Antimicrobial Properties and Cytotoxic Effect of Imidazolium Geminis with Tunable Hydrophobicity
Abstract
:1. Introduction
2. Results and Discussion
2.1. Antimicrobial Activity
2.2. Crystal Violet Assay
2.3. Incorporation of Dicationic Imidazolium Surfactants into Lipid Bilayers Mimicking Biomembranes
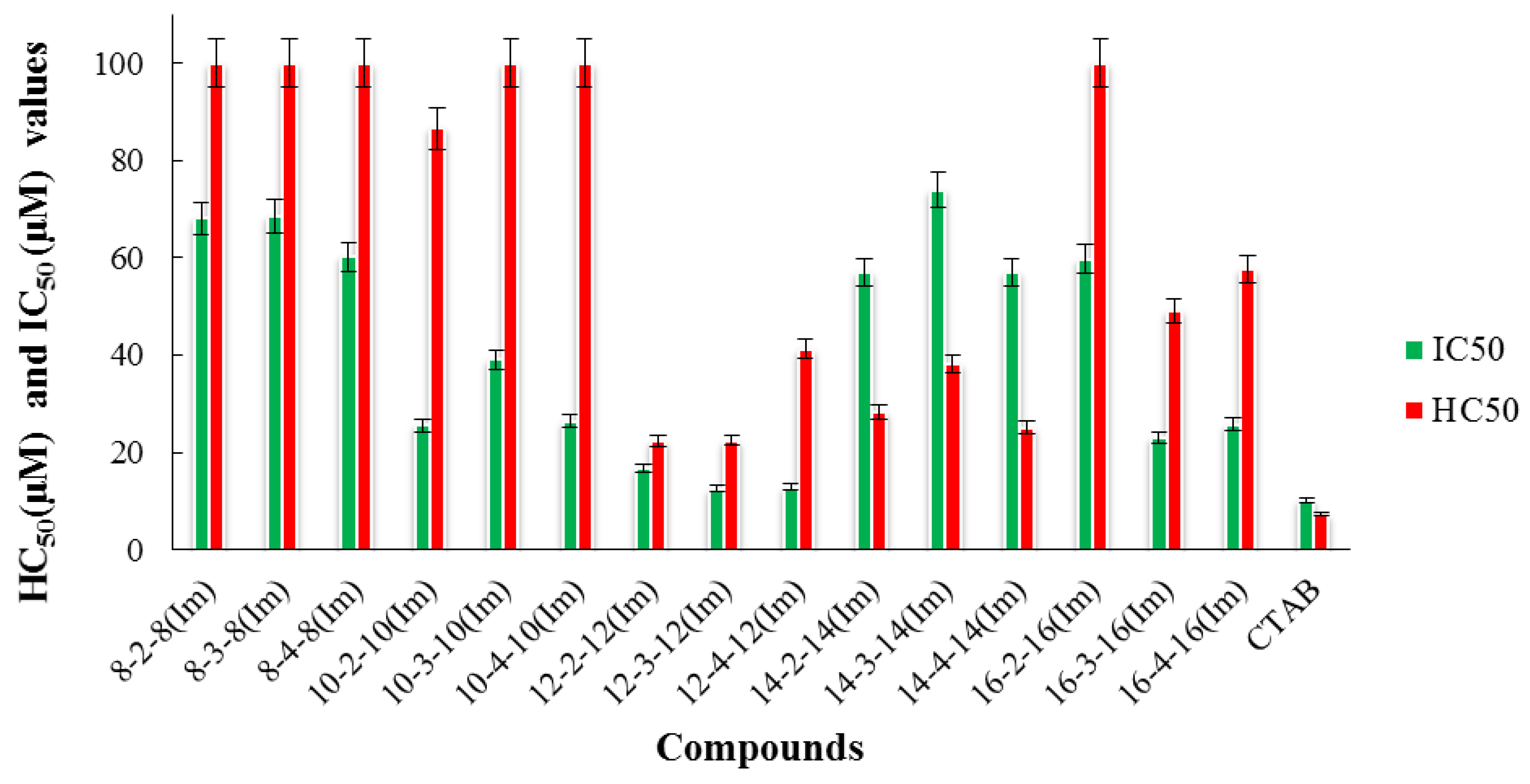
2.4. Hemolytic and Cytotoxic Activity of the Test Compounds
3. Materials and Methods
3.1. Chemistry
3.2. Antimicrobial Activity
3.3. Hemolytic Activity
3.4. CV Assay
3.5. Turbidimetric Measurements
3.6. Cytotoxicity Assay
4. Conclusions
Author Contributions
Funding
Institutional Review Board Statement
Informed Consent Statement
Data Availability Statement
Conflicts of Interest
References
- Anestopoulos, I.; Kiousi, E.D.; Klavaris, A.; Galanis, A.; Salek, K.; Euston, S.R.; Pappa, A.; Panayiotidis, M. Surface active agents and their health-promoting properties: Molecules of multifunctional significance. Pharmaceutics 2020, 12, 688. [Google Scholar] [CrossRef] [PubMed]
- Ayala-Torres, C.; Hernández, N.; Galeano, A.; Novoa-Aponte, L.; Soto, C.-Y. Zeta potential as a measure of the surface charge of mycobacterial cells. Ann. Microbiol. 2014, 64, 1189–1195. [Google Scholar] [CrossRef]
- Falk, N.A. Surfactants as antimicrobials: A brief overview of microbial interfacial chemistry and surfactant antimicrobial activity. J. Surfactants Deterg. 2019, 22, 1119–1127. [Google Scholar] [CrossRef]
- Gerba, C.P. Quaternary ammonium biocides: Efficacy in application. Appl. Environ. Microbiol. 2015, 81, 464–469. [Google Scholar] [CrossRef] [Green Version]
- Demberelnyamba, D.; Kim, K.-S.; Choi, S.; Park, S.-Y.; Lee, H.; Kim, C.-J.; Ick-Dong, Y. Synthesis and antimicrobial properties of imidazolium and pyrrolidinonium salts. J. Bioorg. Med. Chem. 2004, 12, 853–857. [Google Scholar] [CrossRef]
- Lopes-de-Campos, D.; Nunes, C.; Sarmento, B.; Jakobtorweihen, S.; Reis, S. Metronidazole within phosphatidylcholine lipid membranes: New insights to improve the design of imidazole derivatives. Eur. J. Pharm. Biopharm. 2018, 129, 204–214. [Google Scholar] [CrossRef]
- Łuczak, J.; Jungnickel, C.; Łącka, I.; Stolte, S.; Hupka, J. Antimicrobial and surface activity of 1-alkyl-3-methylimidazolium derivatives. Green Chem. 2010, 12, 593–601. [Google Scholar] [CrossRef]
- Bhadani, A.; Misono, T.; Singh, S.; Sakai, K.; Sakai, H.; Abe, M. Structural diversity, physicochemical properties and application of imidazolium surfactants: Recent advances. Adv. Colloid. Interface Sci. 2016, 231, 36–58. [Google Scholar] [CrossRef] [PubMed]
- Kuznetsova, D.A.; Gabdrakhmanov, D.R.; Ahtamyanova, L.R.; Lukashenko, S.S.; Kusova, A.M.; Zuev, Y.F.; Voloshina, A.D.; Sapunova, A.S.; Kulik, N.V.; Kuznetsov, D.M.; et al. Novel self-assembling systems based on imidazolium amphiphiles with cleavable urethane fragment for construction of soft nanocontainers for biomedicine application. J. Mol. Liq. 2020, 298, 111961. [Google Scholar] [CrossRef]
- Menger, F.M.; Keiper, J.S. Gemini surfactants. J. Angew. Chem. Int. Ed. Engl. 2000, 39, 1906–1920. [Google Scholar] [CrossRef]
- Zana, R. Dimeric and oligomeric surfactants. Behavior at interfaces and in aqueous solution: A review. Adv. Colloid. Interface Sci. 2002, 97, 205–253. [Google Scholar] [CrossRef]
- Mondal, M.H.; Roy, A.; Malik, S.; Ghosh, A.; Saha, B. Review on chemically bonded geminis with cationic heads: Second-generation interfactants. J. Res. Chem. Intermed. 2016, 42, 1913–1928. [Google Scholar] [CrossRef]
- Mirgorodskaya, A.B.; Zakharova, L.Y.; Khairutdinova, E.I.; Lukashenko, S.S.; Sinyashin, O.G. Supramolecular systems based on gemini surfactants for enhancing solubility of spectral probes and drugs in aqueous solution. Colloids Surf. A. 2016, 510, 33–42. [Google Scholar] [CrossRef]
- Sharma, R.; Kamal, A.; Abdinejad, M.; Mahajan, R.K.; Kraatz, H.-B. Advances in the synthesis, molecular architectures and potential applications of gemini surfactants. Adv. Colloid. Interface Sci. 2017, 248, 35–68. [Google Scholar] [CrossRef]
- Brycki, B.E.; Szulc, A.; Kowalczyk, I.; Koziróg, A.; Sobolewska, E. Antimicrobial activity of gemini surfactants with ether group in the spacer part. Molecules 2021, 26, 5759. [Google Scholar] [CrossRef] [PubMed]
- Taleb, K.; Mohamed-Benkada, M.; Benhamed, N.; Saidi-Besbes, S.; Grohens, Y.; Derdour, A. Benzene ring containing cationic gemini surfactants: Synthesis, surface properties and antibacterial activity. J. Mol. Liq. 2017, 241, 81–90. [Google Scholar] [CrossRef]
- Kamboj, R.; Singh, S.; Bhadani, A.; Kataria, H.; Kaur, G. Gemini imidazolium surfactants: Synthesis and their biophysiochemical study. Langmuir 2012, 28, 11969–11978. [Google Scholar] [CrossRef] [PubMed]
- Pałkowski, Ł.; Karolak, M.; Błaszczy´nski, J.; Krysi´nski, J.; Słowi´nski, R. Structure-activity relationships of the imidazolium compounds as antibacterials of Staphylococcus aureus and Pseudomonas aeruginosa. Int. J. Mol. Sci. 2021, 22, 7997. [Google Scholar] [CrossRef] [PubMed]
- Zakharova, L.Y.; Pashirova, T.N.; Doktorovova, S.; Fernandes, A.R.; Sanchez-Lopez, E.; Silva, A.M.; Souto, S.B.; Souto, E.B. Cationic surfactants: Self-assembly, structure-activity correlation and their biological applications. Int. J. Mol. Sci. 2019, 20, 5534. [Google Scholar] [CrossRef] [PubMed] [Green Version]
- Shaheen, A.; Mir, A.W.; Arif, R.; Wani, A.L. Synthesis, micellization behavior and cytotoxic properties of imidazolium based gemini surfactants. Colloid. Interface Sci. 2020, 36, 100257. [Google Scholar] [CrossRef]
- Pinazo, A.; Pons, R.; Bustelod, M.; Manresa, M.Á.; Morán, C.; Raluy, M.; Perez, L. Gemini histidine based surfactants: Characterization; surface properties and biological activity. J. Mol. Liq. 2019, 289, 111156. [Google Scholar] [CrossRef]
- Voloshina, A.D.; Gumerova, S.K.; Sapunova, A.S.; Kulik, N.V.; Mirgorodskaya, A.B.; Kotenko, A.A.; Prokopyeva, T.M.; Mikhailov, V.A.; Zakharova, L.Y.; Sinyashin, O.G. The structure–activity correlation in the family of dicationic imidazolium surfactants: Antimicrobial properties and cytotoxic effect. Biochim. Biophys. Acta Gen. Subj. 2020, 1864, 129728. [Google Scholar] [CrossRef] [PubMed]
- Seeger, H.M.; Marino, G.; Alessandrini, A.; Facci, P. Effect of physical parameters on the main phase transition of supported lipid bilayers. Biophys. J. 2009, 97, 1067–1076. [Google Scholar] [CrossRef] [Green Version]
- Salton, M.R.J.; Kim, K.S. Structure. In Medical Microbiology, 4th ed.; Baron, S., Ed.; University of Texas Medical Branch at Galveston: Galveston, TX, USA, 1996; Chapter 2. Available online: https://www.ncbi.nlm.nih.gov/books/NBK8477/ (accessed on 28 November 2021).
- Arias, C.A.; Murray, B.E. The rise of the Enterococcus: Beyond vancomycin resistance. Nat. Rev. Microbiol. 2012, 10, 266–278. [Google Scholar] [CrossRef] [PubMed] [Green Version]
- Arias, C.A.; Mendes, R.E.; Stilwell, M.G.; Jones, R.N.; Murray, B.E. Unmet needs and prospects for oritavancin in the management of vancomycin-resistant enterococcal infections. Clin. Infect. Dis. 2012, 54, 233–238. [Google Scholar] [CrossRef] [PubMed]
- Lakhundi, S.; Zhang, K. Methicillin-Resistant Staphylococcus aureus: Molecular characterization, evolution, and epidemiology. Clin. Microbiol. Rev. 2018, 31, 1–103. [Google Scholar] [CrossRef] [Green Version]
- Turner, N.A.; Sharma-Kuinkel, B.K.; Maskarinec, S.A.; Eichenberger, E.M.; Shah, P.P.; Carugati, M.; Holland, T.L.; Fowler, V.G. Methicillin-resistant Staphylococcus aureus: An overview of basic and clinical research. Nat. Rev. Microbiol. 2019, 17, 203–218. [Google Scholar] [CrossRef]
- Koch, A.L. Bacterial wall as target for attack: Past, present, and future research. Clin. Microbiol. Rev. 2003, 16, 673–687. [Google Scholar] [CrossRef] [Green Version]
- Bush, K. Antimicrobial agents targeting bacterial cell walls and cell membranes. Rev. Sci. Tech. 2012, 31, 43–56. [Google Scholar] [CrossRef]
- Epand, R.M.; Walker, C.; Epand, R.F.; Magarvey, N.A. Molecular mechanisms of membrane targeting antibiotics. Biochim. Biophys. Acta Gen. Subj. 2016, 1858, 980–987. [Google Scholar] [CrossRef]
- Pedersen, J.N.; Lyngsø, J.; Zinn, T.; Otzen, D.E.; Pedersen, J.S. A complete picture of protein unfolding and refolding in surfactants. Chem. Sci. 2020, 11, 699–712. [Google Scholar] [CrossRef] [PubMed] [Green Version]
- Otzen, D.E. Biosurfactants and surfactants interacting with membranes and proteins: Same but different? Biochim. Biophys. Acta Biomembr. 2017, 1859, 639–649. [Google Scholar] [CrossRef] [PubMed]
- Huang, G.; Jiang, R.H.; Jia, Y.T. Effects of Surfactants on the activity of acid cellulase enzyme. Adv. Mat. Res. 2013, 821, 527–530. [Google Scholar] [CrossRef]
- Bhardwaj, S.; Angayarkanni, J. Streptokinase production from Streptococcus dysgalactiae subsp. equisimilis SK-6 in the presence of surfactants, growth factors and trace elements. Biotechnology 2014, 5, 187–193. [Google Scholar] [CrossRef] [Green Version]
- Stavskaya, S.S. Biological Degradation of Anionic Surfactants (Biologiheskoe Razrushenie Anionnnykh PAV); Naukova Dumka: Kiev, Ukraine, 1981; p. 116. (In Russian) [Google Scholar]
- Campbell, M.; Cho, C.-Y.; Ho, A.; Huang, J.-Y.; Martin, B.; Gilbert, E.S. 4-Ethoxybenzoic acid inhibits Staphylococcus aureus biofilm formation and potentiates biofilm sensitivity to vancomycin. Int. J. Antimicrob. Agents 2020, 56, 106086. [Google Scholar] [CrossRef]
- Wei, L.; Li, M.; Xia, F.; Wang, J.; Ran, S.; Huang, Z.; Liang, J. Phosphate transport system mediates the resistance of Enterococcus faecalis to multidrug. Microbiol. Res. 2021, 249, 126772. [Google Scholar] [CrossRef]
- Devi, K.P.; Nisha, S.A.; Sakthivel, R.; Pandian, S.K. Eugenol (an essential oil of clove) acts as an antibacterial agent against Salmonella typhi by disrupting the cellular membrane. J. Ethnopharmacol. 2010, 130, 107–115. [Google Scholar] [CrossRef] [PubMed]
- Heerklotz, H. Interactions of surfactants with lipid membranes. Q. Rev. Biophys. 2008, 41, 205–264. [Google Scholar] [CrossRef] [PubMed]
- Jennings, M.C.; Minbiole, K.P.C.; Wuest, W.M. Quaternary ammonium compounds: An antimicrobial mainstay and platform for innovation to address bacterial resistance. ACS Infect. Dis. 2015, 1, 288–303. [Google Scholar] [CrossRef]
- Tramer, F.; Ros, T.D.; Passamonti, S. Screening of fullerene toxicity by hemolysis assay. Nanotoxicity 2012, 926, 203–217. [Google Scholar] [CrossRef]
- Samarkina, D.A.; Gabdrakhmanov, D.R.; Lukashenko, S.S.; Khamatgalimov, A.R.; Kovalenko, V.I.; Zakharova, L.Y. Cationic amphiphiles bearing imidazole fragment: From aggregation properties to potential in biotechnologies. Colloids Surf. A 2017, 529, 990–997. [Google Scholar] [CrossRef]
- Samarkina, D.A.; Gabdrakhmanov, D.R.; Lukashenko, S.S.; Khamatgalimov, A.R.; Zakharova, L.Y. Aggregation capacity and complexation propertiesm of a system based on an imidazole-coantaining amphiphile and bovine serum albumin. Russ. J. Gen. Chem. 2017, 87, 2826–2831. [Google Scholar] [CrossRef]
- Voloshina, A.D.; Sapunova, A.S.; Kulik, N.V.; Belenok, M.G.; Strobykina, I.Y.; Lyubina, A.P.; Gumerova, S.K.; Kataev, V.E. Antimicrobial and cytotoxic effects of ammonium derivatives of diterpenoids steviol and isosteviol. Bioorg. Med. Chem. 2021, 32, 115974. [Google Scholar] [CrossRef] [PubMed]
- Leinweber, H.; Alotaibi, S.M.I.; Overballe-Petersen, S.; Hansen, F.; Hasman, H.; Bortolaia, V.; Hammerum, A.M.; Ingmer, H. Vancomycin resistance in Enterococcus faecium isolated from Danish chicken meat is located on a pVEF4-like plasmid persisting in poultry for 18 years. Int. J. Antimicrob. Agents 2018, 52, 283–286. [Google Scholar] [CrossRef] [PubMed] [Green Version]







| Test Compounds | Minimum Inhibitory Concentration (MIC), µM ** | |||||||
|---|---|---|---|---|---|---|---|---|
| Sa | Bc | Ef | MRSA-1 | MRSA-2 | Ec | Ca | ||
| 1 | 8-2-8(Im) | 28.5 ± 2.2 | 28.5 ± 1.6 | 28.5 ± 1.6 | 28.5 ± 2.1 | 57.0 ± 4.1 | 228.1 ± 21.4 | - |
| 2 | 8-3-8(Im) | 27.8 ± 1.7 | 55.6 ± 5.1 | 55.6 ± 5.1 | 27.8 ± 2.0 | 27.8 ± 2.1 | 222.4 ± 2.1 | - |
| 3 | 8-4-8(Im) | 27.1 ± 1.9 | 27.1 ± 1.9 | 27.1 ± 1.9 | 27.1 ± 1.9 | 54.3 ± 4.9 | - | - |
| 4 | 10-2-10(Im) | 0.8 ± 0.06 * | 6.5 ± 0.5 * | 6.5 ± 0.5 | 3.1 ± 0.3 * | 3.2 ± 0.3 | 12.9 ± 1.0 * | 6.5 ± 0.4 * |
| 5 | 10-3-10(Im) | 1.5 ± 0.1 * | 6.3 ± 0.5 * | 6.3 ± 0.5 | 3.1 ± 0.2 * | 0.8 ± 0.05 | 6.2 ± 0.5 * | 6.2 ± 0.3 * |
| 6 | 10-4-10(Im) | 1.4 ± 0.1 * | 12.3 ± 0.9 * | 12.3 ± 0.9 | 6.2 ± 0.5 * | 0.8 ± 0.06 | 3.0 ± 0.2 * | 6.2 ± 0.3 * |
| 7 | 12-2-12(Im) | 5.9 ± 0.4 * | 5.9 ± 0.4 * | 5.9 ± 0.4 | 3.0 ± 0.2 * | 2.9 ± 0.2 | 23.6 ± 1.8 * | 23.6 ± 1.9 * |
| 8 | 12-3-12(Im) | 5.8 ± 0.3 * | 5.8 ± 0.3 * | 5.8 ± 0.3 | 5.8 ± 0.5 * | 2.9 ± 0.1 | 23.1 ± 1.6 * | 23.1 ± 1.7 * |
| 9 | 12-4-12(Im) | 11.3 ± 0.9 * | 11.4 ± 0.7 * | 11.4 ± 0.7 | 5.6 ± 0.5 * | 2.8 ± 0.1 | 22.7 ± 1.4 * | 22.7 ± 1.6 * |
| 10 | 14-2-14(Im) | 21.8 ± 2.0 | 21.8 ± 1.9 | 21.8 ± 1.9 | 21.8 ± 1.9 | 349 ± 32.3 | - | 698.2 ± 62.1 |
| 11 | 14-3-14(Im) | 685.2 ± 60.2 | 685.2 ± 63.1 | - | - | 342.5 ± 31.7 | - | 685.2 ± 65.3 |
| 12 | 14-4-14(Im) | 663.3 ± 62.3 | 663.3 ± 62.5 | - | - | - | - | - |
| Ciprofloxacin | 0.7 ± 0.05 | 1.4 ± 0.1 | 11.0 ± 0.9 | 340 ± 29 | 2.7 ± 0.2 | 0.7 ± 0.05 | - | |
| Norfloxacin | 7.5 ± 0.5 | 24.4 ± 2.1 | 24.4 ± 2.2 | - | 7.5 ± 0.5 | 4.7 ± 0.02 | - | |
| Ketoconazole | - | - | - | - | - | - | 7.3 ± 0.5 | |
| Minimum bactericidal and fungicidal concentrations (MBC, MFC), μM | ||||||||
| 1 | 8-2-8(Im) | 28.5 ± 2.5 | 114.1 ± 9.7 | 114.1 ± 9.6 | - | - | - | - |
| 2 | 8-3-8(Im) | 27.8 ± 1.5 | 111.2 ± 10.5 | - | - | - | - | - |
| 3 | 8-4-8(Im) | 108.5 ± 9.7 | 54.3 ± 4.7 | 54.3 ± 4.5 | - | - | - | - |
| 4 | 10-2-10(Im) | 1.5 ± 0.1 * | 3.1 ± 0.2 * | 6.5 ± 0.5 | 6.4 ± 0.5 * | 3.2 ± 0.3 | 3.2 ± 0.3 * | 6.5 ± 0.4 * |
| 5 | 10-3-10(Im) | 1.5 ± 0.1 * | 3.1 ± 0.2 * | 6.4 ± 0.4 | 6.2 ± 0.5 * | 0.8 ± 0.06 | 0.8 ± 0.06 * | 6.2 ± 0.3 * |
| 6 | 10-4-10(Im) | 3.0 ± 0.2 * | 3.1 ± 0.2 * | 12.4 ± 1.1 | 6.2 ± 0.4 * | 3.1 ± 0.3 | 3.1 ± 0.3 * | 6.2 ± 0.3 * |
| 7 | 12-2-12(Im) | 5.9 ± 0.4 * | 11.8 ± 0.9 * | 5.9 ± 0.3 | 24.4 ± 1.8 * | 5.9 ± 0.5 | 5.9 ± 0.5 * | 23.6 ± 1.9 * |
| 8 | 12-3-12(Im) | 5.8 ± 0.3 * | 23.1 ± 1.8 * | 11.6 ± 0.6 | 23.1 ± 1.7 * | 2.9 ± 0.2 | 2.9 ± 0.2 * | 26.2 ± 1.7 * |
| 9 | 12-4-12(Im) | 11.3 ± 0.8 * | 11.3 ± 0.8 * | 11.4 ± 0.9 | 11.4 ± 0.7 * | 11.4 ± 1.1 | 11.4 ± 1.1 * | 22.7 ± 1.9 * |
| 10 | 14-2-14(Im) | 174.6 ± 15.1 | 174.6 ± 17.1 | 87.3 ± 7.1 | - | - | - | - |
| 11 | 14-3-14(Im) | - | - | - | - | - | - | - |
| 12 | 14-4-14(Im) | - | - | - | - | - | - | - |
| Ciprofloxacin | 0.7 ± 0.9 | 1.4 ± 0.1 | 11.0 ± 0.9 | - | 2.7 ± 0.2 | 0.7 ± 0.05 | - | |
| Norfloxacin | 7.5 ± 0.6 | 24.4 ± 2.1 | 24.4 ± 1.9 | - | 7.5 ± 0.6 | 24.4 ± 2.3 | ||
| Ketoconazole | - | - | - | - | - | - | 7.3 ± 0.5 | |
| Test Compounds | Minimum Inhibitory Concentration (MIC), µM | |||||
|---|---|---|---|---|---|---|
| Sa | Bc | Ec | Tm | Ca | ||
| 1 | Im-10 | 103.1 ± 9.8 | 412.2 ± 30.6 | 412.2 ± 35.6 | - | - |
| 2 | Im-12 | 2.9 ± 0.2 | 47.2 ± 3.5 | 377.3 ± 33.5 | - | - |
| 3 | Im-14 | 2.7 ± 0.2 | 10.9 ± 0.7 | 43.5 ± 4.1 | 43.5 ± 3.3 | 21.7 ± 1.2 |
| 4 | Im-16 | 5.0 ± 0.4 | 10.1 ± 8.5 | 40.3 ± 3.8 | 40.3 ± 3.9 | 161.3 ± 15.3 |
| 5 | Im-18 | 9.4 ± 0.9 | 18.8 ± 1.3 | 300.8 ± 27.8 | 75.2 ± 6.6 | 18.8 ± 1.7 |
| Norfloxacin | 7.5 ± 0.5 | 24.4 ± 2.1 | 4.7 ± 0.2 | - | - | |
| Ketoconazole | 7.3 ± 0.5 | 7.3 ± 0.5 | ||||
| Minimum bactericidal and fungicidal concentrations (MBC, MFC), μM | ||||||
| 1 | Im-10 | 103.1 ± 10.1 | - | 412.2 ± 35.6 | - | - |
| 2 | Im-12 | 47.2 ± 3.9 | - | 377.3 ± 36.9 | - | - |
| 3 | Im-14 | 2.7 ± 0.23 | 10.9 ± 0.88 | 43.5 ± 4.1 | 43.5 ± 3.6 | 86.9±7.5 |
| 4 | Im-16 | 5.0 ± 0.31 | 40.3 ± 3.61 | 322.6 ± 31.2 | 80.6 ± 7.3 | 20.2 ± 1.95 |
| 5 | Im-18 | 37.6 ± 3.2 | 37.6 ± 3.1 | 601.7 ± 58.3 | 75.2 ± 6.9 | 18.8 ± 1.5 |
| Norfloxacin | 7.5 ± 0.6 | 24.4 ± 2.1 | 24.4 ± 2.3 | - | - | |
| Ketoconazole | - | - | - | 7.3 ± 0.5 | 7.3 ± 0.5 | |
| № | Compound | SI | SI |
|---|---|---|---|
| (HC50/MIC S. aureus 209p) | (IC50/MIC S. aureus 209 p) | ||
| 1 | 8-2-8(Im) | >3.5 | 2.4 |
| 2 | 8-3-8(Im) | >3.6 | 4.9 |
| 3 | 8-4-8(Im) | >3.7 | 2.2 |
| 4 | 10-2-10(Im) | 108.2 | 31.8 |
| 5 | 10-3-10(Im) | >66.6 | 26.1 |
| 6 | 10-4-10(Im) | >71.4 | 18.9 |
| 7 | 12-2-12(Im) | 3.8 | 2.8 |
| 8 | 12-3-12(Im) | 3.9 | 2.3 |
| 9 | 12-4-12(Im) | 3.6 | 1.1 |
| 10 | 14-2-14(Im) | 10.1 | 2.6 |
| 11 | Im-10 | >4.8 | 0.6 |
| 12 | Im-12 | >108.2 | 7.7 |
| 13 | Im-14 | 26.4 | 7.3 |
| 14 | Im-16 | 8.4 | 2.7 |
| 15 | Im-18 | 5.3 | 1.7 |
Publisher’s Note: MDPI stays neutral with regard to jurisdictional claims in published maps and institutional affiliations. |
© 2021 by the authors. Licensee MDPI, Basel, Switzerland. This article is an open access article distributed under the terms and conditions of the Creative Commons Attribution (CC BY) license (https://creativecommons.org/licenses/by/4.0/).
Share and Cite
Amerkhanova, S.K.; Voloshina, A.D.; Mirgorodskaya, A.B.; Lyubina, A.P.; Kuznetsova, D.A.; Kushnazarova, R.A.; Mikhailov, V.A.; Zakharova, L.Y. Antimicrobial Properties and Cytotoxic Effect of Imidazolium Geminis with Tunable Hydrophobicity. Int. J. Mol. Sci. 2021, 22, 13148. https://doi.org/10.3390/ijms222313148
Amerkhanova SK, Voloshina AD, Mirgorodskaya AB, Lyubina AP, Kuznetsova DA, Kushnazarova RA, Mikhailov VA, Zakharova LY. Antimicrobial Properties and Cytotoxic Effect of Imidazolium Geminis with Tunable Hydrophobicity. International Journal of Molecular Sciences. 2021; 22(23):13148. https://doi.org/10.3390/ijms222313148
Chicago/Turabian StyleAmerkhanova, Syumbelya K., Alexandra D. Voloshina, Alla B. Mirgorodskaya, Anna P. Lyubina, Darya A. Kuznetsova, Rushana A. Kushnazarova, Vasilii A. Mikhailov, and Lucia Ya. Zakharova. 2021. "Antimicrobial Properties and Cytotoxic Effect of Imidazolium Geminis with Tunable Hydrophobicity" International Journal of Molecular Sciences 22, no. 23: 13148. https://doi.org/10.3390/ijms222313148
APA StyleAmerkhanova, S. K., Voloshina, A. D., Mirgorodskaya, A. B., Lyubina, A. P., Kuznetsova, D. A., Kushnazarova, R. A., Mikhailov, V. A., & Zakharova, L. Y. (2021). Antimicrobial Properties and Cytotoxic Effect of Imidazolium Geminis with Tunable Hydrophobicity. International Journal of Molecular Sciences, 22(23), 13148. https://doi.org/10.3390/ijms222313148

