Potential of Trichoderma harzianum and Its Metabolites to Protect Wheat Seedlings against Fusarium culmorum and 2,4-D
Abstract
:1. Introduction
2. Results and Discussion
2.1. Plant Germination and Growth Condition
2.2. Changes in Relative Water Content (RWC)
2.3. Changes in Chlorophyll Content
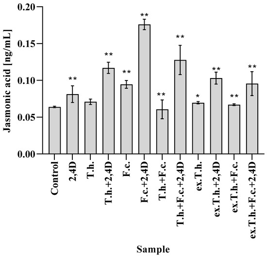
2.4. Changes in Jasmonic Acid
2.5. Changes in Oxylipins
2.6. Differences in Antioxidant Enzyme Activity
2.7. Changes in Zearalenone Content
2.8. Proteomic Study
3. Materials and Methods
3.1. Reagents
3.2. Plant Materials and Growth Examination
3.3. Fungal Inoculum
3.4. Trichoderma Extracts
3.5. Relative Water Content
3.6. Chlorophyll Content Determination
3.7. Metabolite Determination
3.8. CAT and SOD Activity
3.9. Oxylipin and Hormone Extraction and Determination
3.10. Protein Extraction
3.11. 2-D SDS PAGE
3.12. Protein Identification
3.13. Statistical Analysis
4. Conclusions
Supplementary Materials
Author Contributions
Funding
Institutional Review Board Statement
Informed Consent Statement
Data Availability Statement
Conflicts of Interest
References
- Reino, J.L.; Guerrero, R.F.; Hernandez-Galan, R.; Collado, I.G. Secondary metabolites from species of the biocontrol agent Trichoderma. Phytochem. Rev. 2007, 7, 89–123. [Google Scholar] [CrossRef]
- Zhang, S.; Xu, B.; Gan, Y. Seed Treatment with Trichoderma longibrachiatum T6 Promotes Wheat Seedling Growth under NaCl Stress Through Activating the Enzymatic and Nonenzymatic Antioxidant Defense Systems. Int. J. Mol. Sci. 2019, 20, 3279. [Google Scholar] [CrossRef] [PubMed] [Green Version]
- Mironenka, J.; Różalska, S.; Soboń, A.; Bernat, P. Trichoderma harzianum metabolites disturb Fusarium culmorum metabolism: Metabolomic and proteomic studies. Microbiol. Res. 2021, 249, 126770. [Google Scholar] [CrossRef] [PubMed]
- Antonissen, G.; Martel, A.; Pasmans, F.; Ducatelle, R.; Verbrugghe, E.; Vandenbroucke, V.; Li, S.; Haesebrouck, F.; Van Immerseel, F.; Croubels, S. The Impact of Fusarium Mycotoxins on Human and Animal Host Susceptibility to Infectious Diseases. Toxins 2014, 6, 430–452. [Google Scholar] [CrossRef] [Green Version]
- Bernat, P.; Nykiel-Szymańska, J.; Słaba, M.; Gajewska, E.; Różalska, S.; Stolarek, P.; Dackowa, J. Trichoderma harzianum diminished oxidative stress caused by dichlorophenoxyacetic acid (2,4-D) in wheat, insights from lipidomics. J. Plant Physiol. 2018, 229, 158–163. [Google Scholar] [CrossRef] [PubMed]
- Ortega-Garcia, J.G.; Montes-Belmont, R.; Rodriguez-Monroy, M.; Ramirez-Trujillo, J.A.; Suarez-Rodriguez, R.; Sepulveda-Jimenez, G. Effect of Trichoderma asperellum applications and mineral fertilization on growth promotion and the content of phenolic compounds and flavonoids in onions. Sci. Hortic. 2015, 195, 8–16. [Google Scholar] [CrossRef]
- Zeilinger, S.; Gruber, S.; Bansal, R.; Mukherjee, P.K. Secondary metabolism in Trichoderma—Chemistry meets genomics. Fungal Biol. Rev. 2016, 30, 74–90. [Google Scholar] [CrossRef]
- Islam, F.; Farooq, M.A.; Gill, R.A.; Wang, J.; Yang, C.; Ali, B.; Wang, G.X.; Zhou, W. 2,4-D attenuates salinity-induced toxicity by mediating anatomical changes, antioxidant capacity and cation transporters in the roots of rice cultivars. Sci. Rep. 2017, 7, 10443. [Google Scholar] [CrossRef] [PubMed] [Green Version]
- Pazmiño, D.M.; Rodríguez-Serrano, M.; Romero-Puertas, M.C.; Archilla-Ruiz, A.; Del Río, L.A.; Sandalio, L.M. Differential response of young and adult leaves to herbicide 2,4-dichlorophenoxyacetic acid in pea plants: Role of reactive oxygen species. Plant Cell Environ. 2011, 34, 1874–1889. [Google Scholar] [CrossRef]
- Kaur, N.; Sehgal, S.K.; Glover, K.D.; Byamukama, E.; Ali, S. Impact of Fusarium graminearum on Seed Germination and Seedling Blight in Hard Red Spring Wheat in South Dakota. JPPM 2020, 11, 495. [Google Scholar]
- Zhang, T.; Yu, L.-X.; Zheng, P.; Li, Y.; Rivera, M.; Main, D.; Greene, S.L. Identification of Loci Associated with Drought Resistance Traits in Heterozygous Autotetraploid Alfalfa (Medicago sativa L.) Using Genome-Wide Association Studies with Genotyping by Sequencing. PLoS ONE 2015, 10, e0138931. [Google Scholar] [CrossRef] [Green Version]
- Pshibytko, N.L.; Zenevich, L.A.; Kabashnikova, L. Changes in the photosynthetic apparatus during fusarium wilt of tomato. Russ. J. Plant Physiol. 2006, 53, 25–31. [Google Scholar] [CrossRef]
- Mohapatra, S.; Mittra, B. Alleviation of Fusarium oxysporum induced oxidative stress in wheat by Trichoderma viride. Arch. Phytopathol. Plant Prot. 2017, 50, 84–96. [Google Scholar]
- Kalaji, H.M.; Jajoo, A.; Oukarroum, A.; Brestic, M.; Zivcak, M.; Samborska, I.A.; Cetner, M.D.; Łukasik, I.; Goltsev, V.; Ladle, R.J. Chlorophyll a fluorescence as a tool to monitor physiological status of plants under abiotic stress conditions. Acta Physiol. Plant. 2016, 38, 102. [Google Scholar] [CrossRef] [Green Version]
- Martinez, D.E.; Guiamet, J.J. Distortion of the SPAD 502 chlorophyll meter readings by changes in irradiance and leaf water status. Agronomie 2004, 24, 41–46. [Google Scholar] [CrossRef] [Green Version]
- Khan, M.A.; Shirazi, M.U.; Khan, M.A.; Mujtaba, S.M.; Islam, E.; Mumtaz, S.; Shereen, A.; Ansari, R.U.; Ashraf, M.Y. Rule of Proline, K/Na ratio and chlorophyll content in salt tolerance of wheat (Triticum aestivum L.). Pak. J. Bot. 2009, 41, 633–638. [Google Scholar]
- Zhang, S.; Gan, Y.; Xu, B. Application of Plant-Growth-Promoting Fungi Trichoderma longibrachiatum T6 Enhances Tolerance of Wheat to Salt Stress through Improvement of Antioxidative Defense System and Gene Expression. Front. Plant Sci. 2016, 7, 1405. [Google Scholar]
- Ullah, A.; Akbar, A.; Yang, X. Chapter 7—Jasmonic Acid (JA)-Mediated Signaling in Leaf Senescence. In Senescence Signalling and Control in Plants; London Academic Press: London, UK, 2019; pp. 111–123. [Google Scholar]
- Nalam, V.J.; Alam, S.; Keereetaweep, J.; Venables, B.; Burdan, D.; Lee, H.; Trick, H.N.; Sarowar, S.; Makandar, R.; Shah, J. Facilitation of Fusarium graminearum Infection by 9-Lipoxygenases in Arabidopsis and Wheat. Mol. Plant-Microbe Interact. 2015, 28, 1142–1152. [Google Scholar] [CrossRef] [PubMed] [Green Version]
- Moran-Diez, M.E.; Tranque, E.; Bettiol, W.; Monte, E.; Hermosa, R. Differential Response of Tomato Plants to the Application of Three Trichoderma Species When Evaluating the Control of Pseudomonas syringae Populations. Plants 2020, 9, 626. [Google Scholar] [CrossRef]
- Griffiths, G. Biosynthesis and analysis of plant oxylipins. Free Radic. Res. 2015, 49, 565–582. [Google Scholar] [CrossRef] [PubMed]
- Sarker, U.; Oba, S. Catalase, superoxide dismutase and ascorbate-glutathione cycle enzymes confer drought tolerance of Amaranthus tricolor. Sci. Rep. 2018, 8, 16496. [Google Scholar] [CrossRef] [Green Version]
- Tancic-Zivanov, S.; Medic-Pap, S.; Danojevic, D.; Prvulovic, D. Effect of Trichoderma spp. on Growth Promotion and Antioxidative Activity of Pepper Seedlings. Braz. Arch. Biol. Technol. 2020, 62, 1–12. [Google Scholar]
- Zhang, G.-L.; Feng, Y.-L.; Song, J.-L.; Zhou, X.S. Zearalenone: A Mycotoxin with Different Toxic Effect in Domestic and Laboratory Animals’ Granulosa Cells. Front. Genet. 2018, 9, 667. [Google Scholar] [CrossRef] [Green Version]
- Perincherry, L.; Łalak-Kańczugowska, J.; Stępień, Ł. Fusarium-Produced Mycotoxins in Plant-Pathogen Interactions. Toxins 2019, 11, 664. [Google Scholar] [CrossRef] [PubMed] [Green Version]
- Gromadzka, K.; Chelkowski, J.; Popiel, D.; Kachlicki, P.; Kostecki, M.; Golinski, P. Solid substrate bioassay to evaluate the effects of Trichoderma and Clonostachys on the production of zearalenone by Fusarium species. World Mycotoxin J. 2009, 2, 45–52. [Google Scholar] [CrossRef]
- Kumar, M.; Brar, A.; Yadav, M.; Chawade, A.; Vivekanand, V.; Pareek, N. Chitinases—Potential Candidates for Enhanced Plant Resistance towards Fungal Pathogens. Agriculture 2018, 8, 88. [Google Scholar] [CrossRef] [Green Version]
- Young, Y.; Thannhauser, T.W.; Li, L.; Zhang, S. Development of an integrated approach forevaluation of 2-D gel image analysis: Impact of multiple proteins in single spots oncomparative proteomics in conventional 2-D gel/MALDI workflow. Electrophpresis 2007, 28, 2080–2094. [Google Scholar] [CrossRef] [PubMed]
- Lim, H.; Eng, J.; Yates, J.R.; Tollaksen, S.L.; Giometti, C.S.; Holden, J.F.; Adams, M.W.W.; Reich, C.; Olsen, G.J.; Hays, L.G. Identification of 2D-gel proteins: A comparison of MALDI/TOF peptide mass mapping to LC-ESI tandem mass spectrometry. J. Am. Soc. Mass Spectrom. 2003, 14, 957–970. [Google Scholar] [CrossRef] [Green Version]
- Guang, Y.; Zhu, Q.; Huang, D.; Zhao, S.; Lo, J.J.; Peng, J. An equation to estimate the difference between theoretically predicted and SDS PAGE-displayed molecular weights for an acidic peptide. Sci. Rep. 2015, 5, 13370. [Google Scholar] [CrossRef] [PubMed] [Green Version]
- Boller, T. Antimicrobial Functions of the Plant Hydrolases, Chitinase and b-1.3 -Glucanase. In Mechanisms of Plant Defense Responses; Developments in Plant Pathology; Springer: Dordrecht, The Netherlands, 1993; Volume 2. [Google Scholar]
- Bernardo, L.; Morcia, C.; Carletti, P.; Chizzoni, R.; Badeck, F.W.; Rizza, F.; Lucini, L.; Terzi, V. Proteomic insight into the mitigation of wheat root drought stress by arbuscular mycorrhizae. J. Proteom. 2017, 169, 21–32. [Google Scholar] [CrossRef] [PubMed]
- Piattoni, C.V.; Ferrero, D.M.L.; Dellaferrera, I.; Vegetti, A.; Iglesias, A.A. Cytosolic Glyceraldehyde-3-Phosphate Dehydrogenase Is Phosphorylated during Seed Development. Front. Plant Sci. 2017, 8, 522. [Google Scholar] [CrossRef] [PubMed] [Green Version]
- Liu, Y.; Cao, Y.; Zhang, Q.; Li, X.; Wang, S. A Cytosolic Triosephosphate Isomerase Is a Key Component in XA3/XA26-Mediated Resistance. Plant Physiol. 2018, 178, 923–935. [Google Scholar] [CrossRef] [Green Version]
- Garcia-Aguilar, A.; Cuezva, J.M. A Review of the Inhibition of the Mitochondrial ATP Synthase by IF1 in vivo: Reprogramming Energy Metabolism and Inducing Mitohormesis. Front. Physiol. 2018, 9, 1322. [Google Scholar] [CrossRef]
- Brinker, A.; Hartl, F.U. Chaperonins. In Encyclopedia of Genetics; Fitzroy Dearborn: Chicago, IL, USA, 2001; pp. 324–325. [Google Scholar]
- Pei, Y.; Li, X.; Zhu, Y.; Ge, X.; Sun, Y.; Liu, N.; Jia, Y.; Li, F.; Hou, Y. GhABP19, a Novel Germin-Like Protein from Gossypium hirsutum, Plays an Important Role in the Regulation of Resistance to Verticillium and Fusarium Wilt Pathogens. Front. Plant Sci. 2019, 10, 583. [Google Scholar] [CrossRef] [PubMed] [Green Version]
- Zazdraznik, T.; Moen, A.; Sustar-Vozlic, J. Chloroplast proteins involved in drought stress response in selected cultivars of common bean (Phaseolus vulgaris L.). 3 Biotech 2019, 9, 331. [Google Scholar] [CrossRef] [PubMed]
- Mayfield, S.P. Over-expression of the oxygen-evolving enhancer 1 protein and its consequences on photosystem II accumulation. Planta 1991, 185, 105–110. [Google Scholar] [CrossRef] [PubMed]
- Amador, V.C.; Ferreira de Silva, E.; Nadvorny, D.; Maia, R.T. Possible Metsulfuron Herbicide Detoxification by a Oryza sativa L. Glutathione S-transferase Enzyme. Braz. Arch. Biol. Technol. 2020, 63, e20180571. [Google Scholar] [CrossRef]
- Ding, H.; Wang, B.; Han, Y.; Li, S. The pivotal function of dehydroascorbate reductase in glutathione homeostasis in plants. J. Exp. Bot. 2020, 71, 3405–3416. [Google Scholar] [CrossRef] [PubMed]
- Parween, T.; Sumiera, J. Ecophysiology of Pesticides: Interface between Pesticide Chemistry and Plant Physiology; London Academic Press: London, UK, 2019. [Google Scholar]
- Santos, I.B.; Park, S.-W. Versatility of Cyclophilins in Plant Growth and Survival: A Case Study in Arabidopsis. Biomolecules 2019, 9, 20. [Google Scholar] [CrossRef] [PubMed] [Green Version]
- Gong, B.; Li, X.; Langenberg, K.M.; Wen, D.; Sun, S.; Wei, M.; Li, Y.; Yang, F.; Shi, Q.; Wang, X. Overexpression of S-adenosyl-L-methionine synthetase increased tomato tolerance to alkali stress through polyamine metabolism. Plant Biotechnol. J. 2014, 12, 694–708. [Google Scholar] [CrossRef] [PubMed]
- Arndt, S.K.; Irawan, A.; Sanders, G.J. Apoplastic water fraction and rehydration techniques introduce significant errors in measurements of relative water content and osmotic potential in plant leaves. Physiol. Plant. 2015, 155, 355–368. [Google Scholar] [CrossRef] [PubMed]
- Moura, G.S.; Lanna, E.; Donyole, J.; Falkoski, D.; Rewyende, S.; Oliviera, M.; Albino, L. Ability of enzyme complex solid-state fermentation subjected to the processing of pelleted diet and storage time at different temperatures. Rev. Bras. Zootec. 2016, 45, 731–736. [Google Scholar] [CrossRef] [Green Version]
- Nykiel-Szymańska, J.; Różalska, S.; Bernat, P.; Słaba, M. Assessment of oxidative stress and phospholipids alterations in chloroacetanilides-degrading Trichoderma spp. Ecotoxicol. Environ. Saf. 2019, 184, 109629. [Google Scholar] [CrossRef]
- Salem, M.A.; Yoshida, T.; Souza, L.P.; Alseekh, S.; Bajdzienko, K.; Ernie, A.R.; Ciavalisco, P. An improved extraction method enables the comprehensive analysis of lipids, proteins, metabolites and phytohormones from a single sample of leaf tissue under water-deficit stress. Plant J. 2020, 103, 1614–1632. [Google Scholar] [CrossRef] [PubMed]
- Zhang, E.; Chen, X.; Liang, X. Resolubilization of TCA precipitated plant proteins for 2-D electrophoresis. Electrophoresis 2011, 32, 696–698. [Google Scholar] [CrossRef]
- Szewczyk, R.; Soboń, A.; Różalska, S.; Dzitko, K.; Waidelich, D. Długoński JIntracellular proteome expression during 4-n-nonylphenol biodegradation by the filamentous fungus Metarhizium robertsii. Int. Biodeterior. Biodegr. 2014, 93, 44–53. [Google Scholar] [CrossRef]
- Bernat, P.; Gajewska, E.; Szewczyk, R.; Słaba, M.; Długoński, J. Tributyltin (TBT) induces oxidative stress and modifies lipid profile in the filamentous fungus Cunninghamella elegans. Environ. Sci. 2014, 21, 4228–4235. [Google Scholar] [CrossRef] [PubMed] [Green Version]







| Spot ID | Accession Number * | Theo-Retical MW [Da] | Score ** | Protein | Function | Examinated Avarege ROOT Sample Volumes *** | p Value **** | |||||||||||
|---|---|---|---|---|---|---|---|---|---|---|---|---|---|---|---|---|---|---|
| Control | 2,4D | T.h. | T.h.+ 2,4D | F.c. | F.c.+ 2,4D | T.h.+F.c. | T.h.+F.c.+ 2,4D | ex.T.h. | ex.T.h.+2,4D | ex.T.h.+F.c. | ex.T.h.+F.c.+2,4D | |||||||
| 1 | AAB67990.1 | 20,310 | 106 | Cu/Zn superoxide dismutase | Oxidoreductase/responce to oxidative stress | 5.86 × 104 | 2.53 × 104 | 1.63 × 104 | 7.07 × 104 | 6.90 × 105 | 1.56 × 105 | 3.95 × 105 | 4.88 × 105 | 1.80 × 104 | 1.88 × 104 | 2.29 × 105 | 2.83 × 105 | 0.01 |
| 2 | KAF7042201.1 | 26,606 | 493 | Ascorbate peroxidases and cytochrome C peroxidases | 1.14 × 104 | 6.77 × 103 | 9.58 × 103 | 6.00 × 104 | 6.31 × 104 | 1.25 × 105 | 1.09 × 105 | 1.14 × 105 | 1.83 × 104 | 1.79 × 105 | 3.87 × 104 | 3.31 × 104 | 0.03 | |
| 3 | KAF7054315.1 | 27,470 | 505 | catalase/peroksidase HPI | 4.14 × 104 | 9.32 × 104 | 1.37 × 104 | 6.32 × 104 | 7.14 × 104 | 1.72 × 105 | 1.12 × 105 | 1.35 × 105 | 3.93 × 104 | 8.35 × 104 | 6.34 × 104 | 5.24 × 104 | 0.02 | |
| 4 | ACF70712.1 | 32,429 | 142 | root peroxidase | 1.73 × 104 | 1.41 × 104 | 5.06 × 104 | 1.55 × 104 | 8.83 × 103 | 4.62 × 103 | 6.93 × 103 | 3.14 × 103 | 6.54 × 104 | 4.41 × 104 | 5.13 × 103 | 3.93 × 103 | 0.007 | |
| 5 | KAF6989700.1 | 16,607 | 375 | nucleoside diphosphate kinase | 1.38 × 105 | 4.98 × 104 | 2.20 × 105 | 2.08 × 105 | 2.10 × 104 | 4.14 × 104 | 8.01 × 104 | 7.09 × 104 | 4.63 × 104 | 3.51 × 104 | 2.67 × 104 | 2.06 × 104 | 0.02 | |
| 6 | AAF64241.1 | 25,277 | 156 | cytosolic glyceraldehyde-3-phosphate dehydrogenase GAPDH | 8.58 × 104 | 1.51 × 105 | 7.68 × 104 | 8.64 × 104 | 9.05 × 104 | 5.45 × 104 | 8.91 × 104 | 6.61 × 104 | 6.03 × 104 | 1.38 × 105 | 1.17 × 105 | 8.33 × 104 | 0.01 | |
| 7 | CAI47635.1 | 36,482 | 107 | peroxidase precursor | 1.18 × 104 | 1.24 × 104 | 1.62 × 104 | 3.65 × 104 | 6.58 × 104 | 4.20 × 104 | 5.65 × 104 | 9.05 × 104 | 2.13 × 104 | 1.63 × 104 | 3.23 × 104 | 3.96 × 104 | 0.03 | |
| 8 | KAF6996030.1 | 33,096 | 114 | NmrA-like family | 5.02 × 104 | 2.44 × 104 | 6.37 × 104 | 3.30 × 104 | 9.64 × 104 | 1.13 × 105 | 1.04 × 105 | 1.02 × 105 | 1.62 × 104 | 1.38 × 104 | 9.83 × 104 | 7.66 × 104 | 0.03 | |
| 9 | AFC87832.1 | 40,578 | 80 | 12-oxo-phytodienoic acid reductase | Oxylipin biosynthesis | 4.75 × 104 | 1.86 × 105 | 3.27 × 104 | 1.89 × 105 | 1.78 × 105 | 1.15 × 105 | 1.24 × 105 | 1.42 × 105 | 2.15 × 105 | 1.79 × 105 | 8.76 × 104 | 1.36 × 105 | 0.03 |
| 10 | AAC23502.1 | 56,398 | 97 | vacuolar invertase, partial | Carbohydrate metabolism | 1.06 × 104 | 7.49 × 103 | 1.64 × 104 | 1.25 × 104 | 5.39 × 103 | 8.02 × 103 | 1.30 × 104 | 8.08 × 103 | 3.23 × 103 | 4.99 × 103 | 6.66 × 103 | 5.64 × 103 | 0.02 |
| 11 | AGN71004.1 | 33,254 | 130 | xylanase inhibitor protein precursor | 1.18 × 104 | 2.05 × 104 | 7.92 × 103 | 4.49 × 103 | 1.15 × 104 | 5.50 × 103 | 5.18 × 103 | 1.27 × 104 | 6.75 × 103 | 1.84 × 103 | 1.63 × 104 | 9.71 × 103 | 0.03 | |
| 12 | ATY36097.1. | 47,317 | 408 | alpha-amylase | 1.02 × 105 | 1.34 × 105 | 3.14 × 105 | 2.23 × 105 | 2.55 × 105 | 1.16 × 105 | 1.79 × 105 | 1.49 × 105 | 4.46 × 105 | 2.70 × 105 | 2.78 × 105 | 1.88 × 105 | 0.04 | |
| 13 | KAF6992161.1 | 24,332 | 525 | malate dehydrogenase | 8.16 × 104 | 1.75 × 105 | 1.87 × 105 | 1.98 × 105 | 1.63 × 105 | 1.30 × 105 | 1.46 × 105 | 1.10 × 105 | 9.40 × 104 | 1.19 × 105 | 2.36 × 105 | 1.84 × 105 | 0.03 | |
| 14 | AAX83262.1 | 28,242 | 83 | class II chitinase | 9.93 × 104 | 4.25 × 104 | 1.19 × 105 | 4.78 × 104 | 3.37 × 105 | 2.89 × 105 | 5.19 × 105 | 2.40 × 105 | 2.14 × 105 | 1.20 × 105 | 3.84 × 104 | 4.33 × 104 | 0.03 | |
| 15 | ABY85789.1 | 43,153 | 366 | S-adenosylmethionine synthetase | 3.03 × 105 | 1.89 × 105 | 1.94 × 105 | 1.13 × 105 | 1.62 × 105 | 1.43 × 105 | 2.00 × 105 | 8.32 × 104 | 1.48 × 105 | 1.83 × 105 | 1.96 × 105 | 1.74 × 105 | 0.02 | |
| 16 | CAC94001.1 | 24,984 | 324 | glutathione transferase | Glutathione metabolic process | 6.70 × 103 | 3.71 × 104 | 1.99 × 104 | 1.74 × 104 | 7.68 × 103 | 2.32 × 104 | 1.50 × 104 | 2.67 × 104 | 2.78 × 104 | 1.35 × 104 | 5.18 × 103 | 7.73 × 103 | 0.03 |
| 17 | AAL71854.1 | 23,343 | 277 | dehydroascorbate reductase | 1.28 × 104 | 1.45 × 104 | 3.10 × 104 | 1.16 × 104 | 9.22 × 103 | 8.29 × 103 | 8.98 × 103 | 1.50 × 104 | 1.02 × 104 | 7.24 × 103 | 3.14 × 103 | 4.60 × 103 | 0.03 | |
| 18 | CAC14917.1 | 26,786 | 197 | triosephosphat-isomerase | Glycolytic process | 1.41 × 105 | 1.02 × 105 | 6.86 × 104 | 1.31 × 105 | 3.16 × 105 | 3.49 × 105 | 4.62 × 105 | 3.44 × 105 | 4.21 × 104 | 1.13 × 105 | 2.98 × 104 | 2.31 × 104 | 0.03 |
| 19 | AVL25146.1 | 38,772 | 119 | fructose-1.6 -bisphosphate aldolase | 1.37 × 104 | 2.37 × 104 | 5.92 × 104 | 6.02 × 104 | 1.23 × 104 | 1.55 × 104 | 2.65 × 104 | 6.65 × 104 | 1.64 × 104 | 7946.144 | 4.29 × 104 | 7.13 × 104 | 0.03 | |
| 20 | AAP80633.1 | 29,558 | 265 | phosphoglycerate mutase, partial | 2.59 × 104 | 3.16 × 104 | 5.61 × 104 | 2.06 × 104 | 3.32 × 104 | 4.40 × 104 | 4.22 × 104 | 3.22 × 104 | 4.21 × 104 | 4.81 × 104 | 7.30 × 104 | 6.48 × 104 | 0.03 | |
| 21 | ALE18234.1 | 25,277 | 330 | glyceraldehyde-3-phosphate dehydrogenase GAPDH | 1.83 × 106 | 1.33 × 106 | 1.73 × 106 | 1.66 × 106 | 1.30 × 106 | 1.10 × 106 | 7.96 × 105 | 1.23 × 106 | 8.86 × 105 | 1.07 × 106 | 1.08 × 106 | 9.68 × 105 | 0.02 | |
| 22 | AWS00780.1 | 41,701 | 151 | actin | ATP-binding | 3.84 × 104 | 3.14 × 104 | 3.83 × 104 | 2.00 × 104 | 3.24 × 104 | 3.52 × 104 | 4.30 × 104 | 3.14 × 104 | 1.98 × 104 | 2.52 × 104 | 4.93 × 104 | 4.41 × 104 | 0.04 |
| 23 | AGN94842.1 | 73,171 | 597 | ER molecular chaperone | ATPase activity | 3.72 × 104 | 8.52 × 104 | 4.34 × 104 | 3.70 × 104 | 7.83 × 104 | 3.89 × 104 | 2.42 × 104 | 2.60 × 104 | 2.58 × 104 | 8.12 × 104 | 2.88 × 104 | 4.69 × 104 | 0.02 |
| 24 | CAA52636.1 | 59,212 | 1090 | ATP synthase beta subunit | 5.10 × 105 | 6.77 × 105 | 4.63 × 105 | 1.12 × 105 | 1.53 × 105 | 1.62 × 105 | 1.72 × 105 | 1.56 × 105 | 3.25 × 105 | 2.05 × 105 | 1.46 × 105 | 1.12 × 105 | 0.001 | |
| 25 | ADK35122.1 | 14,182 | 203 | profilin | Actin binding | 8.30 × 104 | 3.16 × 104 | 6.87 × 104 | 5.20 × 104 | 2.54 × 104 | 3.99 × 104 | 3.72 × 104 | 2.60 × 104 | 1.03 × 104 | 2.28 × 104 | 1.08 × 104 | 1.83 × 104 | 0.03 |
| 26 | AIZ95472.1 | 16,047 | 141 | actin-depolymerizing factor 3 | 3.63 × 103 | 2.12 × 103 | 1.97 × 103 | 1.40 × 103 | 2.96 × 103 | 5.60 × 103 | 2.37 × 103 | 1.56 × 103 | 1.43 × 103 | 1.45 × 103 | 1.94 × 103 | 1.60 × 103 | 0.03 | |
| 27 | AAA75104.1 | 16,245 | 71 | single-strained nucleic acid binding protein | RNA-binding | 3.93 × 104 | 2.99 × 104 | 2.85 × 104 | 9.71 × 103 | 2.54 × 104 | 3.99 × 104 | 3.73 × 104 | 2.60 × 104 | 1.07 × 104 | 1.91 × 104 | 1.08 × 104 | 1.83 × 104 | 0.03 |
| 28 | AAA80609.1 | 19,651 | 158 | adenine phosphoribosyltransferase form 1 | Adenine salvage | 6.02 × 103 | 2.05 × 103 | 9.80 × 103 | 1.57 × 103 | 8.17 × 103 | 6.19 × 103 | 8.77 × 103 | 2.48 × 103 | 8.92 × 103 | 1.49 × 103 | 1.17 × 104 | 5.37 × 103 | 0.01 |
| 29 | CAA46811.1 | 38,331 | 123 | cathepsin | Regulation of catalytic activity | 3.25 × 104 | 3.10 × 104 | 6.11 × 104 | 2.68 × 104 | 4.28 × 104 | 2.70 × 104 | 5.19 × 104 | 2.10 × 104 | 2.72 × 104 | 5.22 × 104 | 3.04 × 104 | 3.35 × 104 | 0.03 |
| 30 | ABB80135.1 | 26,160 | 179 | vacuolar proton ATPase factor 3 | Ion transport | 4.46 × 103 | 3.20 × 103 | 3.24 × 103 | 7.57 × 103 | 1.73 × 104 | 1.15 × 104 | 2.49 × 104 | 2.19 × 104 | 1.06 × 104 | 3.36 × 103 | 1.33 × 104 | 6.70 × 103 | 0.02 |
| 31 | KAF7056598.1 | 82,549 | 193 | 5-methyltetrahydropteroyltriglutamate homocysteine methyltransferase | Amino-acid biosynthesis | 1.43 × 103 | 1.88 × 104 | 4.71 × 103 | 3.30 × 103 | 2.17 × 103 | 3.16 × 103 | 4.54 × 103 | 7.28 × 103 | 4.91 × 103 | 4.97 × 103 | 2.34 × 103 | 4.45 × 103 | 0.01 |
| 32 | AAZ95171.1 | 17,352 | 162 | eukaryotic translation initiation factor | Protein biosynthesis | 6.13 × 104 | 9.50 × 104 | 1.93 × 104 | 5.32 × 104 | 3.92 × 104 | 4.93 × 104 | 8.33 × 104 | 7.09 × 104 | 1.61 × 104 | 2.23 × 104 | 4.35 × 104 | 3.33 × 104 | 0.03 |
| 33 | AAS17067.1 | 18,367 | 228 | cyclophilin A | Protein folding | 3.27 × 105 | 5.52 × 104 | 5.13 × 104 | 1.24 × 105 | 5.43 × 104 | 6.52 × 104 | 9.64 × 103 | 4.07 × 104 | 5.94 × 104 | 9.39 × 104 | 5.12 × 104 | 3.71 × 104 | 0.04 |
| 34 | ABQ51156.1 | 24,404 | 184 | Triticin, partial | Storage protein | 1.65 × 103 | 8.33 × 102 | 1.64 × 103 | 2.07 × 103 | 1.51 × 104 | 1.33 × 103 | 2.94 × 103 | 2.55 × 103 | 1.27 × 103 | 7.88 × 102 | 3.18 × 103 | 4.60 × 103 | 0.03 |
| 35 | ADQ85915.1 | 15,293 | 125 | abscisic stress-ripening protein | Stress response | 4.02 × 103 | 6.95 × 103 | 2.21 × 104 | 8.49 × 103 | 2.71 × 103 | 5.48 × 103 | 1.17 × 104 | 3.43 × 103 | 5.58 × 103 | 2.21 × 103 | 3.07 × 103 | 4.06 × 103 | 0.02 |
| 36 | ADN05856.1 | 65,057 | 78 | HOP | 6.88 × 103 | 9.09 × 103 | 2.01 × 104 | 7.43 × 103 | 6.42 × 103 | 3.40 × 103 | 6.16 × 103 | 1.14 × 104 | 1.25 × 104 | 1.46 × 104 | 1.93 × 103 | 3.86 × 103 | 0.03 | |
| 37 | KAF7107406.1 | 25,857 | 161 | co-chaperonin | 1.01 × 104 | 6.21 × 103 | 1.81 × 103 | 5.95 × 103 | 1.71 × 103 | 2.50 × 103 | 2.14 × 103 | 2.79 × 103 | 2.53 × 103 | 4.21 × 103 | 2.08 × 103 | 1.86 × 103 | 0.04 | |
| 38 | ACQ41884.1 | 23,369 | 212 | germin-like protein | 1.68 × 105 | 2.38 × 105 | 5.22 × 105 | 1.71 × 103 | 6.47 × 105 | 6.34 × 105 | 2.70 × 105 | 3.87 × 105 | 1.43 × 105 | 3.70 × 105 | 4.99 × 105 | 3.51 × 105 | 0.01 | |
| 39 | KAF7063064 | 32,946 | 78 | allergenic/antifungal thaumatin-like proteins | Defence response | 1.07 × 105 | 1.51 × 105 | 6.64 × 104 | 3.74 × 104 | 1.14 × 105 | 1.55 × 105 | 1.30 × 105 | 1.25 × 105 | 2.03 × 105 | 1.21 × 105 | 5.46 × 104 | 6.45 × 104 | 0.03 |
| 40 | ABX89061.1 | 17,023 | 147 | pathogenesis-related protein | 1.65 × 103 | 9.42 × 102 | 2.18 × 103 | 1.07 × 103 | 3.66 × 103 | 2.86 × 103 | 1.43 × 103 | 9.59 × 102 | 6.73 × 102 | 2.95 × 103 | 7.48 × 102 | 7.57 × 102 | 0.02 | |
| 41 | AFC89429.1 | 42,969 | 77 | serpin-N3.2 | Endopeptidase inhibitor activity | 5.11 × 103 | 5.73 × 103 | 1.98 × 104 | 4.96 × 103 | 1.24 × 104 | 2.89 × 104 | 1.15 × 104 | 4.72 × 103 | 2.99 × 103 | 5.77 × 103 | 7.34 × 103 | 3.79 × 103 | 0.03 |
| 101 | AFF19563.1 | 20,310 | 138 | superoxide dismuase | Oxidoreductase | 2.55 × 104 | 6.75 × 103 | 7.35 × 103 | 7.31 × 103 | 3.11 × 104 | 4.78 × 104 | 2.18 × 104 | 2.68 × 104 | 4.71 × 103 | 8.16 × 103 | 4.42 × 104 | 4.06 × 104 | 0.01 |
| 102 | CAI47635.1 | 36,482 | 146 | peroxidase precursor | 6.18 × 104 | 9.25 × 104 | 7.11 × 104 | 6.63 × 104 | 4.40 × 104 | 2.24 × 104 | 4.25 × 104 | 4.06 × 104 | 1.55 × 105 | 9.70 × 104 | 3.76 × 104 | 6.98 × 104 | 0.04 | |
| 103 | ACO90196.1 | 26,606 | 151 | ascorbate peroxidase | 2.60 × 104 | 1.29 × 104 | 5.55 × 103 | 5.47 × 104 | 3.09 × 104 | 5.13 × 104 | 4.23 × 104 | 1.35 × 104 | 1.32 × 104 | 4.29 × 104 | 1.13 × 104 | 4.66 × 104 | 0.001 | |
| 104 | CDX58685.1 | 41,427 | 155 | RUBISCO activase beta | 4.04 × 104 | 1.03 × 105 | 1.61 × 105 | 7.41 × 104 | 7.64 × 104 | 4.87 × 104 | 6.39 × 104 | 5.47 × 104 | 1.13 × 105 | 1.34 × 105 | 9.84 × 104 | 6.55 × 104 | 0.03 | |
| 105 | AAM88439.1 | 23,711 | 76 | putative Rieske Fe-S precursor protein | Photosynthetic electron transport chain | 2.41 × 104 | 8.57 × 103 | 2.52 × 104 | 2.84 × 104 | 2.46 × 104 | 6.06 × 104 | 5.65 × 104 | 5.00 × 104 | 1.18 × 104 | 1.29 × 104 | 4.71 × 104 | 3.58 × 104 | 0.01 |
| 106 | ARQ82872.1 | 27,184 | 483 | oxygen evolving enhancer protein | 1.21 × 106 | 6.33 × 105 | 1.28 × 106 | 7.78 × 105 | 1.42 × 105 | 1.65 × 105 | 1.25 × 105 | 1.15 × 105 | 1.25 × 106 | 1.16 × 106 | 6.60 × 104 | 1.05 × 105 | 0.01 | |
| 107 | BAA35176.1 | 52,817 | 407 | ribulose-1.5 -bisphosphate arboxylase/oxygenase small subunit | 3.57 × 105 | 3.24 × 105 | 5.41 × 105 | 5.32 × 105 | 4.02 × 104 | 4.80 × 104 | 4.22 × 104 | 6.83 × 104 | 2.28 × 105 | 1.82 × 105 | 9.59 × 104 | 3.96 × 104 | 0.04 | |
| 108 | CDX48684.1 | 44,554 | 312 | RUBISCO activase alpha | 3.12 × 104 | 6.98 × 104 | 4.68 × 104 | 2.32 × 104 | 4.20 × 104 | 5.16 × 104 | 4.80 × 104 | 3.97 × 104 | 4.88 × 104 | 5.88 × 104 | 7.34 × 104 | 8.21 × 104 | 0.03 | |
| 109 | KAF7080451.1 | 17,287 | 92 | glycine cleavage system protein GcvH | 1.66 × 105 | 3.12 × 104 | 1.98 × 104 | 3.45 × 104 | 4.79 × 104 | 1.79 × 104 | 2.31 × 104 | 3.56 × 104 | 3.25 × 104 | 5.19 × 104 | 3.14 × 104 | 5.14 × 104 | 0.04 | |
| 110 | KAF7061990.1 | 15,592 | 357 | photosystem I reaction center subunit IV | 1.69 × 105 | 9.70 × 104 | 1.22 × 105 | 1.43 × 105 | 6.19 × 103 | 6.86 × 103 | 8.34 × 103 | 9.16 × 103 | 2.95 × 104 | 4.48 × 104 | 1.62 × 104 | 9.58 × 104 | 0.03 | |
| 111 | ABB80135.1 | 26,160 | 198 | vacuolar proton ATPase subunit | Ion transport | 3.75 × 104 | 3.90 × 104 | 3.45 × 104 | 3.76 × 104 | 2.16 × 104 | 1.26 × 104 | 3.25 × 104 | 9.64 × 103 | 3.51 × 104 | 2.76 × 104 | 1.09 × 104 | 2.22 × 104 | 0.001 |
| 112 | ACV89491.1 | 23,343 | 300 | dehydroascorbate reductase | glutathione metabolism | 3.42 × 104 | 4.40 × 104 | 3.84 × 104 | 1.78 × 104 | 1.80 × 105 | 2.65 × 105 | 1.52 × 105 | 1.98 × 105 | 1.33 × 104 | 2.21 × 104 | 3.78 × 105 | 3.26 × 105 | 0.03 |
| 113 | CAC94001.1 | 24,984 | 132 | glutathione transferase | 5.22 × 104 | 1.50 × 104 | 2.04 × 104 | 1.15 × 104 | 1.85 × 104 | 1.14 × 104 | 2.05 × 104 | 2.16 × 104 | 2.18 × 104 | 1.15 × 104 | 1.24 × 104 | 1.05 × 104 | 0.04 | |
| 114 | AAA75104.1 | 16,245 | 486 | single-stranded nucleic acid binding protein | RNA binding | 9.93 × 104 | 1.77 × 104 | 1.33 × 104 | 1.94 × 104 | 4.71 × 105 | 3.37 × 105 | 4.22 × 105 | 3.33 × 105 | 1.60 × 104 | 1.95 × 104 | 3.13 × 105 | 3.49 × 105 | 0.02 |
| 115 | AKQ09032.1 | 33,413 | 110 | chitinase | carbohydrate metabolism | 1.43 × 104 | 1.63 × 104 | 1.33 × 104 | 9.16 × 103 | 5.25 × 104 | 4.28 × 104 | 6.19 × 104 | 7.97 × 104 | 7.56 × 104 | 2.09 × 104 | 7.30 × 104 | 1.02 × 105 | 0.03 |
| 116 | AAP70009.1 | 24,332 | 129 | cytosolic malate dehydrogenase | 4.41 × 104 | 8.14 × 104 | 8.81 × 104 | 7.54 × 104 | 7.72 × 103 | 1.34 × 104 | 8.40 × 103 | 1.87 × 104 | 5.47 × 104 | 1.24 × 105 | 1.95 × 104 | 2.69 × 104 | 0.04 | |
| 117 | ALE18234.1 | 36,586 | 394 | glyceraldehyde-3-phosphate dehydrogenase | Glucose metabolic process | 2.95 × 105 | 2.40 × 105 | 5.63 × 105 | 3.66 × 105 | 1.39 × 105 | 1.40 × 105 | 1.37 × 105 | 1.99 × 105 | 4.85 × 105 | 2.64 × 105 | 1.59 × 105 | 1.41 × 105 | 0.04 |
| 118 | AVL25141.1 | 41,609 | 104 | fructose-1.6 -bisphosphate aldolase | 1.08 × 104 | 2.51 × 104 | 1.18 × 104 | 6183 | 1.78 × 104 | 2.01 × 104 | 2.32 × 104 | 1.62 × 104 | 2.93 × 104 | 1.72 × 104 | 2.18 × 104 | 1.27 × 104 | 0.03 | |
| 119 | AEH16638.1 | 46,673 | 180 | glutamine synthase | Nitrogen metabolism | 1.09 × 105 | 1.00 × 105 | 2.23 × 105 | 9.28 × 104 | 4.96 × 104 | 7.22 × 104 | 3.97 × 104 | 7.90 × 104 | 8.23 × 104 | 1.14 × 105 | 1.05 × 105 | 8.99 × 104 | 0.04 |
| 120 | AAP44537.1 | 25,875 | 301 | cyclophilin-like protein | Protein folding | 1.36 × 104 | 7.53 × 103 | 4.46 × 103 | 2.14 × 103 | 4.03 × 103 | 1.65 × 103 | 4.90 × 103 | 4.02 × 103 | 4.29 × 103 | 5.57 × 103 | 1.63 × 103 | 5.73 × 103 | 0.02 |
| 121 | AAS17067.1 | 18,367 | 165 | cyclophilin A | 5.83 × 104 | 1.28 × 105 | 1.51 × 105 | 1.41 × 105 | 4.30 × 104 | 3.00 × 104 | 3.50 × 104 | 4.99 × 104 | 2.10 × 104 | 2.91 × 104 | 3.22 × 104 | 8.88 × 104 | 0.03 | |
| 122 | AIZ95472.1 | 16,047 | 148 | actin depolymerizing factor 3 | Actin binding | 1.21 × 106 | 6.33 × 105 | 1.28 × 106 | 7.78 × 105 | 7.49 × 105 | 7.00 × 105 | 6.16 × 105 | 5.84 × 105 | 1.25 × 106 | 1.16 × 106 | 6.88 × 105 | 6.92 × 105 | 0.01 |
| 123 | CAA52636.1 | 59,212 | 545 | ATP synthase beta subunit | ATPase activity | 3.50 × 104 | 7.62 × 104 | 8.60 × 104 | 1.25 × 105 | 1.28 × 105 | 1.23 × 105 | 1.20 × 105 | 1.37 × 105 | 5.98 × 104 | 1.04 × 105 | 1.51 × 105 | 8.25 × 104 | 0.02 |
| 124 | AND74687.1 | 47,066 | 177 | chloroplast ribulose bisphosphate carboxylase/oxygenase activase | 2.48 × 104 | 1.24 × 104 | 2.47 × 104 | 4.44 × 104 | 5.40 × 104 | 7.47 × 104 | 9.12 × 104 | 9.74 × 104 | 8.08 × 104 | 7.09 × 104 | 9.38 × 104 | 9.14 × 104 | 0.03 | |
| 125 | AGN94842.1 | 73,141 | 260 | ER molecular charpeone | 1.77 × 104 | 5.49 × 104 | 2.54 × 104 | 4.31 × 104 | 4.02 × 104 | 4.80 × 104 | 4.22 × 104 | 6.83 × 104 | 2.20 × 104 | 1.45 × 104 | 9.59 × 104 | 3.96 × 104 | 0.02 | |
| 126 | ABY85789.1 | 43,153 | 118 | S-adenosylmethionine synthetase | ATP binding | 2.87 × 104 | 6.98 × 104 | 3.62 × 104 | 8.69 × 104 | 1.48 × 104 | 3.34 × 104 | 2.08 × 104 | 2.16 × 104 | 1.05 × 105 | 5.97 × 104 | 5.56 × 104 | 2.48 × 104 | 0.04 |
| 127 | KAF6989700.1 | 16,607 | 290 | nucleoside diphosphate kinase | 1.06 × 105 | 1.39 × 105 | 1.29 × 105 | 1.72 × 105 | 1.52 × 105 | 1.19 × 105 | 1.37 × 105 | 1.02 × 105 | 1.30 × 105 | 4.81 × 104 | 8.55 × 104 | 1.16 × 105 | 0.03 | |
| 128 | CAC85479.1 | 21,801 | 155 | adenosine diphosphate glucose pyrophosphatase | Biosynthesis of starch | 6.45 × 104 | 5.40 × 104 | 6.04 × 104 | 9.81 × 104 | 2.46 × 104 | 6.06 × 104 | 5.65 × 104 | 5.00 × 104 | 4.20 × 104 | 3.75 × 104 | 4.71 × 104 | 3.58 × 104 | 0.04 |
Publisher’s Note: MDPI stays neutral with regard to jurisdictional claims in published maps and institutional affiliations. |
© 2021 by the authors. Licensee MDPI, Basel, Switzerland. This article is an open access article distributed under the terms and conditions of the Creative Commons Attribution (CC BY) license (https://creativecommons.org/licenses/by/4.0/).
Share and Cite
Mironenka, J.; Różalska, S.; Bernat, P. Potential of Trichoderma harzianum and Its Metabolites to Protect Wheat Seedlings against Fusarium culmorum and 2,4-D. Int. J. Mol. Sci. 2021, 22, 13058. https://doi.org/10.3390/ijms222313058
Mironenka J, Różalska S, Bernat P. Potential of Trichoderma harzianum and Its Metabolites to Protect Wheat Seedlings against Fusarium culmorum and 2,4-D. International Journal of Molecular Sciences. 2021; 22(23):13058. https://doi.org/10.3390/ijms222313058
Chicago/Turabian StyleMironenka, Julia, Sylwia Różalska, and Przemysław Bernat. 2021. "Potential of Trichoderma harzianum and Its Metabolites to Protect Wheat Seedlings against Fusarium culmorum and 2,4-D" International Journal of Molecular Sciences 22, no. 23: 13058. https://doi.org/10.3390/ijms222313058
APA StyleMironenka, J., Różalska, S., & Bernat, P. (2021). Potential of Trichoderma harzianum and Its Metabolites to Protect Wheat Seedlings against Fusarium culmorum and 2,4-D. International Journal of Molecular Sciences, 22(23), 13058. https://doi.org/10.3390/ijms222313058

