride Complexes of Na,K-ATPase: Characterization of Fluoride-Stabilized Phosphoenzyme Analogues and Their Interaction with Cardiotonic Steroids. J. Biol. Chem. 2011, 286, 29882–29892. [Google Scholar] [CrossRef] [Green Version]
- Tobin, T.; Brody, T.M. Rates of Dissociation of Enzyme-Ouabain Complexes and K 0.5 Values in (Na+ + K+) Adenosine Triphosphatase from Different Species. Biochem. Pharmacol. 1972, 21, 1553–1560. [Google Scholar] [CrossRef]
- De Pover, A.; Godfraind, T. Influence of 16 Beta Formylation on Na, K-ATPase Inhibition by Cardiac Glycosides. Naunyn. Schmiedebergs Arch. Pharmacol. 1982, 321, 135–139. [Google Scholar] [CrossRef] [PubMed]
- Cornelius, F.; Kanai, R.; Toyoshima, C. A Structural View on the Functional Importance of the Sugar Moiety and Steroid Hydroxyls of Cardiotonic Steroids in Binding to Na,K-ATPase. J. Biol. Chem. 2013, 288, 6602–6616. [Google Scholar] [CrossRef] [Green Version]
- Kanai, R.; Cornelius, F.; Ogawa, H.; Motoyama, K.; Vilsen, B.; Toyoshima, C. Binding of Cardiotonic Steroids to Na+,K+-ATPase in the E2P State. Proc. Natl. Acad. Sci. USA 2021, 118, e2020438118. [Google Scholar] [CrossRef] [PubMed]
- Glynn, I.M. The Na+,K+-Transporting Adenosine Triphosphatase. In The Enzymes of Biological Membranes, 2nd ed.; Martonosi, A.N., Ed.; Plenum Press: New York, NY, USA, 1985; Volume 3, pp. 35–114. [Google Scholar]
- Gable, M.E.; Ellis, L.; Fedorova, O.V.; Bagrov, A.Y.; Askari, A. Comparison of Digitalis Sensitivities of Na+/K+-ATPases from Human and Pig Kidneys. ACS Omega 2017, 2, 3610–3615. [Google Scholar] [CrossRef] [Green Version]
- Ottolenghi, P.; Ellory, J.C. Radiation Inactivation of (Na,K)-ATPase, an Enzyme Showing Multiple Radiation-Sensitive Domains. J. Biol. Chem. 1983, 258, 14895–14907. [Google Scholar] [CrossRef]
- Ottolenghi, P.; Jensen, J. The K+-Induced Apparent Heterogeneity of High-Affinity Nucleotide-Binding Sites in (Na+ + K+)-ATPase Can Only Be Due to the Oligomeric Structure of the Enzyme. Biochim. Biophys. Acta 1983, 727, 89–100. [Google Scholar] [CrossRef]
- Song, H.-L.; Demirev, A.V.; Kim, N.-Y.; Kim, D.-H.; Yoon, S.-Y. Ouabain Activates Transcription Factor EB and Exerts Neuroprotection in Models of Alzheimer’s Disease. Mol. Cell. Neurosci. 2019, 95, 13–24. [Google Scholar] [CrossRef]
- Jørgensen, P.L. Purification of Na+,K+-ATPase: Enzyme Sources, Preparative Problems, and Preparation from Mammalian Kidney. Methods Enzymol. 1988, 156, 29–43. [Google Scholar] [CrossRef] [PubMed]
- Akayama, M.; Nakada, H.; Omori, K.; Masaki, R.; Taketani, S.; Tashiro, Y. The (Na+, K+)ATPase of Rat Kidney: Purification, Biosynthesis, and Processing. Cell Struct. Funct. 1986, 11, 259–271. [Google Scholar] [CrossRef] [PubMed] [Green Version]
- Lowry Lowry Protein Assay. J. Biol. Chem. 1951, 265–275. [CrossRef] [Green Version]
- Laemmli, U.K. Cleavage of Structural Proteins during the Assembly of the Head of Bacteriophage T4. Nature 1970, 227, 680–685. [Google Scholar] [CrossRef] [PubMed]
- Nørby, J.G. Coupled Assay of Na+,K+-ATPase Activity. Methods Enzymol. 1988, 156, 116–119. [Google Scholar] [CrossRef] [PubMed]
- Petrushanko, I.Y.; Mitkevich, V.A.; Anashkina, A.A.; Klimanova, E.A.; Dergousova, E.A.; Lopina, O.D.; Makarov, A.A. Critical Role of γ-Phosphate in Structural Transition of Na,K-ATPase upon ATP Binding. Sci. Rep. 2014, 4, 5165. [Google Scholar] [CrossRef] [PubMed] [Green Version]
- Freyer, M.W.; Lewis, E.A. Isothermal Titration Calorimetry: Experimental Design, Data Analysis, and Probing Macromolecule/Ligand Binding and Kinetic Interactions. Methods Cell Biol. 2008, 84, 79–113. [Google Scholar] [CrossRef] [PubMed]
- Sanner, M.F. Python: A Programming Language for Software Integration and Development. J. Mol. Graph. Model. 1999, 17, 57–61. [Google Scholar]
- Trott, O.; Olson, A.J. AutoDock Vina: Improving the Speed and Accuracy of Docking with a New Scoring Function, Efficient Optimization, and Multithreading. J. Comput. Chem. 2010, 31, 455–461. [Google Scholar] [CrossRef] [PubMed] [Green Version]




| Na,K-ATPase | CTS | Ka, M−1 | Kd, nM | n | ΔH, kcal/mol | TΔS, kcal/mol | ΔG, kcal/mol |
|---|---|---|---|---|---|---|---|
| α1S-Na,K-ATPase | ouabain | 1.9 × 107 | 53 | 0.7 ± 0.2 | −21.6 | −11.3 | −10.3 |
| digoxin | 4.0 × 106 * | 208 | 0.5 ± 0.1 | −7.9 | 2.0 | −9.9 | |
| MBG | 4.3 × 105 * | 2320 | 1.7 ± 0.2 | −5.2 | 2.8 | −7.9 | |
| α1R-Na,K-ATPase | ouabain | 3.1 × 105 * | 3226 | 0.6 ± 0.1 | −4.3 | 3.4 | −7.7 |
| digoxin | nd | nd | nd | ||||
| MBG | nd | nd | nd |
| OBN | DGX | MBG | |
|---|---|---|---|
| α1S-NKA (4HYT) -α1R-NKA (4HYT) | 9.173 Å | 7.624 Å | 7.446 Å |
| α1S-NKA (4RET)- α1R-NKA (4RET) | 8.719 Å | 8.994 Å | 2.015 Å |
| OBN | DGX | MBG | |
|---|---|---|---|
| Model | Predicted Binding Energy (kcal/mol) | ||
| α1S-NKA (4HYT) | −11.0 | −12.0 | −9.0 |
| α1R-NKA (4HYT) | −7.2 | −8.0 | −7.8 |
| α1S-NKA (4RET) | −10.6 | −11.8 | −9.5 |
| α1R-NKA (4RET) | −7.4 | −9.0 | −8.2 |
| Cardiotonic Steroid | OBN | DGX | MBG | |||
|---|---|---|---|---|---|---|
| 4HYT | ||||||
| Model | α1S | α1R | α1S | α1R | α1S | α1R |
| Amino acid residues | Gln 111 | Arg111 | Asp 121 | Arg111 | Gln 111 | Arg 111 |
| Glu 116 | Glu 116 | Asn 122 | Glu307 | Asp 121 | Ile 315 | |
| Glu 117 | Phe 783 | Leu 125 | Thr 309 | Asn 122 | Phe 316 | |
| Asp 121 | Phe 786 | Glu 312 | Phe 783 | Phe 316 | Phe 783 | |
| Asn 122 | Val 881 | Ile 315 | Arg 880 | Phe 783 | Arg 880 | |
| Leu 125 | Phe 316 | Phe 786 | ||||
| Glu 312 | Gly 319 | Thr 797 | ||||
| Ile 315 | Ala 323 | Arg 880 | ||||
| Phe 316 | Phe 783 | |||||
| Gly 319 | Phe 786 | |||||
| Ala 323 | Leu 793 | |||||
| Phe 783 | Thr 797 | |||||
| Phe 786 | Ile 800 | |||||
| Leu 793 | Arg 880 | |||||
| Thr 797 | ||||||
| Ile 800 | ||||||
| Arg 880 | ||||||
| Asp 884 | ||||||
| 4RET | ||||||
| Amino acid residues | Gln111 | Arg111 | Gln111 | Arg111 | Gln111 | Arg111 |
| Glu116 | Glu117 | Thr114 | Glu117 | Glu117 | Glu116 | |
| Glu117 | Phe783 | Glu115 | Glu312 | Asp121 | Glu117 | |
| Pro118 | Arg880 | Asp121 | Ile315 | Asn122 | Ile315 | |
| Asn122 | Asp884 | Asn122 | Phe316 | Phe316 | Phe783 | |
| Leu125 | Asp885 | Leu125 | Phe783 | Phe783 | ||
| Phe316 | Ile315 | Phe786 | Arg880 | |||
| Gly319 | Gly319 | Leu793 | ||||
| Ala323 | Ala323 | Asp885 | ||||
| Thr797 | Phe783 | Arg886 | ||||
| Phe783 | Thr797 | Thp887 | ||||
| Ile800 | ||||||
Publisher’s Note: MDPI stays neutral with regard to jurisdictional claims in published maps and institutional affiliations. |
© 2021 by the authors. Licensee MDPI, Basel, Switzerland. This article is an open access article distributed under the terms and conditions of the Creative Commons Attribution (CC BY) license (https://creativecommons.org/licenses/by/4.0/).
Share and Cite
Tverskoi, A.M.; Poluektov, Y.M.; Klimanova, E.A.; Mitkevich, V.A.; Makarov, A.A.; Orlov, S.N.; Petrushanko, I.Y.; Lopina, O.D. Depth of the Steroid Core Location Determines the Mode of Na,K-ATPase Inhibition by Cardiotonic Steroids. Int. J. Mol. Sci. 2021, 22, 13268. https://doi.org/10.3390/ijms222413268
Tverskoi AM, Poluektov YM, Klimanova EA, Mitkevich VA, Makarov AA, Orlov SN, Petrushanko IY, Lopina OD. Depth of the Steroid Core Location Determines the Mode of Na,K-ATPase Inhibition by Cardiotonic Steroids. International Journal of Molecular Sciences. 2021; 22(24):13268. https://doi.org/10.3390/ijms222413268
Chicago/Turabian StyleTverskoi, Artem M., Yuri M. Poluektov, Elizaveta A. Klimanova, Vladimir A. Mitkevich, Alexander A. Makarov, Sergei N. Orlov, Irina Yu. Petrushanko, and Olga D. Lopina. 2021. "Depth of the Steroid Core Location Determines the Mode of Na,K-ATPase Inhibition by Cardiotonic Steroids" International Journal of Molecular Sciences 22, no. 24: 13268. https://doi.org/10.3390/ijms222413268
APA StyleTverskoi, A. M., Poluektov, Y. M., Klimanova, E. A., Mitkevich, V. A., Makarov, A. A., Orlov, S. N., Petrushanko, I. Y., & Lopina, O. D. (2021). Depth of the Steroid Core Location Determines the Mode of Na,K-ATPase Inhibition by Cardiotonic Steroids. International Journal of Molecular Sciences, 22(24), 13268. https://doi.org/10.3390/ijms222413268

